Exploring Metabolite Changes in Crispy Tilapia During the Crisping Process via 1H-NMR Metabolomic Analysis
Abstract
1. Introduction
2. Materials and Methods
2.1. Samples Obtainment and Preparation
2.2. Chemicals
2.3. Texture Profile Analysis (TPA)
2.4. Comprehensive Evaluation of Crispness Based on the Entropy Weight Method
2.5. Histological Analysis
2.6. 1H NMR Analysis
2.6.1. Sample Preparation for 1H NMR
2.6.2. NMR Experiments
2.6.3. 1H NMR Data Processing for Statistical Analysis
2.6.4. Multivariate Statistical Analysis
2.6.5. Metabolite Identification and Quantification
2.6.6. Putative Identification and Analysis of Differential Metabolites
2.7. Statistical Analysis
3. Results
3.1. Texture Profile Analysis (TPA)
| TPA Index | Entropy Weight |
|---|---|
| Hardness | 22.96% |
| Springiness | 7.54% |
| Cohesiveness | 13.26% |
| Gumminess | 20.49% |
| Chewiness | 21.72% |
| Resilience | 14.03% |
3.2. Characterization of Muscle Tissue Metabolome
3.3. Characterization of Muscle Tissue Metabolome
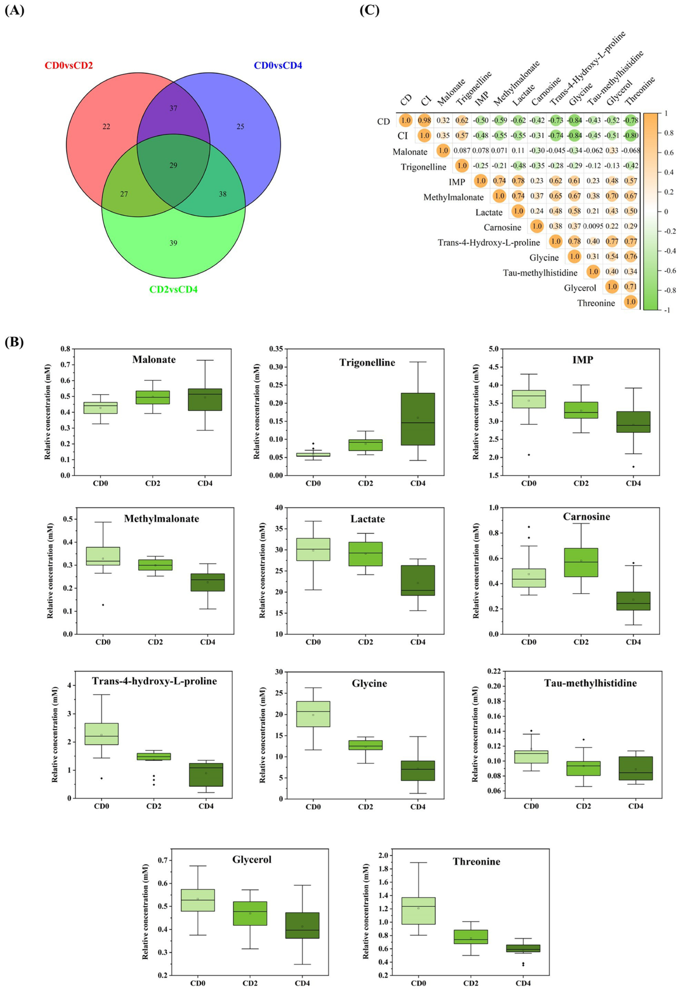
3.4. Screening for Differential Biomarkers
3.5. Key Metabolic Pathway Analysis
3.6. Histological Analysis of Muscle
4. Discussion
4.1. Effect of Crispy Flesh Culture on the Texture Properties of Tilapia
4.2. Effects of Crisp Flesh Culture on the Metabolism of Tilapia
4.2.1. Crispy Flesh Culture Promotes Collagen Synthesis and Improves Muscle Texture
4.2.2. Crispy Flesh Culture Accelerates Energy Metabolism
4.2.3. Crispy Flesh Culture Facilitates Tilapia Muscle Cell Growth
4.2.4. Crispy Flesh Culture Accelerates Glycerol Metabolism
5. Conclusions
Supplementary Materials
Author Contributions
Funding
Institutional Review Board Statement
Informed Consent Statement
Data Availability Statement
Acknowledgments
Conflicts of Interest
Abbreviations
| 1H-NMR | Proton nuclear magnetic resonance spectroscopy |
| PCA | Principal Components Analysis |
| OPLS-DA | Orthogonal Partial Least Squares–Discriminant Analysis |
| VIP | Variable Important in Projection |
| FC | Fold Change |
| EWM | Entropy weight method |
| TSP | 2,2,3,3-Tetramethylsilane propionate |
| CI | Composite Index |
Appendix A. The Entropy Weight Method (EWM)
References
- El Sayed, A.F.M.; Fitzsimmons, K. From Africa to the world—The journey of Nile tilapia. Rev. Aquac. 2023, 15, 6–21. [Google Scholar] [CrossRef]
- Wu, F.; Wen, H.; Tian, J.; Jiang, M.; Liu, W.; Yang, C.; Yu, L.; Lu, X. Effect of stocking density on growth performance, serum biochemical parameters, and muscle texture properties of genetically improved farm tilapia, Oreochromis niloticus. Aquac. Int. 2018, 26, 1247–1259. [Google Scholar] [CrossRef]
