Carvacrol Effectively Inhibits Pseudomonas tolaasii In Vitro and Induces Resistance to Brown Blotch Disease in Postharvest Agaricus bisporus
Abstract
1. Introduction
2. Materials and Methods
2.1. Bacterial Pathogens
2.2. In Vitro Antibacterial Activity of CAR Against P. tolaasii
2.2.1. Inhibitory Effect of CAR Treatment on P. tolaasii Growth
2.2.2. Killing Effect of CAR Treatment on P. tolaasii Growth
2.2.3. Killing Kinetics of CAR Treatment Against P. tolaasii
2.3. In Vitro Antibacterial Mechanism of CAR Against P. tolaasii
2.3.1. Effect of CAR Treatment on P. tolaasii Cell Morphology
2.3.2. Effect of CAR Treatment on P. tolaasii Cell Membrane Integrity
2.3.3. Effect of CAR Treatment on Cytoplasmic Leakage of P. tolaasii
2.3.4. Effect of CAR Treatment on the Changes in P. tolaasii Cellular Proteins and DNA
2.4. Effect of Postharvest CAR Treatment on the Induction of Resistance to Brown Blotch Disease in A. bisporus Mushrooms
2.4.1. Treatment of A. bisporus Mushrooms
2.4.2. Measurement of MDA, Melanin, Lignin, Total Phenolic, and Flavonoid Content
2.4.3. Enzyme Activity Assays
2.5. Statistical Analysis
3. Results
3.1. CAR Treatment Showed a Strong Inhibitory and Killing Effect on the Growth of P. tolaasii In Vitro
3.2. CAR Treatment Altered the Cellular Morphology of P. tolaasii
3.3. CAR Treatment Disrupts the Membrane Integrity of P. tolaasii
3.4. CAR Treatment Did Not Affect the Intracellular Proteins and DNA of P. tolaasii
3.5. CAR Treatment Inhibited P. tolaasii-Caused Brown Blotch Disease in A. bisporus Mushrooms
3.6. CAR Treatment Inhibited P. tolaasii-Caused PPO Activation and Melanin Production and Reduced MDA Accumulation in A. bisporus Mushrooms
3.7. CAR Treatment Increased CAT, POD, SOD, and NAG Activity in Postharvest A. bisporus to Resist P. tolaasii Infection
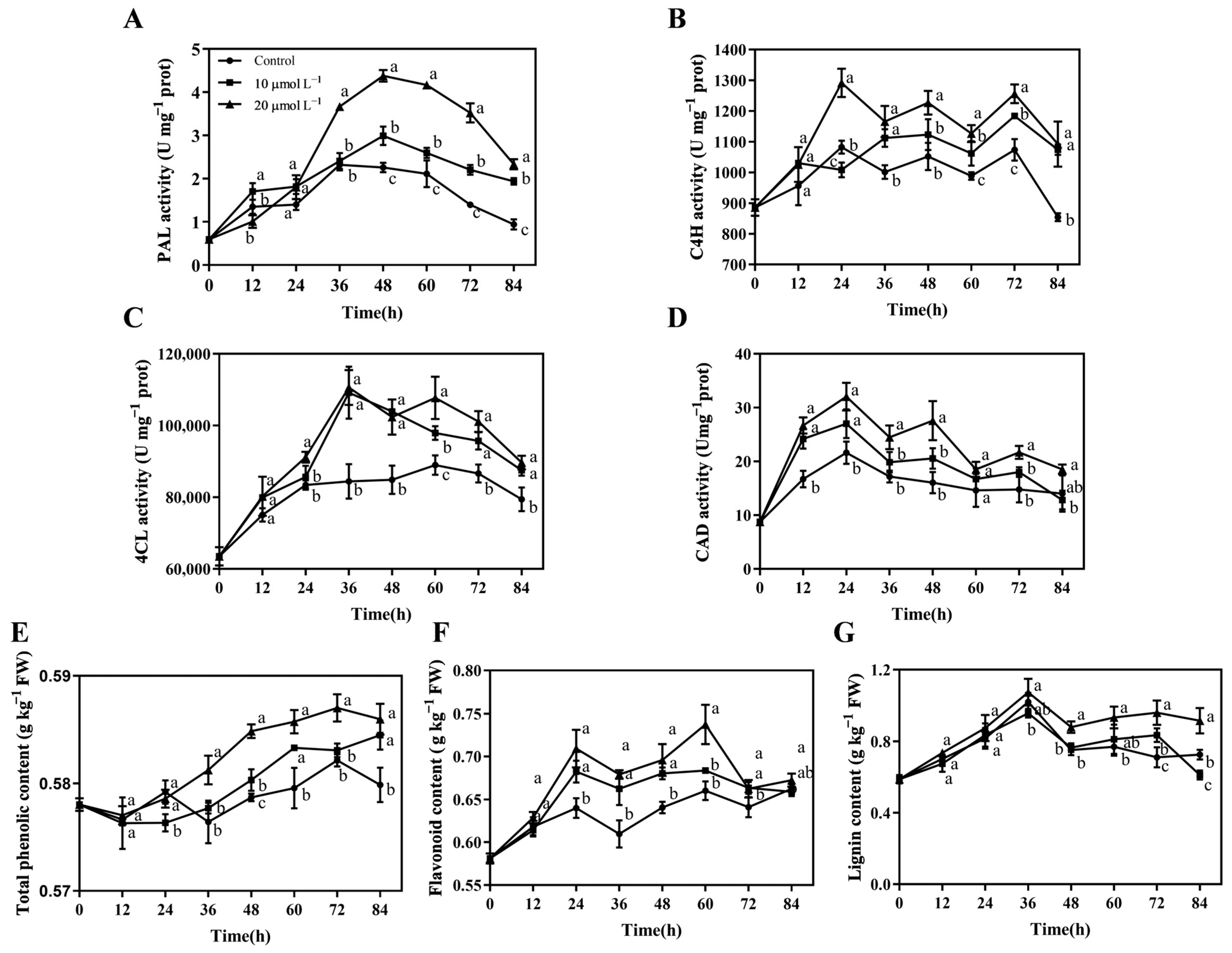
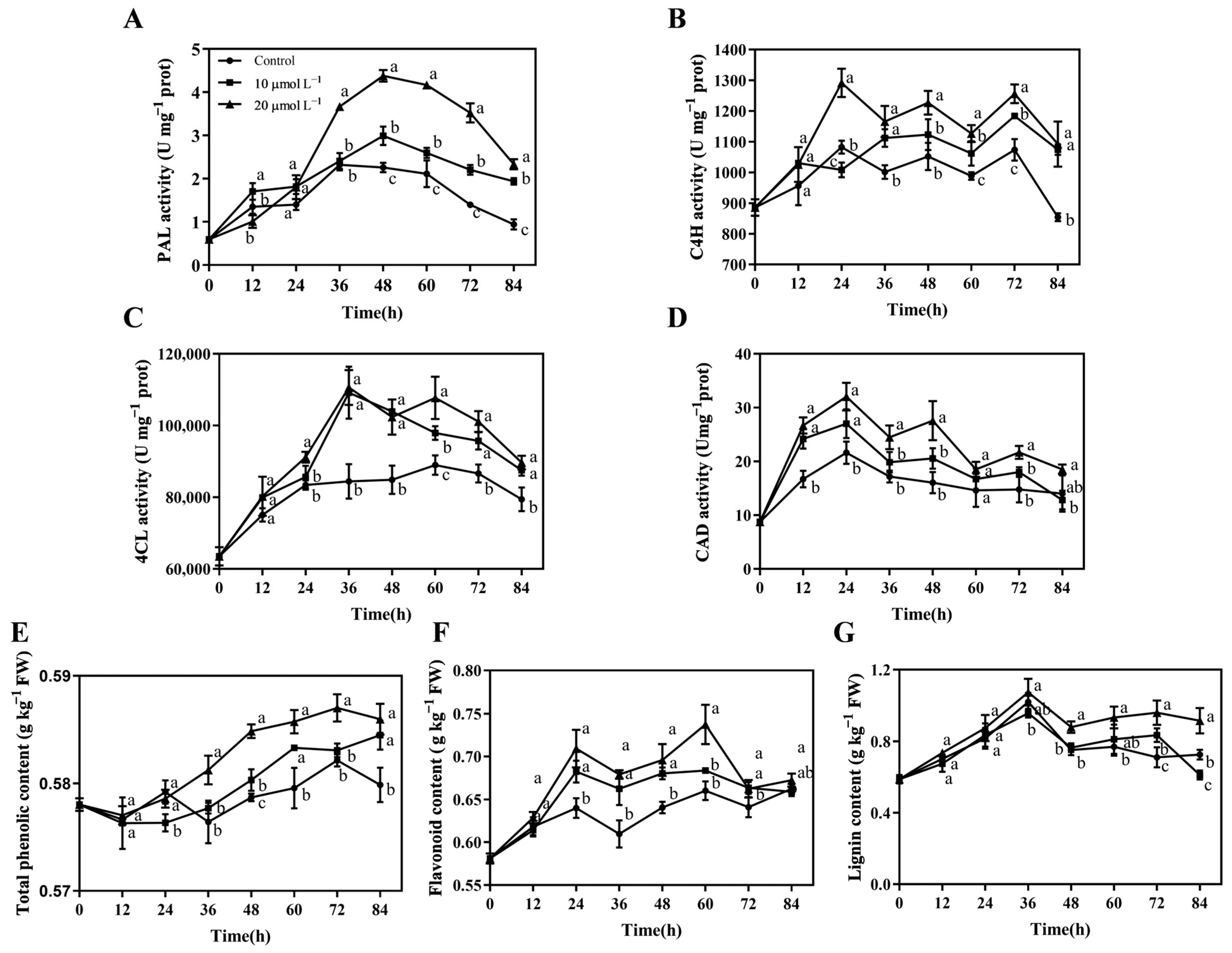
3.8. CAR Treatment Promoted the Phenylpropanoid Pathway in Postharvest A. bisporus to Resist P. tolaasii Infection
4. Discussion
5. Conclusions
Author Contributions
Funding
Institutional Review Board Statement
Informed Consent Statement
Data Availability Statement
Conflicts of Interest
References
- Duan, H.; Yu, Q.; Ni, Y.; Li, J.W.; Yu, L.L.; Fan, L.P. Calcium combined with vacuum treatment improves postharvest storage quality of Agaricus bisporus by regulating polyamine metabolism. Postharvest Biol. Technol. 2024, 210, 112375. [Google Scholar] [CrossRef]
