Characteristics of Polysaccharides from Industrial Hemp (Cannabis sativa L.) Kernels
Abstract
1. Introduction
2. Materials and Methods
2.1. Reagents and Chemicals
2.2. Preparation of HKP
2.3. Chemical Composition Test
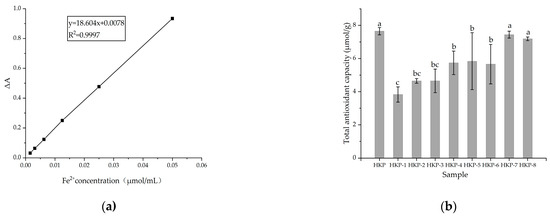
2.4. Assay for Antioxidant Activity
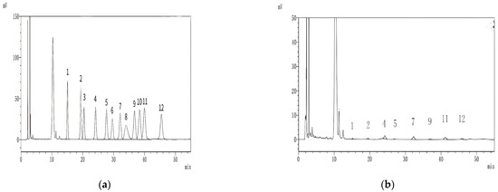
2.5. Monosaccharide Composition
2.6. Molecular Weight of HKP
2.7. Fourier Transform Infrared Spectroscopy (FT-IR)
2.8. Congo Red Analysis
2.9. Statistical Analysis
3. Results and Discussion
3.1. Extraction Yields and Chemical Compositions
3.2. Antioxidant Activity of HKP and HKPs
3.3. Monosaccharide Composition of HKP
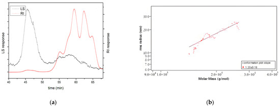
3.4. Molecular Weight and Chain Conformation of HKP
3.5. FT-IR Spectrum of HKP
3.6. Analysis of Congo Red
4. Conclusions
Author Contributions
Funding
Institutional Review Board Statement
Informed Consent Statement
Data Availability Statement
Acknowledgments
Conflicts of Interest
References
- Visković, J.; Sikora, V.; Latković, D.; Zeremski, T.; Dunđerski, D.; Astatkie, T.; Noller, J.S.; Zheljazkov, V.D. Optimization of hemp production technology for fiber and seed. Ind. Crop. Prod. 2024, 219, 119127. [Google Scholar] [CrossRef]
- Chen, H.; Xu, B.; Wang, Y.; Li, W.; He, D.; Zhang, Y.; Zhang, X.; Xing, X. Emerging natural hemp seed proteins and their functions for nutraceutical applications. Food Sci. Hum. Wellness 2023, 12, 929–941. [Google Scholar] [CrossRef]
- Gholivand, S.; Tan, T.B.; Yusoff, M.M.; Choy, H.W.; Teow, S.J.; Wang, Y.; Liu, Y.; Tan, C.P. Elucidation of synergistic interactions between anionic polysaccharides and hemp seed protein isolate and their functionalities in stabilizing the hemp seed oil-based nanoemulsion. Food Hydrocoll. 2024, 146, 109181. [Google Scholar] [CrossRef]
- Liu, X.; Xue, F.; Adhikari, B. Hemp protein isolate-polysaccharide complex coacervates and their application as emulsifiers in oil-in-water emulsions. Food Hydrocoll. 2023, 137, 108352. [Google Scholar] [CrossRef]
- Schultz, C.J.; Lim, W.L.; Khor, S.F.; Neumann, K.A.; Schulz, J.M.; Ansari, O.; Skewes, M.A.; Burton, R.A. Consumer and health-related traits of seed from selected commercial and breeding lines of industrial hemp, Cannabis sativa L. J. Agric. Food Res. 2020, 2, 100025. [Google Scholar] [CrossRef]
- Tutek, K.; Masek, A. Hemp and its derivatives as a universal industrial raw material (with particular emphasis on the polymer industry)—A review. Materials 2022, 15, 2565. [Google Scholar] [CrossRef]
- Ahmed, A.T.M.F.; Islam, M.Z.; Mahmud, M.S.; Sarker, M.E.; Islam, M.R. Hemp as a potential raw material toward a sustainable world: A review. Heliyon 2022, 8, e08753. [Google Scholar] [CrossRef]
- Chang, T.; Li, H.; Lv, H.; Tan, M.; Hou, S.; Liu, X.; Lian, M.; Zhao, Q.; Zhao, B. Extraction, physicochemical properties, anti-aging, and antioxidant activities of polysaccharides from industrial hemp residues. Molecules 2022, 27, 5746. [Google Scholar] [CrossRef]
- Cheng, C.W.; Bian, Z.X.; Zhu, L.X.; Wu, J.C.; Sung, J.J. Efficacy of a Chinese herbal proprietary medicine (Hemp Seed Pill) for functional constipation. Am. J. Gastroenterol. 2011, 106, 120–129. [Google Scholar] [CrossRef]
- Girgih, A.T.; Udenigwe, C.C.; Li, H.; Adebiyi, A.P.; Aluko, R.E. Kinetics of enzyme inhibition and antihypertensive effects of hemp seed (Cannabis sativa L.) protein hydrolysates. J. Am. Oil Chem. Soc. 2011, 88, 1767–1774. [Google Scholar] [CrossRef]