- Zhang, W.; Murray, F.J.; Liu, L.; Little, D.C. A comparative analysis of four internationally traded farmed seafood commodities in China: Domestic and international markets as key drivers. Rev. Aquac. 2017, 9, 157–178. [Google Scholar] [CrossRef]
- Xiao, H.; Yu, J.; Song, L.; Hu, M.; Guo, H.; Xue, Y.; Xue, C. Characterization of flesh firmness and ease of separation in the fermentation of sea bass in terms of protein structure, texture, and muscle tissue structural changes. Food Res. Int. 2022, 162, 111965. [Google Scholar] [CrossRef] [PubMed]
- Tong, F.; Bai, J.; Tang, Z.; Li, C.; Liu, S.; Wei, Z. Replacing Fish Meal with Hydrolyzed Collagen Derived from Fish By-Products Improved Muscle Quality and Glycolipid Metabolism of Triploid Crucian Carp. Foods 2023, 12, 1235. [Google Scholar] [CrossRef]
- Peng, K.; Fu, B.; Li, J.; Zhao, H.; Cao, J.; Huang, W.; Chen, B.; Li, X.; Peng, Z.; Wei, M. Effects of replacing soybean meal and rapeseed meal with faba bean meal on growth performance and muscle quality of tilapia (Oreochromis niloticus). Aquac. Rep. 2022, 26, 101328. [Google Scholar] [CrossRef]
- Li, Q.; Huang, Y.; Xie, X.; Zhai, X.; Chen, M.; Liang, D.; Cao, M.; Liang, S.; Lin, L. Comparison of growth, and non-specific immune of crisp and ordinary tilapia (Oreochromis niloticus). Aquaculture 2023, 562, 738827. [Google Scholar] [CrossRef]
- Xie, X.; Zhai, X.; Chen, M.; Li, Q.; Huang, Y.; Zhao, L.; Wang, Q.; Lin, L. Effects of frozen storage on texture, chemical quality indices and sensory properties of crisp Nile tilapia fillets. Aquac. Fish. 2023, 8, 626–633. [Google Scholar] [CrossRef]
- Zhu, M.; Liu, Q.; Zhang, Y.; Chen, J.; Sun, Z.; Ren, C.; Zhang, Z.; Cheng, X.; Huang, Y. Nutritive value of faba bean (Vicia faba L.) as a feedstuff resource in livestock nutrition: A review. Food Sci. Nutr. 2021, 9, 5244–5262. [Google Scholar] [CrossRef]
- Macusi, E.D.; Cayacay, M.A.; Borazon, E.Q.; Sales, A.C.; Habib, A.; Fadli, N.; Santos, M.D. Protein Fishmeal Replacement in Aquaculture: A Systematic Review and Implications on Growth and Adoption Viability. Sustainability 2023, 15, 12500. [Google Scholar] [CrossRef]
- Li, Q.; Huang, Y.; Zhang, X.; Qin, Z.; Zou, C.; Tan, X.; Xie, X.; Liang, S.; Lin, L. Effects of faba beans (Vicia faba L.) on growth performance, textural quality and physiological indices of tilapia (Oreochromis niloticus). Aquaculture 2023, 574, 739640. [Google Scholar] [CrossRef]
- Li, Q.; Huang, Y.; Zhang, X.; Zou, C.; Lin, L. Improvement of muscle quality in tilapia (Oreochromis niloticus) with dietary faba bean (Vicia faba L.). Front. Nutr. 2023, 10, 1153323. [Google Scholar] [CrossRef] [PubMed]
- Wu, W.; Zhang, L.; Zheng, X.; Huang, Q.; Farag, M.A.; Zhu, R.; Zhao, C. Emerging applications of metabolomics in food science and future trends. Food Chem. X 2022, 16, 100500. [Google Scholar] [CrossRef] [PubMed]
