Effects of Oil Properties on Stability Behavior of High-Energy-Density Fat Emulsions
Abstract
1. Introduction
2. Material and Methods
2.1. Materials
2.2. Determination of Fatty Acid Composition
2.3. Preparation of the High-Energy-Density Fat Emulsions
2.4. Measurement of Viscosity and Density
2.5. Analysis of Centrifugal Stability
2.6. Determination of Particle Size, Particle Size Distribution, and Zeta Potential
2.7. Observation of Microscopic Morphology
2.8. Stability Evaluation by Multiple Light Scattering
2.9. Measurement of Rheological Properties
2.10. Statistical Analyses
3. Results and Discussion
3.1. Physicochemical Properties of Individual Oils
3.2. Particle Sizes and Zeta Potentials
3.3. Microstructures
3.4. Viscosities and Centrifugal Creaming Indices
3.5. Multiple Light Scattering
3.6. Rheological Properties
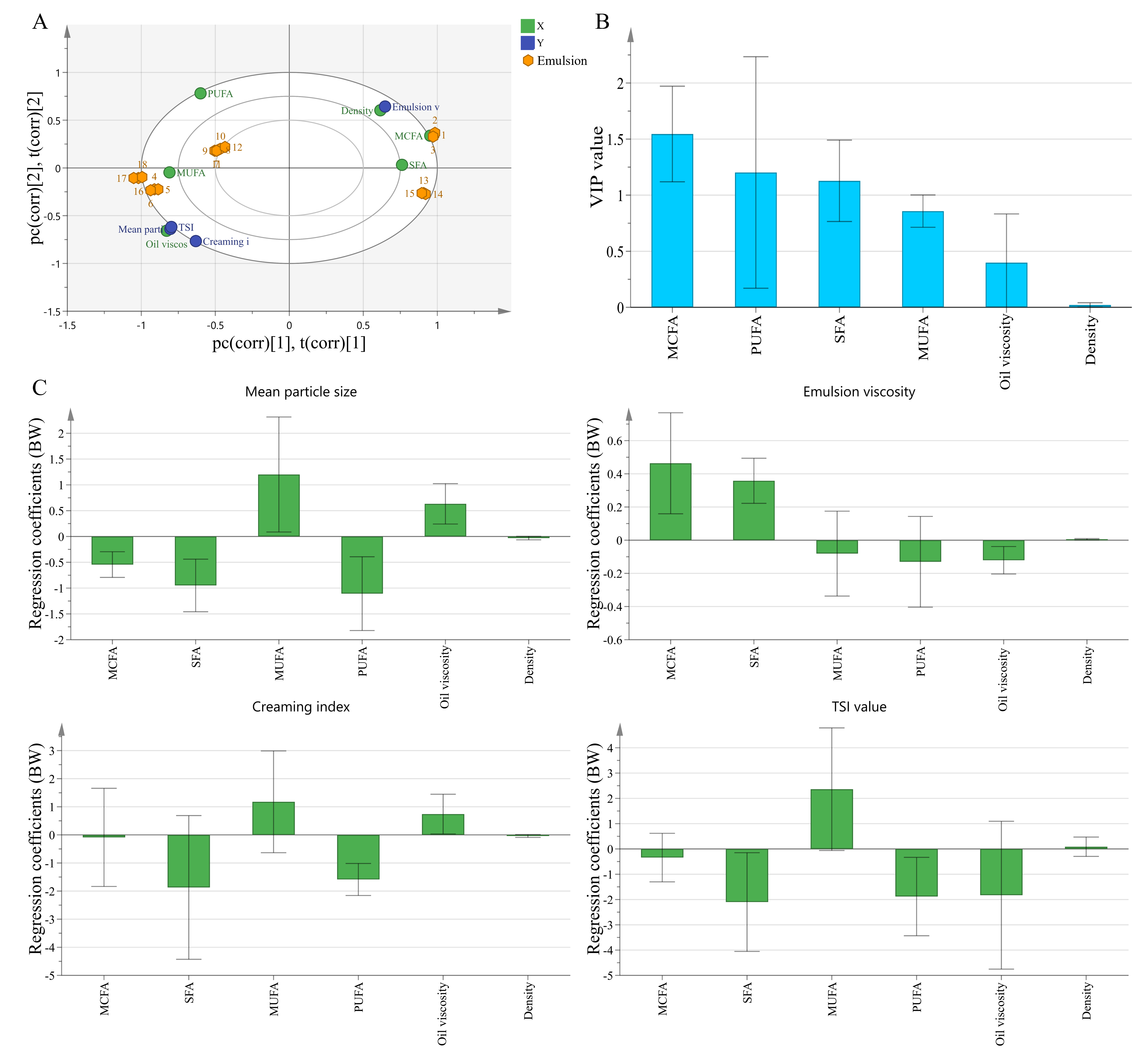
3.7. PLSR Analysis
4. Conclusions
Supplementary Materials
Author Contributions
Funding
Data Availability Statement
Conflicts of Interest
References
- Bray, F.; Laversanne, M.; Sung, H.; Ferlay, J.; Siegel, R.L.; Soerjomataram, I.; Jemal, A. Global Cancer Statistics 2022: Globocan Estimates of Incidence and Mortality Worldwide for 36 Cancers in 185 Countries. CA A Cancer J. Clin. 2024, 74, 229–263. [Google Scholar] [CrossRef]
- Akbulut, G. New Perspective for Nutritional Support of Cancer Patients: Enteral/Parenteral Nutrition. Exp. Ther. Med. 2011, 2, 675–684. [Google Scholar] [CrossRef] [PubMed]
- Tanaka, K.; Nakamura, S.; Narimatsu, H. Nutritional Approach to Cancer Cachexia: A Proposal for Dietitians. Nutrients 2022, 14, 345. [Google Scholar] [CrossRef] [PubMed]
- Colin-Ramirez, E.; Castillo-Martinez, L.; Orea-Tejeda, A.; Zheng, Y.; Westerhout, C.M.; Ezekowitz, J.A. Dietary Fatty Acids Intake and Mortality in Patients with Heart Failure. Nutrition 2014, 30, 1366–1371. [Google Scholar] [CrossRef] [PubMed]
- Furuta, R.; Hatao, F.; Itokawa, M.; Yamazaki, R.; Morikawa, Y.; Honda, M.; Imamura, K.; Ishibashi, Y.; Morita, Y. Feasibility and Safety of Super Energy-dense Oral Nutritional Supplementation in Postoperative Gastric Cancer Patients. Cancer Diagn. Progn. 2023, 3, 514–521. [Google Scholar] [CrossRef]
- Lin, Z.; Zhao, Z.; Zhou, P.; Deng, Y.; Liu, G.; Li, P.; Zeng, J.; Xiang, F.; Pang, J.; Zhang, M. Physicochemical Properties of Peanut Oil Body Nutritional Emulsions: Effects of Energy Density and Nutrient Ratio. Front. Sustain. Food Syst. 2025, 9, 157853. [Google Scholar] [CrossRef]
- Wang, X.; Li, X.; Xu, D.; Zhu, Y.; Cao, Y.; Li, X.; Sun, B. Modulation of Stability, Rheological Properties, and Microstructure of Heteroaggregated Emulsion: Influence of Oil Content. LWT 2019, 109, 457–466. [Google Scholar] [CrossRef]