- Tang, C.H.; Wang, X.S.; Yang, X.Q. Enzymatic hydrolysis of hemp (Cannabis sativa L.) protein isolate by various proteases and antioxidant properties of the resulting hydrolysates. Food Chem. 2009, 114, 1484–1490. [Google Scholar] [CrossRef]
- Wen, Z.S.; Xue, R.; Du, M.; Tang, Z.; Xiang, X.W.; Zheng, B.; Qu, Y.L. Hemp seed polysaccharides protect intestinal epithelial cells from hydrogen peroxide induced oxidative stress. Int. J. Biol. Macromol. 2019, 135, 203–211. [Google Scholar] [CrossRef] [PubMed]
- Xue, R.; Du, M.; Zhou, T.Y.; Ai, W.Z.; Zhang, Z.S.; Xiang, X.W.; Zhou, Y.F.; Wen, Z.S. Polysaccharides from hemp seed protect against cyclophosphamide-induced intestinal oxidative damage via Nrf2-Keap1 signaling pathway in mice. Oxidative Med. Cell. Longev. 2020, 2020, 1813798. [Google Scholar] [CrossRef] [PubMed]
- Julakanti, S.; Charles, A.P.R.; Syed, R.; Bullock, F.; Wu, Y. Hempseed polysaccharide (Cannabis sativa L.): Physicochemical characterization and comparison with flaxseed polysaccharide. Food Hydrocoll. 2023, 143, 108900. [Google Scholar] [CrossRef]
- Tang, Y.Y.; Sheng, J.F.; He, X.M.; Sun, J.; Wei, Z.; Liu, G.M.; Li, C.B.; Lin, B.; Li, L. Novel antioxidant and hypoglycemic water-soluble polysaccharides from jasmine tea. Foods 2021, 10, 2375. [Google Scholar] [CrossRef]
- Liu, G.; Sun, J.; He, X.; Tang, Y.; Li, J.; Ling, D.; Li, C.; Li, L.; Zheng, F.; Sheng, J. Fermentation process optimization and chemical constituent analysis on longan (Dimocarpus longan Lour.) wine. Food Chem. 2018, 256, 268–279. [Google Scholar] [CrossRef]
- Liu, G.; Wei, P.; Tang, Y.; Li, J.; Yi, P.; Deng, Z.; He, X.; Ling, D.; Sun, J.; Zhang, L. Screening and characteristics analysis of polysaccharides from Orah Mandarin (Citrus reticulata cv. Orah). Foods 2023, 13, 82. [Google Scholar] [CrossRef]
- Tang, Y.; He, X.; Liu, G.; Wei, Z.; Sheng, J.; Sun, J.; Li, C.; Xin, M.; Li, L.; Yi, P. Effects of different extraction methods on the structural, antioxidant and hypoglycemic properties of red pitaya stem polysaccharide. Food Chem. 2023, 405, 134804. [Google Scholar] [CrossRef]
- Bi, Y.G.; Wei, B.Y.; Teng, J.W.; Lu, J. Extraction isolation and purification of water-soluble polysaccharides from hemp seed. Food Sci. Technol. 2004, 29, 97–100. (In Chinese) [Google Scholar]
- Su, Y.; Li, L. Structural characterization and antioxidant activity of polysaccharide from four auriculariales. Carbohydr. Polym. 2020, 229, 105407. [Google Scholar] [CrossRef]
- Liu, G.; Wei, P.; Tang, Y.; Pang, Y.; Sun, J.; Li, J.; Rao, C.; Wu, C.; He, X.; Li, L.; et al. Evaluation of bioactive compounds and bioactivities in plum (Prunus salicina Lindl.) wine. Front. Nutr. 2021, 8, 766415. [Google Scholar] [CrossRef] [PubMed]
- Wang, J.; Hu, S.; Nie, S.; Yu, Q.; Xie, M. Reviews on mechanisms of in vitro antioxidant activity of polysaccharides. Oxidative Med. Cell. Longev. 2016, 1, 5692852. [Google Scholar] [CrossRef] [PubMed]
- Wu, S.H.; Li, F.; Jia, S.Y.; Ren, H.T.; Gong, G.L.; Wang, Y.Y. Drying effects on the antioxidant properties of polysaccharides obtained from Agaricus blazei Murrill. Carbohydr. Polym. 2014, 103, 414–417. [Google Scholar] [CrossRef]
- Wu, H.; Min, T.; Li, X.F.; Li, L.; Lai, F.R.; Tang, Y.Q.; Yang, X.H. Physicochemical properties and antioxidant activities of acidic polysaccharides from wampee seeds. Int. J. Biol. Macromol. 2013, 59, 90–95. [Google Scholar] [CrossRef] [PubMed]
