Digital Image Filtering Optimization Supporting Iberian Ham Quality Prediction
Abstract
1. Introduction
2. Materials and Methods
2.1. Ham Samples
2.2. Image Acquisition
2.3. Image Processing
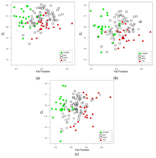
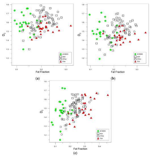
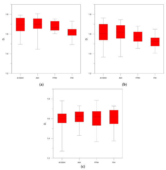
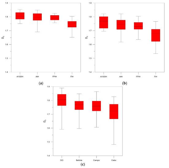
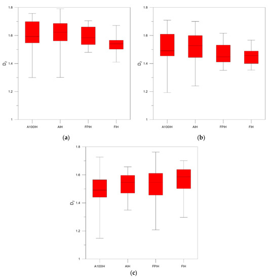
3. Results and Discussion
4. Conclusions
Author Contributions
Funding
Acknowledgments
Conflicts of Interest
References
- Garrido-Fernández, A.; León-Camacho, M. Assessing the effect of season, montanera length and sampling location on T Iberian pig fat by compositional data analysis and standard multivariate statistics. Food Chem. 2019, 295, 377–386. [Google Scholar] [CrossRef] [PubMed]
- Arroyo-Manzanares, N.; Martín-Gómez, M.; Jurado-Campos, N.; Garrido-Delgado, R.; Arce, C.; Arce, L. Target vs spectral fingerprint data analysis of Iberian ham samples for avoiding labelling fraud using headspace–gas chromatography–ion mobility spectrometry. Food Chem. 2018, 246, 65–73. [Google Scholar] [CrossRef] [PubMed]
- Ventanas, S.; Ventanas, J.; Ruiz, J. Sensory characteristics of Iberian dry-cured loins: Influence of crossbreeding and rearing system. Meat Sci. 2007, 75, 211–219. [Google Scholar] [CrossRef] [PubMed]
- Díaz-Caro, C.; García-Torres, S.; Elghannam, A.; Tejerina, D.; Mesias, F.J.; Ortiz, A. Is production system a relevant attribute in consumers’ food preferences? The case of Iberian dry-cured ham in Spain. Meat Sci. 2019, 158, 107908. [Google Scholar] [CrossRef] [PubMed]
- Giaretta, E.; Mordenti, A.L.; Canestrari, G.; Brogna, N.; Palmonari, A.; Formigoni, A. Assessment of muscle Longissimus thoracis et lumborum marbling by image analysis and relationships between meat quality parameters. PLoS ONE 2018, 13, e0202535. [Google Scholar] [CrossRef] [PubMed]
- Peña, F.; Molina, A.; Avilés, C.; Juárez, M.; Horcada, A. Marbling in the longissimus thoracis muscle from lean cattle breeds. Computer image analysis of fresh versus stained meat samples. Meat Sci. 2013, 95, 512–519. [Google Scholar] [CrossRef] [PubMed]
- Zapotoczny, P.; Szczypin_ski, P.M.; Daszkiewicz, T. Evaluation of the quality of cold meats by computer-assisted image analysis. LWT Food Sci. Technol. 2016, 67, 37–49. [Google Scholar] [CrossRef]
- Dowlati, M.; Mohtasebi, S.S.; Omid, M.; Razavi, S.H.; Jamzad, M.; de la Guardia, M. Freshness assessment of gilthead sea bream (Sparus aurata) by machine vision based on gill and eye color changes. J. Food Eng. 2013, 119, 277–287. [Google Scholar] [CrossRef]
- Ivorra, E.; Sánchez, A.J.; Verdú, S.; Barat, J.M.; Grau, R. Shelf life prediction of expired vacuum-packed chilled smoked salmon based on a KNN tissue segmentation method using hyperspectral images. J. Food Eng. 2016, 178, 110–116. [Google Scholar] [CrossRef]
