Modeling the Effect of the Oxidation Status of the Ingredient Oil on Stability and Shelf Life of Low-Moisture Bakery Products: The Case Study of Crackers
Abstract
1. Introduction
2. Materials and Methods
2.1. Raw Materials and Chemicals
2.2. Preparation of Sunflower Oil with Different Oxidation Levels
2.3. Cracker preparation
2.4. Cracker Storage
2.5. Analytical Determinations
2.5.1. Moisture
2.5.2. Color
2.5.3. Peroxide Value
2.5.4. Rancid Odor
2.5.5. Kinetics Data Analysis
2.5.6. Shelf Life Computation
2.6. Statistical Analysis
3. Results and Discussion
3.1. Effect of Oil Oxidation Level on Quality of Freshly Prepared Crackers
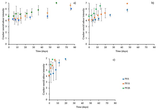
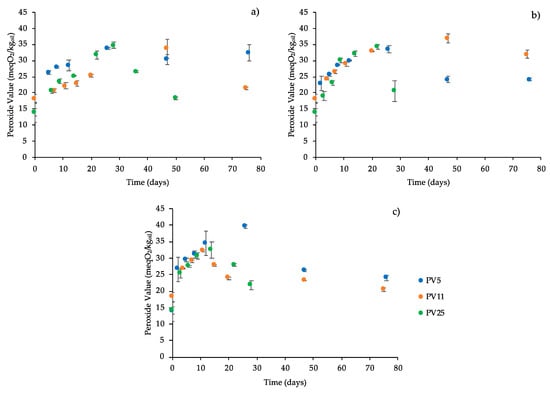
3.2. Identification of the Quality Indicator for Cracker Shelf Life Assessment
3.3. Development of a Model Predicting Cracker Shelf Life as a Function of Oil Oxidation Status
4. Conclusions
Author Contributions
Funding
Conflicts of Interest
References
- Nicoli, M.C. The shelf life assessment process. In Shelf Life Assessment of Food, Nicoli; Nicoli, M.C., Ed.; CRC PRESS, Taylor & Francis Group: Boca Raton, FL, USA, 2012; pp. 17–36. [Google Scholar]
- Hough, G. Sensory Shelf Life Estimation of Food Products; CRC Press Taylor & Francis Group: Boca Raton, FL, USA, 2010. [Google Scholar]
- Manzocco, L. The acceptability limit. In Shelf Life Assessment of Foods; CRC PRESS, Taylor & Francis Group: Boca Raton, FL, USA, 2012; pp. 37–70. [Google Scholar]
- Labuza, T.P. Shelf-Life Dating of Food; Food & Nutrition Press, Inc.: Westport, CT, USA, 1982. [Google Scholar]
- Labuza, T.P.; Schmidl, M.K. Accelerating shelf life testing of foods. Food Technol. 1985, 39, 57–64. [Google Scholar]
- Calligaris, S.; Manzocco, L.; Lagazio, C. Modeling shelf life using chemical., physical and sensory indicators. In Shelf Life Assessment of Food; Nicoli, M.C., Ed.; CRC PRESS, Taylor & Francis Group: Boca Raton, FL, USA, 2012; pp. 75–126. [Google Scholar]
- Nicoli, M.C.; Calligaris, S. Secondary Shelf Life: An Underestimated Issue. Food Eng. Rev. 2018, 10, 57–65. [Google Scholar] [CrossRef]
- Anese, M.; Manzocco, L.; Nicoli, M.C. Modeling the secondary shelf life of ground roasted coffee. J. Agric. Food Chem. 2006, 54, 5571–5576. [Google Scholar] [CrossRef] [PubMed]
- Lee, C.M.; Resurreccion, A.V.A. Consumer sensory attribute antesities and consumer acceptance of stored roasted peanuts using instrumental measurements. J. Food Qual. 2006, 29, 319–338. [Google Scholar] [CrossRef]
- Fu, Y.; Lim, L.T.; McNicholas, P. Changes on enological parameters of white wine packaged in bag-in-box during secondary shelf life. J. Food Sci. 2009, 74, 608–618. [Google Scholar] [CrossRef]
- Krichene, D.; Allalout, A.; Mancebo-Campos, V.; Salvador, M.D.; Zarrouk, M.; Fregapane, G. Stability of virgin olive oil and behaviour of its natural antioxidants under medium temperature accelerated storage conditions. Food Chem. 2010, 121, 171–177. [Google Scholar] [CrossRef]
- Cesa, S.; Casadei, M.; Cerreto, F.; Paolicelli, P. Infant milk formulas: Effect of storage conditions on the stability of powdered products towards autoxidation. Foods 2015, 4, 487–500. [Google Scholar] [CrossRef]
- Lee, D.H.; Kang, B.S.; Park, H.J. Effect of oxygen on volatile and sensory characteristics of Cabernet Sauvignon during secondary shelf life. J. Agric. Food Chem. 2011, 59, 11657–11666. [Google Scholar] [CrossRef] [PubMed]