- Fu, S.; Wang, B.; Zhu, Y.; Xue, Y.; Zhong, W.; Miao, Y.; Du, Y.; Wang, A.; Wang, L. Effects of faba bean (Vicia faba) diet on amino acid and fatty acid composition, flesh quality and expression of muscle quality-related genes in muscle of “crispy” grass carp, Ctenopharyngodon idella. Aquac. Res. 2022, 53, 4653–4662. [Google Scholar] [CrossRef]
- Xu, W.; Guo, H.; Chen, S.; Wang, Y.; Lin, Z.; Huang, X.; Tang, H.; He, Y.; Sun, J.; Gan, L. Transcriptome analysis revealed changes of multiple genes involved in muscle hardness in grass carp (Ctenopharyngodon idellus) fed with faba bean meal. Food Chem. 2020, 314, 126205. [Google Scholar] [CrossRef]
- FAO. Fisheries and Aquaculture Circular No. 1165: Overview of Food Fraud in the Fisheries Sector; Food and Agriculture Organization of the United Nations: Rome, Italy, 2018. [Google Scholar]
- Koban Baştanlar, E. Identification of mislabelling in frozen fish fillets based on DNA barcoding analysis. Mar. Sci. Technol. Bull. 2019, 8, 30–35. [Google Scholar] [CrossRef]
- Meledina, A.; Straka, D.; Soucek, F.; Smirnova, T.A.; Kuckova, S. Rapid Determination of Fish Species of Raw and Heat-Treated Fish Meat Using Proteomic Species-Specific Markers. Food Technol. Biotechnol. 2025, 63, 287–297. [Google Scholar] [CrossRef]
- Ribeiro, M.V.d.M.; Boralle, N.; Pezza, H.R.; Pezza, L.; Toci, A.T. Authenticity of roasted coffee using 1H NMR spectroscopy. J. Food Compos. Anal. 2017, 57, 24–30. [Google Scholar] [CrossRef]
- Emwas, A.; Roy, R.; Mckay, R.T.; Tenori, L.; Saccenti, E.; Gowda, G.A.N.; Raftery, D.; Alahmari, F.; Jaremko, L.; Jaremko, M.; et al. NMR Spectroscopy for Metabolomics Research. Metabolites 2019, 9, 123. [Google Scholar] [CrossRef]
- Aru, V.; Khakimov, B.; Sorensen, K.M.; Chikwati, E.M.; Kortner, T.M.; Midtlyng, P.; Krogdahl, A.; Engelsen, S.B. The plasma metabolome of Atlantic salmon as studied by 1H NMR spectroscopy using standard operating procedures: Effect of aquaculture location and growth stage. Metabolomics 2021, 17, 6. [Google Scholar] [CrossRef]
- Casu, F.; Watson, A.M.; Yost, J.; Leffler, J.W.; Gaylord, T.G.; Barrows, F.T.; Sandifer, P.A.; Denson, M.R.; Bearden, D.W. Metabolomics Analysis of Effects of Commercial Soy-based Protein Products in Red Drum (Sciaenops ocellatus). J. Proteome Res. 2017, 16, 2481–2494. [Google Scholar] [CrossRef]
- Wei, Y.; Liang, M.; Mai, K.; Zheng, K.; Xu, H. The effect of ultrafiltered fish protein hydrolysate levels on the liver and muscle metabolic profile of juvenile turbot (Scophthalmus maximus L.) by 1H NMR-based metabolomics studies. Aquac. Res. 2017, 48, 3515–3527. [Google Scholar] [CrossRef]
