Mitigating Oxidative Stress and Promoting Cellular Longevity with Mushroom Extracts
Abstract
1. Introduction
2. Materials and Methods
2.1. Sample Collection
2.2. Preparation of an Aqueous Mushroom Extracts
2.3. Determination of Antioxidant Potential
2.4. Evaluation of the Impact on Aging Caused by D-Galactose in HSF Cells
Cell Viability Determination
2.5. Aging HSF Cells Induced by D-Gal and Treatment
2.5.1. Quantitative Cell Death Analysis Using Trypan Blue
2.5.2. Cell Morphology and Nuclear Morphological Analysis
2.5.3. Cell Cycle Analysis
2.5.4. Evaluation of DNA Damage
2.5.5. Determination of ROS Level
2.5.6. RNA Isolation and Quantitative PCR
2.6. Statistical Analysis
3. Results
3.1. Antioxidant Activities in Mushroom Extracts
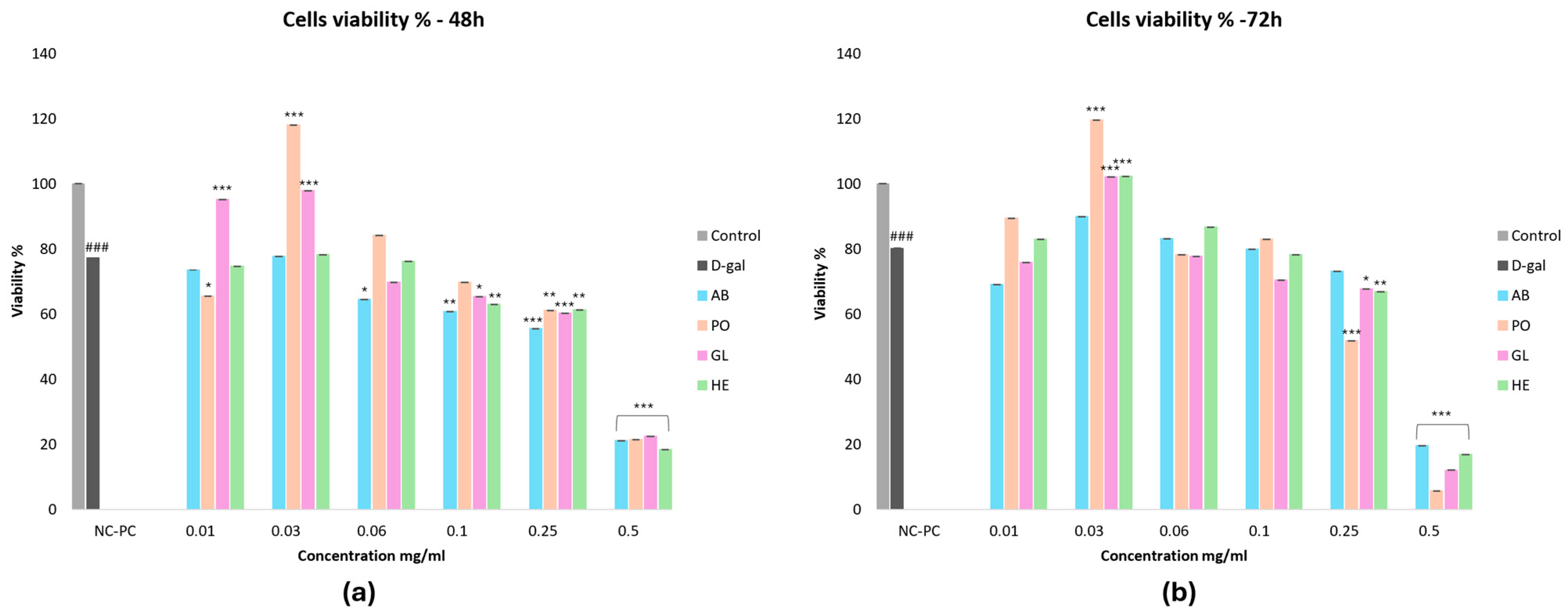
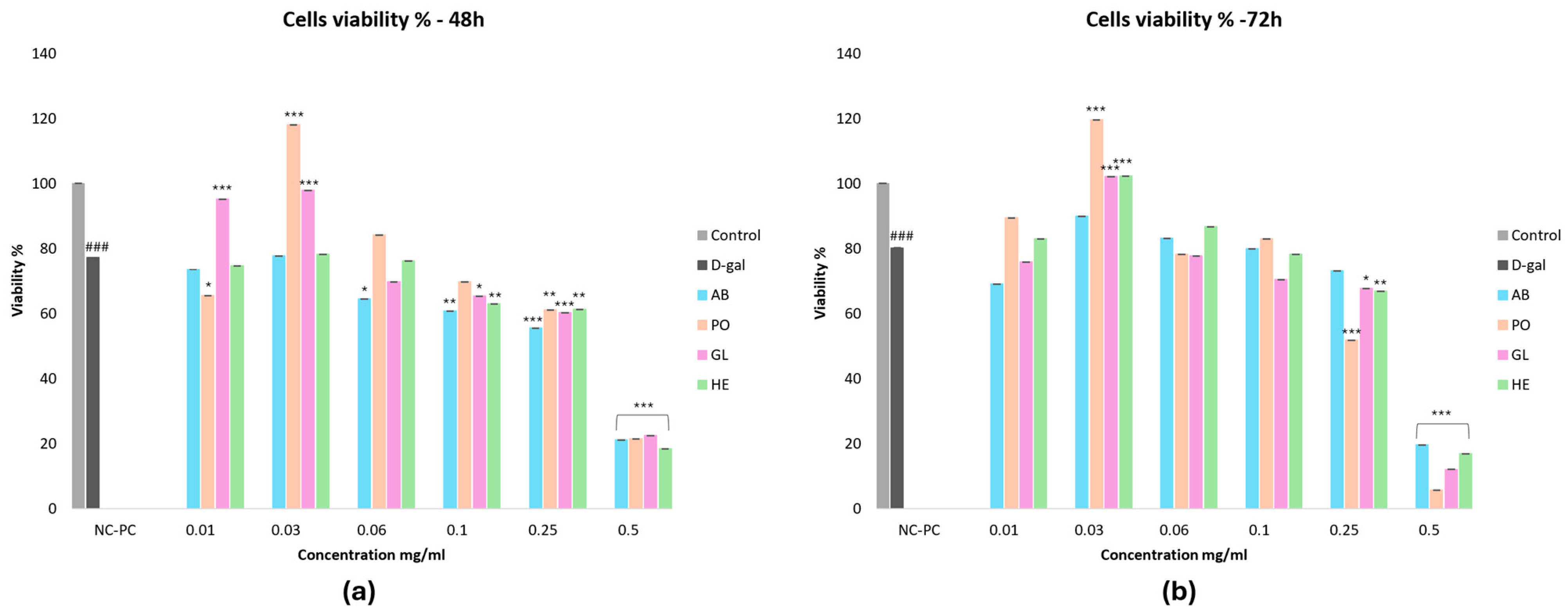
3.2. Cell Viability by MTT Assay
3.3. Quantitative Cell Death Analysis Using Trypan Blue
3.4. Cell and Nuclear Morphological Analysis
3.5. Cell Cycle Analysis
3.6. Comet Assay (Single-Cell Gel Electrophoresis)
3.7. Determination of Reactive Oxygen Species (ROS) Level
3.8. Molecular Analysis (qRT-PCR)
3.8.1. Quantitative Real-Time PCR Analysis of Immunomodulatory and Inflammation-Regulation Genes
3.8.2. Real-Time PCR Analysis of Telomere Length Genes
4. Discussion
5. Conclusions
Author Contributions
Funding
Institutional Review Board Statement
Informed Consent Statement
Data Availability Statement
Conflicts of Interest
References
- Mallikarjuna, S.E.; Ranjini, A.; Haware, D.J.; Vijayalakshmi, M.R.; Shashirekha, M.N.; Rajarathnam, S. Mineral Composition of Four Edible Mushrooms. J. Chem. 2013, 2013, 805284. [Google Scholar] [CrossRef]
- Sevindik, M.; Akgul, H.; Selamoglu, Z.; Braidy, N. Antioxidant and Antigenotoxic Potential of Infundibulicybe Geotropa Mushroom Collected from Northwestern Turkey. Oxid. Med. Cell Longev. 2020, 2020, 5620484. [Google Scholar] [CrossRef] [PubMed]
- Li, H.; Liu, X.; Li, Y.; Hua, Y.; Zhi, D.; Pang, G. Effects of the Polysaccharide from Pholiota Nameko on Human Cytokine Network in Serum. Int. J. Biol. Macromol. 2012, 50, 164–170. [Google Scholar] [CrossRef] [PubMed]
- Shibu, M.A.; Agrawal, D.C.; Huang, C.-Y. Mushrooms: A Pandora Box of Cardioprotective Phytochemicals. Medicinal Plants and Fungi: Recent Advances in Research and Development. Springer: Singapore, 2017; ISBN 978-981-10-5978-0. [Google Scholar]
- Liu, F.; Ooi, V.E.C.; Chang, S.T. Free Radical Scavenging Activities of Mushroom Polysaccharide Extracts. Life Sci. 1997, 60, 763–771. [Google Scholar] [CrossRef]
- Li, I.C.; Chen, W.P.; Chen, Y.P.; Lee, L.Y.; Tsai, Y.T.; Chen, C.C. Acute and Developmental Toxicity Assessment of Erincine A-Enriched Hericium erinaceus Mycelia in Sprague–Dawley Rats. Drug Chem. Toxicol. 2018, 41, 459–464. [Google Scholar] [CrossRef]
- Limanaqi, F.; Biagioni, F.; Busceti, C.L.; Polzella, M.; Fabrizi, C.; Fornai, F. Potential Antidepressant Effects of Scutellaria Baicalensis, Hericium erinaceus and Rhodiola Rosea. Antioxidants 2020, 9, 234. [Google Scholar] [CrossRef]