- Chen, N.; Jiang, T.; Xu, J.; Xi, W.; Shang, E.; Xiao, P.; Duan, J.A. The relationship between polysaccharide structure and its antioxidant activity needs to be systematically elucidated. Int. J. Biol. Macromol. 2024, 270, 132391. [Google Scholar] [CrossRef] [PubMed]
- Cui, H.; Liu, Q.; Tao, Y.; Zhang, H.; Zhang, L.; Ding, K. Structure and chain conformation of a (1→6)-α-d-glucan from the root of Pueraria lobata (Willd.) Ohwi and the antioxidant activity of its sulfated derivative. Carbohydr. Polym. 2008, 74, 771–778. [Google Scholar] [CrossRef]
- Guo, S.; Wang, J.; He, C.B.; Wei, H.C.; Ma, Y.; Xiong, H.J. Preparation and antioxidant activities of polysaccharides obtained from abalone viscera by combination of enzymolysis and multiple separation methods. J. Food Sci. 2020, 85, 4260–4270. [Google Scholar] [CrossRef]
- El Enshasy, H.A.; Hatti-Kaul, R. Mushroom immunomodulators: Unique molecules with unlimited applications. Trends Biotechnol. 2013, 31, 668–677. [Google Scholar] [CrossRef]
- Xing, R.; Liu, S.; Guo, Z.; Yu, H.; Wang, P.; Li, C.; Li, Z.; Li, P. Relevance of molecular weight of chitosan and its derivatives and their antioxidant activities in vitro. Bioorg. Med. Chem. 2005, 13, 1573–1577. [Google Scholar] [CrossRef]
- Zha, X.Q.; Wang, J.H.; Yang, X.F.; Liang, H.; Zhao, L.L.; Bao, S.H.; Luo, J.P.; Xu, Y.Y.; Zhou, B.B. Antioxidant properties of polysaccharide fractions with different molecular mass extracted with hot-water from rice bran. Carbohydr. Polym. 2009, 78, 570–575. [Google Scholar] [CrossRef]
- Zhu, R.; Zhang, X.; Wang, Y.; Zhang, L.; Zhao, J.; Chen, G.; Ning, C. Characterization of polysaccharide fractions from fruit of Actinidia arguta and assessment of their antioxidant and antiglycated activities. Carbohydr. Polym. 2019, 210, 73–84. [Google Scholar] [CrossRef] [PubMed]
- Cai, W.; Xu, H.; Xie, L.; Sun, J.; Sun, T.; Wu, X.; Fu, Q. Purifification, characterization and in vitro anticoagulant activity of polysaccharides from Gentiana scabra Bunge roots. Carbohydr. Polym. 2016, 140, 308–313. [Google Scholar] [CrossRef] [PubMed]
- Ge, Y.; Duan, Y.; Fang, G.; Zhang, Y.; Wang, S. Polysaccharides from fruit calyx of Physalis alkekengi var. francheti: Isolation, purification, structural features and antioxidant activities. Carbohydr. Polym. 2009, 77, 188–193. [Google Scholar] [CrossRef]
- Jia, X.; Ding, C.; Yuan, C.; Zhang, Z.; Chen, Y.E.; Du, L.; Yuan, L. Extraction, purifification and characterization of polysaccharides from Hawk tea. Carbohydr. Polym. 2014, 99, 319–324. [Google Scholar] [CrossRef] [PubMed]
- Wang, L.B.; Xu, Y.Q.; Yu, Z.Y.; Wang, T.H.; Li, L.B. Ethanol fractional precipitation and ultrasonic modification of pumpkin polysaccharides. Trans. Chin. Soc. Agric. Mach. 2015, 46, 206–210. (In Chinese) [Google Scholar]
- Cao, X.F.; Yuan, T.; Sun, S.; Sun, R.C. Isolation and characterization of soluble polysaccharides from calamagrostis angustifolia kom. Bioresources 2011, 6, 2896–2911. [Google Scholar] [CrossRef]
- Chai, Y.; Zhao, M. Purification, characterization and anti-proliferation activities of polysaccharides extracted from Viscum coloratum (Kom.) Nakai. Carbohydr. Polym. 2016, 149, 121–130. [Google Scholar] [CrossRef]
