Simultaneous Detection of Eight Dairy-Derived Components Using Double-Tube Multiplex qPCR Based TaqMan Probe
Abstract
1. Introduction
2. Materials and Methods
2.1. Sample Collection
2.2. DNA Extraction
2.3. Primers and Probes Design
2.4. Internal Positive Control (IPC)
2.5. Specific Testing of Primers and Probes
2.6. Combinations Selection for Multiplex qPCR
2.7. Multiplex PCR Specificity Test
2.8. The Limit of Detection (LOD) and Standard Curve of Multiplex qPCR
2.9. Sensitivity Test for Two Combination Systems
2.10. Repeatability Test
2.11. Analyses of Commercial Dairy Products
3. Results and Discussion
3.1. DNA Quality
3.2. Specificity of Primers and Probes
3.3. Combinations Selection for the Multiplex qPCR System
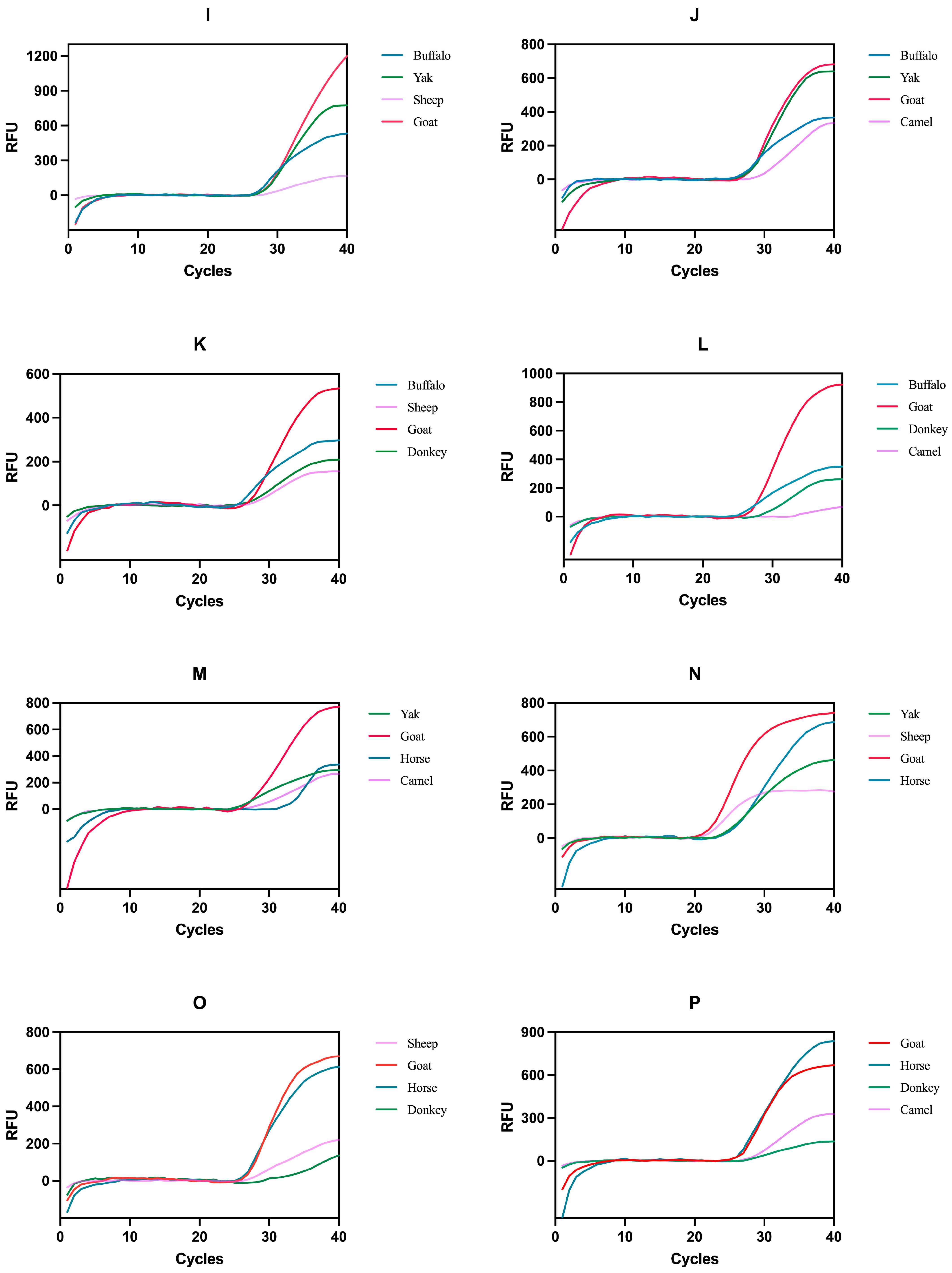
3.4. Specificity of the Multiplex qPCR System
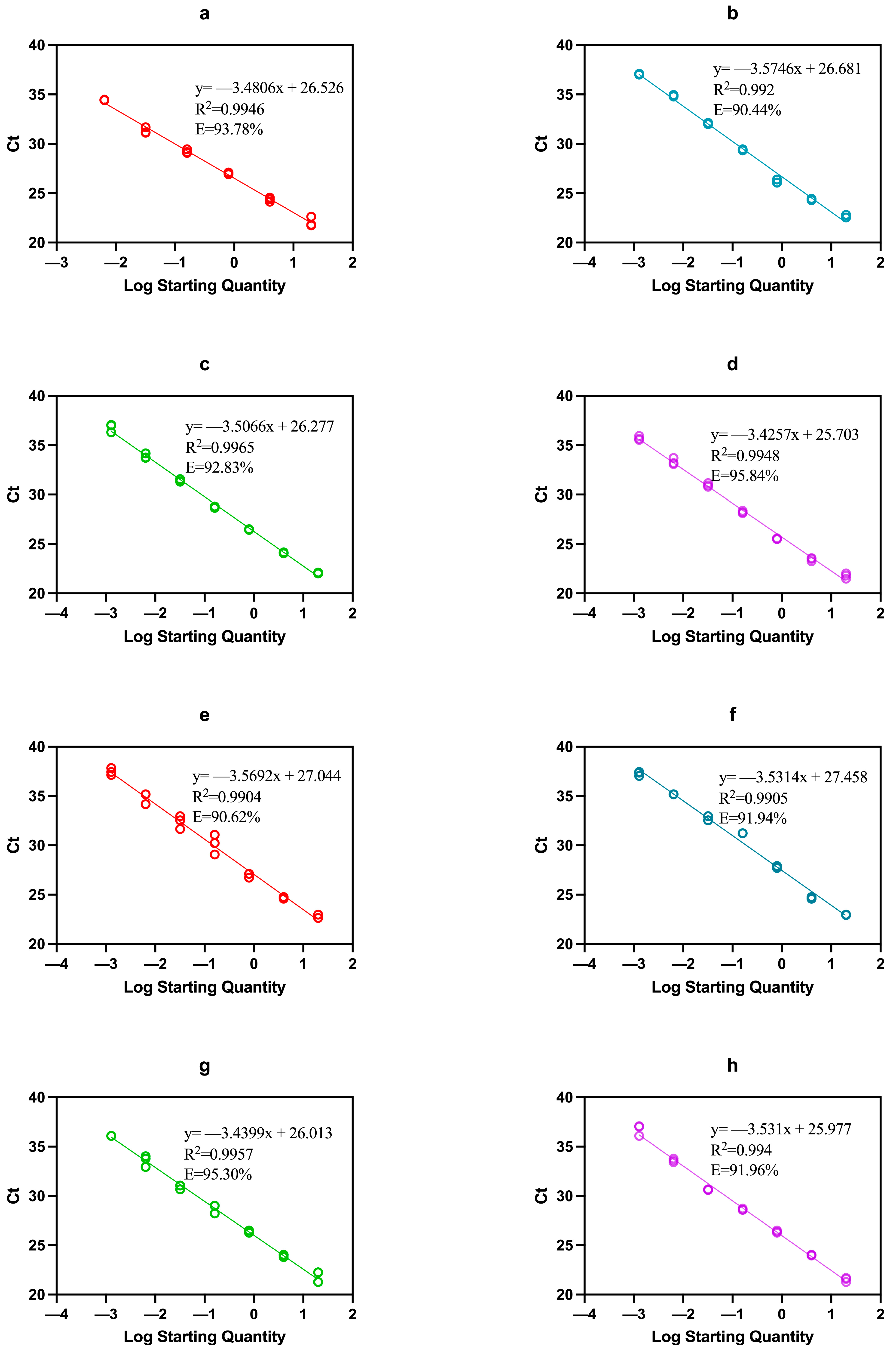
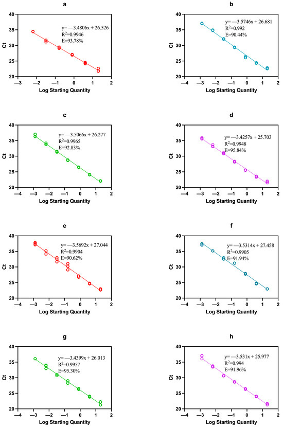
3.5. LOD and Standard Curve of Multiplex qPCR
3.6. Quantification and Efficiency of Multiplex qPCR
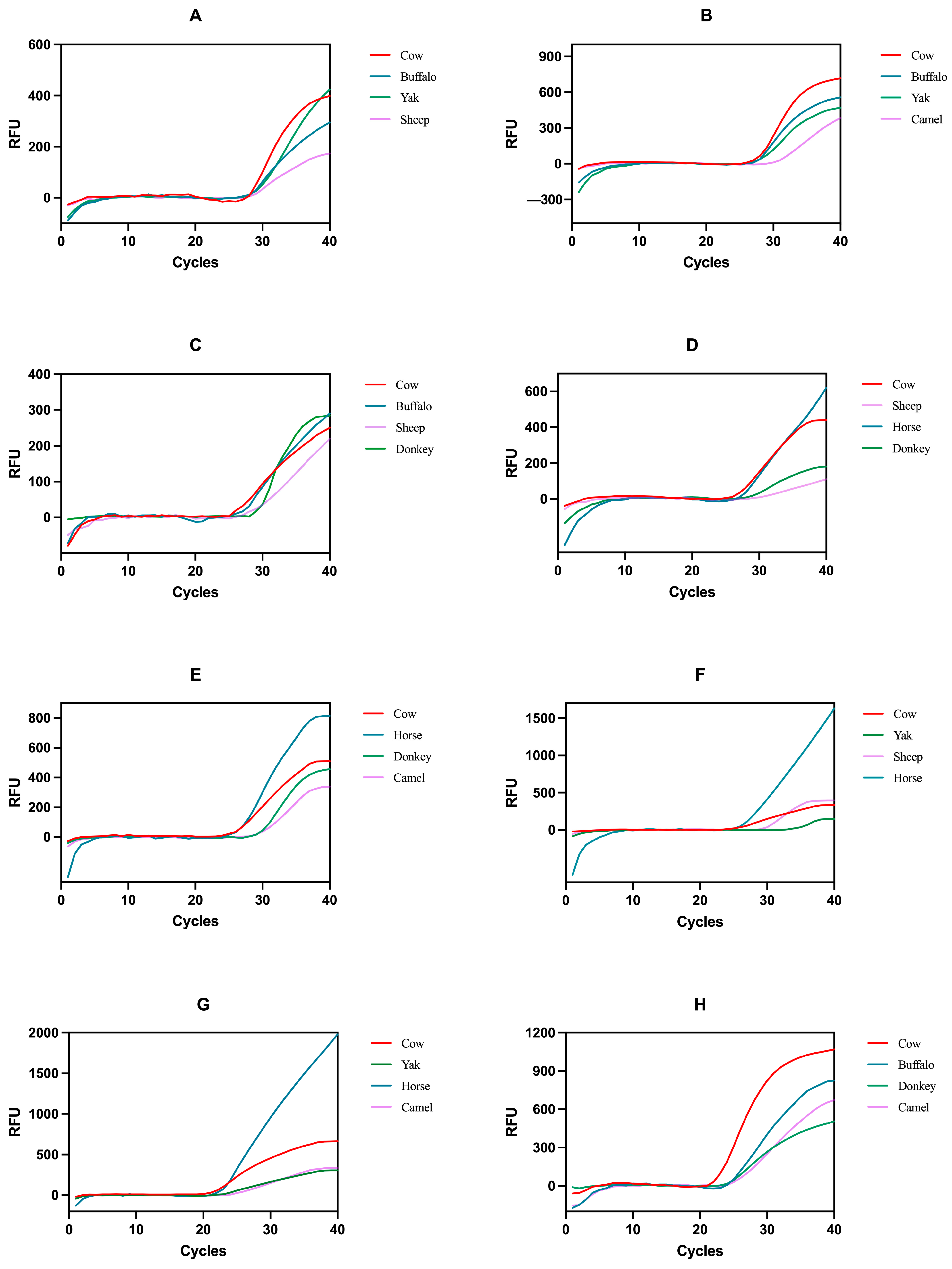
3.7. Detection Limit of Adulteration
3.8. Repeatability
3.9. Actual Sample Detection
4. Conclusions
Supplementary Materials
Author Contributions
Funding
Institutional Review Board Statement
Informed Consent Statement
Data Availability Statement
Conflicts of Interest
References
- Amalfitano, N.; Patel, N.; Haddi, M.-L.; Benabid, H.; Pazzola, M.; Vacca, G.M.; Tagliapietra, F.; Schiavon, S.; Bittante, G. Detailed mineral profile of milk, whey, and cheese from cows, buffaloes, goats, ewes and dromedary camels, and efficiency of recovery of minerals in their cheese. J. Dairy Sci. 2024. [Google Scholar] [CrossRef] [PubMed]
- Cimmino, F.; Catapano, A.; Villano, I.; Di Maio, G.; Petrella, L.; Traina, G.; Pizzella, A.; Tudisco, R.; Cavaliere, G. Invited review: Human, cow, and donkey milk comparison: Focus on metabolic effects. J. Dairy Sci. 2023, 106, 3072–3085. [Google Scholar] [CrossRef] [PubMed]
- Nayik, G.A.; Jagdale, Y.D.; Gaikwad, S.A.; Devkatte, A.N.; Dar, A.H.; Dezmirean, D.S.; Bobis, O.; Ranjha, M.M.A.N.; Ansari, M.J.; Hemeg, H.A.; et al. Recent insights into processing approaches and potential health benefits of goat milk and its products: A review. Front. Nutr. 2021, 8, 789117. [Google Scholar] [CrossRef]
