Electrochemical Sensor Based on Porous Biochar-Loaded MnO2 Nanocomposite for Sensitive Detection of Cd(II)
Abstract
1. Introduction
2. Materials and Methods
2.1. Reagents
2.2. Instruments
2.3. Synthesis of MnO2/KLSC
2.4. Fabrication of MnO2/KLSC Sensor
2.5. Electrochemical Investigations
2.6. Detection of Cd2+ in Rice and Sea Water
3. Results and Discussion
3.1. Material Characterizations
3.2. Electrochemical Behaviors of Different Electrodes
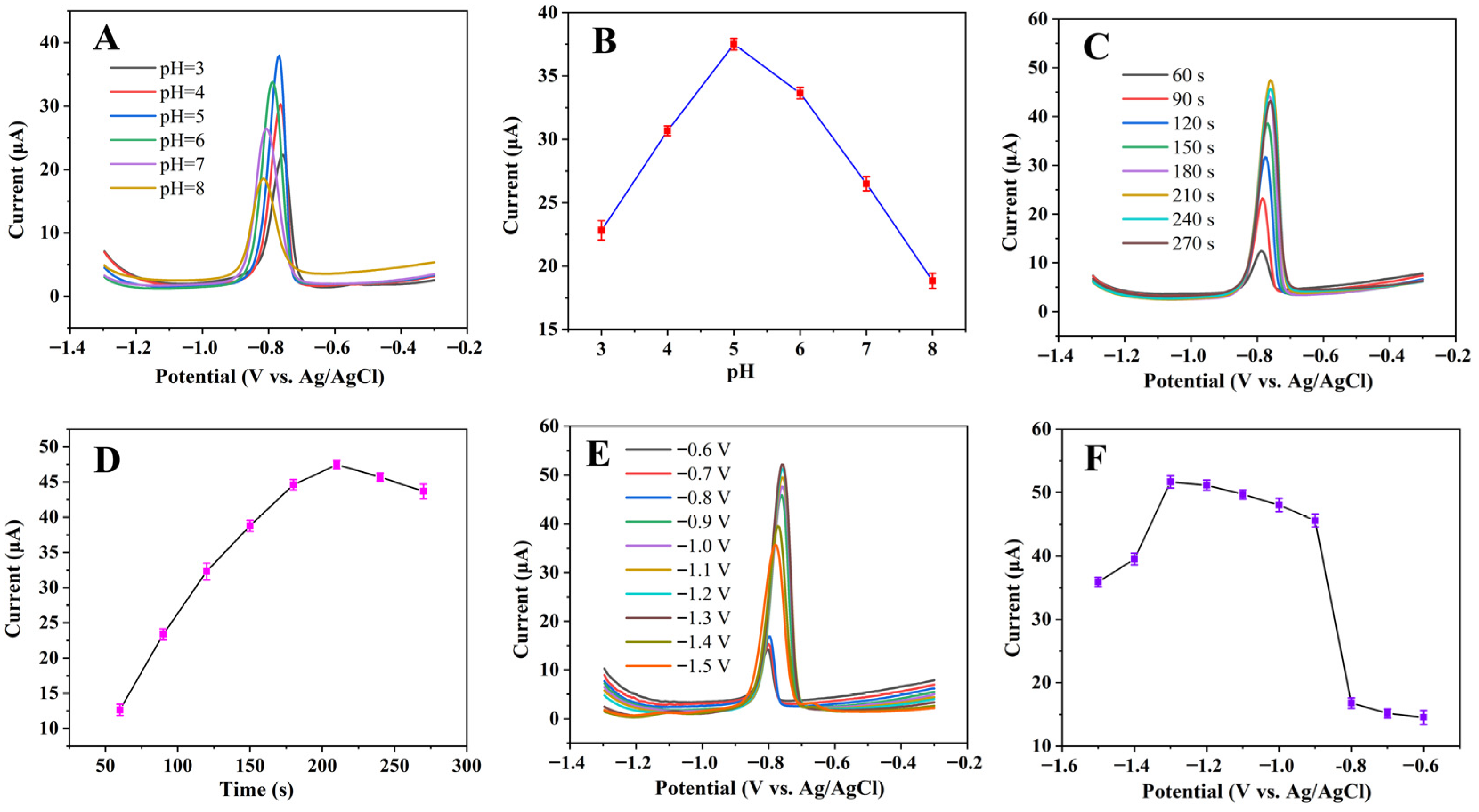
3.3. Analytical Performance of LVX at LSC@Fe3C/GCE
3.4. Stability, Repeatability, Reproducibility, and Interference Study
3.5. Real Sample Detection
4. Conclusions
Author Contributions
Funding
Institutional Review Board Statement
Informed Consent Statement
Data Availability Statement
Acknowledgments
Conflicts of Interest
References
- Gu, X.; Li, Z.; Xu, X.; Liu, H.; Cao, Y.N.; Wei, Y.F.; Liu, Z.Y.; Guo, P.H.; Qing, Y.; Wu, Y.Q. Hydrangea-like biomimetic MgO-modified coconut shell biochar for remediation of multi-media heavy metal pollution: Morphological innovation and underlying mechanisms. J. Hazard. Mater. 2025, 500, 140337. [Google Scholar] [CrossRef] [PubMed]
- Huang, Z.; Zhang, W.; Yang, H.; Al-Dhabi, N.A.; Zhang, P.; Zhu, H.Q.; Shu, Z.H.; Tang, W.W.; Pu, S.Y.; Tan, X. Simultaneous decomplexation/degradation and metal capture for butyl xanthate-metal complexes by iron-based biochar/sodium percarbonate. Chem. Eng. J. 2025, 505, 163605. [Google Scholar] [CrossRef]
- Dang, Q.; Huang, Q.; Lin, X.; Zhang, W.; Tang, L. Photo-oxidation coupled ion intercalation for sustainable heavy metal removal and resource recovery. Adv. Funct. Mater. 2025, 35, 2422913. [Google Scholar] [CrossRef]
- Lu, L.; Xu, J.; Chen, C.; Liu, R.; Yang, C.; Li, L.; Yuan, H.; Shen, L.; Lin, H. Advanced strategies for decontamination of heavy metal complexes from wastewater: Bridging efficient removal to resource recovery. Coord. Chem. Rev. 2026, 548, 217238. [Google Scholar] [CrossRef]
- Karimi-Maleh, H.; Zhang, Z.; Zare, N.; Karaman, O.; Wen, Y.; Wu, T.; Zhong, N.; Fu, L. A novel disposable dual-sensing platform based on DNA-aptamer amplified with gold nanoparticles/Nb4C3-MXene for simultaneous detection of lead and cadmium. Adv. Compos. Hybrid Mater. 2025, 8, 1–11. [Google Scholar] [CrossRef]
- Wang, J.; Yu, B.; Wang, F.; Wang, Z.; Xu, M.; Wu, Y.; Zhang, H. Interpenetrating twin ZIF-8/carbon nanofiber aerogel independent electrochemical sensor for the detection of heavy metal ions in soil and crops. Chem. Eng. J. 2025, 525, 170329. [Google Scholar] [CrossRef]