- de Arruda, E.H.P.; Reis, M.A.d.B.; Marin, L.; Muller, L.A.; Damazo, A.S.; Gerenutti, M.; Latorraca, M.Q.; Sales-Campos, C. Investigation into the Intake of Edible Mushroom Pleurotus ostreatus (Aqueous Extract Oyster Mushroom) on Biochemical Indices of Female Wistar Rats. Am. J. Plant Sci. 2023, 14, 177–190. [Google Scholar] [CrossRef]
- Elhusseiny, S.M.; El-Mahdy, T.S.; Elleboudy, N.S.; Farag, M.M.S.; Aboshanab, K.M.; Yassien, M.A. Immunomodulatory Activity of Extracts from Five Edible Basidiomycetes Mushrooms in Wistar Albino Rats. Sci. Rep. 2022, 12, 12423. [Google Scholar] [CrossRef]
- Farhan, E.M.; Chechan, R.A. Evaluting The Ability of Pleurotus ostreatus Aqueous Extract To Modulate Genotoxicity Induced By Cyclophosphamide In Mice Bone Marrow Cells. Iraqi J. Agric. Sci. 2020, 51, 1405–1412. [Google Scholar]
- Sarma, D.; Saha, A.K.; Datta, B.K. Bioactive Compounds with Special References to Anticancer Property of Oyster Mushroom Pleurotus ostreatus. J. Pharmacogn. Phytochem. 2018, 7, 2694–2698. [Google Scholar]
- Ramos, M.; Burgos, N.; Barnard, A.; Evans, G.; Preece, J.; Graz, M.; Ruthes, A.C.; Jiménez-Quero, A.; Martínez-Abad, A.; Vilaplana, F.; et al. Agaricus bisporus and Its By-Products as a Source of Valuable Extracts and Bioactive Compounds. Food Chem. 2019, 292, 176–187. [Google Scholar] [CrossRef] [PubMed]
- Kim, H.; Jeon, Y.-E.; Kim, S.-M.; Jung, J.-I.; Ko, D.; Kim, E.-J.; Kim, H.; Jeon, Y.-E.; Kim, S.-M.; Jung, J.-I.; et al. Agaricus bisporus Extract Exerts an Anti-Obesity Effect in High-Fat Diet-Induced Obese C57BL/6N Mice by Inhibiting Pancreatic Lipase-Mediated Fat Absorption. Nutrients 2023, 15, 4225. [Google Scholar] [CrossRef] [PubMed]
- Usman, M.; Murtaza, G.; Ditta, A. Nutritional, Medicinal, and Cosmetic Value of Bioactive Compounds in Button Mushroom (Agaricus bisporus): A Review. Appl. Sci. 2021, 11, 5943. [Google Scholar] [CrossRef]
- Das, B.; De, B.; Chetree, R.; Mandal, S.C. Medicinal Aspect of Mushrooms: A View Point. In Herbal Medicine in India: Indigenous Knowledge, Practice, Innovation and Its Value; Springer Nature Link: Singapore, 2019; pp. 509–532. [Google Scholar] [CrossRef]
- Muszyńska, B.; Kała, K.; Rojowski, J.; Grzywacz, A.; Opoka, W. Composition and Biological Properties of Agaricus bisporus Fruiting Bodies—A Review. Pol. J. Food Nutr. Sci. 2017, 67, 173–181. [Google Scholar] [CrossRef]
- Duan, H.; Li, J.; Fan, L. Agaricus bisporus Polysaccharides Ameliorates Behavioural Deficits in D-Galactose-Induced Aging Mice: Mediated by Gut Microbiota. Foods 2023, 12, 424. [Google Scholar] [CrossRef]
- García-Sanmartín, J.; Bobadilla, M.; Mirpuri, E.; Grifoll, V.; Pérez-Clavijo, M.; Martínez, A. Agaricus Mushroom-Enriched Diets Modulate the Microbiota-Gut-Brain Axis and Reduce Brain Oxidative Stress in Mice. Antioxidants 2022, 11, 695. [Google Scholar] [CrossRef]
- Wu, Y.; Choi, M.H.; Li, J.; Yang, H.; Shin, H.J. Mushroom Cosmetics: The Present and Future. Cosmetics 2016, 3, 22. [Google Scholar] [CrossRef]
- Sies, H.; Berndt, C.; Jones, D.P. Oxidative Stress. Annu. Rev. Biochem. 2017, 86, 715–748. [Google Scholar] [CrossRef]