- Sepe, L.; Argüello, A. Recent advances in dairy goat products. Asian-Australas. J. Anim. Sci. 2019, 32 (Suppl. 8), 1306. [Google Scholar] [CrossRef] [PubMed]
- Di Domenico, M.; Di Giuseppe, M.; Rodríguez, J.W.; Cammà, C. Validation of a fast real-time PCR method to detect fraud and mislabeling in milk and dairy products. J. Dairy Sci. 2017, 100, 106–112. [Google Scholar] [CrossRef] [PubMed]
- Zhang, J.; Wei, L.; Miao, J.; Yu, Y.; Yu, N.; Hu, Q.; Chen, H.; Chen, Y. Authenticity identification of animal species in characteristic milk by integration of shotgun proteomics and scheduled multiple reaction monitoring (MRM) based on tandem mass spectrometry. Food Chem. 2024, 436, 137736. [Google Scholar] [CrossRef]
- Windarsih, A.; Arifah, M.F.; Suratno; Rohman, A. The application of untargeted metabolomics using UHPLC-HRMS and chemometrics for authentication of horse milk adulterated with cow milk. Food Anal. Methods 2023, 16, 401–412. [Google Scholar] [CrossRef]
- Zhou, C.; Liu, L.; Chen, J.; Fu, Q.; Chen, Z.; Wang, J.; Sun, X.; Ai, L.; Xu, X.; Wang, J. Rapid authentication of characteristic milk powders by recombinase polymerase amplification assays. Food Chem. 2024, 443, 138540. [Google Scholar] [CrossRef]
- Bansal, S.; Singh, A.; Mangal, M.; Mangal, A.K.; Kumar, S. Food adulteration: Sources, health risks, and detection methods. Crit. Rev. Food Sci. Nutr. 2017, 57, 1174–1189. [Google Scholar] [CrossRef]
- Flynn, K.; Villarreal, B.P.; Barranco, A.; Belc, N.; Björnsdóttir, B.; Fusco, V.; Rainieri, S.; Smaradóttir, S.E.; Smeu, I.; Teixeira, P.; et al. An introduction to current food safety needs. Trends Food Sci. Technol. 2019, 84, 1–3. [Google Scholar] [CrossRef]
- Sobrino-Gregorio, L.; Vilanova, S.; Prohens, J.; Escriche, I. Detection of honey adulteration by conventional and real-time PCR. Food Control 2019, 95, 57–62. [Google Scholar] [CrossRef]
