The Quality and Bioactive Properties of Mulberry Wine Under Different Fermentation Conditions
Abstract
1. Introduction
2. Materials and Methods
2.1. Materials and Reagents
2.2. Instruments and Equipment
2.3. Experimental Methods
2.3.1. Mulberry Wine Production Process and Key Steps
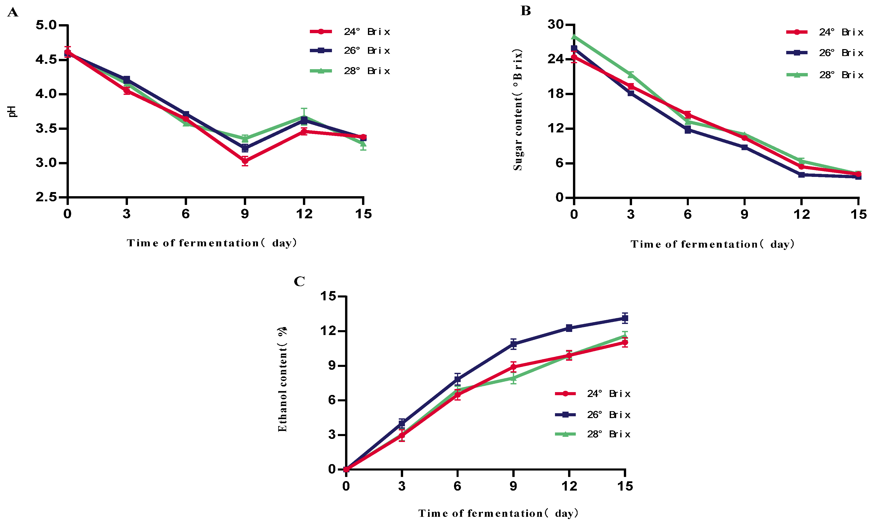
2.3.2. Effect of Initial Sugar Concentration on Wine Quality
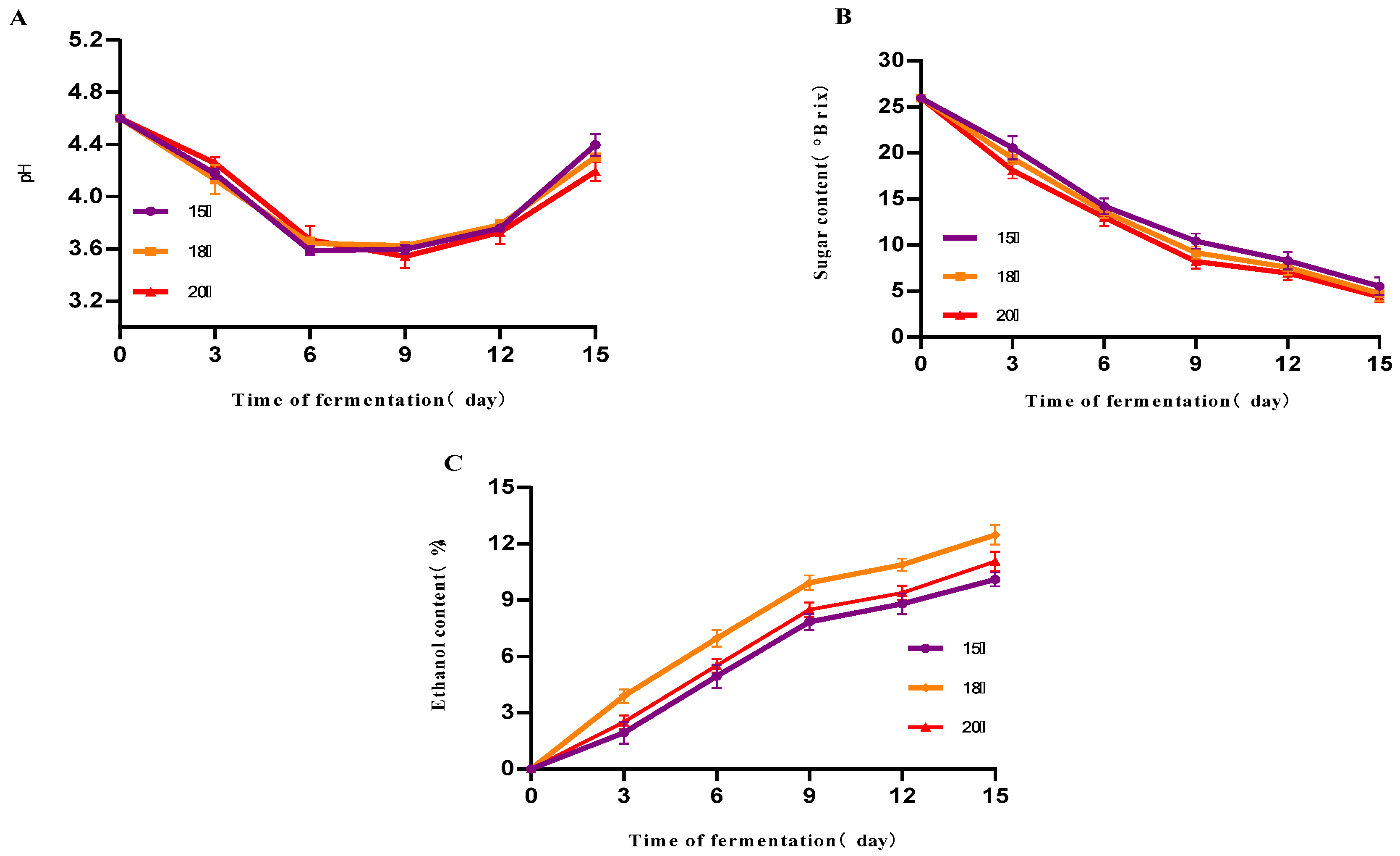
2.3.3. Effect of Fermentation Temperature on Wine Quality
2.3.4. Effect of Yeast Dosage on Fruit Wine Quality
2.3.5. Response Surface Experiment for Fermentation Process Optimization
2.4. Experimental Conditions
2.4.1. Total Phenolic Content Determination
2.4.2. Flavonoid Content Determination
2.4.3. DPPH-Clearance Measurement
2.4.4. Determination of ABTS + Clearance
2.4.5. Analysis of Volatile Components
2.4.6. Determination of Ferric Ion Reducing Power
2.4.7. Determination of Inhibition Effect on Cancer Cell Proliferation
2.4.8. Determination of Antimicrobial Activity
2.4.9. Chromatographic Conditions
Mass Spectrometry–Chromatography Conditions
2.4.10. Sensory Evaluation
2.4.11. Quantitative Description of Sensory Evaluation
2.4.12. Statistical Analysis
3. Results and Discussion
3.1. One-Way Test to Investigate the Optimal Fermentation Conditions of Mulberry Fruit Wine
3.2. Response Surface Design Experiment Plan and Results Analysis
3.3. Volatile Aroma Compounds in Mulberry Fruit Wine and Mulberry Juice Under Optimal Fermentation Conditions
3.4. Sensory Analysis of Optimized Mulberry Wine (QDA)
3.5. Antioxidant Activity of Mulberry Fruit Wine and Mulberry Juice Under Optimal Fermentation Conditions
3.6. Determination of the Inhibitory Effect of Freeze-Dried Powder Solution of Mulberry Fruit Wine on the Proliferation of Cancer Cells
3.7. Results of Antimicrobial Properties of Mulberry Fruit Wine
3.8. Limitations (Key Strategies)
4. Conclusions
Author Contributions
Funding
