Effects on Physicochemical, Nutritional, and Quality Attributes of Fortified Vegan Muffins Incorporated with Hempseed as an Alternative Protein Source
Abstract
1. Introduction
2. Materials and Methods
2.1. Materials
2.2. Preparation of Vegan Muffins
2.3. Weight, Baking Loss, and Volume of Vegan Muffins
2.4. pH of Batter and Vegan Muffins
2.5. Color of Vegan Muffins
2.6. Viscosity of Muffin Batter
2.7. Proximate Analysis of Vegan Muffins
2.8. Texture and Volume Changes of Vegan Muffins over Storage Period
2.9. Scanning Electron Microscope (SEM) of Vegan Muffins
2.10. Fourier Transform Infrared (FT-IR) Spectroscopy of Vegan Muffins
2.11. Antioxidant Activity of Vegan Muffins
2.12. In Vitro Protein Digestibility (IVPD) of Vegan Muffins
2.13. Sensory Evaluation of Vegan Muffins
2.14. Statistical Analysis
3. Results and Discussion
3.1. Physical and Baking Properties of Vegan Muffins
3.2. pH of Batter and Vegan Muffins
3.3. Color of Vegan Muffins
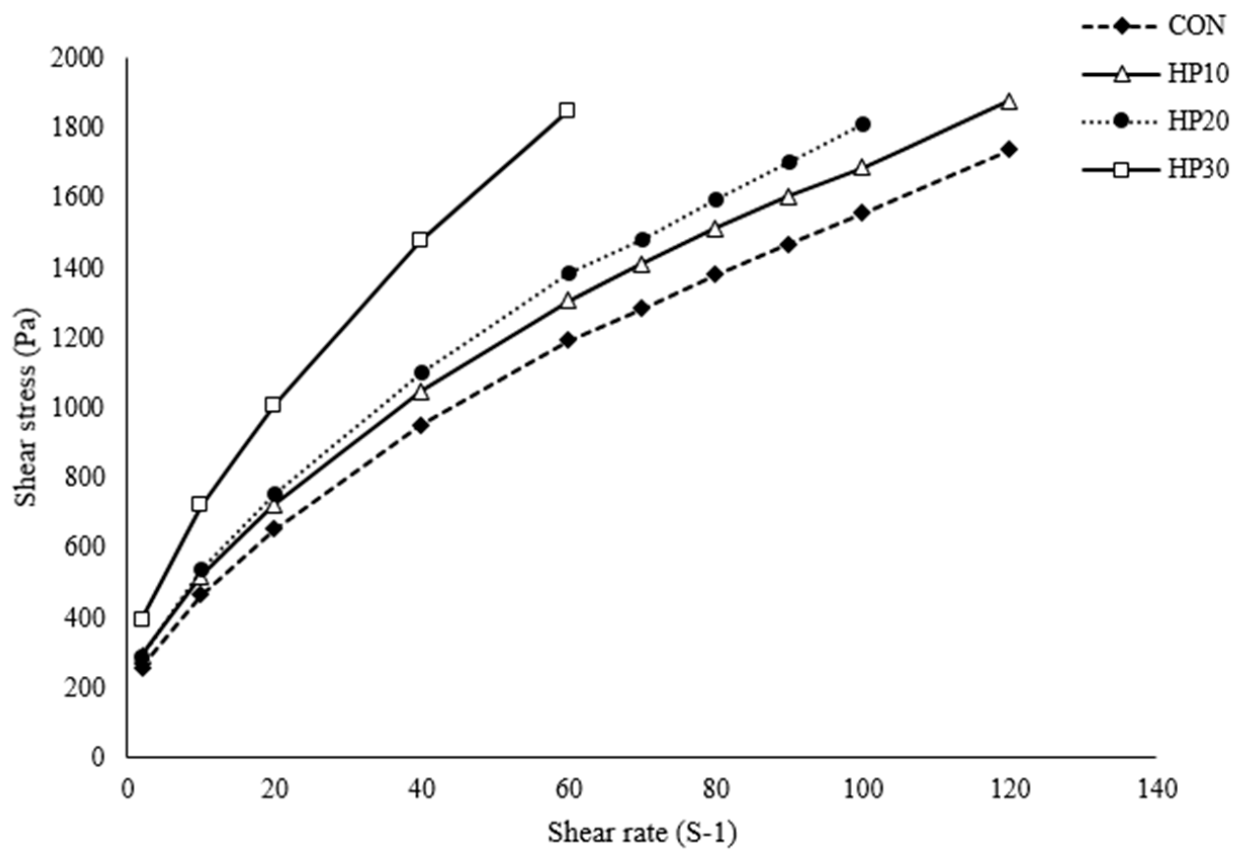
3.4. Viscosity of the Batter
3.5. Proximate Analysis of Vegan Muffins
3.6. Texture and Volume Change of Vegan Muffins over the Storage Period
3.7. Scanning Electron Microscopy of Vegan Muffins
3.8. FT-IR Analysis of Vegan Muffins
3.9. Antioxidant Activity of Vegan Muffins
3.10. IVPD of Vegan Muffins
3.11. Sensory Evaluation of Vegan Muffins
4. Conclusions
Author Contributions
Funding
Institutional Review Board Statement
Informed Consent Statement
Data Availability Statement
Conflicts of Interest
References
- Xu, Y.; Li, J.; Zhao, J.; Wang, W.; Griffin, J.; Li, Y.; Bean, S.; Tilley, M.; Wang, D. Hempseed as a nutritious and healthy human food or animal feed source: A review. Int. J. Food Sci. Technol. 2021, 56, 530–543. [Google Scholar] [CrossRef]
- Santos-Sánchez, G.; Álvarez-López, A.I.; Ponce-Espana, E.; Carrillo-Vico, A.; Bollati, C.; Bartolomei, M.; Lammi, C.; Cruz-Chamorro, I. Hempseed (Cannabis sativa) protein hydrolysates: A valuable source of bioactive peptides with pleiotropic health-promoting effects. Trends Food Sci. Technol. 2022, 127, 303–318. [Google Scholar] [CrossRef]
- Adesina, I.; Bhowmik, A.; Sharma, H.; Shahbazi, A. A review on the current state of knowledge of growing conditions, agronomic soil health practices and utilities of hemp in the United States. Agriculture 2020, 10, 129. [Google Scholar] [CrossRef]
- Cherney, J.H.; Small, E. Industrial hemp in North America: Production, politics and potential. Agronomy 2016, 6, 58. [Google Scholar] [CrossRef]
- Shen, P.; Gao, Z.; Fang, B.; Rao, J.; Chen, B. Ferreting out the secrets of industrial hemp protein as emerging functional food ingredients. Trends Food Sci. Technol. 2021, 112, 1–15. [Google Scholar] [CrossRef]
- Livadariu, O.; Raiciu, D.; Maximilian, C.; Căpitanu, E. Studies regarding treatments of LED-s emitted light on sprouting hemp (Cannabis sativa L.). Rom. Biotechnol. Lett. 2019, 24, 485–490. [Google Scholar] [CrossRef]
- Werz, O.; Seegers, J.; Schaible, A.M.; Weinigel, C.; Barz, D.; Koeberle, A.; Allegrone, G.; Pollastro, F.; Zampieri, L.; Grassi, G. Cannflavins from hemp sprouts, a novel cannabinoid-free hemp food product, target microsomal prostaglandin E2 synthase-1 and 5-lipoxygenase. PharmaNutrition 2014, 2, 53–60. [Google Scholar] [CrossRef]