- Ramos, M.; Burgos, N.; Barnard, A.; Evans, G.; Preece, J.; Graz, M.; Ruthes, A.C.; Jiménez-Quero, A.; Martínez-Abad, A.; Vilaplana, F.; et al. Agaricus bisporus and its by-products as a source of valuable extracts and bioactive compounds. Food Chem. 2019, 292, 176–187. [Google Scholar] [CrossRef] [PubMed]
- Bai, S.; Han, P.; Zhou, Z.; Ma, N.; Fang, D.; Yang, W.; Hu, Q.; Pei, F. Caffeic acid-grafted chitosan/polylactic acid packaging affects bacterial infestation and volatile flavor of postharvest Agaricus bisporus. J. Food Compos. Anal. 2023, 122, 105504. [Google Scholar] [CrossRef]
- Faraj, A.M.; Nouri, M. Development of a mucilage coating including nanoencapsulated essential oils for extending shelf life of button mushrooms (Agaricus bisporus). Food Packag. Shelf 2024, 41, 101232. [Google Scholar] [CrossRef]
- Jiang, W.; Zhu, D.; Zhao, L.; Liu, Y.; Wang, C.; Farid, M.S.; Gu, Y.; Li, J.; Li, T.; Sun, Y. L-cysteine treatment delayed the quality deterioration of fresh-cut button mushrooms by regulating oxygen metabolism, inhibiting water loss, and stimulating endogenous H2S production. J. Agric. Food Chem. 2022, 71, 974–984. [Google Scholar] [CrossRef] [PubMed]
- Ghasemi, S.; Harighi, B.; Azizi, A.; Mojarrab, M. Reduction of brown blotch disease and tyrosinase activity in Agaricus bisporus infected by Pseudomonas tolaasii upon treatment with endofungal bacteria. Physiol. Mol. Plant Pathol. 2020, 110, 101474. [Google Scholar] [CrossRef]
- Castellanos-Reyes, K.; Villalobos-Carvajal, R.; Beldarrain-Iznaga, T. Fresh mushroom preservation techniques. Foods 2021, 10, 2126. [Google Scholar] [CrossRef]
- Kesraoui, S.; Andrés, M.F.; Berrocal-Lobo, M.; Soudani, S.; Gonzalez-Coloma, A. Direct and indirect effects of essential oils for sustainable crop protection. Plants 2022, 11, 2144. [Google Scholar] [CrossRef]
- Yasmeen, N.; Chaudhary, A.A.; Khan, S.; Ayyar, P.V.; Lakhawat, S.S.; Sharma, P.K.; Kumar, V. Antiangiogenic potential of phytochemicals from Clerodendrum inerme (L.) Gaertn investigated through in silico and quantum computational methods. Mol. Divers. 2024, 1–25. [Google Scholar] [CrossRef]
- de Souza, E.L.; de Barros, J.C.; de Oliveira, C.E.V.; da Conceição, M.L. Influence of Origanum vulgare L. essential oil on enterotoxin production, membrane permeability and surface characteristics of Staphylococcus aureus. Int. J. Food Microbiol. 2010, 137, 308–311. [Google Scholar] [CrossRef]
- Hajibonabi, A.; Yekani, M.; Sharifi, S.; Nahad, J.S.; Dizaj, S.M.; Memar, M.Y. Antimicrobial activity of nanoformulations of carvacrol and thymol: New trend and applications. OpenNano 2023, 13, 100170. [Google Scholar] [CrossRef]