- Shabani, H.; Mehdizadeh, M.; Mousavi, S.M.; Dezfouli, E.A.; Solgi, T.; Khodaverdi, M.; Rabiei, M.; Rastegar, H.; Alebouyeh, M. Halal authenticity of gelatin using species-specific PCR. Food Chem. 2015, 184, 203–206. [Google Scholar] [CrossRef] [PubMed]
- Abdel-Rahman, S.; Ahmed, M. Rapid and sensitive identification of buffalo’s, cattle’s and sheep’s milk using species-specific PCR and PCR–RFLP techniques. Food Control 2007, 18, 1246–1249. [Google Scholar] [CrossRef]
- Yu, W.; Chen, Y.; Wang, Z.; Qiao, L.; Xie, R.; Zhang, J.; Bian, S.; Li, H.; Zhang, Y.; Chen, A. Multiple authentications of high-value milk by centrifugal microfluidic chip-based real-time fluorescent LAMP. Food Chem. 2021, 351, 129348. [Google Scholar] [CrossRef]
- Agrimonti, C.; Pirondini, A.; Marmiroli, M.; Marmiroli, N. A quadruplex PCR (qxPCR) assay for adulteration in dairy products. Food Chem. 2015, 187, 58–64. [Google Scholar] [CrossRef]
- Li, J.; Cheng, J.; Li, S.; Wu, J.J.; Li, J. Virtual Multiplexing Chamber-Based Digital PCR for Camel Milk Authentication Applications. Micromachines 2023, 14, 1619. [Google Scholar] [CrossRef]
- Mohamad, N.A.; El Sheikha, A.F.; Mustafa, S.; Mokhtar, N.F.K. Comparison of gene nature used in real-time PCR for porcine identification and quantification: A review. Food Res. Int. 2013, 50, 330–338. [Google Scholar] [CrossRef]
- Fajardo, V.; González, I.; Martín, I.; Rojas, M.; Hernández, P.E.; García, T.; Martín, R. Real-time PCR for detection and quantification of red deer (Cervus elaphus), fallow deer (Dama dama), and roe deer (Capreolus capreolus) in meat mixtures. Meat Sci. 2008, 79, 289–298. [Google Scholar] [CrossRef] [PubMed]
- Cottenet, G.; Blancpain, C.; Golay, P.-A. Simultaneous detection of cow and buffalo species in milk from China, India, and Pakistan using multiplex real-time PCR. J. Dairy Sci. 2011, 94, 3787–3793. [Google Scholar] [CrossRef]
- Sentandreu, M.; Sentandreu, E. Authenticity of meat products: Tools against fraud. Food Res. Int. 2014, 60, 19–29. [Google Scholar] [CrossRef]
- Hossain, M.M.; Ali, M.E.; Sultana, S.; Asing Bonny, S.Q.; Kader, M.A.; Rahman, M.A. Quantitative tetraplex real-time polymerase chain reaction assay with TaqMan probes discriminates cattle, buffalo, and porcine materials in food chain. J. Agric. Food Chem. 2017, 65, 3975–3985. [Google Scholar] [CrossRef] [PubMed]