- Cabral, E.M.; Zhu, X.; Garcia-Vaquero, M.; Pérez-Vila, S.; Tang, J.; Gómez-Mascaraque, L.G.; Poojary, M.M.; Curtin, J.; Tiwari, B.K. Recovery of Protein from Industrial Hemp Waste (Cannabis sativa, L.) Using High-Pressure Processing and Ultrasound Technologies. Foods 2023, 12, 2883. [Google Scholar] [CrossRef]
- Montero, L.; Ballesteros-Vivas, D.; Gonzalez-Barrios, A.F.; Sánchez-Camargo, A.d.P. Hemp seeds: Nutritional value, associated bioactivities and the potential food applications in the Colombian context. Front. Nutr. 2023, 9, 1039180. [Google Scholar] [CrossRef] [PubMed]
- Banskota, A.H.; Tibbetts, S.M.; Jones, A.; Stefanova, R.; Behnke, J. Biochemical characterization and in vitro digestibility of protein isolates from hemp (Cannabis sativa L.) by-products for salmonid feed applications. Molecules 2022, 27, 4794. [Google Scholar] [CrossRef] [PubMed]
- Callaway, J. Hempseed as a nutritional resource: An overview. Euphytica 2004, 140, 65–72. [Google Scholar] [CrossRef]
- House, J.D.; Neufeld, J.; Leson, G. Evaluating the quality of protein from hemp seed (Cannabis sativa L.) products through the use of the protein digestibility-corrected amino acid score method. J. Agric. Food Chem. 2010, 58, 11801–11807. [Google Scholar] [CrossRef] [PubMed]
- Karabulut, G.; Kahraman, O.; Pandalaneni, K.; Kapoor, R.; Feng, H. A comprehensive review on hempseed protein: Production, functional and nutritional properties, novel modification methods, applications, and limitations. Int. J. Biol. Macromol. 2023, 253, 127240. [Google Scholar] [CrossRef] [PubMed]
- Alonso-Esteban, J.I.; Pinela, J.; Ćirić, A.; Calhelha, R.C.; Soković, M.; Ferreira, I.C.; Barros, L.; Torija-Isasa, E.; de Cortes Sánchez-Mata, M. Chemical composition and biological activities of whole and dehulled hemp (Cannabis sativa L.) seeds. Food Chem. 2022, 374, 131754. [Google Scholar] [CrossRef] [PubMed]
- Zhang, J.; Griffin, J.; Li, Y.; Wang, D.; Wang, W. Antioxidant properties of hemp proteins: From functional food to phytotherapy and beyond. Molecules 2022, 27, 7924. [Google Scholar] [CrossRef] [PubMed]
- Sethi, S.; Tyagi, S.K.; Anurag, R.K. Plant-based milk alternatives an emerging segment of functional beverages: A review. J. Food Sci. Technol. 2016, 53, 3408–3423. [Google Scholar] [CrossRef]
- Parker, H.W.; Vadiveloo, M.K. Diet quality of vegetarian diets compared with nonvegetarian diets: A systematic review. Nutr. Rev. 2019, 77, 144–160. [Google Scholar] [CrossRef]
- Reid-McCann, R.J.; Brennan, S.F.; McKinley, M.C.; McEvoy, C.T. The effect of animal versus plant protein on muscle mass, muscle strength, physical performance and sarcopenia in adults: Protocol for a systematic review. Syst. Rev. 2022, 11, 64. [Google Scholar] [CrossRef]
- Friedman, M.; Brandon, D.L. Nutritional and health benefits of soy proteins. J. Agric. Food Chem. 2001, 49, 1069–1086. [Google Scholar] [CrossRef]
- Pinckaers, P.J.; Trommelen, J.; Snijders, T.; van Loon, L.J. The anabolic response to plant-based protein ingestion. Sports Med. 2021, 51, 59–74. [Google Scholar] [CrossRef]