Institutional Review Board Statement
Informed Consent Statement
Data Availability Statement
Conflicts of Interest
References
- Lian, W.; Lei, J.; Han, C.; Wu, J.; Liu, Z.; Liu, W.; Jiapaer, A.; Su, H.; Xu, Y.; Chen, Y.; et al. Effect of Different Yeasts on the Higher Alcohol Content of Mulberry Wine. Foods 2024, 13, 1788. [Google Scholar] [CrossRef]
- Ma, D.; Zhao, H.; Liu, Z.; Liu, M.; Qi, P.; Di, S.; Zhang, S.; Wang, X. Recent advances on mulberry volatile flavor: A review. J. Food Compos. Anal. 2023, 124, 105665. [Google Scholar] [CrossRef]
- de Souza, A.C.; Fernandes, A.C.F.; Silva, M.S.; Schwan, R.F.; Dias, D.R. Antioxidant activities of tropical fruit wines. J. Inst. Brew. 2018, 124, 492–497. [Google Scholar] [CrossRef]
- Hao, J.; Gao, Y.; Xue, J.; Yang, Y.; Yin, J.; Wu, T.; Zhang, M. Phytochemicals, Pharmacological Effects and Molecular Mechanisms of Mulberry. Foods 2022, 11, 1170. [Google Scholar] [CrossRef] [PubMed]
- Yu, W.; Chen, H.; Xiang, Z.; He, N. Preparation of Polysaccharides from Ramulus mori, and Their Antioxidant, Anti-Inflammatory and Antibacterial Activities. Molecules 2019, 24, 856. [Google Scholar] [CrossRef]
- Martins, M.S.; Gonçalves, A.C.; Alves, G.; Silva, L.R. Blackberries and Mulberries: Berries with Significant Health-Promoting Properties. Int. J. Mol. Sci. 2023, 24, 12024. [Google Scholar] [CrossRef]
- He, Y.; Liu, G.; Xia, C.; Chen, J.; Zhao, J.; Li, X.; Deng, J.; Wang, X.; Xiang, Z.; Zeng, P. Laxative effect of mulberry ferment on two models of constipated mice. J. Funct. Foods 2022, 90, 104971. [Google Scholar] [CrossRef]
- Feng, Y.; Liu, M.; Ouyang, Y.; Zhao, X.; Ju, Y.; Fang, Y. Comparative study of aromatic compounds in fruit wines from raspberry, strawberry, and mulberry in central Shaanxi area. Food Nutr. Res. 2015, 59, 29290. [Google Scholar] [CrossRef]