- Xiang, D.; Fang, F.; Shi, X.; Rao, C.; Bao, S.; Xian, B.; Chu, F.; Fang, T. Analysis and comparative study of preparation, mechanisms, and application of sodium alginate-based composite materials for highly efficient removal of cadmium cations. J. Clean. Prod. 2025, 499, 145234. [Google Scholar] [CrossRef]
- Yan, R.; Tan, H.W.; Zhao, X.Y.; Wu, J.Y.; Zhong, Q.H.; Wang, X.Y.; Cai, N.L.; Xu, Y.M.; Lau, A.T.Y. A methionine/aspartate-rich synthetic peptide delineated from N-terminal region of nucleophosmin protein effectively protects against cadmium-induced toxicity. Environ. Int. 2025, 199, 109443. [Google Scholar] [CrossRef]
- Liu, W.; Guan, J.; Kong, B.; Lu, H.; Wu, Y.; Qin, X.; Jiang, H.; Liu, X. Amino functionalized bismuth-based metal-organic frameworks and graphene aerogels for simultaneous detection of cadmium and lead ions. J. Solid State Electrochem. 2023, 27, 3393–3404. [Google Scholar] [CrossRef]
- Li, W.; Mao, P.; Chen, X.; Ling, W.; Qin, C.; Gao, Y. Co-sorption of phthalate esters and Cd2+ on biochar-sulfhydryl modified montmorillonite composites. J. Hazard. Mater. 2025, 494, 138526. [Google Scholar] [CrossRef]
- Costa, L.M.; Borges, F.A.; da Silva Cavalcanti, M.H.; do Lago, A.C.; Tarley, C.R.T.; de Fátima Lima Martins, G.; Figueiredo, E.C. Direct magnetic sorbent sampling flame atomic absorption spectrometry (DMSS-FAAS) for highly sensitive determination of trace metals. Anal. Chim. Acta 2023, 1251, 340709. [Google Scholar] [CrossRef] [PubMed]
- Yuan, X.; Yang, L.; Liu, S.; Yang, H.; Tang, Y.; Huang, K.; Zhang, M. An effective analytical system based on an ultraviolet atomizer for trace cadmium determination using atomic fluorescence spectrometry. Anal. Methods 2018, 10, 4821–4826. [Google Scholar] [CrossRef]
- dos Reis, M.L.C.M.; Teixeira, L.S.G.; de Albuquerque, L.A.; Dias, F.S. A green analytical method using natural eutectic deep solvent for bee pollen samples preparation for multi-element determination by energy dispersive X-ray fluorescence spectrometry. Microchem. J. 2025, 219, 116159. [Google Scholar] [CrossRef]
- Zhao, N.; Bian, Y.; Dong, X.; Gao, X.; Zhao, L. Magnetic solid-phase extraction based on multi-walled carbon nanotubes combined ferroferric oxide nanoparticles for the determination of five heavy metal ions in water samples by inductively coupled plasma mass spectrometry. Water Sci. Technol. 2021, 84, 1417–1427. [Google Scholar] [CrossRef]
- Chang, Z.; Wang, F.; Wang, Z.; Yu, J.; Ding, B.; Li, Z. Fiber-based electrochemical sweat sensors toward personalized monitoring. Prog. Mater. Sci. 2025, 156, 101579. [Google Scholar] [CrossRef]