- Krichene, D.; Salvador, M.D.; Fregapane, G. Stability of virgin olive oil phenolic compounds during long-term storage (18 months) at temperatures of 5−50 °C. J. Agric. Food Chem. 2015, 63, 6779–6786. [Google Scholar] [CrossRef] [PubMed]
- Garrido-Delgado, R.; Mar Dobao-Prieto, M.; Arce, L.; Cumplido, J.L.; Valca, M. Ion mobility spectrometry versus classical physico-chemical analysis for assessing the shelf life of extra virgin olive oil according to container type and storage conditions. J. Agric. Food Chem. 2015, 63, 2179–2188. [Google Scholar] [CrossRef] [PubMed]
- Galić, K.; Ćurić, D.; Gabrić, D. Shelf Life of Packaged Bakery Goods. A review. Crit. Rev. Food Sci. Nutr. 2009, 49, 405–426. [Google Scholar] [CrossRef] [PubMed]
- Kozłowska, M.; Żbikowska, A.; Szpicer, A.; Półtorak, A. Oxidative stability of lipid fractions of sponge-fat cakes after green tea extracts application. J. Food Sci. Technol. 2019, 56, 2628–2638. [Google Scholar] [CrossRef] [PubMed]
- Zbikowska, A.; Kozlowska, M.; Poltorak, A.; Kowalska, M.; Rutkowska, J.; Kupiec, M. Effect of addition of plant extracts on the durability and sensory properties of oat flake cookies. J. Therm. Anal. Calorim. 2018, 134, 1101–1111. [Google Scholar] [CrossRef]
- Frankel, E.N. Stability methods. In Lipid Oxidation; Frankel, E.N., Ed.; The Oily Press: Davis, CA, USA, 2005; pp. 165–186. [Google Scholar]
- Calligaris, S.; Pieve, S.D.; Kravina, G.; Manzocco, L.; Nicoli, C.M. Shelf life prediction of bread sticks using oxidation indices: A validation study. J. Food Sci. 2008, 73, 51–56. [Google Scholar] [CrossRef]
- Romani, S.; Tappi, S.; Balestra, F.; Rodriguez, T.; Siracusa, V.; Dalla, M. Effect of different new packaging materials on biscuit quality during accelerated storage. J. Sci. Food Agric. 2015, 95, 1736–1746. [Google Scholar] [CrossRef]
- Caruso, M.C.; Galgano, F.; Colangelo, M.A.; Condelli, N.; Scarpa, T.; Tolve, R.; Favati, F. Evaluation of the oxidative stability of bakery products by OXITEST method and sensory analysis. Eur. Food Res. Technol. 2017, 243, 1183–1191. [Google Scholar] [CrossRef]
- Chathuri, S.M.; Harshani Algama, C.; Wimalasekara, R.L.; Weerakoon, W.N.M.T.D.N.; Jayathilaka, N.; Seneviratne, K.N. Improvement of Oxidative Stability and Microbial Shelf Life of Vanilla Cake by Coconut Oil Meal and Sesame Oil Meal Phenolic Extracts. J. Food Qual. 2019. [Google Scholar] [CrossRef]
- Galanakis, C.M. The food systems in the era of the coronavirus (COVID-19) pandemic crisis. Foods 2020, 9, 523. [Google Scholar] [CrossRef]
- Alongi, M.; Sillani, S.; Lagazio, C.; Manzocco, L. Effect of expiry date communication on acceptability and waste of fresh-cut lettuce during storage at different temperatures. Food Res. Int. 2019, 116, 1121–1125. [Google Scholar] [CrossRef]
- Horwitz, W.; Latimer, G.W. Official Methods of Analysis of AOAC International, 18th ed.; AOAC International: Gaithersburg, MD, USA, 2005. [Google Scholar]
- Clydesdale, F.M.; Ahmed, E.M. Colorimetry—Methodology and applications. CRC Crit. Rev. Food Sci. Nutr. 1978, 10, 243–301. [Google Scholar] [CrossRef]
- Kristensen, D.; Orlien, V.; Mortensen, G.; Brockhoff, P.; Skibsted, L.H. Light-induced oxidation in sliced Havarti cheese packaged in modified atmosphere. Int. Dairy J. 2000, 10, 95–103. [Google Scholar] [CrossRef]
- Shantha, N.C.; Decker, E.A. Rapid, sensitive, iron-based spectrophotometric methods for determination of peroxide values of food lipids. J. AOAC Int. 1994, 77, 421–424. [Google Scholar] [CrossRef] [PubMed]