- Young, T.; Alfaro, A.C. Metabolomic strategies for aquaculture research: A primer. Rev. Aquac. 2018, 10, 26–56. [Google Scholar] [CrossRef]
- Lin, W.; Zeng, Q.; Zhu, Z. Different changes in mastication between crisp grass carp (Ctenopharyngodon idellus C.et V) and grass carp (Ctenopharyngodon idellus) after heating: The relationship between texture and ultrastructure in muscle tissue. Food Res. Int. 2009, 42, 271–278. [Google Scholar] [CrossRef]
- Shen, G.; Huang, Y.; Dong, J.; Wang, X.; Cheng, K.; Feng, J.; Xu, J.; Ye, J. Metabolic Effect of Dietary Taurine Supplementation on Nile Tilapia (Oreochromis niloticus) Evaluated by NMR-Based Metabolomics. J. Agric. Food Chem. 2018, 66, 368–377. [Google Scholar] [CrossRef] [PubMed]
- Zhao, X.; Wu, J.; Chen, L.; Yang, H. Effect of vacuum impregnated fish gelatin and grape seed extract on metabolite profiles of tilapia (Oreochromis niloticus) fillets during storage. Food Chem. 2019, 293, 418–428. [Google Scholar] [CrossRef]
- Melendez-Hevia, E.; De Paz-Lugo, P.; Cornish-Bowden, A.; Cardenas, M.L. A weak link in metabolism: The metabolic capacity for glycine biosynthesis does not satisfy the need for collagen synthesis. J. Biosci. 2009, 34, 853–872. [Google Scholar] [CrossRef]
- Yu, E.; Fu, B.; Wang, G.; Li, Z.; Ye, D.; Jiang, Y.; Ji, H.; Wang, X.; Yu, D.; Ehsan, H.; et al. Proteomic and metabolomic basis for improved textural quality in crisp grass carp (Ctenopharyngodon idellus C.et V) fed with a natural dietary pro-oxidant. Food Chem. 2020, 325, 126906. [Google Scholar] [CrossRef]
- Song, D.; Yun, Y.; He, Z.; Mi, J.; Luo, J.; Jin, M.; Zhou, Q.; Nie, G. Effects of faba bean (Vicia faba L.) on fillet quality of Yellow River carp (Cyprinus carpio) via the oxidative stress response. Food Chem. 2022, 388, 132953. [Google Scholar] [CrossRef]
- Aguirre, M.E.; Owens, C.M.; Miller, R.K.; Alvarado, C.Z. Descriptive sensory and instrumental texture profile analysis of woody breast in marinated chicken. Poult. Sci. 2018, 97, 1456–1461. [Google Scholar] [CrossRef]
- Johnsen, C.A.; Hagen, Ø.; Adler, M.; Jönsson, E.; Kling, P.; Bickerdike, R.; Solberg, C.; Björnsson, B.T.; Bendiksen, E.Å. Effects of feed, feeding regime and growth rate on flesh quality, connective tissue and plasma hormones in farmed Atlantic salmon (Salmo salar L.). Aquaculture 2011, 318, 343–354. [Google Scholar] [CrossRef]
- Valente, L.M.P.; Moutou, K.A.; Conceição, L.E.C.; Engrola, S.; Fernandes, J.M.O.; Johnston, I.A. What determines growth potential and juvenile quality of farmed fish species? Rev. Aquac. 2013, 5, S168–S193. [Google Scholar] [CrossRef]
- Johnston, I.A.; Li, X.; Vieira, V.L.A.; Nickell, D.; Dingwall, A.; Alderson, R.; Campbell, P.; Bickerdike, R. Muscle and flesh quality traits in wild and farmed Atlantic salmon. Aquaculture 2006, 256, 323–336. [Google Scholar] [CrossRef]