- Kan, L.B.; Chai, Y.Y.; Li, X.Y.; Zhao, M. Structural analysis and potential anti-tumor activity of Sporisorium reilianum (Fries) polysaccharide. Int. J. Biol. Macromol. 2020, 153, 986–994. [Google Scholar] [CrossRef]
- Sun, L.P.; Su, X.J.; Zhuang, Y.L. Preparation, characterization and antiglycation activities of the novel polysaccharides from Boletus snicus. Int. J. Biol. Macromol. 2016, 92, 607–614. [Google Scholar]
- He, Y.; Ye, M.; Du, Z.; Wang, H.; Wu, Y.; Yang, L. Purification, characterization and promoting effect on wound healing of an exopolysaccharide from Lachnum YM405. Carbohydr. Polym. 2014, 105, 169–176. [Google Scholar] [CrossRef]
- Guo, X.; Kang, J.; Xu, Z.; Guo, Q.; Zhang, L.; Ning, H.; Cui, S.W. Triple-helix polysaccharides: Formation mechanisms and analytical methods. Carbohydr. Polym. 2021, 262, 117962. [Google Scholar] [CrossRef] [PubMed]
- Li, Y.; Hu, Z.; Wang, X.; Wu, M.; Zhou, H.; Zhang, Y. Characterization of a polysaccharide with antioxidant and anti-cervical cancer potentials from the corn silk cultivated in Jilin province. Int. J. Biol. Macromol. 2020, 155, 1105–1113. [Google Scholar] [CrossRef] [PubMed]
- Pan, L.C.; Zhu, Y.M.; Zhu, Z.Y.; Xue, W.; Liu, C.Y.; Sun, H.Q.; Yin, Y. Chemical structure and effects of antioxidation and against α-glucosidase of natural polysaccharide from Glycyrrhiza inflata Batalin. Int. J. Biol. Macromol. 2020, 155, 560–571. [Google Scholar] [CrossRef] [PubMed]
- Wang, J.H.; Xu, J.L.; Zhang, J.C.; Liu, Y.; Sun, H.J.; Zha, X. Physicochemical properties and antioxidant activities of polysaccharide from floral mushroom cultivated in Huangshan Mountain. Carbohydr. Polym. 2015, 131, 240–247. [Google Scholar] [CrossRef]
- Guo, H.; Zhang, W.; Jiang, Y.; Wang, H.; Chen, G.; Guo, M. Physicochemical, structural, and biological properties of polysaccharides from dandelion. Molecules 2019, 24, 1485. [Google Scholar] [CrossRef]






| Mw (kDa) | Mn (kDa) | Polydispersity (Mw/Mn) |
|---|---|---|
| 4.21 ± 0.12 | 0.96 ± 0.09 | 4.39 ± 0.01 |
Disclaimer/Publisher’s Note: The statements, opinions and data contained in all publications are solely those of the individual author(s) and contributor(s) and not of MDPI and/or the editor(s). MDPI and/or the editor(s) disclaim responsibility for any injury to people or property resulting from any ideas, methods, instructions or products referred to in the content. |
© 2024 by the authors. Licensee MDPI, Basel, Switzerland. This article is an open access article distributed under the terms and conditions of the Creative Commons Attribution (CC BY) license (https://creativecommons.org/licenses/by/4.0/).
Share and Cite
Wei, P.; Tang, Y.; Zhou, K.; Wei, Z.; Liu, G. Characteristics of Polysaccharides from Industrial Hemp (Cannabis sativa L.) Kernels. Foods 2024, 13, 3429. https://doi.org/10.3390/foods13213429
Wei P, Tang Y, Zhou K, Wei Z, Liu G. Characteristics of Polysaccharides from Industrial Hemp (Cannabis sativa L.) Kernels. Foods. 2024; 13(21):3429. https://doi.org/10.3390/foods13213429
Chicago/Turabian StyleWei, Ping, Yayuan Tang, Kui Zhou, Zhen Wei, and Guoming Liu. 2024. "Characteristics of Polysaccharides from Industrial Hemp (Cannabis sativa L.) Kernels" Foods 13, no. 21: 3429. https://doi.org/10.3390/foods13213429
APA StyleWei, P., Tang, Y., Zhou, K., Wei, Z., & Liu, G. (2024). Characteristics of Polysaccharides from Industrial Hemp (Cannabis sativa L.) Kernels. Foods, 13(21), 3429. https://doi.org/10.3390/foods13213429