- Jackman, P.; Sun, D.-W. 10—Computer vision in the fresh and processed meat industries. In Computer Vision Technology in the Food and Beverage Industries; Sun, D.-W., Ed.; Woodhead Publishing: Cambridge, UK, 2012; pp. 255–276. [Google Scholar] [CrossRef]
- Konda Naganathan, G.; Cluff, K.; Samal, A.; Calkins, C.R.; Jones, D.D.; Lorenzen, C.L.; Subbiah, J. Hyperspectral imaging of ribeye muscle on hanging beef carcasses for tenderness assessment. Comput. Electron. Agric. 2015, 116, 55–64. [Google Scholar] [CrossRef]
- Mery, D.; Lillo, I.; Loebel, H.; Riffo, V.; Soto, A.; Cipriano, A.; Aguilera, J.M. Automated Detection of Fish Bones in Salmon Fillets Using X-ray Testing. In Proceedings of the 2010 Fourth Pacific-Rim Symposium on Image and Video Technology, Singapore, 14–17 November 2010; pp. 46–51. [Google Scholar] [CrossRef]
- Wu, D.; Sun, D.W. Colour measurements by computer vision for food quality control—A review. Trends Food Sci. Technol. 2013, 29, 5–20. [Google Scholar] [CrossRef]
- Niazi, M.K.K. Image Filtering Methods for Biomedical Applications. In Digital Comprehensive Summaries of Uppsala Dissertations from the Faculty of Science and Technology; Acta Universitatis Upsaliensis: Uppsala, Sweden, 2011; Volume 852, p. 61. [Google Scholar]
- Yang, C.-C. Image enhancement by the modified high-pass filtering approach. Optik 2009, 120, 886–889. [Google Scholar] [CrossRef]
- Xiao, L.; Li, C.; Wu, Z.; Wang, T. An enhancement method for X-ray image via fuzzy noise removal and homomorphic filtering. Neurocomputing 2016, 195, 56–64. [Google Scholar] [CrossRef]
- Dogra, A.; Bhalla, P. Image Sharpening by Gaussian and Butterworth High Pass Filter. Biomed. Pharmacol. J. 2014, 7, 707–713. [Google Scholar] [CrossRef]
- Lin, W.-C.; Wang, J.-W. Edge detection in medical images with quasi high-pass filter based on local statistics. Biomed. Signal Process. Control 2018, 39, 294–302. [Google Scholar] [CrossRef]
- Ghani, A.S.; Isa, N.A.M. Homomorphic filtering with image fusion for enhancement of details and homogeneous contrast of underwater image. Indian J. Geo Mar. Sci. 2016, 44, 1904–1919. [Google Scholar]
- Verdú, S.; Barat, J.M.; Grau, R. Fresh-sliced tissue inspection: Characterization of pork and salmon composition based on fractal analytics. Food Bioprod. Process. 2019, 116, 20–29. [Google Scholar] [CrossRef]
- Caballero, D.; Antequera, T.; Caro, A.; Amigo, J.M.; ErsbØll, B.K.; Dahl, A.B.; Pérez-Palacios, T. Analysis of MRI by fractals for prediction of sensory attributes: A case study in loin. J. Food Eng. 2018, 227, 1–10. [Google Scholar] [CrossRef]
- He, Q.; Zhu, L.; Shen, Y.; Lin, X.; Xiao, K. Evaluation of the effects of frozen storage on the microstructure of tilapia (Perciformes: Cichlidae) through fractal dimension method. LWT Food Sci. Technol. 2015, 64, 1283–1288. [Google Scholar] [CrossRef]
- Quevedo, R.; Valencia, E.; Cuevas, G.; Ronceros, B.; Pedreschi, F.; Bastías, J.M. Color changes in the surface of fresh cut meat: A fractal kinetic application. Food Res. Int. 2013, 54, 1430–1436. [Google Scholar] [CrossRef]