- Purslow, P.P. Intramuscular connective tissue and its role in meat quality. Meat Sci. 2004, 70, 435–447. [Google Scholar] [CrossRef]
- Moreno, H.M.; Montero, M.P.; Gomez-Guillen, M.C.; Fernandez-Martin, F.; Morkore, T.; Borderias, J. Collagen characteristics of farmed Atlantic salmon with firm and soft fillet texture. Food Chem. 2012, 134, 678–685. [Google Scholar] [CrossRef]
- Sai-Ut, S.; Watchasit, S.; Indriani, S.; Srisakultiew, N.; Boonanuntanasarn, S.; Nakharuthai, C.; Kingwascharapong, P.; Pongsetkul, J. 1H NMR metabolomic responses correlated to meat quality of Nile tilapia (Oreochromis niloticus) reared under combined dietary salt and water salinity conditions. Food Chem. X 2025, 32, 103235. [Google Scholar] [CrossRef]
- Belghit, I.; Philip, A.J.P.; Maas, R.M.; Lock, E.J.; Eding, E.H.; Espe, M.; Schrama, J.W. Impact of dietary glutamate and glycine on growth and nutrient utilization in rainbow trout (Oncorhynchus mykiss). Aquaculture 2023, 568, 739311. [Google Scholar] [CrossRef]
- Wei, Z.; Ma, J.; Pan, X.; Mu, H.; Li, J.; Shentu, J.; Zhang, W.; Mai, K. Dietary hydroxyproline improves the growth and muscle quality of large yellow croaker Larimichthys crocea. Aquaculture 2016, 464, 497–504. [Google Scholar] [CrossRef]
- Xie, S.; Tian, L.; Jin, Y.; Yang, H.; Liang, G.; Liu, Y. Effect of glycine supplementation on growth performance, body composition and salinity stress of juvenile Pacific white shrimp, Litopenaeus vannamei fed low fishmeal diet. Aquaculture 2014, 418, 159–164. [Google Scholar] [CrossRef]
- Wen, M.; Wu, P.; Jiang, W.; Liu, Y.; Wu, C.; Zhong, C.; Li, S.; Tang, L.; Feng, L.; Zhou, X. Dietary threonine improves muscle nutritional value and muscle hardness associated with collagen synthesis in grass carp (Ctenopharyngodon idella). Food Chem. 2023, 422, 136223. [Google Scholar] [CrossRef]
- Gelse, K.; Pöschl, E.; Aigner, T. Collagens: Structure, function, and biosynthesis. Adv. Drug Deliv. Rev. 2003, 55, 1531–1546. [Google Scholar] [CrossRef]
- Peiretti, P.G.; Medana, C.; Visentin, S.; Giancotti, V.; Zunino, V.; Meineri, G. Determination of carnosine, anserine, homocarnosine, pentosidine and thiobarbituric acid reactive substances contents in meat from different animal species. Food Chem. 2011, 126, 1939–1947. [Google Scholar] [CrossRef] [PubMed]
- De Moraes Vilar, C.S.M.; Malheiros, J.M.; Silva, P.F.D.; Martins, E.H.; Correia, L.E.C.D.; de Oliveira, M.H.V.; Colnago, L.A.; de Vasconcelos Silva, J.A.I.I.; Mercadante, M.E.Z. Muscle growth affects the metabolome of the pectoralis major muscle in red-winged tinamou (Rhynchotus rufescens). Poult. Sci. 2023, 102, 103104. [Google Scholar] [CrossRef] [PubMed]