- Mączka, W.; Twardawska, M.; Grabarczyk, M.; Wińska, K. Carvacrol—A natural phenolic compound with antimicrobial properties. Antibiotics 2023, 12, 824. [Google Scholar] [CrossRef]
- Sánchez-Hernández, E.; Santiago-Aliste, A.; Correa-Guimarães, A.; Martín-Gil, J.; Gavara-Clemente, R.J.; Martín-Ramos, P. Carvacrol Encapsulation in Chitosan–Carboxymethylcellulose–Alginate Nanocarriers for Postharvest Tomato Protection. Int. J. Mol. Sci. 2024, 25, 1104. [Google Scholar] [CrossRef] [PubMed]
- Laroque, D.A.; De Jong, N.R.; Müller, L.; Paganini, C.C.; de Araújo, P.H.; de Aragão, G.M.; Carciofi, B.A. Carvacrol release kinetics from cellulose acetate films and its antibacterial effect on the shelf life of cooked ham. J. Food Eng. 2023, 358, 111681. [Google Scholar] [CrossRef]
- Shemesh, R.; Krepker, M.; Nitzan, N.; Vaxman, A.; Segal, E. Active packaging containing encapsulated carvacrol for control of postharvest decay. Postharvest Biol. Technol. 2016, 118, 175–182. [Google Scholar] [CrossRef]
- Touil, H.F.; Boucherit, K.; Boucherit-Otmani, Z.; Kohder, G.; Madkour, M.; Soliman, S.S. Optimum inhibition of amphotericin-B-resistant Candida albicans strain in single- and mixed-species biofilms by Candida and non-Candida terpenoids. Biomolecules 2020, 10, 342. [Google Scholar] [CrossRef] [PubMed]
- Yang, X.; Deng, P.; Liu, Q.; Meng, Y.; Dong, P.; Xu, L.; Huang, L. Exploring the efficacy of carvacrol as a biocontrol agent against pear Valsa canker. Pestic. Biochem. Physiol. 2023, 196, 105641. [Google Scholar] [CrossRef]
- Leneveu-Jenvrin, C.; Aboudia, A.; Assemat, S.; Remize, F. A three-step approach to assess efficacy of alternative chemical treatments to preserve fresh fruit juices: Application to pineapple (Ananas comosus ‘Queen Victoria’). LWT-Food Sci. Technol. 2022, 155, 112959. [Google Scholar] [CrossRef]
- Churklam, W.; Chaturongakul, S.; Ngamwongsatit, B.; Aunpad, R. The mechanisms of action of carvacrol and its synergism with nisin against Listeria monocytogenes on sliced bologna sausage. Food Control 2020, 108, 106864. [Google Scholar] [CrossRef]
- Peng, S.; Zhang, J.; Zhang, T.; Hati, S.; Mo, H.; Xu, D.; Li, H.; Hu, L.; Liu, Z. Characterization of carvacrol incorporated antimicrobial film based on agar/konjac glucomannan and its application in chicken preservation. J. Food Eng. 2022, 330, 111091. [Google Scholar] [CrossRef]
- López-Córdoba, A. Feasibility of using carvacrol/starch edible coatings to improve the quality of paipa cheese. Polymers 2021, 13, 2516. [Google Scholar] [CrossRef] [PubMed]