- Guo, L.; Qian, J.-P.; Guo, Y.-S.; Hai, X.; Liu, G.-Q.; Luo, J.-X.; Ya, M. Simultaneous identification of bovine and equine DNA in milks and dairy products inferred from triplex TaqMan real-time PCR technique. J. Dairy Sci. 2018, 101, 6776–6786. [Google Scholar] [CrossRef] [PubMed]
- Dooley, J.J.; Paine, K.E.; Garrett, S.D.; Brown, H.M. Detection of meat species using TaqMan real-time PCR assays. Meat Sci. 2004, 68, 431–438. [Google Scholar] [CrossRef]
- Soares, S.; Amaral, J.S.; Oliveira, M.B.P.; Mafra, I. A SYBR Green real-time PCR assay to detect and quantify pork meat in processed poultry meat products. Meat Sci. 2013, 94, 115–120. [Google Scholar] [CrossRef] [PubMed]
- Deng, L.; Li, A.; Gao, Y.; Shen, T.; Yue, H.; Miao, J.; Li, R.; Yang, J. Detection of the bovine milk adulterated in camel, horse, and goat milk using duplex PCR. Food Anal. Methods 2020, 13, 560–567. [Google Scholar] [CrossRef]
- Giglioti, R.; Polli, H.; Azevedo, B.T.; Katiki, L.M.; Vercesi Filho, A.E. Detection and quantification of adulteration in milk and dairy products: A novel and sensitive qPCR-based method. Food Chem. Mol. Sci. 2022, 4, 100074. [Google Scholar] [CrossRef]
- Liao, J.; Liu, Y.; Yang, L.; Li, F.; Sheppard, A. Development of a rapid mitochondrial DNA extraction method for species identification in milk and milk products. J. Dairy Sci. 2017, 100, 7035–7040. [Google Scholar] [CrossRef]
- Sultana, S.; Hossain, M.M.; Azlan, A.; Johan, M.R.; Chowdhury, Z.Z.; Ali, E. TaqMan probe based multiplex quantitative PCR assay for determination of bovine, porcine and fish DNA in gelatin admixture, food products and dietary supplements. Food Chem. 2020, 325, 126756. [Google Scholar] [CrossRef]
- Rojas, M.; González, I.; Pavón, M.Á; Pegels, N.; Lago, A.; Hernández, P.E.; García, T.; Martín, R. Novel TaqMan real-time polymerase chain reaction assay for verifying the authenticity of meat and commercial meat products from game birds. Food Addit. Contam. Part A 2010, 27, 749–763. [Google Scholar] [CrossRef]