- Talens, C.; Lago, M.; Simó-Boyle, L.; Odriozola-Serrano, I.; Ibargüen, M. Desirability-based optimization of bakery products containing pea, hemp and insect flours using mixture design methodology. LWT 2022, 168, 113878. [Google Scholar] [CrossRef]
- Nissen, L.; Demircan, B.; Taneyo-Saa, D.L.; Gianotti, A. Shift of aromatic profile in probiotic hemp drink formulations: A metabolomic approach. Microorganisms 2019, 7, 509. [Google Scholar] [CrossRef] [PubMed]
- Dizlek, H. Effects of amount of batter in baking cup on muffin quality. Int. J. Food Eng. 2015, 11, 629–640. [Google Scholar] [CrossRef]
- Mildner-Szkudlarz, S.; Bajerska, J.; Górnaś, P.; Segliņa, D.; Pilarska, A.; Jesionowski, T. Physical and bioactive properties of muffins enriched with raspberry and cranberry pomace powder: A promising application of fruit by-products rich in biocompounds. Plant Foods Hum. Nutr. 2016, 71, 165–173. [Google Scholar] [CrossRef]
- Cho, H.S.; Olawuyi, I.F.; Park, J.J.; Lee, W.Y. Quality characteristics of eggless muffins prepared using egg solution alternatives containing super mealworm protein isolate and carrageenan. Int. J. Food Sci. Technol. 2023, 58, 2942–2948. [Google Scholar] [CrossRef]
- American Association of Cereal Chemists. Approved Methods of the American Association of Cereal Chemists; American Association of Cereal Chemists: St. Paul, MN, USA, 2000; Volume 1. [Google Scholar]
- Baek, I.H.; Cho, H.S.; Said, N.S.; Olawuyi, I.F.; Kim, K.R.; Lee, W.Y. Physicochemical and nutritional characteristics of vegan protein bars formulated with sweet potato and rice protein. Int. J. Food Sci. Technol. 2024, 59, 5664–5674. [Google Scholar] [CrossRef]
- Nielsen, S.S. Phenol-sulfuric acid method for total carbohydrates. In Food Analysis Laboratory Manual; Springer: Boston, MA, USA, 2010; pp. 47–53. [Google Scholar]
- Fitzgerald, C.; Gallagher, E.; Doran, L.; Auty, M.; Prieto, J.; Hayes, M. Increasing the health benefits of bread: Assessment of the physical and sensory qualities of bread formulated using a renin inhibitory Palmaria palmata protein hydrolysate. LWT-Food Sci. Technol. 2014, 56, 398–405. [Google Scholar] [CrossRef]
- Said, N.S.; Olawuyi, I.F.; Cho, H.-S.; Lee, W.-Y. Novel edible films fabricated with HG-type pectin extracted from different types of hybrid citrus peels: Effects of pectin composition on film properties. Int. J. Biol. Macromol. 2023, 253, 127238. [Google Scholar] [CrossRef]
- Vl, S. Analysis of total phenols and other oxidation substrates and antioxidants by means of Folin-Ciocalteu reagent. Methods Enzymol. 1999, 299, 152–178. [Google Scholar]
- Lowry, O.; Rosebrough, N.; Farr, A.L.; Randall, R. Protein measurement with the Folin phenol reagent. J. Biol. Chem. 1951, 193, 265–275. [Google Scholar] [CrossRef]
- Meilgaard, M.C.; Civille, G.V.; Carr, B.T. Sensory Evaluation Techniques, 4th ed.; CRC Press: Boca Raton, FL, USA, 2007. [Google Scholar]
- Shanuke, D.S.; Edirisinghe EM RK, B.; Marapana RA, U.J.; Hettiarachi, S. Development of omega-3 fortified stirred yoghurt with enhanced sensory and oxidative qualities through the addition of fish oil nanoemulsion and fruits. Int. J. Food Sci. Technol. 2025, 60, vvae034. [Google Scholar] [CrossRef]