- Yang, X.; Fang, S.; Xie, Y.; Mei, J.; Xie, J. Preservative effects of flaxseed gum-sodium alginate active coatings containing carvacrol on quality of turbot (Scophthalmus maximus) during cold storage. Coatings 2024, 14, 338. [Google Scholar] [CrossRef]
- Li, H.; Ding, J.; Liu, C.; Huang, P.; Yang, Y.; Jin, Z.; Qin, W. Carvacrol treatment reduces decay and maintains the postharvest quality of red grape fruits (Vitis vinifera L.) inoculated with Alternaria alternata. Foods 2023, 12, 4305. [Google Scholar] [CrossRef]
- Zhao, L.; Wang, J.; Zhang, H.; Wang, P.; Wang, C.; Zhou, Y.; Li, H.; Yu, S.; Wu, R. Inhibitory effect of carvacrol against Alternaria alternata causing goji fruit rot by disrupting the integrity and composition of cell wall. Front. Microbiol. 2023, 14, 1139749. [Google Scholar] [CrossRef] [PubMed]
- Duan, W.; Zhu, X.; Zhang, S.; Lv, Y.; Zhai, H.; Wei, S.; Ma, P.; Hu, Y. Antifungal effects of carvacrol, the main volatile compound in Origanum vulgare L. essential oil, against Aspergillus flavus in postharvest wheat. Int. J. Food Microbiol. 2024, 410, 110514. [Google Scholar] [CrossRef]
- Ultee, A.; Bennik, M.; Moezelaar, R. The phenolic hydroxyl group of carvacrol is essential for action against the food-borne pathogen Bacillus cereus. Appl. Environ. Microbiol. 2002, 68, 1561–1568. [Google Scholar] [CrossRef]
- Pei, S.; Liu, R.; Gao, H.; Chen, H.; Wu, W.; Fang, X.; Han, Y. Inhibitory effect and possible mechanism of carvacrol against Colletotrichum fructicola. Postharvest Biol. Technol. 2020, 163, 111126. [Google Scholar] [CrossRef]
- Song, R.; Wang, X.; Jiao, L.; Jiang, H.; Yuan, S.; Zhang, L.; Shi, Z.; Fan, Z.; Meng, D. Epsilon-poly-l-lysine alleviates brown blotch disease of postharvest Agaricus bisporus mushrooms by directly inhibiting Pseudomonas tolaasii and inducing mushroom disease resistance. Pestic. Biochem. Physiol. 2024, 199, 105759. [Google Scholar] [CrossRef]
- Zhang, Z.; Wang, P.; Chen, M.; Xie, L.; Zhang, X.; Shi, Y.; Lu, W.; Zhang, Q.; Li, C. Antibacterial activity of two new Cassane Diterpenoids from Caesaplinia pulcherrima against Bacillus cereus by damage to cell membrane. Int. J. Mol. Sci. 2023, 24, 4917. [Google Scholar] [CrossRef]
- Ma, D.; Ji, D.; Liu, J.; Xu, Y.; Chen, T.; Tian, S. Efficacy of methyl thujate in inhibiting Penicillium expansum growth and possible mechanism involved. Postharvest Biol. Technol. 2020, 161, 111070. [Google Scholar] [CrossRef]
- Bradford, M.M. A rapid and sensitive method for the quantitation of microgram quantities of protein utilizing the principle of protein-dye binding. Anal. Biochem. 1976, 72, 248–254. [Google Scholar] [CrossRef] [PubMed]