- Gao, X.; Wang, L.; Elumalai, P.; Lakshminarayanan, S.; Zhu, X.; Wang, L.; Govindan, R.; Theerthagiri, J.; Parthipan, P.; Zhao, Q.; et al. Emerging sensor technologies for detecting pollutants in ecosystems. Coord. Chem. Rev. 2025, 542, 216849. [Google Scholar] [CrossRef]
- Khan, M.; Sun, X.; Attique, F.; Saleh, M.T.; Ahmad, N.; Atiq, K.; Shafi, M.; Ahmed, I.A.; Barsoum, I.; Rafique, M.S.; et al. Unveiling the future: Breakthroughs and innovations in MXene-based electrochemical sensors. Chem. Eng. J. 2025, 507, 160392. [Google Scholar] [CrossRef]
- Wang, D.; Deng, Y.; Liu, X.; Wang, B.; Yang, F. Recent advances on biomass-derived carbon materials-based electrochemical sensors. Molecules 2025, 30, 3046. [Google Scholar] [CrossRef]
- Baranwal, J.; Barse, B.; Gatto, G.; Broncova, G.; Kumar, A. Electrochemical sensors and their applications: A review. Chemosensors 2022, 10, 363. [Google Scholar] [CrossRef]
- Zhang, L.; Zhang, Y.; Chen, W.T.; An, X.; Liu, H.; Chang, F.; Gao, S.; Hu, G. Recent advances and perspectives in functionalized nanocomposites for electrochemical sensing of toxic environmental heavy metal ions. Coord. Chem. Rev. 2025, 542, 216859. [Google Scholar] [CrossRef]
- Borjian, P.; Chimerad, M.; Cho, H.J. Eco-friendly molecularly imprinted sensor interface using chitosan-gold nanoparticle composite for sensitive and selective trace-level detection of PFOS. Sens. Actuators B Chem. 2025, 448, 138995. [Google Scholar]
- Sivaji, S.P.; Vinothini, S.; Chen, T.W.; Chen, S.M.; Mariappan, K.; Chiu, T.E.; Al-Mohaimeed, A.M.; Ali, M.A.; Elshikh, M.S. Newly discovered In2O3@CNF nanocomposite sensor for highly sensitive electrochemical detection of carbendazim in fruit samples. Microchem. J. 2025, 208, 112208. [Google Scholar] [CrossRef]
- Qian, W.; Xing, M.; Huang, X.; Li, Y.; Hao, B. Fabrication of nanocomposites based on graphene oxide/carbon nanotube for electrochemical sensing of glucose and dopamine. J. Mater. Sci. Technol. 2026, 247, 162–170. [Google Scholar]
- Yang, L.; Feng, A.; Zhang, H.; Wang, H.; Wei, X.; Wang, Z.; Hou, X.; Cheng, H. Laser-induced graphene nanocomposites with molecularly imprinted polymers and Prussian blue for electrochemical sensing of vitamin B6 and glucose. Compos. Part B Eng. 2025, 304, 112843. [Google Scholar]
- Hasan Alzaimoor, E.F.; Khan, E. Metal–organic frameworks (MOFs)-based sensors for the detection of heavy metals: A review. Crit. Rev. Anal. Chem. 2024, 54, 3016–3037. [Google Scholar] [CrossRef]