- Katsuda, M.S.; McCLements, D.J.; Miglioranza, L.H.S.; Decker, E.A. Physical and oxidative stability of fish oil-in-water emulsions stabilized with beta-lactoglobulin and pectin. J. Agric. Food Chem. 2008, 56, 5926–5931. [Google Scholar] [CrossRef] [PubMed]
- Labuza, T.P.; Riboh, D. Theory and application of Arrhenius kinetics to the prediction of nutrient losses in foods [Degradation, keeping, quality, temperature, quality controls, analysis, models]. Food Technol. 1982, 36, 66–74. [Google Scholar]
- Codex Alimentarius Commission. Report of the Fourteenth Session of the Codex Committee on Fats and Oils (ALINORM 95/17); FAO/WHO: Rome, Italy, 1993; CX 5/15.2, CL 1993/35-FO. [Google Scholar]
- Maire, M.; Rega, B.; Cuvelier, M.E.; Soto, P.; Giampaoli, P. Lipid oxidation in baked products: Impact of formula and process on the generation of volatile compounds. Food Chem. 2013, 141, 3510–3518. [Google Scholar] [CrossRef] [PubMed]
- Hu, M.; Jacobse, C. Oxidative Stability and Shelf Life of Foods Containing Oils and Fats; Academic Press: London, UK, 2016. [Google Scholar]
- Porter, N.A.; Cladwell, S.E.; Mills, K.A. Mechanisms of free radical oxidation of unsaturated lipids. Lipids 1995, 30, 277–290. [Google Scholar] [CrossRef] [PubMed]
- Barden, L.; Decker, E.A. Lipid oxidation in low-moisture food: A review. Crit. Rev. Food Sci. Nutr. 2013, 56, 2467–2482. [Google Scholar] [CrossRef]
- Whitfield, F.B.; Mottram, D.S. Critical reviews in food science and nutrition volatiles from interactions of maillard reactions and lipids volatiles from interactions of maillard reactions and lipids. Crit. Rev. Food Sci. Nutr. 1992, 31, 1–58. [Google Scholar] [CrossRef]
- Mastrocola, D.; Munari, M.; Lerici, C.R.; Cioroi, M. Interaction between maillard reaction products and lipid oxidation in intermediate-moisture model systems. Mail React. Foods Med. 2000, 80, 684–690. [Google Scholar] [CrossRef]
- Morales, F.J.; Babbel, M.B. Antiradical efficiency of Maillard reaction mixtures in a hydrophilic media. J. Agric. Food Chem. 2002, 50, 2788–2792. [Google Scholar] [CrossRef]
- Maillard, M.; Billaud, C.; Chow, Y.; Ordonaud, C.; Nicolas, J. Free radical scavenging, inhibition of polyphenoloxidase activity and copper chelating properties of model Maillard systems. LWT 2007, 40, 1434–1444. [Google Scholar] [CrossRef]
- Bressa, F.; Tesson, N.; Rosa, M.D.; Sensidoni, A. Antioxidant effect of maillard reaction Products: Application to a butter cookie of a competition kinetics analysis. J. Agric. Food Chem. 1996, 44, 692–695. [Google Scholar] [CrossRef]
- Berenzon, S.; Sam Saguy, I. Oxygen absorbers for extension of crackers shelf-life. LWT Food Sci. Technol. 1998, 31, 1–5. [Google Scholar] [CrossRef]
- Sakač, M.; Pestorić, M.; Mandić, A.; Mišan, A.; Nedeljković, N.; Jambrec, D.; Jovanov, P.; Lazić, V.; Pezo, L.; Sedej, I. Shelf-life prediction of gluten-free rice-buckwheat cookies. J. Cereal Sci. 2016, 69, 336–343. [Google Scholar] [CrossRef]
- Dittrich, R.; El-massry, F.; Kunz, K.; Kunz, K.; Rinaldi, F.; Peich, C.C.; Beckmann, M.W.; Pischetsrieder, M. Maillard reaction products inhibit oxidation of human low-density lipoproteins in vitro. J. Agric. Food Chem. 2003, 51, 3900–3904. [Google Scholar] [CrossRef] [PubMed]
- Johnson, D.R.; Decker, E.A. The role of oxygen in lipid oxidation reactions: A review. Annu. Rev. Food Sci. Technol. 2015, 6, 171–190. [Google Scholar] [CrossRef] [PubMed]