- Morris, D.L. Quantitative determination of carbohydrates with Dreywood’s anthrone reagent. Science 1948, 107, 254–255. [Google Scholar] [CrossRef] [PubMed]
- Yang, X.; Yang, K.; Wang, X.; Wang, Y.; Zhao, Z.; Meng, D. Transcriptomic analysis reveals the mechanism of bacterial disease resistance of postharvest button mushroom (Agaricus bisporus). Physiol. Mol. Plant Pathol. 2022, 122, 101903. [Google Scholar] [CrossRef]
- Nie, Z.; Huang, Q.; Chen, C.; Wan, C.; Chen, J. Chitosan coating alleviates postharvest juice sac granulation by mitigating ROS accumulation in harvested pummelo (Citrus grandis L. Osbeck) during room temperature storage. Postharvest Biol. Technol. 2020, 169, 111309. [Google Scholar] [CrossRef]
- Selvakumar, P.; Rajasekar, S.; Periasamy, K.; Raaman, N. Isolation and characterization of melanin pigment from Pleurotus cystidiosus (telomorph of Antromycopsis macrocarpa). World J. Microbiol. Biotechnol. 2008, 24, 2125–2131. [Google Scholar] [CrossRef]
- Sun, S.; Zhang, X.; Sun, S.; Zhang, L.; Shan, S.; Zhu, H. Production of natural melanin by Auricularia auricula and study on its molecular structure. Food Chem. 2016, 190, 801–807. [Google Scholar] [CrossRef]
- Yang, R.R.; Han, Y.; Han, Z.H.; Ackah, S.; Li, Z.C.; Bi, Y.; Yang, Q.; Prusky, D. Hot water dipping stimulated wound healing of potato tubers. Postharvest Biol. Technol. 2020, 167, 111245. [Google Scholar] [CrossRef]
- Ji, N.; Wang, J.; Li, Y.; Li, M.; Jin, P.; Zheng, Y. Involvement of PpWRKY70 in the methyl jasmonate primed disease resistance against Rhizopus stolonifer of peaches via activating phenylpropanoid pathway. Postharvest Biol. Technol. 2021, 174, 111466. [Google Scholar] [CrossRef]
- Wang, L.; Guo, Y.; Wang, X.; Zhang, X. Short-term O2/CO2 controlled atmosphere altered the water status and thus promoted phenolic biosynthesis during wound healing of fresh-cut white mushroom (Agaricus bisporus). Postharvest Biol. Technol. 2022, 188, 111879. [Google Scholar] [CrossRef]
- Li, Z.; Xu, X.; Xue, S.; Gong, D.; Wang, B.; Zheng, X.; Xie, P.; Bi, Y.; Prusky, D. Preharvest multiple sprays with chitosan promotes the synthesis and deposition of lignin at wounds of harvested muskmelons. Int. J. Biol. Macromol. 2022, 206, 167–174. [Google Scholar] [CrossRef]
- Jeon, M.; Zhao, Y. Honey in combination with vacuum impregnation to prevent enzymatic browning of fresh-cut apples. Int. J. Food Sci. Nutr. 2005, 56, 165–176. [Google Scholar] [CrossRef] [PubMed]