- Muhammad, Z.; Ramzan, R.; Abdullah; Abbas, H.M.K.; Sun, W.; Zhang, G. Integrating the Modified Amphiphilic Eleocharis Tuberosa Starch to Stabilize Curcuminoid-Enriched Pickering Emulsions for Enhanced Bioavailability, Thermal Stability, and Retention of the Hydrophobic Bioactive Compound. Carbohydr. Polym. 2025, 352, 123199. [Google Scholar] [CrossRef]
- Lu, W.; Kelly, A.L.; Miao, S. Improved Bioavailability of Encapsulated Bioactive Nutrients Delivered through Monoglyceride-Structured O/W Emulsions. J. Agric. Food Chem. 2017, 65, 3048–3055. [Google Scholar] [CrossRef]
- Luo, H.; Li, Z.; Yao, M.; McClements, D.J.; Xiao, H. Impact of Excipient Emulsions Made from Different Types of Oils on the Bioavailability and Metabolism of Curcumin in Gastrointestinal Tract. Food Chem. 2022, 370, 130980. [Google Scholar] [CrossRef]
- Boonlao, N.; Ruktanonchai, U.R.; Anal, A.K. Enhancing Bioaccessibility and Bioavailability of Carotenoids Using Emulsion-Based Delivery Systems. Colloids Surf. B Biointerfaces 2022, 209, 112211. [Google Scholar] [CrossRef]
- Lin, Y.P.; McClements, D.J.; Xiao, J.; Cao, Y.; Liu, X.J. In Vitro-In Vivo Study of the Impact of Excipient Emulsions on the Bioavailability and Antioxidant Activity of Flavonoids: Influence of the Carrier Oil Type. J. Agric. Food Chem. 2023, 71, 1488–1498. [Google Scholar] [CrossRef] [PubMed]
- Teh, S.S.; Mah, S.H. Stability Evaluations of Different Types of Vegetable Oil-based Emulsions. J. Oleo Sci. 2018, 67, 1381–1387. [Google Scholar] [CrossRef]
- Feng, X.; Sun, Y.; Tan, H.; Ma, L.; Dai, H.; Zhang, Y. Effect of Oil Phases on the Stability of Myofibrillar Protein Microgel Particles Stabilized Pickering Emulsions: The Leading Role of Viscosity. Food Chem. 2023, 413, 135653. [Google Scholar] [CrossRef] [PubMed]
- Wang, X.; Zhang, W.; Shao, J.; Xu, X.; Zhao, X. Oil Chain Length Matters: From Interfacial Protein Adsorption to Emulsion Stabilization. Food Hydrocoll. 2025, 166, 111323. [Google Scholar] [CrossRef]
- Zhang, W.; Zheng, R.; Xu, X.; Zhao, X. Oil Unsaturation Degree Dictates Emulsion Stability through Tuning Interfacial Behaviour of Proteins. Food Hydrocoll. 2025, 158, 110588. [Google Scholar] [CrossRef]
- Xie, P.; Lai, J.; He, T.; Zhou, J.; Mao, Y.; Lee, Y.-Y.; Tan, C.P.; Hong, S.P.; Wang, Y.; Zhang, Z. Interactions between Proteins and Partial Acylglycerols at Oil-Water and Air-Water Interfaces of Partially Crystalline Emulsions: Interfacial Structure, Adsorption, and Foaming Behavior. Food Hydrocoll. 2026, 172, 112157. [Google Scholar] [CrossRef]