- Ali, M.E.; Hashim, U.; Mustafa, S.; Man, Y.B.C. Swine-specific PCR-RFLP assay targeting mitochondrial cytochrome b gene for semiquantitative detection of pork in commercial meat products. Food Anal. Methods 2012, 5, 613–623. [Google Scholar] [CrossRef]
- Kim, M.-J.; Kim, H.-Y. Development of a fast duplex real-time PCR assay for simultaneous detection of chicken and pigeon in raw and heat-treated meats. Food Control 2018, 85, 1–5. [Google Scholar] [CrossRef]
- Cheng, X.; He, W.; Huang, F.; Huang, M.; Zhou, G. Multiplex real-time PCR for the identification and quantification of DNA from duck, pig and chicken in Chinese blood curds. Food Res. Int. 2014, 60, 30–37. [Google Scholar] [CrossRef]
- Tichy, H.-V.; Bruhs, A.; Palisch, A. Development of real-time polymerase chain reaction systems for the detection of so-called “superfoods” chia and quinoa in commercial food products. J. Agric. Food Chem. 2020, 68, 14334–14342. [Google Scholar] [CrossRef] [PubMed]
- Iwobi, A.; Sebah, D.; Kraemer, I.; Losher, C.; Fischer, G.; Busch, U.; Huber, I. A multiplex real-time PCR method for the quantification of beef and pork fractions in minced meat. Food Chem. 2015, 169, 305–313. [Google Scholar] [CrossRef]
- Genis, D.O.; Bilge, G.; Sezer, B.; Durna, S.; Boyaci, I.H. Identification of cow, buffalo, goat and ewe milk species in fermented dairy products using synchronous fluorescence spectroscopy. Food Chem. 2019, 284, 60–66. [Google Scholar] [CrossRef]
- Agrimonti, C.; Bottari, B.; Sardaro, M.L.S.; Marmiroli, N. Application of real-time PCR (qPCR) for characterization of microbial populations and type of milk in dairy food products. Crit. Rev. Food Sci. Nutr. 2019, 59, 423–442. [Google Scholar] [CrossRef]





| Number | Target Species | Sequence (5′-3′) | Amplicon/bp |
|---|---|---|---|
| 1 | Cow | F: CCTAGCAATACACTACACATCCG R: TTGAAGCTCCGTTTGCGT cow-P: Texas Red-TCTGTTACCCATATCTGCCGAGACGTG-BHQ2 buffalo-P: FAM-CGTGAACTATGGATGAA-MGB yak-P: HEX-CTCCGTTGCCCATAT-MGB | 106 |
| 2 | Buffalo | ||
| 3 | Yak | ||