- Sies, H.; Belousov, V.V.; Chandel, N.S.; Davies, M.J.; Jones, D.P.; Mann, G.E.; Murphy, M.P.; Yamamoto, M.; Winterbourn, C. Defining Roles of Specific Reactive Oxygen Species (ROS) in Cell Biology and Physiology. Nat. Rev. Mol. Cell Biol. 2022, 23, 499–515. [Google Scholar] [CrossRef]
- Tan, B.L.; Norhaizan, M.E.; Liew, W.P.P.; Rahman, H.S. Antioxidant and Oxidative Stress: A Mutual Interplay in Age-Related Diseases. Front. Pharmacol. 2018, 9, 402374. [Google Scholar] [CrossRef]
- Von Zglinicki, T. Oxidative Stress Shortens Telomeres. Trends Biochem. Sci. 2002, 27, 339–344. [Google Scholar] [CrossRef] [PubMed]
- Lesa, K.N.; Khandaker, M.U.; Mohammad Rashed Iqbal, F.; Sharma, R.; Islam, F.; Mitra, S.; Emran, T. Bin Nutritional Value, Medicinal Importance, and Health-Promoting Effects of Dietary Mushroom (Pleurotus ostreatus). J. Food Qual. 2022, 2022, 2454180. [Google Scholar] [CrossRef]
- Meshesha, F. Pharmacological Activities of Reishi (Ganoderma lucidum): Potent Medicinal Mushroom. Microb. J. 2023, 3, 1–12. [Google Scholar] [CrossRef]
- Szućko-Kociuba, I.; Trzeciak-Ryczek, A.; Kupnicka, P.; Chlubek, D. Neurotrophic and Neuroprotective Effects of Hericium erinaceus. Int. J. Mol. Sci. 2023, 24, 15960. [Google Scholar] [CrossRef] [PubMed]
- Poniedziałek, B.; Siwulski, M.; Wiater, A.; Komaniecka, I.; Komosa, A.; Asecka, M.G.; Magdziak, Z.; Mleczek, M.; Niedzielski, P.; Edrzej Proch, J.; et al. The Effect of Mushroom Extracts on Human Platelet and Blood Coagulation: In Vitro Screening of Eight Edible Species. Nutrients 2019, 11, 3040. [Google Scholar] [CrossRef]
- Sudha, G.; Vadivukkarasi, S.; Shree, R.B.I.; Lakshmanan, P. Antioxidant Activity of Various Extracts from an Edible Mushroom Pleurotus eous. Food Sci. Biotechnol. 2012, 21, 661–668. [Google Scholar] [CrossRef]
- Brand-Williams, W.; Cuvelier, M.E.; Berset, C. Use of a Free Radical Method to Evaluate Antioxidant Activity. LWT—Food Sci. Technol. 1995, 28, 25–30. [Google Scholar] [CrossRef]
- Abdel-Razek, A.G.; Noah Badr, A.; Shehata, M.G. Characterization of Olive Oil By-Products: Antioxidant Activity, Its Ability to Reduce Aflatoxigenic Fungi Hazard and Its Aflatoxins. Annu. Res. Rev. Biol. 2017, 14, 1–14. [Google Scholar] [CrossRef]
- Ferreira, I.; Baptista, P.; Vilas-Boas, M.; Barros, L. Free-Radical Scavenging Capacity and Reducing Power of Wild Edible Mushrooms from Northeast Portugal: Individual Cap and Stipe Activity. Food Chem. 2007, 100, 1511–1516. [Google Scholar] [CrossRef]
- Pan, S.; Gong, S.; Zhang, J.; Jia, S.; Wang, M.; Pan, Y.; Wang, X.; Jiang, D. Anti-Aging Effects of Fetal Dermal Mesenchymal Stem Cells in a D-Galactose-Induced Aging Model of Adult Dermal Fibroblasts. Vitr. Cell Dev. Biol. Anim. 2021, 57, 795–807. [Google Scholar] [CrossRef]
- Mosmann, T. Rapid Colorimetric Assay for Cellular Growth and Survival: Application to Proliferation and Cytotoxicity Assays. J. Immunol. Methods 1983, 65, 55–63. [Google Scholar] [CrossRef] [PubMed]
- Li, N.; He, Y.; Wang, L.; Mo, C.; Zhang, J.; Zhang, W.; Li, J.; Liao, Z.; Tang, X.; Xiao, H. D -Galactose Induces Necroptotic Cell Death in Neuroblastoma Cell Lines. J. Cell Biochem. 2011, 112, 3834–3844. [Google Scholar] [CrossRef] [PubMed]