- Ravera, F.; Dziza, K.; Santini, E.; Cristofolini, L.; Liggieri, L. Emulsification and Emulsion Stability: The Role of the Interfacial Properties. Adv. Colloid. Interface Sci. 2021, 288, 102344. [Google Scholar] [CrossRef]
- Szumała, P.; Pacyna-Kuchta, A.; Wasik, A. Proteolysis of Whey Protein Isolates in Nanoemulsion Systems: Impact of Nanoemulsification and Additional Synthetic Emulsifiers. Food Chem. 2021, 351, 129356. [Google Scholar] [CrossRef]
- Rousta, E.; Oka, A.; Liu, B.; Herzog, J.; Bhatt, A.P.; Wang, J.; Habibi Najafi, M.B.; Sartor, R.B. The Emulsifier Carboxymethylcellulose Induces More Aggressive Colitis in Humanized Mice with Inflammatory Bowel Disease Microbiota Than Polysorbate-80. Nutrients 2021, 13, 3565. [Google Scholar] [CrossRef]
- Lerner, A.; Matthias, T. Changes in Intestinal Tight Junction Permeability Associated with Industrial Food Additives Explain the Rising Incidence of Autoimmune Disease. Autoimmun. Rev. 2015, 14, 479–489. [Google Scholar] [CrossRef]
- Roobab, U.; Inam-Ur-Raheem, M.; Khan, A.W.; Arshad, R.N.; Zeng, X.-A.; Aadil, R.M. Innovations in High-pressure Technologies for the Development of Clean Label Dairy Products: A Review. Food Rev. Int. 2023, 39, 970–991. [Google Scholar] [CrossRef]
- Pichot, R.; Watson, R.L.; Norton, I.T. Phospholipids at the Interface: Current Trends and Challenges. Int. J. Mol. Sci. 2013, 14, 11767–11794. [Google Scholar] [CrossRef] [PubMed]
- Mezdour, S.; Desplanques, S.; Relkin, P. Effects of Residual Phospholipids on Surface Properties of a Soft-Refined Sunflower Oil: Application to Stabilization of Sauce-Types’ Emulsions. Food Hydrocoll. 2011, 25, 613–619. [Google Scholar] [CrossRef]
- Jia, Y.J.; Li, Y.L.; Wang, M.Z.; Wang, F.Y.; Liu, Q.M.; Song, Z.M. Lecithin-Based Mixed Polymeric Micelles for Activity Improvement of Curcumin against Staphylococcus Aureus. J. Biomater. Sci. Polym. Ed. 2025, 36, 587–604. [Google Scholar] [CrossRef]
- Choe, J.; Oh, B.; Choe, E. Effect of Soybean Lecithin on Iron-Catalyzed or Chlorophyll-Photosensitized Oxidation of Canola Oil Emulsion. J. Food Sci. 2014, 79, C2203–C2208. [Google Scholar] [CrossRef]
- Yang, Q.-Q.; Sui, Z.; Lu, W.; Corke, H. Soybean Lecithin-Stabilized Oil-in-Water (O/W) Emulsions Increase the Stability and in Vitro Bioaccessibility of Bioactive Nutrients. Food Chem. 2021, 338, 128071. [Google Scholar] [CrossRef]
- Robert, C.; Couëdelo, L.; Vaysse, C.; Michalski, M.-C. Vegetable Lecithins: A Review of Their Compositional Diversity, Impact on Lipid Metabolism and Potential in Cardiometabolic Disease Prevention. Biochimie 2020, 169, 121–132. [Google Scholar] [CrossRef]