- Rabinowitz, J.D.; Enerback, S. Lactate: The ugly duckling of energy metabolism. Nat. Metab. 2020, 2, 566–571. [Google Scholar] [CrossRef] [PubMed]
- Rodrigues, M.S.; Rocha, M.D.; Ferreira, S.P.; Costa, F.G.; Mendes, W.; Fonseca, C.R. Methylmalonate inhibits succinate-supported oxygen consumption by interfering with mitochondrial succinate uptake. J. Inherit. Metab. Dis. 2008, 31, 44–54. [Google Scholar] [CrossRef]
- Hoerterer, C.; Petereit, J.; Lannig, G.; Bock, C.; Buck, B.H. 1H-NMR-Based Metabolic Profiling in Muscle and Liver Tissue of Juvenile Turbot (Scophthalmus maximus) Fed with Plant and Animal Protein Sources. Metabolites 2023, 13, 612. [Google Scholar] [CrossRef]
- Asaduzzaman, M.; Ikeda, D.; Abol-Munafi, A.B.; Bulbul, M.; Ali, M.E.; Kinoshita, S.; Watabe, S.; Kader, M.A. Dietary supplementation of inosine monophosphate promotes cellular growth of muscle and upregulates growth-related gene expression in Nile tilapia Oreochromis niloticus. Aquaculture 2017, 468, 297–306. [Google Scholar] [CrossRef]
- Consolo, N.R.B.; Buarque, V.L.M.; Silva, J.; Poleti, M.D.; Barbosa, L.C.G.S.; Higuera-Padilla, A.; Gomez, J.F.M.; Colnago, L.A.; Gerrard, D.E.; Netto, A.S.; et al. Muscle and liver metabolomic signatures associated with residual feed intake in Nellore cattle. Anim. Feed Sci. Technol. 2021, 271, 114757. [Google Scholar] [CrossRef]
- Janos, K.; Ecker, M.P.; Jelinek, L.E.; Liska, H.C. Fatty acid chain elongation in palmitate-perfused working rat heart: Mitochondrial acetyl-CoA is the source of two-carbon units for chain elongation. J. Biol. Chem. 2014, 289, 10223–10234. [Google Scholar] [CrossRef]
- Lefevre, F.; Cardinal, M.; Bugeon, J.; Labbe, L.; Medale, F.; Quillet, E. Selection for muscle fat content and triploidy affect flesh quality in pan-size rainbow trout, Oncorhynchus mykiss. Aquaculture 2015, 448, 569–577. [Google Scholar] [CrossRef]
- Li, R.; Wang, S.; Sun, Y.; Zhang, X. Multi-Omics Insights into the Effects of Long-Term Faba Bean Feeding on Muscle Quality and Metabolic Reprogramming in Nile Tilapia (Oreochromis niloticus). Int. J. Mol. Sci. 2025, 26, 10819. [Google Scholar] [CrossRef]






| Group | Hardness (g) | Springiness | Cohesiveness | Chewiness (g) | Resilience | Gumminess (g) | |
|---|---|---|---|---|---|---|---|
| raw | CD 0 | 937.59 ± 334.80 b | 0.82 ± 0.11 a | 0.68 ± 0.03 b | 539.70 ± 241.44 b | 0.52 ± 0.05 b | 631.24 ± 213.14 b |
| CD 2 | 1192.75 ± 460.88 b | 0.71 ± 0.03 b | 0.74 ± 0.02 a | 624.50 ± 243.85 b | 0.62 ± 0.04 a | 879.40 ± 345.03 b | |
| CD 4 | 1978.75 ± 395.54 a | 0.70 ± 0.04 b | 0.71 ± 0.02 a | 995.82 ± 231.93 a | 0.61 ± 0.05 a | 1415.26 ± 296.13 a | |
| cooked | CD 0 | 364.72 ± 31.93 b | 0.68 ± 0.05 b | 0.47 ± 0.03 b | 117.91 ± 16.82 b | 0.18 ± 0.01 c | 172.30 ± 20.22 b |