- Arnold, M.; Gramza-Michałowska, A. Enzymatic browning in apple products and its inhibition treatments: A comprehensive review. Compr. Rev. Food Sci. Food Saf. 2022, 21, 5038–5076. [Google Scholar] [CrossRef] [PubMed]
- Chung, I.-Y.; Kim, Y.-K.; Cho, Y.-H. Common virulence factors for Pseudomonas tolaasii pathogenesis in Agaricus and Arabidopsis. Res. Microbiol. 2014, 165, 102–109. [Google Scholar] [CrossRef]
- Soler-Rivas, C.; Jolivet, S.; Arpin, N.; Olivier, J.; Wichers, H. Biochemical and physiological aspects of brown blotch disease of Agaricus bisporus. FEMS Microbiol. Rev. 1999, 23, 591–614. [Google Scholar] [CrossRef] [PubMed]
- Dong, N.Q.; Lin, H. Contribution of phenylpropanoid metabolism to plant development and plant–environment interactions. J. Integr. Plant Biol. 2021, 63, 180–209. [Google Scholar] [CrossRef]
- Dawadi, E.; Magar, P.; Bhandari, S.; Subedi, S.; Shrestha, S.; Shrestha, J. Nutritional and post-harvest quality preservation of mushrooms: A review. Heliyon 2022, 8, e12093. [Google Scholar] [CrossRef]
- Cao, Z.; Zhou, D.; Ge, X.; Luo, Y.; Su, J. The role of essential oils in maintaining the postharvest quality and preservation of peach and other fruits. J. Food Biochem. 2022, 46, e14513. [Google Scholar] [CrossRef]
- Mechmechani, S.; Gharsallaoui, A.; Fadel, A.; El Omari, K.; Khelissa, S.; Hamze, M.; Chihib, N.-E. Microencapsulation of carvacrol as an efficient tool to fight Pseudomonas aeruginosa and Enterococcus faecalis biofilms. PLoS ONE 2022, 17, e0270200. [Google Scholar] [CrossRef] [PubMed]
- Kasthuri, T.; Swetha, T.K.; Bhaskar, J.P.; Pandian, S.K. Rapid-killing efficacy substantiates the antiseptic property of the synergistic combination of carvacrol and nerol against nosocomial pathogens. Arch. Microbiol. 2022, 204, 590. [Google Scholar] [CrossRef]
- Zhang, Z.; Tan, Y.; McClements, D.J. Investigate the adverse effects of foliarly applied antimicrobial nanoemulsion (carvacrol) on spinach. LWT-Food Sci. Technol. 2021, 141, 110936. [Google Scholar] [CrossRef]
- Xiao, L.; Kang, S.; Lapu, M.; Jiang, P.; Wang, X.; Liu, D.; Li, J.; Liu, M. Preparation and characterization of chitosan/pullulan film loading carvacrol for targeted antibacterial packaging of chilled meat. Int. J. Biol. Macromol. 2022, 211, 140–149. [Google Scholar] [CrossRef] [PubMed]
- Fonseca, L.M.; Souza, E.J.D.; Radünz, M.; Gandra, E.A.; da Rosa Zavareze, E.; Dias, A.R.G. Suitability of starch/carvacrol nanofibers as biopreservatives for minimizing the fungal spoilage of bread. Carbohydr. Polym. 2021, 252, 117166. [Google Scholar] [CrossRef]