- Nii, T.; Ishii, F. Dialkylphosphatidylcholine and Egg Yolk Lecithin for Emulsification of Various Triglycerides. Colloids Surf. B Biointerfaces 2005, 41, 305–311. [Google Scholar] [CrossRef]
- Gao, Z.; Xu, H.; Fan, Q.; Xie, P.; Jin, Q.; Wang, X.; Jin, J. Effects of Fat Unsaturation Degree on Whipping Performance and Foam Stability of Fat-Reduced Aerated Emulsions. Int. J. Food Sci. Technol. 2024, 59, 3114–3125. [Google Scholar] [CrossRef]
- Latreille, B.; Paquin, P. Evaluation of Emulsion Stability by Centrifugation with Conductivity Measurements. J. Food Sci. 1990, 55, 1666–1668. [Google Scholar] [CrossRef]
- Niu, H.; Wang, W.; Dou, Z.; Chen, X.; Chen, X.; Chen, H.; Fu, X. Multiscale Combined Techniques for Evaluating Emulsion Stability: A Critical Review. Adv. Colloid. Interface Sci. 2023, 311, 102813. [Google Scholar] [CrossRef] [PubMed]
- Zhang, N.; Liu, C.; Jin, L.; Zhang, R.; Siebert, H.-C.; Wang, Z.; Prakash, S.; Yin, X.; Li, J.; Hou, D.; et al. Influence of Long-Chain/Medium-Chain Triglycerides and Whey Protein/Tween 80 Ratio on the Stability of Phosphatidylserine Emulsions (O/W). ACS Omega 2020, 5, 7792–7801. [Google Scholar] [CrossRef] [PubMed]
- Hategekimana, J.; Chamba, M.V.M.; Shoemaker, C.F.; Majeed, H.; Zhong, F. Vitamin E Nanoemulsions by Emulsion Phase Inversion: Effect of Environmental Stress and Long-Term Storage on Stability and Degradation in Different Carrier Oil Types. Colloids Surf. A: Physicochem. Eng. Asp. 2015, 483, 70–80. [Google Scholar] [CrossRef]
- Rao, J.; McClements, D.J. Food-Grade Microemulsions and Nanoemulsions: Role of Oil Phase Composition on Formation and Stability. Food Hydrocoll. 2012, 29, 326–334. [Google Scholar] [CrossRef]
- McClements, D.J. Enhanced Delivery of Lipophilic Bioactives Using Emulsions: A Review of Major Factors Affecting Vitamin, Nutraceutical, and Lipid Bioaccessibility. Food Funct. 2018, 9, 22–41. [Google Scholar] [CrossRef]
- Ningtyas, D.W.; Bhandari, B.; Prakash, S. Modulating the Fat Globules of Plant-Based Cream Emulsion: Influence of the Source of Plant Proteins. Innov. Food Sci. Emerg. Technol. 2021, 74, 102852. [Google Scholar] [CrossRef]
- Wang, M.; Zhou, Y.; Fan, L.; Li, J. Interfacial Adsorption of Soybean Phosphatidylethanolamine in Different Oil Phase and the Stability of Water-in-Oil Emulsion. Food Chem. 2024, 439, 138144. [Google Scholar] [CrossRef]
- Armand, M.; Borel, P.; Ythier, P.; Dutot, G.; Melin, C.; Senft, M.; Lafont, H.; Lairon, D. Effects of Droplet Size, Triacylglycerol Composition, and Calcium on the Hydrolysis of Complex Emulsions by Pancreatic Lipase: An in Vitro Study. J. Nutr. Biochem. 1992, 3, 333–341. [Google Scholar] [CrossRef]