- Li, Y.; Ma, Y.; Xu, M.; Yaqoob, S.; Aregbe, A.Y.; Xiong, Y. Impact of fermentation through Wickerhamomyces anomalus and Saccharomyces cerevisiae on aroma and quality of mulberry wine. Int. J. Food Sci. Technol. 2024, 59, 971–984. [Google Scholar] [CrossRef]
- Ontawong, A.; Wongputtisin, P.; Thim-Uam, A.; Pengnet, S.; Munkong, N.; Kuntakhut, K.; Riyamongkhol, P.; Mann, D.; Amornlerdpison, D. Subchronic oral toxicity study of the synbiotic mulberry in male and female Wistar rats. Food Chem. Toxicol. 2024, 190, 114843. [Google Scholar] [CrossRef]
- Liu, S.; Wu, C.; Fan, G.; Li, T.; Ying, R.; Miao, Y. Effects of yeast strain on anthocyanin, color, and antioxidant activity of mulberry wines. J. Food Biochem. 2017, 41, e12409. [Google Scholar] [CrossRef]
- Hu, J.; Vinothkanna, A.; Wu, M.; Ekumah, J.-N.; Akpabli-Tsigbe, N.D.K.; Ma, Y. Tracking the dynamic changes of a flavor, phenolic profile, and antioxidant properties of Lactiplantibacillus plantarum- and Saccharomyces cerevisiae-fermented mulberry wine. Food Sci. Nutr. 2021, 9, 6294–6306. [Google Scholar] [CrossRef] [PubMed]
- You, Y.; Li, N.; Han, X.; Guo, J.; Liu, G.; Huang, W.; Zhan, J. Influence of Tannin Extract and Yeast Extract on Color Preservation and Anthocyanin Content of Mulberry Wine. J. Food Sci. 2018, 83, 1084–1093. [Google Scholar] [CrossRef] [PubMed]
- Ouyang, X.; Zhu, B.; Liu, R.; Gao, Q.; Lin, G.; Wu, J.; Hu, Z.; Zhang, B. Comparison of volatile composition and color attributes of mulberry wine fermented by different commercial yeasts. J. Food Process. Preserv. 2018, 42, e13432. [Google Scholar] [CrossRef]
- Tchabo, W.; Ma, Y.; Kwaw, E.; Zhang, H.; Xiao, L.; Apaliya, M.T. Statistical interpretation of chromatic indicators in correlation to phytochemical profile of a sulfur dioxide-free mulberry (Morus nigra) wine submitted to non-thermal maturation processes. Food Chem. 2018, 239, 470–477. [Google Scholar] [CrossRef]
- GB/T 317-2018; National Standard of the People’s Republic of China. White Sugar Publisher: Beijing, China.