- ISO 8586:2012; Sensory Analysis—General Guidelines for the Selection, Training and Monitoring of Selected Assessors and Expert Sensory Assessors. International Organisation of Standardisation: Geneva, Switzerland, 2012.
- El-Sohaimy, S.A.; Androsova, N.V.; Toshev, A.D.; El Enshasy, H.A. Nutritional quality, chemical, and functional characteristics of hemp (Cannabis sativa ssp. sativa) protein Isolate. Plants 2022, 11, 2825. [Google Scholar] [CrossRef]
- Zhou, J.; Liu, J.; Tang, X. Effects of whey and soy protein addition on bread rheological property of wheat flour. J. Texture Stud. 2018, 49, 38–46. [Google Scholar] [CrossRef] [PubMed]
- Liu, M.; Toth, J.A.; Childs, M.; Smart, L.B.; Abbaspourrad, A. Composition and functional properties of hemp seed protein isolates from various hemp cultivars. J. Food Sci. 2023, 88, 942–951. [Google Scholar] [CrossRef]
- Wendin, K.; Höglund, E.; Andersson, M.; Rothenberg, E. Protein enriched foods and healthy ageing: Effects of protein fortification on muffin characteristics. Agro Food Ind. Hi-Tech 2017, 28, 16–18. [Google Scholar]
- Höglund, E.; Albinsson, B.; Stuhr-Olsson, G.; Signäs, M.; Karlsson, C.; Rothenberg, E.; Wendin, K. Protein and energy enriched muffins designed for nutritional needs of older adults. Nutr. Food Sci. 2017, 2, 555592. [Google Scholar] [CrossRef]
- Kwon, Y.; Kim, K.; Heo, H.; Lee, J.; Sung, J. Vitamin E, phytosterol, and carotenoid contents of hemp (Cannabis sativa L.) seed. J. Korean Soc. Food Sci. Nutr. 2023, 52, 975–981. [Google Scholar] [CrossRef]
- Aloo, S.O.; Park, S.; Oh, D.-H. Impacts of germination and lactic acid bacteria fermentation on anti-nutrients, bioactive compounds, and selected functional properties of industrial hempseed (Cannabis sativa L.). Food Chem. 2023, 428, 136722. [Google Scholar] [CrossRef] [PubMed]
- de Souza, E.C.; Cordeiro, D.A.; Silva, B.S.; de Andrade Neves, N.; Schmiele, M. Development of muffin with the incorporation of olive pomace flour, extra virgin olive oil and hydrolyzed soy protein. Res. Soc. Dev. 2022, 11, e58511226012. [Google Scholar] [CrossRef]
- Li, N.; Fan, X.; Chen, T.; Wang, Y.; Tan, Z.; Liu, C.; Zhou, D.; Li, D. Molecular mechanism of color deepening of ready-to-eat shrimp during storage. Food Chem. 2024, 450, 139332. [Google Scholar] [CrossRef]
- Bosmali, I.; Kotsiou, K.; Matsakidou, A.; Irakli, M.; Madesis, P.; Biliaderis, C.G. Fortification of wheat bread with an alternative source of bean proteins using raw and roasted Phaseolus coccineus flours: Impact on physicochemical, nutritional and quality attributes. Food Hydrocoll. 2025, 158, 110527. [Google Scholar] [CrossRef]
- Ye, H.; Zhang, Y.; Wang, L.; Ban, J.; Wei, Y.; Fan, F.; Guo, B. Dynamic Study on Water State and Water Migration during Gluten–Starch Model Dough Development under Different Gluten Protein Contents. Foods 2024, 13, 996. [Google Scholar] [CrossRef]
- Ronda, F.; Oliete, B.; Gómez, M.; Caballero, P.A.; Pando, V. Rheological study of layer cake batters made with soybean protein isolate and different starch sources. J. Food Eng. 2011, 102, 272–277. [Google Scholar] [CrossRef]
