Food Behaviour and Metabolic Characteristics of Children and Adolescents with Type 1 Diabetes: Relationship to Glycaemic Control
Abstract
1. Introduction
2. Materials and Methods
2.1. Participants
2.2. Food Preferences and Food Neophobia Measures
2.3. Child Feeding Questionnaire (CFQ)
2.4. Personal and Metabolic Characteristics
2.5. Statistical Analysis
3. Results
3.1. Sample Characteristics
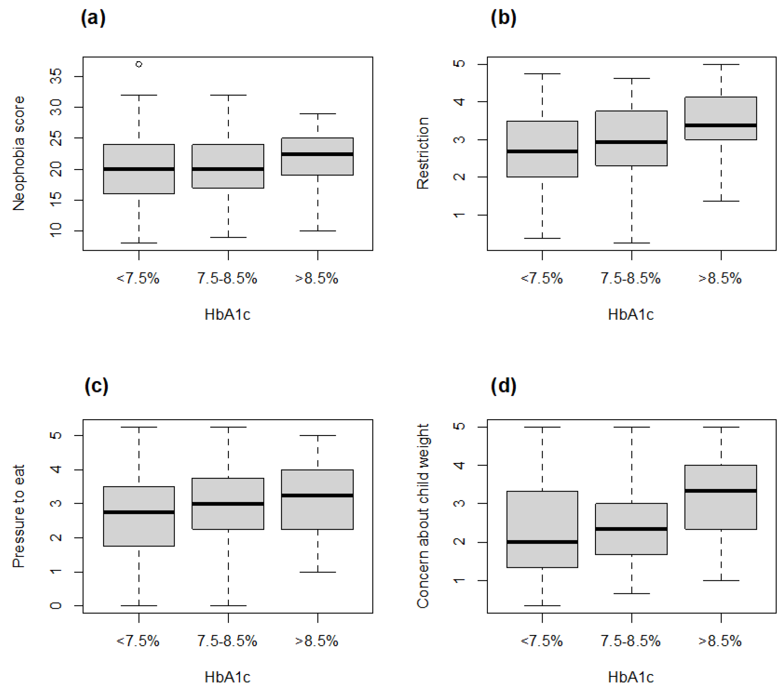
3.2. Food Behaviour Measures and Glycaemic Control
3.3. Metabolic Characteristics and Glycaemic Control
4. Discussion
Author Contributions
Funding
Institutional Review Board Statement
Informed Consent Statement
Data Availability Statement
Acknowledgments
Conflicts of Interest
References
- Libman, I.; Haynes, A.; Lyons, S.; Pradeep, P.; Rwagasor, E.; Tung, J.Y.; Jefferies, C.A.; Oram, R.A.; Dabelea, D.; Craig, M.E. ISPAD Clinical Practice Consensus Guidelines 2022: Definition, epidemiology, and classification of diabetes in children and adolescents. Pediatr. Diabetes 2022, 23, 1160–1174. [Google Scholar] [CrossRef]
- Pancheva, R.; Zhelyazkova, D.; Ahmed, F.; Gillon-Keren, M.; Usheva, N.; Bocheva, Y.; Boyadzhieva, M.; Valchev, G.; Yotov, Y.; Iotova, V. Dietary Intake and Adherence to the Recommendations for Healthy Eating in Patients with Type 1 Diabetes: A Narrative Review. Front. Nutr. 2021, 8, 782670. [Google Scholar] [CrossRef] [PubMed]
- Mehta, S.N.; Quinn, N.; Volkening, L.K.; Laffel, L.M. Impact of carbohydrate counting on glycemic control in children with type 1 diabetes. Diabetes Care 2009, 32, 1014–1016. [Google Scholar] [CrossRef] [PubMed]
- Laureati, M. Determinants of Preference and Consumption of Healthy Food in Children. Foods 2022, 11, 203. [Google Scholar] [CrossRef] [PubMed]
- Zonneveld, K.L.M.; Neidert, P.L.; Dozier, C.L.; Gureghian, D.L.; Bayles, M.W. Assessing factors that influence young children’s food preferences and choices. J. Appl. Behav. Anal. 2019, 52, 240–257. [Google Scholar] [CrossRef]
- Karaağaç, Y.; Bellikci-Koyu, E. A narrative review on food neophobia throughout the lifespan: Relationships with dietary behaviours and interventions to reduce it. Br. J. Nutr. 2023, 130, 793–826. [Google Scholar] [CrossRef] [PubMed]
- Jaeger, S.R.; Prescott, J.; Worch, T. Food Neophobia Modulates Importance of Food Choice Motives: Replication, Extension, and Behavioural Validation. Food Qual. Prefer. 2022, 97, 104439. [Google Scholar] [CrossRef]
- Torres, T.d.O.; Gomes, D.R.; Mattos, M.P. Factors associated with food neophobia in children: Systematic review. Rev. Paul. Pediatr. 2021, 39, e2020089. [Google Scholar] [CrossRef]
- Russel, C.G.; Worsley, A. A population-based study of preschoolers’ food neophobia and its associations with food preferences. J. Nutr. Educ. Behav. 2008, 40, 11–19. [Google Scholar] [CrossRef]
- Falciglia, G.A.; Couch, S.C.; Gribble, L.S.; Pabst, S.M.; Frank, R. Food neophobia in childhood affects dietary variety. J. Am. Diet. Assoc. 2000, 100, 1474–1481. [Google Scholar] [CrossRef]