- Luo, W.; Chen, X.; Xiao, G.; Yu, Y.; Wu, J.; Zou, B.; Xu, Y.; Li, L. Evaluation of the biogenic amine composition of commercial mulberry fruit wines and improving its safety and quality by selected strain. J. Food Compos. Anal. 2024, 132, 106334. [Google Scholar] [CrossRef]
- Wang, Z.; Svyantek, A.; Miller, Z.; Watrelot, A.A. Fermentation Process Effects on Fermented McIntosh Apple Ciders. Fermentation 2024, 10, 115. [Google Scholar] [CrossRef]
- Stanzer, D.; Čiča, K.H.; Blesić, M.; Murtić, M.S.; Mrvčić, J.; Spaho, N. Alcoholic Fermentation as a Source of Congeners in Fruit Spirits. Foods 2023, 12, 1951. [Google Scholar] [CrossRef]
- Xu, J.; Qi, Y.; Zhang, J.; Liu, M.; Wei, X.; Fan, M. Effect of reduced glutathione on the quality characteristics of apple wine during alcoholic fermentation. Food Chem. 2019, 300, 125130. [Google Scholar] [CrossRef]
- Huang, J.; Li, H.; Wang, Y.; Wang, X.; Ren, Y.; Yue, T.; Gao, Z. Evaluation of the quality of fermented kiwi wines made from different kiwifruit cultivars. Food Biosci. 2021, 42, 101051. [Google Scholar] [CrossRef]
- Tailulu, A.; Li, M.; Ye, B.; Al-qudaimi, R.; Cao, F.; Liu, W.; Shi, P. Antimicrobial and anticancer activities of Hainan dry noni fruit alcoholic extracts and their novel compounds identification using UPLC-Q-Exactive Obitrap-MS/MS. J. Pharm. Biomed. Anal. 2022, 220, 114989. [Google Scholar] [CrossRef]
- Guo, C.; Deng, H.; Li, E. Removal of acetic acid in mulberry wine by co-inoculating Saccharomyces cerevisiae with indigenous non-Saccharomyces yeast. Food Biosci. 2024, 58, 103658. [Google Scholar] [CrossRef]
- González Flores, M.; Rodríguez, M.E.; Origone, A.C.; Oteiza, J.M.; Querol, A.; Lopes, C.A. Saccharomyces uvarum isolated from patagonian ciders shows excellent fermentative performance for low temperature cidermaking. Food Res. Int. 2019, 126, 108656. [Google Scholar] [CrossRef] [PubMed]
- Johnson, N.A.N.; Ekumah, J.-N.; Ma, Y.; Akpabli-Tsigbe, N.D.K.; Adade, S.Y.-S.S.; Manching, X.; Quaisie, J.; Kwaw, E.; Wang, C. Optimization of fermentation parameters for the production of a novel selenium enriched mulberry (Morus nigra) wine. LWT 2023, 178, 114608. [Google Scholar] [CrossRef]
- Chen, H.; Yu, W.; Chen, G.; Meng, S.; Xiang, Z.; He, N. Antinociceptive and Antibacterial Properties of Anthocyanins and Flavonols from Fruits of Black and Non-Black Mulberries. Molecules 2018, 23, 4. [Google Scholar] [CrossRef] [PubMed]
- Cai, W.; Li, B.; Chen, Y.; Fu, G.; Fan, H.; Deng, M.; Wan, Y.; Liu, N.; Li, M. Increase the Content of Ester Compounds in Blueberry Wine Fermentation with the Ester-Producing Yeast: Candida glabrata, Pichia anomala, and Wickerhamomyces anomalus. Foods 2022, 11, 3655. [Google Scholar] [CrossRef]