- Wei, H.; Gao, Z.; Zheng, L.; Zhang, C.; Liu, Z.; Yang, Y.; Teng, H.; Hou, L.; Yin, Y.; Zou, X. Protective Effects of Fucoidan on Aβ25-35 and D-Gal-Induced Neurotoxicity in PC12 Cells and D-Gal-Induced Cognitive Dysfunction in Mice. Mar. Drugs 2017, 15, 77. [Google Scholar] [CrossRef] [PubMed]
- Ghosh, S.K.; Sanyal, T.; Bera, T. Anticancer Activity of Solvent Extracts of Hexogonia Glabra against Cervical Cancer Cell Lines. Asian Pac. J. Cancer Prev. 2020, 21, 1977. [Google Scholar] [CrossRef] [PubMed]
- Şimşek, S.; Şüküroğlu, A.A.; Yetkin, D.; Özbek, B.; Battal, D.; Genç, R. DNA-Damage and Cell Cycle Arrest Initiated Anti-Cancer Potency of Super Tiny Carbon Dots on MCF7 Cell Line. Sci. Rep. 2020, 10, 13880. [Google Scholar] [CrossRef] [PubMed]
- Gao, J.; Wu, Y.; He, D.; Zhu, X.; Li, H.; Liu, H.; Liu, H. Anti-Aging Effects of Ribes Meyeri Anthocyanins on Neural Stem Cells and Aging Mice. Aging 2020, 12, 17738–17753. [Google Scholar] [CrossRef]
- Aggag, S.A.; Abdelkader, M.A.E.; Yacout, M.M. Neomycin’s Immunomodulatory Effect on the Gene Expression, Some Hematologic Parameters, and Intestinal Histology in Two Rabbit Lines. Anim. Gene 2022, 25, 200130. [Google Scholar] [CrossRef]
- Livak, K.J.; Schmittgen, T.D. Analysis of Relative Gene Expression Data Using Real-Time Quantitative PCR and the 2−ΔΔCT Method. Methods 2001, 25, 402–408. [Google Scholar] [CrossRef]
- Cawthon, R.M. Telomere Measurement by Quantitative PCR. Nucleic Acids Res. 2002, 30, e47. [Google Scholar] [CrossRef]
- Espino, A.M.; Rivera, F. Quantitation of Cytokine MRNA by Real-Time RT-PCR during a Vaccination Trial in a Rabbit Model of Fascioliasis. Vet. Parasitol. 2010, 169, 82–92. [Google Scholar] [CrossRef]
- Zhang, Y.; Pang, N.; Huang, X.; Meng, W.; Meng, L.; Zhang, B.; Jiang, Z.; Zhang, J.; Yi, Z.; Luo, Z.; et al. Ultrasound Deep Brain Stimulation Decelerates Telomere Shortening in Alzheimer’s Disease and Aging Mice. Fundam. Res. 2023, 3, 469–478. [Google Scholar] [CrossRef] [PubMed]
- Kumla, J.; Suwannarach, N.; Tanruean, K.; Lumyong, S. Comparative Evaluation of Chemical Composition, Phenolic Compounds, and Antioxidant and Antimicrobial Activities of Tropical Black Bolete Mushroom Using Different Preservation Methods. Foods 2021, 10, 781. [Google Scholar] [CrossRef] [PubMed]
- Xiao, Y.; Dong, J.; Yin, Z.; Wu, Q.; Zhou, Y.; Zhou, X. Procyanidin B2 Protects against D-Galactose-Induced Mimetic Aging in Mice: Metabolites and Microbiome Analysis. Food Chem. Toxicol. 2018, 119, 141–149. [Google Scholar] [CrossRef] [PubMed]
- Shaban, N.Z.; Abd El-Kader, S.E.; Mogahed, F.A.K.; El-Kersh, M.A.L.; Habashy, N.H. Synergistic Protective Effect of Beta Vulgaris with Meso-2,3-Dimercaptosuccinic Acid against Lead-Induced Neurotoxicity in Male Rats. Sci. Rep. 2021, 11, 252. [Google Scholar] [CrossRef] [PubMed]
- Özdal, M.; Gülmez, Ö.; Gür Özdal, Ö.; Faruk Algur, Ö. Antibacterial and Antioxidant Activity of Mycelial Extracts of Different Pleurotus Species. Food Health 2019, 5, 12–18. [Google Scholar] [CrossRef]
- Dundar, A.; Okumus, V.; Ozdemir, S.; Yildiz, A. Antioxidant Properties of Cultured Mycelia from Four Pleurotus Species Produced in Submerged Medium. Int. J. Food Prop. 2013, 16, 1105–1116. [Google Scholar] [CrossRef][Green Version]