- Zhao, X.; Xu, S.; Xu, M.; Li, Y.; Ji, S.; Wang, F.; Zhou, Z.; Wang, Y.; Shen, J.; Lu, B. Mechanism of starch multi-scale structural in determining the textural properties and formability of starch pearls. Int. J. Biol. Macromol. 2024, 287, 138283. [Google Scholar] [CrossRef] [PubMed]
- Ma, M.; Guo, H.; Sun, H.; Sun, J.; Mu, T. Improving the Quality Characteristics of Alum-Free Wet Starch Noodles: From the Perspective of Changing Types of Starches Used for Binder Pastes. ACS Food Sci. Technol. 2024, 4, 2448–2461. [Google Scholar] [CrossRef]
- Huangfu, J.; Huang, L.; Gu, Y.; Yang, S.; Wu, J.; Liu, T.; Cai, Y.; Zhao, M.; Zhao, Q. Effect of preheating-induced denaturation of proteins and oleosomes on the structure of protein and soymilk properties. Int. J. Biol. Macromol. 2024, 268, 131999. [Google Scholar] [CrossRef]
- Pathania, S.; Parmar, P.; Tiwari, B.K. Stability of proteins during processing and storage. In Proteins: Sustainable Source, Processing and Applications; Elsevier: Amsterdam, The Netherlands, 2019; pp. 295–330. [Google Scholar]
- Leistner, L. Food preservation by combined methods. Food Res. Int. 1992, 25, 151–158. [Google Scholar] [CrossRef]
- Kim, S.-K. On bread staling with emphasis on the role of starch. Korean J. Food Sci. Technol. 1976, 8, 185–190. [Google Scholar]
- Chen, C.; Han, Y.; Li, S.; Wang, R.; Tao, C. Nutritional, antioxidant, and quality characteristics of novel cookies enriched with mushroom (Cordyceps militaris) flour. CyTA-J. Food 2021, 19, 137–145. [Google Scholar] [CrossRef]
- Cheng, Y.F.; Bhat, R. Functional, physicochemical and sensory properties of novel cookies produced by utilizing underutilized jering (Pithecellobium jiringa Jack.) legume flour. Food Biosci. 2016, 14, 54–61. [Google Scholar] [CrossRef]
- Peleg, M. The instrumental texture profile analysis revisited. J. Texture Stud. 2019, 50, 362–368. [Google Scholar] [CrossRef]
- Shevkani, K.; Singh, N. Influence of kidney bean, field pea and amaranth protein isolates on the characteristics of starch-based gluten-free muffins. Int. J. Food Sci. Technol. 2014, 49, 2237–2244. [Google Scholar] [CrossRef]
- Ryu, J.-H.; Chung, H.-J. Quality characteristics and antioxidant activity of rice cookies added with hempseed powder. Korean J. Food Nutr. 2018, 31, 478–484. [Google Scholar]
- Tang, C.-H.; Ma, C.-Y. Heat-induced modifications in the functional and structural properties of vicilin-rich protein isolate from kidney (Phaseolus vulgaris L.) bean. Food Chem. 2009, 115, 859–866. [Google Scholar] [CrossRef]
- Çabuk, B. Influence of grasshopper (Locusta migratoria) and mealworm (Tenebrio molitor) powders on the quality characteristics of protein rich muffins: Nutritional, physicochemical, textural and sensory aspects. J. Food Meas. Charact. 2021, 15, 3862–3872. [Google Scholar] [CrossRef]
- Bruttomesso, M.; Bianchi, F.; Pasqualoni, I.; Rizzi, C.; Simonato, B. Evaluation of the technological and compositional features of pancakes fortified with Acheta domesticus. LWT 2024, 199, 116073. [Google Scholar] [CrossRef]
- Pang, J.; Guan, E.; Yang, Y.; Li, M.; Bian, K. Effects of wheat flour particle size on flour physicochemical properties and steamed bread quality. Food Sci. Nutr. 2021, 9, 4691–4700. [Google Scholar] [CrossRef] [PubMed]