- Guichard, H.; Poupard, P.; Legoahec, L.; Millet, M.; Bauduin, R.; Le Quéré, J.-M. Brettanomyces anomalus, a double drawback for cider aroma. LWT 2019, 102, 214–222. [Google Scholar] [CrossRef]
- Czyżowska, A.; Wilkowska, A.; Staszczak, A.; Nowak, A. Characterization of Phytochemicals in Berry Fruit Wines Analyzed by Liquid Chromatography Coupled to Photodiode-Array Detection and Electrospray Ionization/Ion Trap Mass Spectrometry (LC-DAD-ESI-MSn) and Their Antioxidant and Antimicrobial Activity. Foods 2020, 9, 1783. [Google Scholar] [CrossRef]
- Tian, M.; Wang, Q.; Jia, X.; Tian, Y.; Hong, Y.; Zhou, Y. Chemical constituents, antibacterial and anti-inflammatory properties of Pyrus calleryana Dcne. essential oil. Ind. Crops Prod. 2023, 204, 117353. [Google Scholar] [CrossRef]
- Ilc, T.; Halter, D.; Miesch, L.; Lauvoisard, F.; Kriegshauser, L.; Ilg, A.; Baltenweck, R.; Hugueney, P.; Werck-Reichhart, D.; Duchêne, E.; et al. A grapevine cytochrome P450 generates the precursor of wine lactone, a key odorant in wine. New Phytol. 2017, 213, 264–274. [Google Scholar] [CrossRef]
- Testa, B.; Coppola, F.; Succi, M.; Iorizzo, M. Biotechnological Strategies for Ethanol Reduction in Wine. Fermentation 2025, 11, 159. [Google Scholar] [CrossRef]
- Bezerra, M.; Ribeiro, M.; Cosme, F.; Nunes, F.M. Overview of the distinctive characteristics of strawberry, raspberry, and blueberry in berries, berry wines, and berry spirits. Compr. Rev. Food Sci. Food Saf. 2024, 23, e13354. [Google Scholar] [CrossRef]
- He, L.; Yan, Y.; Wu, M.; Ke, L. Advances in the Quality Improvement of Fruit Wines: A Review. Horticulturae 2024, 10, 93. [Google Scholar] [CrossRef]
- Esse, M.Y.; Guehi, T.S.; Lebrun, M.; Morel, G.; Grabulos, J.; Mestres, C.; Achir, N. Kinetic study of some flavor and bioactive compounds during fermentation of Parkia biglobosa. J. Food Process. Preserv. 2022, 46, e16888. [Google Scholar] [CrossRef]










| Factor | Number | Level | ||
|---|---|---|---|---|
| −1 | 0 | 1 | ||
| Initial Fermentation Sugar Content (°Brix) | A | 24 | 26 | 28 |
| Fermentation Temperature (°C) | B | 15 | 18 | 20 |
| Yeast Inoculation Rate (%) | C | 0.04 | 0.08 | 0.12 |
| Strains | Conditional | |||
|---|---|---|---|---|
| A (Temperature) °C | B (Culture Medium) | C (Time)/h | Strain Identifier /Source | |
| E. coli | 37 | MHB | 24 | ATCC 1682 |
| S.aureus | 37 | MHB | 24 | ATCC 503 |
| S.mutans | 37 | BHI | 24 | CGMCC 3289 |
| Score | Evaluation Criteria | |
|---|---|---|
| Color | 7-5 | Vibrant, clear, deep fuchsia colors |
| 4-2 | No sediment, weak gloss | |
| 2-1 | Turbid and opaque, dull color | |
| Aroma | 7-6 | Fruity aroma and aging flavor |
| 6-4 | Fruity aroma and clean, unadulterated flavor | |
| 4-2 | Weak aroma with yeast-like odor | |
| 1 | Noticeable irritating odor | |
| Taste | 7-5 | Fruity and well-balanced with sweet and sour notes. |