- Song, H.; Huo, M.; Zhou, M.; Chang, H.; Li, J.; Zhang, Q.; Fang, Y.; Wang, H.; Zhang, D. Carbon nanomaterials-based electrochemical sensors for heavy metal detection. Crit. Rev. Anal. Chem. 2024, 54, 1987–2006. [Google Scholar] [CrossRef]
- Ye, M.; Huang, H. Transition metal oxide electrode materials in electrochemical sensors for heavy metal ions: Cutting-edge developments and challenges. Talanta 2026, 298, 128994. [Google Scholar] [CrossRef]
- Lalawmpuia, R.; Lalhruaitluangi, M.; Pathak, S.; Tiwari, D. Highly sensitive and selective titanium-based metal-organic framework in the simultaneous detection of Cd2+ and Pb2+ in aqueous medium: A sustainable approach. Inorganica Chim. Acta 2025, 590, 122959. [Google Scholar]
- Ajdari, B.; Madrakian, T.; Afkhami, A. Development of an electrochemical sensor utilizing MWCNs-poly(2-aminothiophenol)@AgNPs nanocomposite for the simultaneous determination of Pb2+ and Cd2+ in food samples. Food Chem. 2025, 477, 143529. [Google Scholar]
- Wu, W.; Wang, J.; Luo, D.; Wu, Y.; Hu, Z.; Zhou, W.; Wang, Q.; You, X.; Li, M.; Wang, L. Co3O4@carbon nanofiber aerogel electrodes with wide detection range for electrochemical detection of Cd (II) in cigarette butts. J. Environ. Chem. Eng. 2025, 13, 116376. [Google Scholar]
- Dhukate, A.K.; Koyale, P.A.; Mullani, S.B.; Mulik, S.V.; Mullani, N.B.; Dongale, T.D.; Delekar, S.D. Synergistic ternary MnO2/(rGO@Ag) nanocomposites for sensitive electrochemical dopamine detection. Anal. Methods 2025, 17, 6584–6597. [Google Scholar]
- Yang, W.; Gong, W.; Zhu, L.; Ma, X.; Xu, W. Novel catalytic behavior of defective nanozymes with catalase-mimicking characteristics for the degradation of tetracycline. J. Colloid Interface Sci. 2025, 677, 952–966. [Google Scholar]
- Ndayiragije, S.; Zhou, Y.; Wang, X.; Zhu, L.; Wang, S.; Wang, N. Tailoring oxygen vacancies of MnO2 for peroxymonosulfate activation to singlet oxygen for contaminant degradation. J. Environ. Chem. Eng. 2025, 13, 117716. [Google Scholar] [CrossRef]
- Li, G.; Zhang, Y.; Xia, Y.; Wang, T.; Jin, Y. Multiwalled carbon nanotubes decorated dandelion-like α-MnO2 microspheres for simultaneous and sensitive detection of sunset yellow and tartrazine. Microchem. J. 2025, 210, 113040. [Google Scholar]
- Pu, Y.; Wu, Y.; Yu, Z.; Lu, L.; Wang, X. Simultaneous determination of Cd2+ and Pb2+ by an electrochemical sensor based on Fe3O4/Bi2O3/C3N4 nanocomposites. Talanta Open 2021, 3, 100024. [Google Scholar] [CrossRef]