| 4 | Sheep | F: ATAGGCTATGTTTTACCATGAGGAC R: CATTCGACTAGGTTTGTGCCA sheep-P:CY5-TATTACCAACCTCCTTTC-MGB goat-P: Texas Red-ACAGTCATCACTAATCTTCTTTCAGCAATCCC-BHQ2 | 104 |
| 5 | Goat | ||
| 6 | Horse | F: AGACCCAGACAACTACACCCC R: TTGTTGGGAATGGAGCGTA horse-P: FAM-TACTTCCTGTTTGCCTAC-MGB donkey-P: HEX-TTCCTATTTGCTTACGCC-MGB | 108 |
| 7 | Donkey | ||
| 8 | Camel | F: ACAGGCTCTAATAACCCGACAG R: GGTGAGAACAGTACGAGAATAAGG camel-P:CY5- CTCCTCAGACATAGACA-MGB | 134 |
| Probe Dye | Multiplex 1 | Multiplex 2 |
|---|---|---|
| Texas Red | Cow | Goat |
| FAM | Buffalo | Horse |
| HEX | Donkey | Yak |
| CY5 | Camel | Sheep |
| Sample | Ct Value | ||||||||
|---|---|---|---|---|---|---|---|---|---|
| Positive Control | Cow | Buffalo | Yak | Goat | Sheep | Horse | Donkey | Camel | |
| Cow | 20.57 ± 0.21 | 20.63 ± 0.26 | - | - | - | - | - | - | - |
| Buffalo | 25.34 ± 0.46 | - | 25.35 ± 0.07 | - | - | - | - | - | - |
| Yak | 22.05 ± 0.02 | - | - | 22.06 ± 0.04 | - | - | - | - | - |
| Goat | 20.99 ± 0.37 | - | - | - | 20.53 ± 0.18 | - | - | - | - |
| Sheep | 20.73 ± 0.22 | - | - | - | - | 20.43 ± 0.13 | - | - | - |
| Horse | 23.20 ± 1.31 | - | - | - | - | - | 23.80 ± 0.10 | - | - |
| Donkey | 24.93 ± 0.24 | - | - | - | - | - | - | 24.64 ± 0.13 | - |
| Camel | 24.27 ± 0.00 | - | - | - | - | - | - | - | 24.33 ± 0.28 |
| Negative control | - | - | - | - | - | - | - | - | - |
| Blank control | - | - | - | - | - | - | - | - | - |
| DNA Concentration (ng) | Cow | Buffalo | Donkey | Camel | ||||||||||||
|---|---|---|---|---|---|---|---|---|---|---|---|---|---|---|---|---|
| Ct Value | Mean Ct Value | SD | RSD (%) | Ct Value | Mean Ct Value | SD | RSD (%) | Ct Value | Mean Ct Value | SD | RSD (%) | Ct Value | Mean Ct Value | SD | RSD (%) | |
| 20 | 21.741 | 21.961 | 0.262 | 1.19 | 22.807 | 22.755 | 0.070 | 0.31 | 21.268 | 21.760 | 0.402 | 1.85 | 21.597 | 21.517 | 0.178 | 0.83 |
| 21.813 | 22.801 | 22.253 | 21.683 | |||||||||||||
| 22.330 | 22.656 | 21.760 | 21.270 | |||||||||||||
| 4 | 24.148 | 24.345 | 0.149 | 0.61 | 24.441 | 24.365 | 0.062 | 0.25 | 24.007 | 23.953 | 0.103 | 0.43 | 24.007 | 24.045 | 0.031 | 0.13 |
| 24.375 | 24.363 | 24.044 | 24.044 | |||||||||||||