- Faith, M.S.; Heo, M.; Keller, K.L.; Pietrobelli, A. Child food neophobia is heritable, associated with less compliant eating, and moderates familial resemblance for BMI. Obesity 2013, 21, 1650–1655. [Google Scholar] [CrossRef]
- Evans, S.; Daly, A.; Chahal, S.; MacDonald, J.; MacDonald, A. Food acceptance and neophobia in children with phenylketonuria: A prospective controlled study. J. Hum. Nutr. Diet. 2016, 29, 427–433. [Google Scholar] [CrossRef] [PubMed]
- Rodrigues, V.C.d.C.; Speridião, P.d.G.L.; Sanudo, A.; Morais, M.B. Feeding difficulties in children fed a cows’ milk elimination diet. Br. J. Nutr. 2021, 128, 1190–1199. [Google Scholar] [CrossRef]
- Zysk, W.; Głąbska, D.; Guzek, D. Food Neophobia in Celiac Disease and Other Gluten-Free Diet Individuals. Nutrients 2019, 11, 1762. [Google Scholar] [CrossRef] [PubMed]
- Bennett, A.; Bery, A.; Esposito, P.; Zickgraf, H.; Adams, D.W. Avoidant/Restrictive Food Intake Disorder Characteristics and Prevalence in Adult Celiac Disease Patients. Gastro Hep Adv. 2022, 1, 321–327. [Google Scholar] [CrossRef]
- Sarin, H.V.; Taba, N.; Fischer, K.; Esko, T.; Kanerva, N.; Moilanen, L.; Saltevo, J.; Joensuu, A.; Borodulin, K.; Männistö, S.; et al. Food neophobia associates with poorer dietary quality, metabolic risk factors, and increased disease outcome risk in population-based cohorts in a metabolomics study. Am. J. Clin. Nutr. 2019, 110, 233–245. [Google Scholar] [CrossRef] [PubMed]
- Seckold, R.; Howley, P.; King, B.R.; Bell, K.; Smith, A.; Smart, C.E. Dietary intake and eating patterns of young children with type 1 diabetes achieving glycemic targets. BMJ Open Diabetes Res. Care 2019, 7, e000663. [Google Scholar] [CrossRef]
- Meissner, T.; Wolf, J.; Kersting, M.; Fröhlich-Reiterer, E.; Flechtner-Mors, M.; Salgin, B.; Stahl-Pehe, A.; Holl, R.W. Carbohydrate intake in relation to BMI, HbA1c and lipid profile in children and adolescents with type 1 diabetes. Clin. Nutr. 2014, 33, 75–78. [Google Scholar] [CrossRef] [PubMed]
- Garonzi, C.; Forsander, G.; Maffeis, C. Impact of Fat Intake on Blood Glucose Control and Cardiovascular Risk Factors in Children and Adolescents with Type 1 Diabetes. Nutrients 2021, 13, 2625. [Google Scholar] [CrossRef]
- Quick, V.; Lipsky, L.M.; Laffel, L.M.B.; Mehta, S.N.; Quinn, H.; Nansel, T.R. Relationships of neophobia and pickiness with dietary variety, dietary quality and diabetes management adherence in youth with type 1 diabetes. Eur. J. Clin. Nutr. 2014, 68, 131–136. [Google Scholar] [CrossRef]
- Pagliarini, E.; Ratti, S.; Balzaretti, C.; Dragoni, I. Evaluation of a hedonistic scaling method for measuring the acceptability of school lunches by children. Ital. J. Food Sci. 2003, 15, 215–224. [Google Scholar]
- Mameli, C.; Cattaneo, C.; Lonoce, L.; Bedogni, G.; Redaelli, F.C.; Macedoni, M.; Zuccotti, G.; Pagliarini, E. Associations Among Taste Perception, Food Neophobia and Preferences in Type 1 Diabetes Children and Adolescents: A Cross-Sectional Study. Nutrients 2019, 11, 3052. [Google Scholar] [CrossRef] [PubMed]
- Laureati, M.; Bergamaschi, V.; Pagliarini, E. Assessing childhood food neophobia: Validation of a scale in Italian primary school children. Food Qual. Prefer. 2015, 40, 8–15. [Google Scholar] [CrossRef]