- Risse, K.; Bridot, J.-L.; Yang, J.; Sagis, L.; Drusch, S. Tuning Interfacial Properties of Phospholipid Stabilised Oil–Water Interfaces by Changing the Phospholipid Headgroup or Fatty Acyl Chain. J. Colloid. Interface Sci. 2025, 686, 203–217. [Google Scholar] [CrossRef]
- Gaudino, N.; Ghazani, S.M.; Clark, S.; Marangoni, A.G.; Acevedo, N.C. Development of Lecithin and Stearic Acid Based Oleogels and Oleogel Emulsions for Edible Semisolid Applications. Food Res. Int. 2019, 116, 79–89. [Google Scholar] [CrossRef] [PubMed]
- Tan, H.; Han, L.; Yang, C. Effect of Oil Type and Β-Carotene Incorporation on the Properties of Gelatin Nanoparticle-Stabilized Pickering Emulsions. LWT 2021, 141, 110903. [Google Scholar] [CrossRef]
- Zhang, K.; Mao, Z.; Huang, Y.; Xu, Y.; Huang, C.; Guo, Y.; Ren, X.E.; Liu, C. Ultrasonic Assisted Water-in-Oil Emulsions Encapsulating Macro-Molecular Polysaccharide Chitosan: Influence of Molecular Properties, Emulsion Viscosity and Their Stability. Ultrason. Sonochemistry 2020, 64, 105018. [Google Scholar] [CrossRef] [PubMed]
- Zhang, W.; Zhang, Y.; He, Y.; Xu, X.; Zhao, X. Oil Density and Viscosity Affect Emulsion Stability and Destabilization Mechanism. J. Food Eng. 2024, 366, 111864. [Google Scholar] [CrossRef]
- Pal, R. Rheology of Simple and Multiple Emulsions. Curr. Opin. Colloid. Interface Sci. 2011, 16, 41–60. [Google Scholar] [CrossRef]
- Tan, H.; Zhang, R.; Han, L.; Zhang, T.; Ngai, T. Pickering Emulsions Stabilized by Aminated Gelatin Nanoparticles: Are Gelatin Nanoparticles Acting as Genuine Pickering Stabilizers or Structuring Agents? Food Hydrocoll. 2022, 123, 107151. [Google Scholar] [CrossRef]
- Su, S.; Liu, Y.; Li, H.; Xia, H.; Li, P.; Qin, S.; Shi, M.; Guo, S.; Zeng, C. Effect of Lipid Type on Betulin-Stabilized Water-in-Oil Pickering Emulsion: Emulsion Properties, in Vitro Digestion, and Betulin Bioaccessibility. J. Sci. Food Agric. 2025, 105, 769–779. [Google Scholar] [CrossRef]
- Heiden-Hecht, T.; Drusch, S. Impact of Saturation of Fatty Acids of Phosphatidylcholine and Oil Phase on Properties of β-Lactoglobulin at the Oil/Water Interface. Food Biophys. 2022, 17, 171–180. [Google Scholar] [CrossRef]
- Okuro, P.K.; Gomes, A.; Costa, A.L.R.; Adame, M.A.; Cunha, R.L. Formation and Stability of W/O-High Internal Phase Emulsions (Hipes) and Derived O/W Emulsions Stabilized by Pgpr and Lecithin. Food Res. Int. 2019, 122, 252–262. [Google Scholar] [CrossRef]
- Wang, P.; Chen, C.; Guo, H.; Zhang, H.; Yang, Z.; Ren, F. Casein Gel Particles as Novel Soft Pickering Stabilizers: The Emulsifying Property and Packing Behaviour at the Oil-Water Interface. Food Hydrocoll. 2018, 77, 689–698. [Google Scholar] [CrossRef]