- Li, S.; Liu, H.; Wang, W.; Wang, X.; Zhang, C.; Zhang, J.; Jing, H.; Ren, Z.; Gao, Z.; Song, X.; et al. Antioxidant and Anti-Aging Effects of Acidic-Extractable Polysaccharides by Agaricus bisporus. Int. J. Biol. Macromol. 2018, 106, 1297–1306. [Google Scholar] [CrossRef]
- Alispahić, A.; Šapčanin, A.; Salihović, M.; Ramić, E.; Dedić, A.; Pazalja, M. Phenolic Content and Antioxidant Activity of Mushroom Extracts from Bosnian Market. Bull. Chem. Technol. Bosnia Herzeg. 2015, 44, 5–8. [Google Scholar]
- Elkhawaga, M.A.; Abdelaziz, M.M.; Abdelaziz, M.M. Evaluation of Antimicrobial And Antioxidant Activities of Some Edible Mushrooms. Egypt. Acad. J. Biol. Sci. G. Microbiol. 2014, 6, 69–82. [Google Scholar]
- Li, S.; Li, J.; Zhang, J.; Wang, W.; Wang, X.; Jing, H.; Ren, Z.; Gao, Z.; Song, X.; Gong, Z.; et al. The Antioxidative, Antiaging, and Hepatoprotective Effects of Alkali-Extractable Polysaccharides by Agaricus bisporus. Evid.-Based Complement. Altern. Med. 2017, 2017, 7298683. [Google Scholar] [CrossRef]
- Wu, Y.; Wu, Y.; Yang, Y.; Yu, J.; Wu, J.; Liao, Z.; Guo, A.; Sun, Y.; Zhao, Y.; Chen, J.; et al. Lysyl Oxidase-like 2 Inhibitor Rescues D-Galactose-Induced Skeletal Muscle Fibrosis. Aging Cell 2022, 21, e13659. [Google Scholar] [CrossRef] [PubMed]
- Ye, M.; Liu, J.; Deng, G.; Cai, X.; Zhang, X.; Yao, L.; Wu, J.; He, X.; Peng, D.; Yu, N. Protective Effects of Dendrobium Huoshanense Polysaccharide on D-Gal Induced PC12 Cells and Aging Mice, in Vitro and in Vivo Studies. J. Food Biochem. 2022, 46, e14496. [Google Scholar] [CrossRef] [PubMed]
- Nitthikan, N.; Leelapornpisid, P.; Naksuriya, O.; Intasai, N.; Kiattisin, K. Potential and Alternative Bioactive Compounds from Brown Agaricus bisporus Mushroom Extracts for Xerosis Treatment. Sci. Pharm. 2022, 90, 59. [Google Scholar] [CrossRef]
- Kimatu, B.M.; Fang, D.; Zhao, L.; Hu, Q. Agaricus bisporus Peptide Fractions Confer Cytoprotective Ability against Hydrogen Peroxide-Induced Oxidative Stress in HepG2 and Caco-2 Cells. J. Food Meas. Charact. 2020, 14, 2503–2519. [Google Scholar] [CrossRef]
- Choi, J.; Song, E.; Gwon, H.; Song, E.; Kalaras, M.D.; Beelman, R.B.; Hwanga, J. Aqueous Extracts of Pleurotus ostreatus and Hericium erinaceus Protect against Ultraviolet A-Induced Damage in Human Dermal Fibroblasts. Int. J. Med. Mushrooms 2022, 24, 63–74. [Google Scholar] [CrossRef]
- Hsiao, Y.; Shao, Y.; Wu, Y.; Hsu, W.; Cheng, K.; Yu, C.; Chou, C.; Hsieh, C. Physicochemical Properties and Protective Effects on UVA-Induced Photoaging in Hs68 Cells of Pleurotus ostreatus Polysaccharides by Fractional Precipitation. Int. J. Biol. Macromol. 2023, 228, 537–547. [Google Scholar] [CrossRef]
- Li, J.; Mo, J.R.; Hu, S.Y.; Dong, X.; Li, J.W.; Yang, L.Y.; Wu, Y.J. Effects of Hericium erinaceus Polysaccharide in Porcine IPEC-J2 Intestinal Epithelial Cells against Apoptosis Induced by Oxidative Stress. Comp. Biochem. Physiol. C Toxicol. Pharmacol. 2024, 280, 109902. [Google Scholar] [CrossRef]