- Ozgolet, M.; Kasapoglu, M.Z.; Avcı, E.; Karasu, S. Enhancing Gluten-Free Muffins with Milk Thistle Seed Proteins: Evaluation of Physicochemical, Rheological, Textural, and Sensory Characteristics. Foods 2024, 13, 2542. [Google Scholar] [CrossRef]
- Kumar, L.R.; Sanath Kumar, H.; Tejpal, C.; Anas, K.; Nayak, B.; Sarika, K.; Greeshma, S.; Chatterjee, N.; Mathew, S.; Ravishankar, C. Exploring the physical and quality attributes of muffins incorporated with microencapsulated squalene as a functional food additive. J. Food Sci. Technol. 2021, 58, 4674–4684. [Google Scholar] [CrossRef] [PubMed]
- Mu, T.-H.; Zhang, M.; Sun, H.-N.; Pérez, I.C. Sweet potato staple foods. In Sweet Potato; Elsevier: Amsterdam, The Netherlands, 2019; pp. 273–302. [Google Scholar]
- Rouzbahani, M.; Hosseini, H.; Rastegar, H.; Zade, S.V.; Alizadeh, A.M.; Sharifan, A.; Hashempour-baltork, F. Physicochemical, rheological and organoleptic characterizations of sponge cakes fortified with mycoproteins. J. Agric. Food Res. 2024, 17, 101223. [Google Scholar] [CrossRef]
- Dauthy, M. Preservation by reduction of water content: Drying/dehydration and concentration (chapter 5.2). Fruit Veg. Process. 1995, 23. [Google Scholar]
- Kaur, G.; Singh, A.; Khatkar, S. Effect of ultrasonicated corn starch as a fat replacer on muffin quality and sensory characteristics. J. Food Meas. Charact. 2024, 19, 1–11. [Google Scholar]
- Xu, J.; Li, Y.; Zhao, Y.; Wang, D.; Wang, W. Influence of antioxidant dietary fiber on dough properties and bread qualities: A review. J. Funct. Foods 2021, 80, 104434. [Google Scholar] [CrossRef]
- Wang, H.; Liu, W.; Zhang, P.; Lian, X. The Mechanism Underlying the Increase in Bread Hardness in Association with Alterations in Protein and Starch Characteristics During Room-Temperature Storage. Foods 2024, 13, 3921. [Google Scholar] [CrossRef]
- Alhazmi, H.A. FT-IR spectroscopy for the identification of binding sites and measurements of the binding interactions of important metal ions with bovine serum albumin. Sci. Pharm. 2019, 87, 5. [Google Scholar] [CrossRef]
- Singh, K.S.; Majik, M.S.; Tilvi, S. Vibrational spectroscopy for structural characterization of bioactive compounds. In Comprehensive Analytical Chemistry; Elsevier: Amsterdam, The Netherlands, 2014; Volume 65, pp. 115–148. [Google Scholar]
- Aloo, S.O.; Park, S.; Jeong, Y.-J.; Gebre, T.S.; Oh, D.-H. Characterization of different hempseed fractions after dehulling and defatting: Chemical composition and functional properties. J. Food Meas. Charact. 2024, 18, 7868–7883. [Google Scholar] [CrossRef]
- Yoon, H.-J.; Park, G.-H.; Lee, Y.-R.; Lee, J.-M.; Ahn, H.-L.; Lee, S.-O. Enzymatic preparation and antioxidant activities of protein hydrolysates from hemp (Cannabis sativa L.) seeds. Food Sci. Preserv. 2023, 30, 434–445. [Google Scholar] [CrossRef]
- Khalesi, M.; Gcaza, L.; FitzGerald, R.J. In Vitro Digestibility, Biological Activity, and Physicochemical Characterization of Proteins Extracted from Conventionally and Organically Cultivated Hempseed (Cannabis sativa L.). Molecules 2023, 28, 915. [Google Scholar] [CrossRef] [PubMed]