- Cui, S.; Yang, Z.; McClements, D.J.; Xu, X.; Qiao, X.; Zhou, L.; Sun, Q.; Jiao, B.; Wang, Q.; Dai, L. Stability Mechanism of Pickering Emulsions Co-Stabilized by Protein Nanoparticles and Small Molecular Emulsifiers by Two-Step Emulsification with Different Adding Sequences: From Microscopic to Macroscopic Scales. Food Hydrocoll. 2023, 137, 108372. [Google Scholar] [CrossRef]
- Santini, E.; Guzmán, E.; Ferrari, M.; Liggieri, L. Emulsions Stabilized by the Interaction of Silica Nanoparticles and Palmitic Acid at the Water–Hexane Interface. Colloids Surf. A Physicochem. Eng. Asp. 2014, 460, 333–341. [Google Scholar] [CrossRef]
- Balcaen, M.; Steyls, J.; Schoeppe, A.; Nelis, V.; Van der Meeren, P. Phosphatidylcholine-Depleted Lecithin: A Clean-Label Low-Hlb Emulsifier to Replace Pgpr in W/O and W/O/W Emulsions. J. Colloid. Interface Sci. 2021, 581, 836–846. [Google Scholar] [CrossRef] [PubMed]
- Wang, C.; Zhang, X.; Zhao, R.; Freeman, K.; McHenry, M.A.; Wang, C.; Guo, M. Impact of Carrier Oil on Interfacial Properties, Cbd Partition and Stability of Emulsions Formulated by Whey Protein or Whey Protein-Maltodextrin Conjugate. LWT 2022, 168, 113933. [Google Scholar] [CrossRef]
- Xu, H.; Gao, Z.; Huang, M.; Fan, Q.; Cui, L.; Xie, P.; Liu, L.; Guan, X.; Jin, J.; Jin, Q.; et al. Static Stability of Partially Crystalline Emulsions Stabilized by Milk Proteins: Effects of Κ-Carrageenan, Λ-Carrageenan, Ι-Carrageenan, and Their Blends. Food Hydrocoll. 2024, 147, 109387. [Google Scholar] [CrossRef]
- Tao, Y.; Wang, P.; Xu, X.; Chen, J.; Huang, M.; Zhang, W. Effects of Ultrasound Treatment on the Morphological Characteristics, Structures and Emulsifying Properties of Genipin Cross-Linked Myofibrillar Protein. Ultrason. Sonochem. 2023, 97, 106467. [Google Scholar] [CrossRef]
- Zhao, X.; Li, D.; Wang, L.-j.; Wang, Y. Rheological Properties and Microstructure of a Novel Starch-Based Emulsion Gel Produced by One-Step Emulsion Gelation: Effect of Oil Content. Carbohydr. Polym. 2022, 281, 119061. [Google Scholar] [CrossRef]
- Tao, Y.; Cai, J.; Wang, P.; Chen, J.; Zhou, L.; Zhang, W.; Xu, X. Application of Rheology and Interfacial Rheology to Investigate the Emulsion Stability of Ultrasound-Assisted Cross-Linked Myofibrillar Protein: Effects of Oil Phase Types. Food Hydrocoll. 2024, 154, 110086. [Google Scholar] [CrossRef]
- Pan, J.; Tang, L.; Dong, Q.; Li, Y.; Zhang, H. Effect of Oleogelation on Physical Properties and Oxidative Stability of Camellia Oil-Based Oleogels and Oleogel Emulsions. Food Res. Int. 2021, 140, 110057. [Google Scholar] [CrossRef]