- Birch, L.L.; Fisher, J.O.; Grimm-Thomas, K.; Markey, C.N.; Sawyer, R.; Johnson, S.L. Confirmatory factor analysis of the Child Feeding Questionnaire: A measure of parental attitudes, beliefs and practices about child feeding and obesity proneness. Appetite 2001, 36, 201–210. [Google Scholar] [CrossRef]
- Kaur, H.; Li, C.; Nazir, N.; Choi, W.S.; Resnicow, K.; Birch, L.L.; Ahluwalia, J.S. Confirmatory factor analysis of the child-feeding questionnaire among parents of adolescents. Appetite 2006, 47, 36–45. [Google Scholar] [CrossRef] [PubMed]
- Sildorf, S.M.; Breinegaard, N.; Lindkvist, E.B.; Tolstrup, J.S.; Boisen, K.A.; Teilmann, G.K.; Skovgaard, A.M.; Svensson, J. Poor metabolic control in children and adolescents with type 1 diabetes and psychiatric comorbidity. Diabetes Care 2018, 41, 2289–2296. [Google Scholar] [CrossRef] [PubMed]
- Kaar, J.L.; Shapiro, A.L.B.; Fell, D.M.; Johnson, S.L. Parental feeding practices, food neophobia, and child food preferences: What combination of factors results in children eating a variety of foods? Food Qual. Prefer. 2016, 50, 57–64. [Google Scholar] [CrossRef]
- Bassul, C.; Corish, C.A.; Kearney, J.M. Associations between the Home Environment, Feeding Practices and Children’s Intakes of Fruit, Vegetables and Confectionary/Sugar-Sweetened Beverages. Int. J. Environ. Res. Public Health 2020, 17, 4837. [Google Scholar] [CrossRef]
- Warkentin, S.; Mais, L.A.; Ranganath, K.; Jansen, E.; Carnell, S. Controlling and less controlling feeding practices are differentially associated with child food intake and appetitive behaviors assessed in a school environment. Pediatr. Obes. 2020, 15, e12714. [Google Scholar] [CrossRef]
- Prates, C.B.; Passos, M.A.Z.; Masquio, D.C.L. Parental feeding practices and ultra-processed food consumption in preschool children. Rev. Nutr. 2022, 35, e210269. [Google Scholar] [CrossRef]
- Fisher, J.O.; Birch, L.L. Restricting access to palatable foods affects children’s behavioral response, food selection, and intake. Am. J. Clin. Nutr. 1999, 69, 1264–1272. [Google Scholar] [CrossRef] [PubMed]
- Patton, S.R.; Williams, L.B.; Dolan, L.M.; Chen, M.; Powers, S.W. Feeding problems reported by parents of young children with type 1 diabetes on insulin pump therapy and their associations with children’s glycemic control. Pediatr. Diabetes 2009, 10, 455–460. [Google Scholar] [CrossRef] [PubMed]
- López-Morago, C.; Domínguez-Riscart, J.; García-Zarzuela, A.; Lechuga-Sancho, A.M. Impact of Parental Food Choices on Nutritional and Metabolic Status of Children with Type 1 Diabetes. Foods 2023, 12, 1969. [Google Scholar] [CrossRef] [PubMed]
- Powers, S.W.; Byars, K.C.; Mitchell, M.J.; Patton, S.R.; Standiford, D.A.; Dolan, L.M. Parent report of mealtime behavior and parenting stress in young children with type 1 diabetes and in healthy control subjects. Diabetes Care 2002, 25, 313–318. [Google Scholar] [CrossRef] [PubMed]