- Tripodi, F.; Falletta, E.; Leri, M.; Angeloni, C.; Beghelli, D.; Giusti, L.; Milanesi, R.; Sampaio-Marques, B.; Ludovico, P.; Goppa, L.; et al. Anti-Aging and Neuroprotective Properties of Grifola Frondosa and Hericium erinaceus Extracts. Nutrients 2022, 14, 4368. [Google Scholar] [CrossRef]
- Wang, H.H.; Sun, Y.N.; Qu, T.Q.; Sang, X.Q.; Zhou, L.M.; Li, Y.X.; Ren, F.Z. Nobiletin Prevents D-Galactose-Induced C2C12 Cell Aging by Improving Mitochondrial Function. Int. J. Mol. Sci. 2022, 23, 11963. [Google Scholar] [CrossRef]
- Sharma, P.; Tulsawani, R. Ganoderma lucidum Aqueous Extract Prevents Hypobaric Hypoxia Induced Memory Deficit by Modulating Neurotransmission, Neuroplasticity and Maintaining Redox Homeostasis. Sci. Rep. 2020, 10, 8944. [Google Scholar] [CrossRef]
- Shi, X.; Cheng, W.; Wang, Q.; Zhang, J.; Wang, C.; Li, M.; Zhao, D.; Wang, D.; An, Q. Exploring the Protective and Reparative Mechanisms of g. Lucidum Polysaccharides against H2O2-Induced Oxidative Stress in Human Skin Fibroblasts. Clin. Cosmet. Investig. Dermatol. 2021, 14, 1481–1496. [Google Scholar] [CrossRef] [PubMed]
- Bunc, M.; Hanning, S.M.; Prieto, J.M.; Kristl, J.; Orlu, M. Characterisation of an In Vitro Aged Cell Culture Model. Farmacia 2019, 67, 240–247. [Google Scholar] [CrossRef]
- Ma, L.; Liu, J.; Liu, A.; Wang, Y. Cytoprotective Effect of Selenium Polysaccharide from Pleurotus ostreatus against H2O2-Induced Oxidative Stress and Apoptosis in PC12 Cells. Arab. J. Chem. 2022, 15, 103686. [Google Scholar] [CrossRef]
- Ma, L.; Zhao, Y.; Yu, J.; Ji, H.; Liu, A. Characterization of Se-Enriched Pleurotus ostreatus Polysaccharides and Their Antioxidant Effects in Vitro. Int. J. Biol. Macromol. 2018, 111, 421–429. [Google Scholar] [CrossRef]
- Lai, C.S.W.; Yu, M.S.; Yuen, W.H.; So, K.F.; Zee, S.Y.; Chang, R.C.C. Antagonizing β-Amyloid Peptide Neurotoxicity of the Anti-Aging Fungus Ganoderma lucidum. Brain Res. 2008, 1190, 215–224. [Google Scholar] [CrossRef]
- Qin, T.; Liu, X.; Luo, Y.; Yu, R.; Chen, S.; Zhang, J.; Xu, Y.; Meng, Z.; Huang, Y.; Ren, Z. Characterization of Polysaccharides Isolated from Hericium erinaceus and Their Protective Effects on the DON-Induced Oxidative Stress. Int. J. Biol. Macromol. 2020, 152, 1265–1273. [Google Scholar] [CrossRef]
- Wang, Z.; Shi, Y.; Chen, W.; Wei, H.; Shang, J. Mesenchymal Stem Cells Repair Bone Marrow Damage of Aging Rats and Regulate Autophagy and Aging Genes. Cell Biochem. Funct. 2020, 38, 792–800. [Google Scholar] [CrossRef]
- Wang, Y.; He, J.J.; Zhang, Z.Z. Effect of the Aqueous Extracts of Ganoderma Leucocontextum on Aging Rats Skin. NPRD 2019, 31, 2131. [Google Scholar] [CrossRef]
- Lee, Y.H.; Kim, J.H.; Song, C.H.; Jang, K.J.; Kim, C.H.; Kang, J.S.; Choi, Y.H.; Yoon, H.M. Ethanol Extract of Ganoderma lucidum Augments Cellular Antioxidant Defense through Activation of Nrf2/HO-1. J. Pharmacopunct. 2016, 19, 59. [Google Scholar] [CrossRef]
- Rajkovic, M.; Stanimirovic, Z.; Stevanovic, J.; Ristanic, M.; Vejnovic, B.; Goblirsch, M.; Glavinic, U. Evaluation of Genotoxic and Genoprotective Effects of Agaricus bisporus Extract on AmE-711 Honey Bee Cell Line in the Comet Assay. J. Apic. Res. 2022, 63, 769–777. [Google Scholar] [CrossRef]