- Radünz, M.; Camargo, T.M.; Nunes, C.F.P.; Pereira, E.D.S.; Ribeiro, J.A.; Dos Santos Hackbart, H.C.; Radünz, A.F.O.; Radünz, A.L.; Gularte, M.A.; Da Fonseca Barbosa, F. Gluten-free green banana flour muffins: Chemical, physical, antioxidant, digestibility and sensory analysis. J. Food Sci. Technol. 2021, 58, 1295–1301. [Google Scholar] [CrossRef] [PubMed]
- Ouma, F.O.; Muriithi, A.N.; Anyango, J.O. Nutritional composition and sensory Properties of wheat muffins enriched with Gonimbrasia zambesina, walker caterpillar flour. Int. J. Trop. Insect Sci. 2022, 42, 3097–3105. [Google Scholar] [CrossRef] [PubMed]
- Ruiz, G.A.; Xiao, W.; van Boekel, M.; Minor, M.; Stieger, M. Effect of extraction pH on heat-induced aggregation, gelation and microstructure of protein isolate from quinoa (Chenopodium quinoa Willd). Food Chem. 2016, 209, 203–210. [Google Scholar] [CrossRef] [PubMed]
- Pihlanto, A.; Nurmi, M.; Pap, N.; Mäkinen, J.; Mäkinen, S. The effect of processing of hempseed on protein recovery and emulsification properties. Int. J. Food Sci. 2021, 2021, 8814724. [Google Scholar] [CrossRef] [PubMed]
- Kamle, M.; Mahato, D.K.; Sharma, B.; Gupta, A.; Shah, A.K.; Mahmud, M.C.; Agrawal, S.; Singh, J.; Rasane, P.; Shukla, A.C. Nutraceutical potential, phytochemistry of hemp seed (Cannabis sativa L.) and its application in food and feed: A review. Food Chem. Adv. 2024, 4, 100671. [Google Scholar] [CrossRef]
- Radočaj, O.; Dimić, E.; Tsao, R. Effects of hemp (Cannabis sativa L.) seed oil press-cake and decaffeinated green tea leaves (Camellia sinensis) on functional characteristics of gluten-free crackers. J. Food Sci. 2014, 79, C318–C325. [Google Scholar] [CrossRef]
- Julakanti, S.; Charles, A.P.R.; Zhao, J.; Bullock, F.; Syed, R.; Myles, Y.; Wu, Y. Hempseed protein (Cannabis sativa L.): Influence of extraction pH and ball milling on physicochemical and functional properties. Food Hydrocoll. 2023, 143, 108835. [Google Scholar] [CrossRef]





| Ingredient (g) | CON | HP10 | HP20 | HP30 |
|---|---|---|---|---|
| Hemp protein isolate | 0 | 7 | 14 | 21 |
| Wheat flour | 70 | 63 | 56 | 49 |
| Sugar | 24 | 24 | 24 | 24 |
| Baking soda | 1 | 1 | 1 | 1 |
| Sunflower oil | 24 | 24 | 24 | 24 |
| Butter milk | 70 | 70 | 70 | 70 |
| Salt | 0.4 | 0.4 | 0.4 | 0.4 |
| Samples | Weight (g) | Volume (mL) | Baking Loss (%) | pH | |
|---|---|---|---|---|---|
| Batter | Muffin | ||||
| CON | 39.47 ± 0.26 a | 63.33 ± 3.33 b | 21.33 ± 1.16 a | 8.05 ± 0.03 a | 9.38 ± 0.01 a |
| HP10 | 40.12 ± 0.55 a | 76.50 ± 2.78 a | 20.86 ± 1.36 b | 7.20 ± 0.00 b | 7.66 ± 0.01 b |
| HP20 | 40.19 ± 0.53 a | 81.50 ± 5.27 a | 20.22 ± 0.82 b | 6.57 ± 0.00 c | 6.67 ± 0.05 c |
| HP30 | 40.49 ± 0.33 a | 81.83 ± 4.48 a | 19.77 ± 0.57 b | 6.23 ± 0.01 d | 6.19 ± 0.01 d |
| Samples | Crust | Crumb | ||||
|---|---|---|---|---|---|---|
| L* | a* | b* | L* | a* | b* | |
| CON | 66.49 ± 1.45 a | 0.52 ± 0.33 b | 30.48 ± 1.21 a | 69.78 ± 0.29 a | −2.88 ± 0.04 c | 18.51 ± 0.33 a |
| HP10 | 60.69 ± 1.58 b | 0.73 ± 0.38 b | 20.18 ± 1.27 b | 61.11 ± 1.71 b | 0.36 ± 0.09 b | 14.45 ± 0.35 b |
| HP20 | 54.74 ± 0.88 c | 1.53 ± 0.20 a | 20.03 ± 0.98 b | 53.76 ± 2.20 c | 0.48 ± 0.15 b | 14.32 ± 0.40 b |
| HP30 | 47.43 ± 2.11 d | 1.98 ± 0.30 a | 18.77 ± 1.26 b | 48.17 ± 1.40 d | 0.91 ± 0.28 a | 14.08 ± 1.04 b |
| Samples | Casson | Herschel–Bulkley | ||||