- Ibfelt, E.H.; Vistisen, D.; Rønn, P.F.; Pørksen, S.; Madsen, M.; Kremke, B.; Svensson, J. Association between glycaemic outcome and BMI in Danish children with type 1 diabetes in 2000–2018: A nationwide population-based study. Diabet. Med. 2021, 38, e14401. [Google Scholar] [CrossRef] [PubMed]
- Bae, J.P.; Lage, M.J.; Mo, D.; Nelson, D.R.; Hoogwerf, B.J. Obesity and glycemic control in patients with diabetes mellitus: Analysis of physician electronic health records in the US from 2009–2011. J. Diabetes Complicat. 2016, 30, 212–220. [Google Scholar] [CrossRef] [PubMed]
- Nansel, T.; Lipsky, L.; Iannotti, R. Cross-sectional and longitudinal relationships of body mass index with glycemic control in children and adolescents with type 1 diabetes mellitus. Diabetes Res. Clin. Pract. 2013, 100, 126–132. [Google Scholar] [CrossRef]
- Maahs, D.M.; Maniatis, A.K.; Nadeau, K.; Wadwa, R.P.; McFann, K.; Klingensmith, G.J. Total Cholesterol and high-density lipoprotein levels in pediatric subjects with type 1 diabetes mellitus. J. Pediatr. 2005, 147, 544–546. [Google Scholar] [CrossRef]
- Homma, T.K.; Endo, C.M.; Saruhashi, T.; Mori, A.P.I.; de Noronha, R.M.; Monte, O.; Calliari, L.E.P. Dyslipidemia in young patients with type 1 diabetes mellitus. Arq. Bras. Endocrinol. Metabol. 2015, 59, 215–219. [Google Scholar] [CrossRef]
- Vergès, B. Dyslipidemia in Type 1 Diabetes: A Masked Danger. Trends Endocrinol. Metab. 2020, 31, 422–434. [Google Scholar] [CrossRef]
- Carnell, S.; Wardle, J. Associations between multiple measures of parental feeding and children’s adiposity in United Kingdom preschoolers. Obesity 2007, 15, 137–144. [Google Scholar] [CrossRef]
- Spruijt-Metz, D.; Lindquist, C.H.; Birch, L.L.; Fisher, J.O.; Goran, M.I. Relation between mothers’ child-feeding practices and children’s adiposity. Am. J. Clin. Nutr. 2002, 75, 581–586. [Google Scholar] [CrossRef]
- Costa, A.; Oliveira, A. Parental Feeding Practices and Children’s Eating Behaviours: An Overview of Their Complex Relationship. Healthcare 2023, 11, 400. [Google Scholar] [CrossRef]
- Laureati, M.; Bertoli, S.; Bergamaschi, V.; Leone, A.; Lewandowski, L.; Giussani, B.; Battezzati, A.; Pagliarini, E. Food neophobia and liking for fruits and vegetables are not related to Italian children’s overweight. Food Qual. Prefer. 2015, 40, 125–131. [Google Scholar] [CrossRef]
- Hazley, D.; McCarthy, S.N.; Stack, M.; Walton, J.; McNulty, B.A.; Flynn, A.; Kearney, J.M. Food neophobia and its relationship with dietary variety and quality in Irish adults: Findings from a national cross-sectional study. Appetite 2022, 169, 105859. [Google Scholar] [CrossRef]
- Kozioł-Kozakowska, A.; Piórecka, B.; Schlegel-Zawadzka, M. Prevalence of food neophobia in pre-school children from southern Poland and its association with eating habits, dietary intake and anthropometric parameters: A cross-sectional study. Public Health Nutr. 2018, 21, 1106–1114. [Google Scholar] [CrossRef] [PubMed]


| Characteristics | All (n = 258) | Males (n = 134) | Females (n = 124) | p-Value * |
|---|---|---|---|---|
| Age (years) (mean ± sd) | 12.0 ± 2.6 | 12.4 ± 2.6 | 11.5 ± 2.6 | 0.004 |
| HbA1c (%) | 7.7 ± 1.0 | 7.8 ± 1.0 | 7.6 ± 1.0 | 0.12 |