- Al-Habib, M.N.; Holliday, J.; Aladahmy, M.S. Psathyrella Candolleana and Agaricus bisporus Extracts Provide Protection against DNA Oxidative Damage Induced by Doxorubicin. Int. J. Med. Mushrooms 2018, 20, 749–759. [Google Scholar] [CrossRef] [PubMed]
- Matić, S.; Cvetković, V.; Milovanović, I.; Miltojević, A. In Vivo Antigenotoxic Properties of Hericium erinaceus Ethanolic Extract. In Proceedings of the 8th International Electronic Conference on Medicinal Chemistry, Online, 1–30 November 2022. [Google Scholar]
- Davalli, P.; Mitic, T.; Caporali, A.; Lauriola, A.; D’Arca, D. ROS, Cell Senescence, and Novel Molecular Mechanisms in Aging and Age-Related Diseases. Oxid. Med. Cell Longev. 2016, 2016, 3565127. [Google Scholar] [CrossRef] [PubMed]
- Feng, Q.; Lu, X.; Yuan, G.; Zhang, Q.; An, L. Effects of Agaricus blazei Polypeptide on Cell Senescence by Regulation of Keap1/Nrf2/ARE and TLR4/NF-ΚBp65 Signaling Pathways and Its Mechanism in D-Gal-Induced NIH/3T3 Cells. J. Funct. Foods 2020, 72, 104037. [Google Scholar] [CrossRef]
- Huang, H.; Patel, D.; Manton, K. The Immune System in Aging: Roles of Cytokines, T Cells and NK Cells. Front. Biosci. 2005, 10, 192–215. [Google Scholar] [CrossRef] [PubMed]
- Hou, J.; Yun, Y.; Xue, J.; Sun, M.; Kim, S. D-galactose Induces Astrocytic Aging and Contributes to Astrocytoma Progression and Chemoresistance via Cellular Senescence. Mol. Med. Rep. 2019, 20, 4111–4118. [Google Scholar] [CrossRef] [PubMed]
- Kim, Y.S.; Lee, K.J.; Kim, H. Serum Tumour Necrosis Factor-α and Interleukin-6 Levels in Alzheimer’s Disease and Mild Cognitive Impairment. Psychogeriatrics 2017, 17, 224–230. [Google Scholar] [CrossRef]
- Dufek, M.; Rektorova, I.; Thon, V.; Lokaj, J.; Rektor, I. Interleukin-6 May Contribute to Mortality in Parkinson’s Disease Patients: A 4-Year Prospective Study. Parkinsons Dis. 2015, 2015, 898192. [Google Scholar] [CrossRef]
- Gardner, E.M.; Murasko, D.M. Age-Related Changes in Type 1 and Type 2 Cytokine Production in Humans. Biogerontology 2002, 3, 271–290. [Google Scholar] [CrossRef]
- Moro, C.; Palacios, I.; Lozano, M.; D’Arrigo, M.; Guillamón, E.; Villares, A.; Martínez, J.A.; García-Lafuente, A. Anti-Inflammatory Activity of Methanolic Extracts from Edible Mushrooms in LPS Activated RAW 264.7 Macrophages. Food Chem. 2012, 130, 350–355. [Google Scholar] [CrossRef]
- Xu, S.; Dou, Y.; Ye, B.; Wu, Q.; Wang, Y.; Hu, M.; Ma, F.; Rong, X.; Guo, J. Ganoderma lucidum Polysaccharides Improve Insulin Sensitivity by Regulating Inflammatory Cytokines and Gut Microbiota Composition in Mice. J. Funct. Foods 2017, 38, 545–552. [Google Scholar] [CrossRef]
- Ren, L.; Zhang, J.; Zhang, T. Immunomodulatory Activities of Polysaccharides from Ganoderma on Immune Effector Cells. Food Chem. 2021, 340, 127933. [Google Scholar] [CrossRef] [PubMed]
- Davis, R.; Taylor, A.; Nally, R.; Benson, K.F.; Stamets, P.; Jensen, G.S. Differential Immune Activating, Anti-Inflammatory, and Regenerative Properties of the Aqueous, Ethanol, and Solid Fractions of a Medicinal Mushroom Blend. J. Inflamm. Res. 2020, 13, 117–131. [Google Scholar] [CrossRef] [PubMed]