|---|---|---|---|---|---|---|
| Yield Stress (Pa) | a | R2 | K | n | R2 | |
| CON | 174.50 | 2.67 | 0.996 | 86.78 | 0.61 | 0.999 |
| HP10 | 203.10 | 2.74 | 0.995 | 104.95 | 0.59 | 0.999 |
| HP20 | 190.12 | 2.94 | 0.996 | 105.75 | 0.60 | 0.999 |
| HP30 | 228.42 | 3.66 | 0.999 | 110.47 | 0.66 | 0.999 |
| Samples | Protein (%) | Carbohydrate (%) | Moisture (%) | Fat (%) | Ash (%) |
|---|---|---|---|---|---|
| CON | 9.61 ± 0.19 d | 25.43 ± 0.80 a | 40.24 ± 2.38 a | 10.14 ± 1.04 a | 0.50 ± 0.02 c |
| HP10 | 13.27 ± 0.54 c | 22.73 ± 1.04 b | 41.42 ± 1.19 a | 10.82 ± 0.77 a | 0.56 ± 0.06 bc |
| HP20 | 17.16 ± 0.11 b | 19.36 ± 0.19 c | 41.70 ± 0.44 a | 11.14 ± 1.04 a | 0.72 ± 0.10 b |
| HP30 | 19.40 ± 0.51 a | 17.66 ± 0.09 c | 42.04 ± 0.20 a | 11.16 ± 0.77 a | 0.92 ± 0.08 a |
| Volume Change (%) (Day 1–3) | Volume Change (%) (Day 3–5) | |
|---|---|---|
| CON | 2.92 ± 1.00 a | 3.33 ± 0.40 b |
| HP10 | 4.22 ± 0.81 a | 4.35 ± 1.38 ab |
| HP20 | 4.07 ± 1.75 a | 4.12 ± 0.24 ab |
| HP30 | 4.13 ± 1.37 a | 6.46 ± 1.38 a |
| Appearance | Aroma | Taste | Mouthfeel | Overall Acceptability | |
|---|---|---|---|---|---|
| CON | 5.77 ± 1.38 a | 5.27 ± 1.14 a | 5.10 ± 1.24 a | 5.20 ± 1.42 a | 5.33 ± 1.42 a |
| HP10 | 4.07 ± 1.44 c | 5.13 ± 1.04 a | 5.10 ± 1.24 a | 5.43 ± 1.10 a | 5.00 ± 1.39 a |
| HP20 | 4.67 ± 1.03 bc | 4.73 ± 1.01 a | 5.10 ± 1.24 a | 5.23 ± 1.01 a | 5.10 ± 1.12 a |
| HP30 | 5.13 ± 1.00 ab | 4.96 ± 1.03 a | 4.90 ± 1.21 a | 4.83 ± 1.37 a | 4.83 ± 1.23 a |
Disclaimer/Publisher’s Note: The statements, opinions and data contained in all publications are solely those of the individual author(s) and contributor(s) and not of MDPI and/or the editor(s). MDPI and/or the editor(s) disclaim responsibility for any injury to people or property resulting from any ideas, methods, instructions or products referred to in the content. |
© 2025 by the authors. Licensee MDPI, Basel, Switzerland. This article is an open access article distributed under the terms and conditions of the Creative Commons Attribution (CC BY) license (https://creativecommons.org/licenses/by/4.0/).
Share and Cite
Du, H.; Baek, I.; Jang, Y.; Said, N.S.; Lee, W.Y. Effects on Physicochemical, Nutritional, and Quality Attributes of Fortified Vegan Muffins Incorporated with Hempseed as an Alternative Protein Source. Foods 2025, 14, 601. https://doi.org/10.3390/foods14040601
Du H, Baek I, Jang Y, Said NS, Lee WY. Effects on Physicochemical, Nutritional, and Quality Attributes of Fortified Vegan Muffins Incorporated with Hempseed as an Alternative Protein Source. Foods. 2025; 14(4):601. https://doi.org/10.3390/foods14040601
Chicago/Turabian StyleDu, Huimin, Inha Baek, Yunju Jang, Nurul Saadah Said, and Won Young Lee. 2025. "Effects on Physicochemical, Nutritional, and Quality Attributes of Fortified Vegan Muffins Incorporated with Hempseed as an Alternative Protein Source" Foods 14, no. 4: 601. https://doi.org/10.3390/foods14040601
APA StyleDu, H., Baek, I., Jang, Y., Said, N. S., & Lee, W. Y. (2025). Effects on Physicochemical, Nutritional, and Quality Attributes of Fortified Vegan Muffins Incorporated with Hempseed as an Alternative Protein Source. Foods, 14(4), 601. https://doi.org/10.3390/foods14040601