- Wang, Y.; Lin, R.; Song, Z.; Zhang, S.; Zhao, X.; Jiang, J.; Liu, Y. Freeze-Thaw Stability and Oil Crystallization Behavior of Phospholipids/Whey Protein-Costabilized Acidic Emulsions with Four Oil Types. Food Hydrocoll. 2022, 125, 107385. [Google Scholar] [CrossRef]
- Yoon, B.K.; Jackman, J.A. Medium-Chain Fatty Acids and Monoglycerides: Nanoarchitectonics-Based Insights into Molecular Self-Assembly, Membrane Interactions, and Applications. Adv. Colloid. Interface Sci. 2025, 340, 103465. [Google Scholar] [CrossRef]
- Sorapukdee, S.; Kongtasorn, C.; Benjakul, S.; Visessanguan, W. Influences of Muscle Composition and Structure of Pork from Different Breeds on Stability and Textural Properties of Cooked Meat Emulsion. Food Chem. 2013, 138, 1892–1901. [Google Scholar] [CrossRef]






| Fatty Acids | MCTs | Rapeseed Oil | Sunflower Seed Oil | Flaxseed Oil | Coconut Oil | Palm Olein |
|---|---|---|---|---|---|---|
| C6:0 | -- | -- | -- | -- | 0.41 ± 0.06 | -- |
| C8:0 | 60.52 ± 0.48 | -- | -- | -- | 6.03 ± 0.49 | -- |
| C10:0 | 39.43 ± 0.42 | -- | -- | -- | 5.26 ± 0.19 | -- |
| C12:0 | 0.05 ± 0.01 | -- | -- | -- | 45.33 ± 0.32 | 0.28 ± 0.03 |
| C14:0 | -- | 0.05 ± 0.01 | 0.06 ± 0.01 | 0.05 ± 0.01 | 19.39 ± 0.31 | 0.97 ± 0.10 |
| C16:0 | -- | 4.61 ± 0.05 | 6.36 ± 0.30 | 5.65 ± 0.08 | 10.52 ± 0.04 | 33.51 ± 1.46 |
| C16:1 | -- | 0.22 ± 0.01 | 0.07 ± 0.01 | 0.07 ± 0.00 | -- | 0.20 ± 0.00 |
| C18:0 | -- | 2.12 ± 0.06 | 3.60 ± 0.16 | 4.19 ± 0.08 | 3.25 ± 0.04 | 3.65 ± 0.05 |
| C18:1 | -- | 62.69 ± 0.32 | 21.32 ± 1.49 | 20.44 ± 0.16 | 7.80 ± 0.04 | 48.16 ± 1.91 |
| C18:2 | -- | 20.57 ± 0.11 | 68.19 ± 1.92 | 16.77 ± 0.13 | 2.01 ± 0.21 | 12.90 ± 0.70 |
| C18:3 | -- | 9.73 ± 0.09 | 0.39 ± 0.00 | 52.83 ± 0.28 | -- | 0.29 ± 0.01 |
| ∑ MCFA | 100.00 | -- | -- | -- | 57.03 | 0.28 |
| ∑ SFA | 100.00 | 6.78 | 10.02 | 9.89 | 90.19 | 38.41 |
| ∑ MUFA | -- | 62.91 | 21.39 | 20.51 | 7.80 | 48.36 |
| ∑ PUFA | -- | 30.30 | 68.58 | 69.60 | 2.01 | 13.19 |
| Viscosity (mPa·s, 20 °C) | 40.00 ± 0.71 e | 93.50 ± 3.54 b | 75.75 ± 1.06 c | 66.25 ± 0.35 d | 65.75 ± 4.60 d | 104.70 ± 1.13 a |
| Density (g/cm3, 20 °C) | 0.947 ± 0.002 a | 0.910 ± 0.002 c | 0.922 ± 0.002 b | 0.925 ± 0.002 b | 0.922 ± 0.003 b | 0.908 ± 0.003 c |
| Oil Type | Particle Size (nm) | Span | Zeta Potential (mV) |
|---|---|---|---|
| MCT | 450.00 ± 18.38 e | 1.37 ± 0.05 b | −20.46 ± 3.57 b |
| Rapeseed oil | 743.50 ± 21.92 ab | 1.88 ± 0.13 a | −8.67 ± 1.42 a |
| Sunflower seed oil | 642.50 ± 67.18 bc | 1.46 ± 0.24 ab | −8.55 ± 1.53 a |