- Wu, F.; Zhou, C.; Zhou, D.; Ou, S.; Zhang, X.; Huang, H. Structure Characterization of a Novel Polysaccharide from Hericium erinaceus Fruiting Bodies and Its Immunomodulatory Activities. Food Funct. 2018, 9, 294–306. [Google Scholar] [CrossRef] [PubMed]













| Primers | Forward Primer | Reverse Primer | Ref. |
|---|---|---|---|
| IL-2 | GGA AAC ACA GGA ACA ACT GGA | TTC AAT TCT GTG ACC TTC TTG G | [42] |
| IL-4 | AGA GCT CGG TGA CCT CAG AC | CTT GCA TGG CGG TCT TTA G | |
| IL-6 | GAA AAC ACC AGG GTC AGC AT | CAG CCA CTG GTT TTT CTG CT | |
| Telomere | CGG TTT GTT TGG GTT TGG GTT TGG GTT TGG GTT TGG GTT | GGC TTG CCT TAC CCT TAC CCT TAC CCT TAC CCT TAC CCT | [43] |
| 36B4-R | ACT GGT CTA GGA CCC GAG AAG | TCA ATG GTG CCT CTG GA G ATT | |
| GAPDH | ATC AAG TGG GGT GAT GCT GGT | CCT GCT TCA CCA CCT TCT TGA | [39] |
| Samples | DPPH• (IC50) (mg/mL) | ABTS+• (IC50) (mg/mL) | Reducing Power (FRAP) (EC50) (mg /mL) |
|---|---|---|---|
| Ascorbic acid | 0.003 ± 0.01 a | 0.003 ± 0.01 a | 0.021 ± 0.02 a |
| Agaricus bisporus | 0.005 ± 0.01 c | 0.004 ± 0.02 b | 0.116 ± 0.04 c |
| Pleurotus ostreatus | 0.004 ± 0.01 b | 0.004 ± 0.01 b | 0.111 ± 0.03 b |
| Ganoderma lucidum | 0.020 ± 0.03 d | 0.018 ± 0.05 c | 0.181 ± 0.01 d |
| Hericium erinaceus | 0.024 ± 0.02 e | 0.020 ± 0.03 d | 0.211 ± 0.05 e |
| Extracts | (IC50) (48 h) (mg/mL) | (IC50) (72 h) (mg/mL) |
|---|---|---|
| Agaricus bisporus (AB) | 0.24 ± 0.04 | 0.32 ± 0.18 |
| Pleurotus ostreatus (PO) | 0.31 ± 0.06 | 0.27 ± 0.26 |
| Ganoderma lucidum (GL) | 0.29 ± 0.05 | 0.29 ± 0.18 |
| Hericium erinaceus (HE) | 0.27 ± 0.04 | 0.31 ± 0.20 |
Disclaimer/Publisher’s Note: The statements, opinions and data contained in all publications are solely those of the individual author(s) and contributor(s) and not of MDPI and/or the editor(s). MDPI and/or the editor(s) disclaim responsibility for any injury to people or property resulting from any ideas, methods, instructions or products referred to in the content. |
© 2024 by the authors. Licensee MDPI, Basel, Switzerland. This article is an open access article distributed under the terms and conditions of the Creative Commons Attribution (CC BY) license (https://creativecommons.org/licenses/by/4.0/).
Share and Cite
Abdelkader, M.-A.E.; Mediatrice, H.; Lin, D.; Lin, Z.; Aggag, S.A. Mitigating Oxidative Stress and Promoting Cellular Longevity with Mushroom Extracts. Foods 2024, 13, 4028. https://doi.org/10.3390/foods13244028
Abdelkader M-AE, Mediatrice H, Lin D, Lin Z, Aggag SA. Mitigating Oxidative Stress and Promoting Cellular Longevity with Mushroom Extracts. Foods. 2024; 13(24):4028. https://doi.org/10.3390/foods13244028
Chicago/Turabian StyleAbdelkader, Menna-Allah E., Hatungimana Mediatrice, Dongmei Lin, Zhanxi Lin, and Sarah A. Aggag. 2024. "Mitigating Oxidative Stress and Promoting Cellular Longevity with Mushroom Extracts" Foods 13, no. 24: 4028. https://doi.org/10.3390/foods13244028
APA StyleAbdelkader, M.-A. E., Mediatrice, H., Lin, D., Lin, Z., & Aggag, S. A. (2024). Mitigating Oxidative Stress and Promoting Cellular Longevity with Mushroom Extracts. Foods, 13(24), 4028. https://doi.org/10.3390/foods13244028