- Liu, Q.; Wang, H.; Ji, J.; Zhang, W.; Wang, A.; Zhao, B.; Chen, Z. Cu-doped graphitic carbon nitride composite functionalized sensor for sensitive Cd2+ detection. Comput. Electron. Agric. 2023, 215, 108383. [Google Scholar] [CrossRef]
- Jin, Y.; Zhang, X.; Tong, D.; Cheng, Y.; Han, F.; Wu, J.; Qin, Z. Simultaneous detection of cadmium and lead ions in grains using an electrochemical sensor based Co-ZIF@carbonized litchi pericarp composition. New J. Chem. 2025, 49, 19348–19357. [Google Scholar]
- Singh, A.K.; Tarul; Patel, M.; Rosy. In-situ electrodeposition of metal free poly-cysteine decorated graphitic carbon nitride for synchronous analysis of Zn2+ and Cd2+. J. Environ. Chem. Eng. 2025, 13, 115476. [Google Scholar]
- Dhaffouli, A.; Moussaoui, Y.; Salazar-Carballo, P.A.; Holzinger, M.; Carinelli, S.; Barhoumi, H. Graphene oxide-infused hybrid nanocomposite for the targeted and precise simultaneous detection of lead and cadmium ions. Inorg. Chem. Commun. 2025, 180, 114871. [Google Scholar] [CrossRef]
- Guesmi, S.; Ali, N.H.; Missaoui, N.; Aloui, Z.; Mabrouk, C.; Martinez, C.C.; Echouchene, F.; Barhoumi, H.; Jaffrezic-Renault, N.; Kahri, H. High-performance ZIF-7@ PANI electrochemical sensor for simultaneous trace cadmium and lead detection in water samples: A box-behnken design optimization approach. Sensors 2025, 25, 1336. [Google Scholar] [CrossRef]
- Yin, J.; Huang, H.; Zhao, C.; Zhu, H.; Suo, H.; He, D.; Zhao, C. Preparation of MnOx/CC electrode by one-step electrodeposition for electrochemical detection of Cd2+ in water. Sensors 2025, 25, 1415. [Google Scholar] [CrossRef]
- Liu, Y.; Li, T.; Ling, C.; Chen, Z.; Deng, Y.; He, N. Electrochemical sensor for Cd2+ and Pb2+ detection based on nano-porous pseudo carbon paste electrode. Chin. Chem. Lett. 2019, 30, 2211–2215. [Google Scholar] [CrossRef]
- Ding, S.; Ali, A.; Jamal, R.; Xiang, L.; Zhong, Z.; Abdiryim, T. An electrochemical sensor of poly (EDOT-pyridine-EDOT)/graphitic carbon nitride composite for simultaneous detection of Cd2+ and Pb2+. Materials 2018, 11, 702. [Google Scholar] [CrossRef]
- Zheng, X.; Han, Y.; Liu, Z.; Liang, S.; Wang, C.; Guo, Y. Electrochemical sensor built on graphene@ iron-based metal-organic frameworks for simultaneous detection of Cd2+ and Pb2+. Electroanalysis 2025, 37, e12002. [Google Scholar] [CrossRef]
- Jin, Y.; Tong, D.; Zhang, W.; Wu, J.; Ma, D.; Tai, Y.; Cui, C.; Li, X.; Yang, L.; Xu, G. Water-phase induced synthesis of ZnCo/N-PC synergized with NACS for the electrochemical rapid determination of heavy metal ions in water and grains. Microchem. J. 2025, 217, 114971. [Google Scholar] [CrossRef]