| 5-2 | Thin on the palate, with a slightly bitter undertone and astringency | |
| 2-1 | Significant bitterness | |
| Synthesized assessment | 7-5 | Unique mulberry flavor and richness |
| 5-2 | Mulberry features are unremarkable and poorly layered | |
| 2-1 | Lack of mulberry flavor qualities |
| Sensory Descriptors | Definition | Reference Sample |
|---|---|---|
| Fruit | A delightful, blended sweet and sour aroma | Fresh Mulberry Puree |
| Flower | A sweet fragrance reminiscent of the scent of flowers such as roses, violets, or lilies | Phenylethanol |
| Chocolate | A baked aroma reminiscent of dark chocolate or cocoa, with a hint of bittersweetness and richness | Dark chocolate with ≥70% cocoa content |
| Melon | Sweet and refreshing aroma, reminiscent of ripe cantaloupe or honeydew melon | Fresh Honeydew Melon or Zespri Gold Kiwifruit |
| Fermentative | The complex bouquet derived from ethanol and other fermentation byproducts, with a pure, pleasant wine aroma | Ethanol |
| Unpleasant odor | A general term for unpleasant off-flavors, such as acetic acid taste, oxidized taste, musty taste, or excessive yeast flavor | Acetic acid solution |
| Initial Brix | Color/Score | Aroma/Score | Flavor/Score | Comprehensive Evaluation/Score |
|---|---|---|---|---|
| 24 °Brix | 4.90 ± 1.08 b | 4.20 ± 0.86 b | 4.60 ± 0.47 a | 4.70 ± 0.63 b |
| 26 °Brix | 6.10 ± 0.84 a | 5.60 ± 0.97 a | 5.20 ± 0.74 a | 5.90 ± 0.82 a |
| 28 °Brix | 5.00 ± 0.48 b | 4.30 ± 0.63 b | 4.70 ± 0.53 a | 4.80 ± 0.57 b |
| Fermentation Temperature | Color/Score | Aroma/Score | Flavor/Score | Comprehensive Evaluation/Score |
|---|---|---|---|---|
| 15 °C | 4.71 ± 0.87 b | 4.38 ± 0.73 b | 4.91 ± 0.25 a | 4.63 ± 0.39 b |
| 18 °C | 5.71 ± 0.65 a | 6.05 ± 0.29 a | 5.42 ± 0.61 a | 5.87 ± 0.77 a |
| 20 °C | 4.90 ± 0.49 b | 5.39 ± 0.45 b | 5.17 ± 0.42 a | 5.36 ± 0.62 b |
| Fermentation Temperature | Color/Score | Aroma/Score | Flavor/Score | Comprehensive Evaluation/Score |
|---|---|---|---|---|
| 0.04% | 5.20 ± 0.75 b | 4.85 ± 0.82 b | 4.50 ± 0.68 b | 4.80 ± 0.70 b |
| 0.08% | 6.31 ± 0.97 a | 5.54 ± 0.71 b | 5.39 ± 0.23 a | 5.85 ± 0.28 a |
| 0.12% | 5.80 ± 0.60 a | 5.10 ± 0.89 b | 4.90 ± 0.55 b | 5.20 ± 0.65 b |
| Number | Run | Factors | Result | ||
|---|---|---|---|---|---|
| Initial Sugar Content (A) | Fermentation Temperature (B) | Yeast Addition Rate (C) | Sensory Evaluation | ||
| 1 | 16 | 24 | 15 | 0.08 | 4.55 |
| 2 | 14 | 28 | 15 | 0.08 | 4.6 |
| 3 | 4 | 24 | 20 | 0.08 | 5.15 |
| 4 | 9 | 28 | 20 | 0.08 | 5.2 |
| 5 | 10 | 24 | 17.5 | 0.04 | 4.7 |
| 6 | 1 | 28 | 17.5 | 0.04 | 4.75 |
| 7 | 5 | 24 | 17.5 | 0.12 | 5.05 |
| 8 | 15 | 28 | 17.5 | 0.12 | 5.1 |
| 9 | 12 | 26 | 15 | 0.04 | 4.2 |
| 10 | 13 | 26 | 20 | 0.04 | 5.3 |
| 11 | 17 | 26 | 15 | 0.12 | 5 |