| CD 2 | 623.42 ± 219.16 ab | 0.86 ± 0.06 a | 0.73 ± 0.04 a | 395.02 ± 142.07 a | 0.40 ± 0.03 a | 457.67 ± 161.21 a | |
| CD 4 | 914.43 ± 440.70 a | 0.80 ± 0.02 a | 0.72 ± 0.02 a | 523.74 ± 243.92 a | 0.37 ± 0.02 b | 655.32 ± 310.65 a | |
| No. | Metabolites | 1H Chemical Shift (ppm) a | Assignments b |
|---|---|---|---|
| 1 | Cholate | 0.73 (s) | CH3 |
| 2 | Pantothenate | 0.92 (s) | CH3 |
| 3 | Leucine | 0.97 (t) | δCH3 |
| 4 | Valine | 1.00 (d); 1.05 (d) | γCH3; γ’CH3 |
| 5 | Isoleucine | 1.02 (d) | γCH3 |
| 6 | Methylmalonate | 1.23 (d) | βCH |
| 7 | Lactate | 1.34 (d); 4.12 (q) | βCH3; αCH |
| 8 | Alanine | 1.49 (d) | βCH3 |
| 9 | Acetate | 1.93 (s) | CH3 |
| 10 | N6-Acetyllysine | 1.99 (s); 3.18 (t) | CH3; NH2CH |
| 11 | Methionine | 2.14 (s) | S-CH3 |
| 12 | trans-4-Hydroxy-L-proline | 2.17 (m);2.44 (m) | C2H2; C2′H2 |
| 13 | Hydroxyacetone | 2.17 (s) | CH3 |
| 14 | 3-Hydroxyisovalerate | 1.27 (s); 2.38 (s) | αCH2; βCH3 |
| 15 | Glutamate | 2.34 (m) | γCH2 |
| 16 | Pyruvate | 2.38 (s) | CH3 |
| 17 | Succinate | 2.41 (s) | CH2 |
| 18 | Glutamine | 2.45 (m); 3.78 (t) | γCH2; αCH |
| 19 | Dimethylamine | 2.73 (s) | CH3 |
| 20 | Sarcosine | 2.75 (s) | CH3 |
| 21 | N,N-Dimethylformamide | 3.02 (s) | CH3 |
| 22 | Trimethylamine | 2.89 (s) | CH3 |
| 23 | N-Methylhydantoin | 2.92 (s) | CH3 |
| 24 | N,N-Dimethylglycine | 2.94 (s); 3.72 (s) | NCH3; CH2 |
| 25 | Creatine | 3.04 (s); 3.94 (s) | NCH3; CH2 |
| 26 | Creatinine | 3.06 (s); 4.05 (s) | NCH3; CH2 |
| 27 | Malonate | 3.14 (s) | CH2 |
| 28 | Dimethyl sulfone | 3.16 (s) | SCH3 |
| 29 | Choline | 3.21 (s) | NCH3 |
| 30 | Phosphocholine | 3.24 (s) | CH3 |
| 31 | Glycerophosphocholine | 3.25 (s) | CH3 |
| 32 | Trimethylamine N-Oxide | 3.27 (s) | CH3 |
| 33 | Taurine | 3.27 (t); 3.43 (t) | SCH2; NCH2 |
| 34 | Glycine | 3.57 (s) | CH2 |
| 35 | Glycerol | 3.66 (m) | CH2 |
| 36 | Threonine | 1.33 (d); 3.60 (d); 4.26 (m) | γCH3; αCH; βCH; |
| 37 | Arginine | 3.78 (t) | CO-CH |
| 38 | Betaine | 3.27 (s); 3.91 (s) | CH3, CH2 |
| 39 | Inosine monophosphate | 4.02 (m); 4.05 (m); 4.38 (m); 4.53 (m); 6.16 (d); 8.24 (s); 8.58 (s) | C5′H2; C4′H; C3′H; C2′H; C1′H; C1H; C4H; |
| 40 | Trigonelline | 4.44 (s); 9.13 (s) | NCH3; C2H |
| 41 | α-Glucose | 5.24 (d); 3.54 (m); 3.90 (dd) | C1H; C2H; C6H2 |
| 42 | β-Glucose | 4.65 (d); 3.50 (m); 3.73 (dd) | C1H; C2H; C6H2 |
| 43 | Inosine | 6.11 (d); 8.24 (s); 8.35 (s) | C1′H; C4H; C1H; |
| 44 | Fumarate | 6.53 (s) | CH |
| 45 | Carnosine | 7.13 (s); 7.96 (s) | NCHC; NCHN |
| 46 | Phenylalanine | 7.33 (m); 7.38 (m); 7.43 (m) | C6H; C4H; C5H |
| 47 | Niacinamide | 8.72 (dd); 8.95 (d) | C3H; C2H |
| 48 | Xanthine | 7.95 (s) | CH |
| 49 | Adenine | 8.20 (s); 8.22 (s) | C4H; C5H |