| Disease duration (years) (mean ± sd) | 4.9 ± 3.2 | 5.2 ± 3.4 | 4.5 ± 3.4 | 0.10 |
| SDS-BMI (mean ± sd) | -0.2 ± 1.1 | 0.1 ± 1.0 | 0.3 ± 1.1 | 0.62 |
| Total cholesterol (mg/dl) (mean ± sd) | 163.0 ± 28.9 | 158.5 ± 25.0 | 168.1 ± 28.0 | 0.005 |
| HDL cholesterol (mg/dl) (mean ± sd) | 63.5 ± 16.1 | 63.0 ± 15.6 | 64.1 ± 16.5 | 0.60 |
| LDL cholesterol (mg/dl) (mean ± sd) | 85.5 ± 23.2 | 82.1 ± 21.5 | 89.3 ± 24.6 | 0.02 |
| Triglycerides (mg/dl) (mean ± sd) | 71.3 ± 33.4 | 68.8 ± 33.9 | 74.1 ± 32.9 | 0.22 |
| Neophobia | PE | RST | MN | CN | PR | |
|---|---|---|---|---|---|---|
| Liking group | ||||||
| Vegetables | <0.001 (−1.00) | 0.10 (−0.11) | 0.04 (−0.20) | 0.02 (−0.20) | 0.80 (−0.02) | 0.60 (−0.05) |
| Fruits | 0.008 (−0.03) | 0.68 (−0.02) | 0.37 (−0.08) | 0.21 (−0.10) | 0.26 (−0.08) | 0.36 (0.06) |
| Fish | <0.001 (−0.07) | 0.39 (−0.07) | 0.20 (−0.14) | 0.21 (−0.15) | 0.44 (0.07) | 0.74 (−0.04) |
| Sweets | 0.02 (−0.03) | 0.24 (0.06) | 0.98 (−0.001) | 0.55 (−0.04) | 0.46 (−0.04) | 0.52 (0.04) |
| Carbohydrates | <0.001 (−0.04) | 0.03 (−0.10) | 0.11 (−0.10) | 0.58 (−0.03) | 0.72 (0.02) | 0.31 (0.06) |
Disclaimer/Publisher’s Note: The statements, opinions and data contained in all publications are solely those of the individual author(s) and contributor(s) and not of MDPI and/or the editor(s). MDPI and/or the editor(s) disclaim responsibility for any injury to people or property resulting from any ideas, methods, instructions or products referred to in the content. |
© 2024 by the authors. Licensee MDPI, Basel, Switzerland. This article is an open access article distributed under the terms and conditions of the Creative Commons Attribution (CC BY) license (https://creativecommons.org/licenses/by/4.0/).
Share and Cite
Catamo, E.; Tornese, G.; Dovc, K.; Tinti, D.; Di Tonno, R.; Cauvin, V.; Barbi, E.; Franceschi, R.; Bonfanti, R.; Rabbone, I.; et al. Food Behaviour and Metabolic Characteristics of Children and Adolescents with Type 1 Diabetes: Relationship to Glycaemic Control. Foods 2024, 13, 578. https://doi.org/10.3390/foods13040578
Catamo E, Tornese G, Dovc K, Tinti D, Di Tonno R, Cauvin V, Barbi E, Franceschi R, Bonfanti R, Rabbone I, et al. Food Behaviour and Metabolic Characteristics of Children and Adolescents with Type 1 Diabetes: Relationship to Glycaemic Control. Foods. 2024; 13(4):578. https://doi.org/10.3390/foods13040578
Chicago/Turabian StyleCatamo, Eulalia, Gianluca Tornese, Klemen Dovc, Davide Tinti, Raffaella Di Tonno, Vittoria Cauvin, Egidio Barbi, Roberto Franceschi, Riccardo Bonfanti, Ivana Rabbone, and et al. 2024. "Food Behaviour and Metabolic Characteristics of Children and Adolescents with Type 1 Diabetes: Relationship to Glycaemic Control" Foods 13, no. 4: 578. https://doi.org/10.3390/foods13040578
APA StyleCatamo, E., Tornese, G., Dovc, K., Tinti, D., Di Tonno, R., Cauvin, V., Barbi, E., Franceschi, R., Bonfanti, R., Rabbone, I., Battelino, T., & Robino, A. (2024). Food Behaviour and Metabolic Characteristics of Children and Adolescents with Type 1 Diabetes: Relationship to Glycaemic Control. Foods, 13(4), 578. https://doi.org/10.3390/foods13040578