| 12 | 11 | 26 | 20 | 0.12 | 5.4 |
| 13 | 3 | 26 | 17.5 | 0.08 | 5.88 |
| 14 | 7 | 26 | 17.5 | 0.08 | 5.87 |
| 15 | 8 | 26 | 17.5 | 0.08 | 5.8 |
| 16 | 2 | 26 | 17.5 | 0.08 | 5.9 |
| 17 | 6 | 26 | 17.5 | 0.08 | 5.86 |
| Sources | Sensory Evaluation Score | |||||
|---|---|---|---|---|---|---|
| Sum of Squares | df | Mean Square | F-Value | p-Value | Significant | |
| Model | 4.53 | 9 | 0.5038 | 160.82 | <0.0001 | ** |
| A | 0.0050 | 1 | 0.0050 | 1.60 | 0.2469 | |
| B | 0.9113 | 1 | 0.9113 | 290.87 | <0.0001 | ** |
| C | 0.3200 | 1 | 0.3200 | 102.14 | <0.0001 | ** |
| AB | 0.0000 | 1 | 0.0000 | 0.0000 | 1.0000 | |
| AC | 0.0000 | 1 | 0.0000 | 0.0000 | 1.0000 | |
| BC | 0.1225 | 1 | 0.1225 | 39.10 | 0.0004 | |
| A2 | 1.19 | 1 | 1.19 | 378.95 | <0.0001 | ** |
| B2 | 0.8755 | 1 | 0.8755 | 279.46 | <0.0001 | ** |
| C2 | 0.7822 | 1 | 0.7822 | 249.66 | <0.0001 | ** |
| Residual | 0.0219 | 7 | 0.0031 | |||
| Lack of Fit | 0.0162 | 3 | 0.0054 | 3.81 | 0.1143 | |
| Pure Error | 0.0057 | 4 | 0.0014 | |||
| Cor Total | 4.56 | 16 | ||||
| Response Value Metric | Mean | Std. Dev | R2 | C.V.% | Adeq Precision |
|---|---|---|---|---|---|
| Sensory Evaluation Score | 5.19 | 0.0560 | 0.9952 | 1.08 | 37.2596 |
| Number | Parameters | Sensory Evaluation | ||
|---|---|---|---|---|
| Initial Sugar Content (A) | Fermentation Temperature (B) | Yeast Addition Rate (C) | ||
| 1 | 5.5 | |||
| 2 | 25 | 18 | 0.08% | 6.5 |
| 3 | 5.5 | |||
| Mean | 5.83 | |||
| Compound Name | CAS Number | Relative Content (%) | |||||
|---|---|---|---|---|---|---|---|
| Mulberry Juice | Mulberry Wine | ||||||
| MJ-1 | MJ-2 | MJ-3 | MW-1 | MW-2 | MW-3 | ||
| Ethanol | 000064-17-5 | 0.85 | 0.92 | 0.88 | 8.95 | 9.32 | 8.68 |
| Amyl alcohol | 000123-51-3 | 0.032 | 0.028 | 0.035 | 0.418 | 0.452 | 0.385 |
| 1-Hexanol | 000111-27-3 | 0.015 | 0.018 | 0.012 | 0.125 | 0.138 | 0.112 |
| (Z)-3-Hexen-1-ol | 000928-96-1 | 0.008 | 0.006 | 0.01 | 0.005 | 0.004 | 0.003 |
| 1-Octanol | 000111-87-5 | 0.002 | 0.003 | 0.001 | 0.008 | 0.009 | 0.007 |
| Benzyl alcohol | 000100-51-6 | 0.045 | 0.051 | 0.039 | 0.088 | 0.095 | 0.081 |
| Phenylethanol | 000060-12-8 | 0.065 | 0.071 | 0.059 | 0.352 | 0.328 | 0.375 |
| Linalool | 000078-70-6 | 0.018 | 0.015 | 0.021 | 0.012 | 0.01 | 0.014 |
| α-Terpineol | 000098-55-5 | 0.006 | 0.004 | 0.008 | 0.005 | 0.003 | 0.007 |
| Nerol | 000106-25-2 | 0.003 | 0.002 | 0.004 | 0.002 | 0.001 | 0.003 |
| Ethyl acetate | 000141-78-6 | 0.015 | 0.012 | 0.018 | 1.852 | 1.965 | 1.738 |
| Isobutyl acetate | 000110-19-0 | 0.001 | 0.002 | 0 | 0.235 | 0.248 | 0.222 |
| Isoamyl acetate | 000123-92-2 | 0.008 | 0.01 | 0.006 | 0.845 | 0.912 | 0.778 |
| Ethyl butyrate | 000105-54-4 | 0.005 | 0.003 | 0.007 | 0.328 | 0.295 | 0.361 |
| Ethyl caproate | 000123-66-0 | 0.022 | 0.025 | 0.019 | 0.105 | 0.118 | 0.092 |