- Serrano, S.; Perán, F.; Jiménez-Hornero, F.J.; Gutiérrez de Ravé, E. Multifractal analysis application to the characterization of fatty infiltration in Iberian and White pork sirloins. Meat Sci. 2013, 93, 723–732. [Google Scholar] [CrossRef]
- Ávila, M.M.; Durán, M.L.; Caballero, D.; Antequera, T.; Palacios-Pérez, T.; Cernadas, E.; Fernández-Delgado, M. Magnetic Resonance Imaging, texture analysis and regression techniques to non-destructively predict the quality characteristics of meat pieces. Eng. Appl. Artif. Intell. 2019, 82, 110–125. [Google Scholar] [CrossRef]
- Joshi, B.; Beccard, S.; Vilgis, T.A. Fractals in crystallizing food systems. Curr. Opin. Food Sci. 2018, 21, 39–45. [Google Scholar] [CrossRef]
- Ropodi, A.I.; Panagou, E.Z.; Nychas, G.-J.E. Data mining derived from food analyses using non-invasive/non-destructive analytical techniques; determination of food authenticity, quality & safety in tandem with computer science disciplines. Trends Food Sci. Technol. 2016, 50, 11–25. [Google Scholar] [CrossRef]
- Valous, N.A.; Zheng, L.; Sun, D.-W.; Tan, J. Quality Evaluation of Meat Cuts. In Computer Vision Technology for Food Quality Evaluation, 2nd ed.; Sun, D.-W., Ed.; Academic Press: San Diego, CA, USA, 2016; pp. 175–193. [Google Scholar] [CrossRef]
- Pérez-Palacios, T.; Caballero, D.; Caro, A.; Rodríguez, P.G.; Antequera, T. Applying data mining and Computer Vision Techniques to MRI to estimate quality traits in Iberian hams. J. Food Eng. 2014, 131, 82–88. [Google Scholar] [CrossRef]
- Caballero, D.; Caro, A.; Rodríguez, P.G.; Durán, M.L.; del Mar Ávila, M.; Palacios, R.; Antequera, T.; Pérez-Palacios, T. Modeling salt diffusion in Iberian ham by applying MRI and data mining. J. Food Eng. 2016, 189, 115–122. [Google Scholar] [CrossRef]
- Pérez-Palacios, T.; Caballero, D.; Antequera, T.; Durán, M.L.; Ávila, M.; Caro, A. Optimization of MRI Acquisition and Texture Analysis to Predict Physico-chemical Parameters of Loins by Data Mining. Food Bioprocess Technol. 2017, 10, 750–758. [Google Scholar] [CrossRef]
- Caballero, D.; Pérez-Palacios, T.; Caro, A.; Amigo, J.M.; Dahl, A.B.; ErsbØll, B.K.; Antequera, T. Prediction of pork quality parameters by applying fractals and data mining on MRI. Food Res. Int. 2017, 99, 739–747. [Google Scholar] [CrossRef]
- Barbon, A.P.A.; Barbon, S.; Mantovani, R.G.; Fuzyi, E.M.; Peres, L.M.; Bridi, A.M. Storage time prediction of pork by Computational Intelligence. Comput. Electron. Agric. 2016, 127, 368–375. [Google Scholar] [CrossRef]
- Da Costa Barbon, A.P.A.; Barbon, S.; Campos, G.F.C.; Seixas, J.L.; Peres, L.M.; Mastelini, S.M.; Andreo, N.; Ulrici, A.; Bridi, A.M. Development of a flexible Computer Vision System for marbling classification. Comput. Electron. Agric. 2017, 142, 536–544. [Google Scholar] [CrossRef]