- Calligaris, S.; Manzocco, L.; Conte, L.S.; Nicoli, M.C. Application of a Modified Arrhenius equation for the evaluation of oxidation rate of sunflower oil at subzero temperatures. J. Food Sci. 2004, 69, 361–366. [Google Scholar] [CrossRef]
- Conte, L.; Milani, A.; Calligaris, S.; Rovellini, P.; Lucci, P.; Nicoli, M.C. Temperature dependence of oxidation kinetics of extra virgin olive oil (EVOO) and shelf-life prediction. Foods 2020, 9, 295. [Google Scholar] [CrossRef]
- Calligaris, S.; Manzocco, L.; Anese, M.; Nicoli, M.C. Shelf-life Assessment of Food Undergoing Oxidation–A review. Crit. Rev. Food Sci. Nutr. 2016, 56, 1903–1912. [Google Scholar] [CrossRef]
- Manzocco, L.; Panozzo, A.; Calligaris, S. Accelerated shelf life testing (ASLT) of oils by light and temperature exploitation. JAOCS J. Am. Oil Chem. Soc. 2012, 89, 577–583. [Google Scholar] [CrossRef]




| Oil | Cracker | ||||
|---|---|---|---|---|---|
| Oil PV (mEqO2/kgoil) | Moisture (% p/p) | Hue Angle (tg−1 (b*/a*)) | PV (mEqO2/kgoil) | Intensity of Rancid Odor | |
| Low | 5.06 ± 0.21 | 2.40 ± 0.63 a | 107.00 ± 1.29 a | 13.86 ± 3.06 b | 4.17 ± 1.08 a |
| Intermediate | 11.34 ± 0.63 | 2.45 ± 0.08 a | 108.72 ± 1.06 a | 18.18 ± 1.48 a | 4.10 ± 0.95 a |
| High | 25.22 ± 0.48 | 2.39 ± 0.13 a | 106.78 ± 1.63 a | 14.02 ± 1.10 b | 4.72 ± 0.90 a |
| Oil PV (mEqO2/kgoil) | Temperature (°C) | k (Rancid Odor Intensity/Day) | Standard Error | R2 |
|---|---|---|---|---|
| 5 | 20 | 0.013 | 0.003 | 0.81 |
| 40 | 0.040 | 0.003 | 0.98 | |
| 60 | 0.156 | 0.018 | 0.95 | |
| 11 | 20 | 0.025 | 0.003 | 0.95 |
| 40 | 0.067 | 0.003 | 0.99 | |
| 60 | 0.363 | 0.017 | 0.95 | |
| 25 | 20 | 0.038 | 0.018 | 0.95 |
| 40 | 0.136 | 0.017 | 0.95 | |
| 60 | 0.684 | 0.033 | 0.99 |
| Oil PV (mEqO2/kgoil) | ko (Rancid Odor Intensity/Day) | Ea (kJ/mol) | R2 | p |
|---|---|---|---|---|
| 5 | 1.37·107 | 50.82 | 0.99 | 0.06 |
| 11 | 7.81·107 | 53.53 | 0.96 | 0.12 |
| 25 | 2.48·108 | 58.53 | 0.99 | 0.06 |
© 2020 by the authors. Licensee MDPI, Basel, Switzerland. This article is an open access article distributed under the terms and conditions of the Creative Commons Attribution (CC BY) license (http://creativecommons.org/licenses/by/4.0/).
Share and Cite
Manzocco, L.; Romano, G.; Calligaris, S.; Nicoli, M.C. Modeling the Effect of the Oxidation Status of the Ingredient Oil on Stability and Shelf Life of Low-Moisture Bakery Products: The Case Study of Crackers. Foods 2020, 9, 749. https://doi.org/10.3390/foods9060749
Manzocco L, Romano G, Calligaris S, Nicoli MC. Modeling the Effect of the Oxidation Status of the Ingredient Oil on Stability and Shelf Life of Low-Moisture Bakery Products: The Case Study of Crackers. Foods. 2020; 9(6):749. https://doi.org/10.3390/foods9060749
Chicago/Turabian StyleManzocco, Lara, Giulia Romano, Sonia Calligaris, and Maria Cristina Nicoli. 2020. "Modeling the Effect of the Oxidation Status of the Ingredient Oil on Stability and Shelf Life of Low-Moisture Bakery Products: The Case Study of Crackers" Foods 9, no. 6: 749. https://doi.org/10.3390/foods9060749
APA StyleManzocco, L., Romano, G., Calligaris, S., & Nicoli, M. C. (2020). Modeling the Effect of the Oxidation Status of the Ingredient Oil on Stability and Shelf Life of Low-Moisture Bakery Products: The Case Study of Crackers. Foods, 9(6), 749. https://doi.org/10.3390/foods9060749