- Mauriello, E.; Ferrari, G.; Donsì, F. Effect of formulation on properties, stability, carvacrol release and antimicrobial activity of carvacrol emulsions. Colloids Surf. B 2021, 197, 111424. [Google Scholar] [CrossRef] [PubMed]
- Fang, J.; Yin, Z.; Zhang, T.; Yang, W.; Fang, T.; Wang, Y.; Guo, N. Preparation and characterization of carvacrol/ε-polylysine loaded antimicrobial nanobilayer emulsion and its application in mango preservation. Food Chem. 2024, 446, 138831. [Google Scholar] [CrossRef] [PubMed]
- Jiang, S.; Zhang, J.; Yang, Q.; Sun, D.; Pu, X.; Shen, H.; Li, Q.; Wang, Z.; Lin, B. Antimicrobial activity of natural plant compound carvacrol against soft rot disease agent Dickeya zeae. Curr. Microbiol. 2021, 78, 3453–3463. [Google Scholar] [CrossRef] [PubMed]
- Yin, J.; Wu, S.; Yang, Y.; Wang, D.; Ma, Y.; Zhao, Y.; Sheth, S.; Huang, H.; Song, B.; Chen, Z. In addition to damaging the plasma membrane, phenolic monoterpenoid carvacrol can bind to the minor groove of DNA of phytopathogenic fungi to potentially control tea leaf spot caused by Lasiodiplodia theobromae. Phytopathology 2024, 114, 700–716. [Google Scholar] [CrossRef]
- Chaillot, J.; Tebbji, F.; Remmal, A.; Boone, C.; Brown, G.W.; Bellaoui, M.; Sellam, A. The monoterpene carvacrol generates endoplasmic reticulum stress in the pathogenic fungus Candida albicans. Antimicrob. Agents Chemother. 2015, 59, 4584–4592. [Google Scholar] [CrossRef]
- Wang, L.; Guo, Y.; Wang, X. Increasing nicotinamide adenine dinucleotide phosphate hydrogen levels via pentose phosphate pathway promotes phyenylpropanoid metabolism of fresh-cut white mushroom (Agaricus bisporus) under high O2/CO2 storage. Sci. Hortic. 2022, 295, 110873. [Google Scholar] [CrossRef]
- Zhang, P.; Fang, D.; Pei, F.; Wang, C.; Jiang, W.; Hu, Q.; Ma, N. Nanocomposite packaging materials delay the browning of Agaricus bisporus by modulating the melanin pathway. Postharvest Biol. Technol. 2022, 192, 112014. [Google Scholar] [CrossRef]
- Du, M.; Lian, L.; Zhang, Y.; Lin, H.; Wang, J. Roles of ROS metabolism and phenylpropanoid pathway in quality maintenance of postharvest Pleurotus eryngii under hyperoxia stress. Postharvest Biol. Technol. 2024, 207, 112617. [Google Scholar] [CrossRef]
- Singh, D.; Mittal, N.; Mittal, P.; Siddiqui, M.H. Transcriptome sequencing of medical herb Salvia rosmarinus (Rosemary) revealed the phenylpropanoid biosynthesis pathway genes and their phylogenetic relationships. Mol. Biol. Rep. 2024, 51, 757. [Google Scholar] [CrossRef] [PubMed]