| 24.510 | 24.290 | 23.808 | 24.084 | |||||||||||||
| 0.8 | 27.015 | 27.045 | 0.048 | 0.18 | 26.394 | 26.185 | 0.148 | 0.57 | 26.282 | 26.371 | 0.086 | 0.33 | 26.371 | 26.332 | 0.037 | 0.14 |
| 27.113 | 26.070 | 26.487 | 26.282 | |||||||||||||
| 27.008 | 26.090 | 26.343 | 26.343 | |||||||||||||
| 0.16 | 29.176 | 29.232 | 0.150 | 0.51 | 29.452 | 29.384 | 0.048 | 0.16 | 28.228 | 28.612 | 0.322 | 1.12 | 28.612 | 28.607 | 0.009 | 0.03 |
| 29.083 | 29.351 | 28.594 | 28.594 | |||||||||||||
| 29.437 | 29.350 | 29.015 | 28.615 | |||||||||||||
| 0.032 | 31.139 | 31.289 | 0.182 | 0.58 | 32.115 | 32.089 | 0.063 | 0.20 | 30.114 | 30.612 | 0.385 | 1.26 | 30.612 | 30.632 | 0.027 | 0.09 |
| 31.183 | 32.002 | 30.669 | 30.614 | |||||||||||||
| 31.546 | 32.149 | 31.052 | 30.669 | |||||||||||||
| 0.0064 | 34.460 | 34.460 | 0.011 | 0.03 | 34.812 | 34.885 | 0.053 | 0.15 | 32.943 | 33.588 | 0.465 | 1.38 | 33.588 | 33.606 | 0.151 | 0.45 |
| 34.474 | 34.908 | 33.799 | 33.430 | |||||||||||||
| 34.447 | 34.935 | 34.022 | 33.799 | |||||||||||||
| 0.00128 | - | - | - | - | - | - | - | - | 36.536 | 36.526 | 0.356 | 0.98 | 37.026 | 36.732 | 0.455 | 1.24 |
| - | - | 36.090 | 37.080 | |||||||||||||
| - | - | 36.962 | 36.090 | |||||||||||||
| DNA Concentration (ng) | Yak | Goat | Sheep | Horse | ||||||||||||
| Ct Value | Mean Ct Value | SD | RSD (%) | Ct Value | Mean Ct Value | SD | RSD (%) | Ct Value | Mean Ct Value | SD | RSD (%) | Ct Value | Mean Ct Value | SD | RSD (%) | |
| 20 | 22.064 | 22.076 | 0.025 | 0.11 | 22.970 | 22.747 | 0.157 | 0.69 | 21.805 | 21.733 | 0.180 | 0.83 | 22.935 | 22.947 | 0.016 | 0.07 |
| 22.111 | 22.635 | 21.486 | 22.970 | |||||||||||||
| 22.054 | 22.635 | 21.908 | 22.935 | |||||||||||||
| 4 | 24.147 | 24.219 | 0.058 | 0.24 | 24.765 | 24.802 | 0.052 | 0.21 | 23.577 | 23.446 | 0.141 | 0.60 | 24.587 | 24.646 | 0.084 | 0.34 |
| 24.290 | 24.765 | 23.510 | 24.587 | |||||||||||||
| 24.219 | 24.876 | 23.250 | 24.765 | |||||||||||||
| 0.8 | 26.476 | 26.419 | 0.123 | 0.47 | 27.109 | 26.983 | 0.177 | 0.66 | 25.592 | 25.534 | 0.041 | 0.16 | 27.709 | 27.783 | 0.089 | 0.32 |