| 50 | Tau-methylhistidine | 3.69 (s); 7.03 (s); 7.73 (s) | NCH3; NCHC; NCHN |
| 51 | Pi-methylhistidine | 3.68 (s); 7.94 (s) | NCH3; NCHN |
| Metabolites | Binning (ppm) | Trend | Relative Concentration ( mM ) | ||
|---|---|---|---|---|---|
| CD0 | CD2 | CD4 | |||
| malonate | 3.15 | 0.427 ± 0.014 a | 0.497 ± 0.014 a | 0.494 ± 0.029 a | |
| Trigonelline | 4.27 | ↑ | 0.057 ± 0.003 b | 0.087 ± 0.005 b | 0.160 ± 0.023 a |
| IMP | 4.39 | ↓ | 3.568 ± 0.135 a | 3.293 ± 0.085 ab | 2.899 ± 0.137 b |
| Methylmalonate | 1.22 | ↓ | 0.328 ± 0.019 a | 0.299 ± 0.007 a | 0.226 ± 0.014 b |
| Lactate | 4.11 | ↓ | 29.854 ± 1.022 a | 29.114 ± 0.762 a | 22.115 ± 1.095 b |
| Carnosine | 7.13 | ↓ | 0.475 ± 0.040 a | 0.581 ± 0.041 a | 0.273 ± 0.035 b |
| trans-4-hydroxy-L-proline | 2.18 | ↓ | 2.249 ± 0.178 a | 1.357 ± 0.093 b | 0.892 ± 0.108 b |
| Glycine | 3.57 | ↓ | 19.860 ± 1.082 a | 12.418 ± 0.460 b | 7.152 ± 0.937 c |
| Tau-methylhistidine | 3.69 | ↓ | 0.116 ± 0.009 a | 0.093 ± 0.004 b | 0.089 ± 0.004 b |
| Glycerol | 3.67 | ↓ | 0.533 ± 0.023 a | 0.469 ± 0.017 ab | 0.413 ± 0.022 b |
| Threonine | 4.27 | ↓ | 1.208 ± 0.074 a | 0.756 ± 0.035 b | 0.584 ± 0.030 b |
Disclaimer/Publisher’s Note: The statements, opinions and data contained in all publications are solely those of the individual author(s) and contributor(s) and not of MDPI and/or the editor(s). MDPI and/or the editor(s) disclaim responsibility for any injury to people or property resulting from any ideas, methods, instructions or products referred to in the content. |
© 2026 by the authors. Licensee MDPI, Basel, Switzerland. This article is an open access article distributed under the terms and conditions of the Creative Commons Attribution (CC BY) license.
Share and Cite
Cheng, F.; Zhang, L.; Li, X.; Zheng, M.; Xu, X.; Tian, X. Exploring Metabolite Changes in Crispy Tilapia During the Crisping Process via 1H-NMR Metabolomic Analysis. Foods 2026, 15, 1232. https://doi.org/10.3390/foods15071232
Cheng F, Zhang L, Li X, Zheng M, Xu X, Tian X. Exploring Metabolite Changes in Crispy Tilapia During the Crisping Process via 1H-NMR Metabolomic Analysis. Foods. 2026; 15(7):1232. https://doi.org/10.3390/foods15071232
Chicago/Turabian StyleCheng, Fanshu, Ling Zhang, Xueyan Li, Manni Zheng, Xiaoyan Xu, and Xingguo Tian. 2026. "Exploring Metabolite Changes in Crispy Tilapia During the Crisping Process via 1H-NMR Metabolomic Analysis" Foods 15, no. 7: 1232. https://doi.org/10.3390/foods15071232
APA StyleCheng, F., Zhang, L., Li, X., Zheng, M., Xu, X., & Tian, X. (2026). Exploring Metabolite Changes in Crispy Tilapia During the Crisping Process via 1H-NMR Metabolomic Analysis. Foods, 15(7), 1232. https://doi.org/10.3390/foods15071232