| Electrodes | Method | Linear Range (μmol/L) | LOD (nmol/L) | Ref. |
|---|---|---|---|---|
| Fe3O4/Bi2O3/C3N4/GCE | SWASV | 0.01–3 | 3.0 | [35] |
| g-C3N4/CuNps | DPASV | 0.0089–0.89 | 0.098 | [36] |
| Co-ZIF@LP/GCE | SWASV | 1–10 | 28 | [37] |
| p(Cys).gCN|GCE | SWV | 1–100 | 4.90 | [38] |
| GO@ZnO@SiO2 | DPV | 0.005–0.0175 0.0175–0.15 | 12.5 | [39] |
| ZIF-7@PANI/GCE | DPV | 0.02–30 | 10.6 | [40] |
| MnOx/CC | DPV | 0.1–100 | 80 | [41] |
| Nano-PPCPE | DPASV | 0.1–3.0 | 78 | [42] |
| Poly(BPE)/g-C3N4 | DPV | 0.12–7.2 | 18 | [43] |
| PVP/GNs@Fe-MOF | LSV | 0.03–1.0 | 10 | [44] |
| ZnCo/N-PC@NACS/GCE | SWV | 0.1–80 | 33 | [45] |
| MnO2/KLSC/GCE | SWASV | 0.01–80 | 9.8 | This work |
| Sample | Detected (μmol/L) | Added (μmol/L) | Found (μmol/L) | Recovery (%) | RSD (%) |
|---|---|---|---|---|---|
| Rice | 0.00 | 5 | 5.46 | 104.60% | 3.36% |
| 10 | 10.08 | 97.80% | 4.92% | ||
| 20 | 20.15 | 101.45% | 2.37% | ||
| Sea water | 0.00 | 5 | 5.37 | 95.40% | 4.15% |
| 10 | 10.49 | 104.90% | 4.07% | ||
| 20 | 20.13 | 100.65% | 1.88% |
Disclaimer/Publisher’s Note: The statements, opinions and data contained in all publications are solely those of the individual author(s) and contributor(s) and not of MDPI and/or the editor(s). MDPI and/or the editor(s) disclaim responsibility for any injury to people or property resulting from any ideas, methods, instructions or products referred to in the content. |
© 2025 by the authors. Licensee MDPI, Basel, Switzerland. This article is an open access article distributed under the terms and conditions of the Creative Commons Attribution (CC BY) license (https://creativecommons.org/licenses/by/4.0/).
Share and Cite
Wang, B.; Tang, K.; Yang, F. Electrochemical Sensor Based on Porous Biochar-Loaded MnO2 Nanocomposite for Sensitive Detection of Cd(II). Foods 2025, 14, 4252. https://doi.org/10.3390/foods14244252
Wang B, Tang K, Yang F. Electrochemical Sensor Based on Porous Biochar-Loaded MnO2 Nanocomposite for Sensitive Detection of Cd(II). Foods. 2025; 14(24):4252. https://doi.org/10.3390/foods14244252
Chicago/Turabian StyleWang, Baoli, Kai Tang, and Feng Yang. 2025. "Electrochemical Sensor Based on Porous Biochar-Loaded MnO2 Nanocomposite for Sensitive Detection of Cd(II)" Foods 14, no. 24: 4252. https://doi.org/10.3390/foods14244252
APA StyleWang, B., Tang, K., & Yang, F. (2025). Electrochemical Sensor Based on Porous Biochar-Loaded MnO2 Nanocomposite for Sensitive Detection of Cd(II). Foods, 14(24), 4252. https://doi.org/10.3390/foods14244252