| Flaxseed oil | 526.00 ± 35.36 de | 1.42 ± 0.19 b | −5.42 ± 0.67 a |
| Coconut oil | 558.00 ± 21.21 cd | 1.41 ± 0.15 b | −6.81 ± 0.98 a |
| Palm olein | 770.50 ± 57.28 a | 1.87 ± 0.20 a | −8.33 ± 1.19 a |
| Oil Type | K | n | R2 |
|---|---|---|---|
| MCT | 0.61 ± 0.02 | 0.48 ± 0.02 | 0.99290 |
| Rapeseed oil | 0.12 ± 0.00 | 0.72 ± 0.02 | 0.96865 |
| Sunflower seed oil | 0.10 ± 0.00 | 0.66 ± 0.01 | 0.99701 |
| Flaxseed oil | 0.17 ± 0.00 | 0.57 ± 0.01 | 0.99478 |
| Coconut oil | 0.44 ± 0.00 | 0.59 ± 0.01 | 0.99868 |
| Palm olein | 0.26 ± 0.01 | 0.41 ± 0.02 | 0.98867 |
| Oil Type | k′ | m′ | R2 | k″ | m″ | R2 |
|---|---|---|---|---|---|---|
| MCT | 3.71 ± 0.68 | 0.81 ± 0.09 | 0.93332 | 2.20 ± 0.05 | 0.42 ± 0.01 | 0.99210 |
| Rapeseed oil | 0.61 ± 0.20 | 1.30 ± 0.15 | 0.94817 | 0.60 ± 0.03 | 0.76 ± 0.02 | 0.99492 |
| Sunflower seed oil | 1.36 ± 0.51 | 1.02 ± 0.18 | 0.85205 | 0.59 ± 0.03 | 0.63 ± 0.03 | 0.98777 |
| Flaxseed oil | 2.23 ± 0.55 | 0.66 ± 0.13 | 0.77901 | 0.97 ± 0.06 | 0.55 ± 0.03 | 0.97850 |
| Coconut oil | 4.63 ± 0.43 | 0.67 ± 0.05 | 0.97053 | 4.04 ± 0.12 | 0.54 ± 0.02 | 0.99428 |
| Palm olein | 0.93 ± 0.36 | 1.16 ± 0.19 | 0.89178 | 0.60 ± 0.05 | 0.67 ± 0.04 | 0.97998 |
Disclaimer/Publisher’s Note: The statements, opinions and data contained in all publications are solely those of the individual author(s) and contributor(s) and not of MDPI and/or the editor(s). MDPI and/or the editor(s) disclaim responsibility for any injury to people or property resulting from any ideas, methods, instructions or products referred to in the content. |
© 2026 by the authors. Licensee MDPI, Basel, Switzerland. This article is an open access article distributed under the terms and conditions of the Creative Commons Attribution (CC BY) license.
Share and Cite
Xu, X.; Zeng, W.; Du, M.; Elbarbary, A.; Jin, J.; Wang, X. Effects of Oil Properties on Stability Behavior of High-Energy-Density Fat Emulsions. Foods 2026, 15, 621. https://doi.org/10.3390/foods15040621
Xu X, Zeng W, Du M, Elbarbary A, Jin J, Wang X. Effects of Oil Properties on Stability Behavior of High-Energy-Density Fat Emulsions. Foods. 2026; 15(4):621. https://doi.org/10.3390/foods15040621
Chicago/Turabian StyleXu, Xianmin, Wei Zeng, Meijun Du, Abdelaziz Elbarbary, Jun Jin, and Xingguo Wang. 2026. "Effects of Oil Properties on Stability Behavior of High-Energy-Density Fat Emulsions" Foods 15, no. 4: 621. https://doi.org/10.3390/foods15040621
APA StyleXu, X., Zeng, W., Du, M., Elbarbary, A., Jin, J., & Wang, X. (2026). Effects of Oil Properties on Stability Behavior of High-Energy-Density Fat Emulsions. Foods, 15(4), 621. https://doi.org/10.3390/foods15040621