| Ethyl cinnamate | 000106-32-1 | 0.011 | 0.014 | 0.008 | 0.085 | 0.091 | 0.079 |
| Ethyl caproate | 000110-38-3 | 0.007 | 0.009 | 0.005 | 0.032 | 0.035 | 0.029 |
| Ethyl lactate | 000097-64-3 | 1.852 | 1.765 | 1.938 | 0.185 | 0.202 | 0.168 |
| Phenethyl acetate | 000103-45-7 | 0.004 | 0.002 | 0.006 | 0.158 | 0.142 | 0.174 |
| Diethyl succinate | 000123-25-1 | 0.009 | 0.011 | 0.007 | 0.095 | 0.088 | 0.102 |
| Acetaldehyde | 000141-78-6 | 0.002 | 0.001 | 0.003 | 0.865 | 0.921 | 0.809 |
| Benzaldehyde | 000110-19-0 | 0.235 | 0.248 | 0.222 | 0.125 | 0.138 | 0.112 |
| (E)-2-Hexenal | 000123-92-2 | 0.015 | 0.018 | 0.012 | 0.005 | 0.004 | 0.006 |
| Aromatic aldehyde | 000105-54-4 | 0.003 | 0.002 | 0.004 | 0.008 | 0.009 | 0.007 |
| Acetic acid | 000110-38-3 | 0.025 | 0.03 | 0.02 | 0.215 | 0.238 | 0.192 |
| Butyric acid | 000097-64-3 | 0.008 | 0.01 | 0.006 | 0.085 | 0.078 | 0.092 |
| Caproic acid | 000103-45-7 | 0.012 | 0.015 | 0.009 | 0.045 | 0.052 | 0.038 |
| Bitter experience | 000123-25-1 | 0.018 | 0.021 | 0.015 | 0.032 | 0.035 | 0.029 |
| D-Limonene | 005989-27-5 | 0.005 | 0.004 | 0.006 | 0.004 | 0.003 | 0.005 |
| Linalool | 000123-35-3 | 0.002 | 0.001 | 0.003 | 0.001 | 0.002 | nd |
| Formaldehyde | 000098-01-1 | nd. | nd. | nd. | 0.035 | 0.028 | 0.042 |
| 2-Pentylfuran | 003777-69-3 | 0.001 | nd. | 0.002 | 0.015 | 0.012 | 0.018 |
Disclaimer/Publisher’s Note: The statements, opinions and data contained in all publications are solely those of the individual author(s) and contributor(s) and not of MDPI and/or the editor(s). MDPI and/or the editor(s) disclaim responsibility for any injury to people or property resulting from any ideas, methods, instructions or products referred to in the content. |
© 2025 by the authors. Licensee MDPI, Basel, Switzerland. This article is an open access article distributed under the terms and conditions of the Creative Commons Attribution (CC BY) license (https://creativecommons.org/licenses/by/4.0/).
Share and Cite
Li, J.; Zhang, H.; Jin, T. The Quality and Bioactive Properties of Mulberry Wine Under Different Fermentation Conditions. Foods 2025, 14, 3393. https://doi.org/10.3390/foods14193393
Li J, Zhang H, Jin T. The Quality and Bioactive Properties of Mulberry Wine Under Different Fermentation Conditions. Foods. 2025; 14(19):3393. https://doi.org/10.3390/foods14193393
Chicago/Turabian StyleLi, Jiajun, Huiming Zhang, and Tieyan Jin. 2025. "The Quality and Bioactive Properties of Mulberry Wine Under Different Fermentation Conditions" Foods 14, no. 19: 3393. https://doi.org/10.3390/foods14193393
APA StyleLi, J., Zhang, H., & Jin, T. (2025). The Quality and Bioactive Properties of Mulberry Wine Under Different Fermentation Conditions. Foods, 14(19), 3393. https://doi.org/10.3390/foods14193393