- Serrano, S.; Perán, F.; de Ravé, E.G.; Cumplido, A.; Jiménez-Hornero, F.J. Multifractal analysis application to the study of fat and its infiltration in Iberian ham: Influence of racial and feeding factors and type of slicing. Meat Sci. 2019, 148, 55–63. [Google Scholar] [CrossRef]
- Benguigui, L.; Czamanski, D.; Marinov, M.; Portugali, Y. When and where is a city fractal? Environ. Plan. B Plan. Des. 2000, 27, 507–519. [Google Scholar] [CrossRef]
- Chen, Y.; Wang, J.; Feng, J. Understanding the fractal dimensions of urban forms through spatial entropy. Entropy 2017, 19, 600. [Google Scholar] [CrossRef]









| Batch | A100IH | AIH | FPIH | FIH |
|---|---|---|---|---|
| 1 | 12 | 26 | 12 | 11 |
| 2 | 13 | 21 | 14 | 12 |
| Method | Ham Design | Fractal Dimension | |||||
|---|---|---|---|---|---|---|---|
| D0 | D1 | D2 | |||||
| Mean | Standard Error | Mean | Standard Error | Mean | Standard Error | ||
| Unfiltered Image | A100IH | 1.7991 | 0.0094 | 1.5967 | 0.0148 | 1.4885 | 0.0171 |
| AIH | 1.7609 | 0.0051 | 1.6184 | 0.0067 | 1.5364 | 0.0078 | |
| FPIH | 1.7520 | 0.0075 | 1.6011 | 0.0131 | 1.5269 | 0.0165 | |
| FIH | 1.7101 | 0.0120 | 1.6055 | 0.0143 | 1.5589 | 0.0148 | |
| High-Pass Filter 25 Pixels | A100IH | 1.8051 | 0.0048 | 1.6761 | 0.0146 | 1.5889 | 0.0209 |
| AIH | 1.7939 | 0.0053 | 1.6906 | 0.0113 | 1.6140 | 0.0154 | |
| FPIH | 1.7914 | 0.0043 | 1.6760 | 0.0092 | 1.5875 | 0.0139 | |
| FIH | 1.7456 | 0.0079 | 1.6174 | 0.0113 | 1.5410 | 0.0128 | |
| High-Pass Filter 50 Pixels | A100IH | 1.7650 | 0.0087 | 1.6021 | 0.0182 | 1.4978 | 0.0232 |
| AIH | 1.7400 | 0.0071 | 1.6043 | 0.0135 | 1.5147 | 0.0163 | |
| FPIH | 1.7324 | 0.0071 | 1.5747 | 0.0119 | 1.4714 | 0.0151 | |
| FIH | 1.6666 | 0.0118 | 1.5193 | 0.0122 | 1.4456 | 0.0118 | |
© 2019 by the authors. Licensee MDPI, Basel, Switzerland. This article is an open access article distributed under the terms and conditions of the Creative Commons Attribution (CC BY) license (http://creativecommons.org/licenses/by/4.0/).
Share and Cite
Perán-Sánchez, F.; Serrano, S.; Gutiérrez de Ravé, E.; Sánchez-López, E.; Cumplido, A.; Jiménez-Hornero, F.J. Digital Image Filtering Optimization Supporting Iberian Ham Quality Prediction. Foods 2020, 9, 25. https://doi.org/10.3390/foods9010025
Perán-Sánchez F, Serrano S, Gutiérrez de Ravé E, Sánchez-López E, Cumplido A, Jiménez-Hornero FJ. Digital Image Filtering Optimization Supporting Iberian Ham Quality Prediction. Foods. 2020; 9(1):25. https://doi.org/10.3390/foods9010025
Chicago/Turabian StylePerán-Sánchez, Francisco, Salud Serrano, Eduardo Gutiérrez de Ravé, Elena Sánchez-López, Ana Cumplido, and Francisco J. Jiménez-Hornero. 2020. "Digital Image Filtering Optimization Supporting Iberian Ham Quality Prediction" Foods 9, no. 1: 25. https://doi.org/10.3390/foods9010025
APA StylePerán-Sánchez, F., Serrano, S., Gutiérrez de Ravé, E., Sánchez-López, E., Cumplido, A., & Jiménez-Hornero, F. J. (2020). Digital Image Filtering Optimization Supporting Iberian Ham Quality Prediction. Foods, 9(1), 25. https://doi.org/10.3390/foods9010025