- Mi, T.; Luo, D.; Li, J.; Qu, G.; Sun, Y.; Cao, S. Carvacrol exhibits direct antifungal activity against stem-end rot disease and induces disease resistance to stem-end rot disease in kiwifruit. Physiol. Mol. Plant Pathol. 2023, 127, 102065. [Google Scholar] [CrossRef]
- Yan, J.; Yuan, S.-S.; Jiang, L.-L.; Ye, X.-J.; Ng, T.B.; Wu, Z.-J. Plant antifungal proteins and their applications in agriculture. Appl. Microbiol. Biotechnol. 2015, 99, 4961–4981. [Google Scholar] [CrossRef]
- Zhao, Y.; Li, C.; Chen, X.; Cheng, J.; Xie, J.; Lin, Y.; Fu, Y.; Jiang, D.; Chen, T. Overexpression of chitinase PbChia1 from Plasmodiophora brassicae improves broad-spectrum disease resistance of Arabidopsis. Virulence 2023, 14, 2233147. [Google Scholar] [CrossRef] [PubMed]








| Disclaimer/Publisher’s Note: The statements, opinions and data contained in all publications are solely those of the individual author(s) and contributor(s) and not of MDPI and/or the editor(s). MDPI and/or the editor(s) disclaim responsibility for any injury to people or property resulting from any ideas, methods, instructions or products referred to in the content. | 
© 2024 by the authors. Licensee MDPI, Basel, Switzerland. This article is an open access article distributed under the terms and conditions of the Creative Commons Attribution (CC BY) license (https://creativecommons.org/licenses/by/4.0/).
Share and Cite
Zhang, L.; Song, R.; Shi, Z.; Yuan, S.; Jiao, L.; Ma, M.; Wang, X.; Chen, L.; Liu, X.; Meng, D. Carvacrol Effectively Inhibits Pseudomonas tolaasii In Vitro and Induces Resistance to Brown Blotch Disease in Postharvest Agaricus bisporus. Foods 2024, 13, 3689. https://doi.org/10.3390/foods13223689
Zhang L, Song R, Shi Z, Yuan S, Jiao L, Ma M, Wang X, Chen L, Liu X, Meng D. Carvacrol Effectively Inhibits Pseudomonas tolaasii In Vitro and Induces Resistance to Brown Blotch Disease in Postharvest Agaricus bisporus. Foods. 2024; 13(22):3689. https://doi.org/10.3390/foods13223689
Chicago/Turabian StyleZhang, Lei, Rui Song, Zixuan Shi, Shuai Yuan, Lu Jiao, Mengsha Ma, Xing Wang, Lin Chen, Xia Liu, and Demei Meng. 2024. "Carvacrol Effectively Inhibits Pseudomonas tolaasii In Vitro and Induces Resistance to Brown Blotch Disease in Postharvest Agaricus bisporus" Foods 13, no. 22: 3689. https://doi.org/10.3390/foods13223689
APA StyleZhang, L., Song, R., Shi, Z., Yuan, S., Jiao, L., Ma, M., Wang, X., Chen, L., Liu, X., & Meng, D. (2024). Carvacrol Effectively Inhibits Pseudomonas tolaasii In Vitro and Induces Resistance to Brown Blotch Disease in Postharvest Agaricus bisporus. Foods, 13(22), 3689. https://doi.org/10.3390/foods13223689
 
        



 
                        