| 26.504 | 26.733 | 25.502 | 27.733 | |||||||||||||
| 26.278 | 27.109 | 25.507 | 27.909 | |||||||||||||
| 0.16 | 28.692 | 28.621 | 0.090 | 0.31 | 30.069 | 29.640 | 0.421 | 1.42 | 28.209 | 28.155 | 0.041 | 0.14 | 31.220 | 31.074 | 0.206 | 0.66 |
| 28.677 | 29.069 | 28.145 | 31.220 | |||||||||||||
| 28.494 | 29.783 | 28.111 | 30.783 | |||||||||||||
| 0.032 | 31.308 | 31.226 | 0.138 | 0.44 | 32.965 | 32.787 | 0.181 | 0.55 | 30.933 | 30.860 | 0.057 | 0.19 | 32.539 | 32.787 | 0.181 | 0.55 |
| 31.338 | 32.539 | 30.793 | 32.965 | |||||||||||||
| 31.031 | 32.856 | 30.854 | 32.856 | |||||||||||||
| 0.0064 | 33.725 | 33.611 | 0.191 | 0.57 | 35.175 | 34.842 | 0.471 | 1.35 | 33.197 | 33.334 | 0.270 | 0.81 | 35.475 | 35.342 | 0.125 | 0.35 |
| 33.766 | 34.175 | 33.711 | 35.175 | |||||||||||||
| 33.342 | 35.175 | 33.095 | 35.375 | |||||||||||||
| 0.00128 | 37.011 | 37.040 | 0.021 | 0.06 | 37.444 | 37.206 | 0.173 | 0.46 | 35.665 | 35.573 | 0.068 | 0.19 | 37.444 | 37.286 | 0.177 | 0.48 |
| 37.051 | 37.138 | 35.548 | 37.375 | |||||||||||||
| 37.060 | 37.038 | 35.505 | 37.038 | |||||||||||||
| Products | Spike Level (%) | Mean Ct Value | SD | RSD | ||
|---|---|---|---|---|---|---|
| Day 1 | Day 2 | Day 3 | ||||
| Cow | 90 | 20.130 | 19.200 | 19.270 | 0.518 | 2.651 |
| 50 | 20.110 | 20.210 | 20.210 | 0.058 | 0.286 | |
| 10 | 23.880 | 23.300 | 23.780 | 0.310 | 1.311 | |
| 5 | 24.070 | 24.040 | 24.380 | 0.188 | 0.779 | |
| 1 | 27.240 | 27.820 | 27.900 | 0.360 | 1.303 | |
| 0.5 | 28.560 | 28.430 | 29.630 | 0.659 | 2.281 | |
| 0.1 | 29.160 | 29.750 | 29.610 | 0.308 | 1.045 | |
| 0.01 | 32.180 | 32.690 | 31.550 | 0.571 | 1.777 | |
| Buffalo | 90 | 20.321 | 20.243 | 20.399 | 0.078 | 0.38 |
| 50 | 21.640 | 22.020 | 21.182 | 0.420 | 1.94 | |
| 10 | 22.321 | 22.785 | 21.228 | 0.799 | 3.62 | |
| 5 | 21.621 | 22.699 | 22.042 | 0.543 | 2.46 | |
| 1 | 24.597 | 24.656 | 24.626 | 0.030 | 0.12 | |
| 0.5 | 33.948 | 34.363 | 33.534 | 0.415 | 1.22 | |
| 0.1 | - | - | - | - | - | |
| 0.01 | - | - | - | - | - | |
| Donkey | 90 | 22.647 | 22.305 | 22.990 | 0.343 | 1.51 |
| 50 | 23.158 | 22.691 | 23.492 | 0.402 | 1.74 | |
| 10 | 31.946 | 31.975 | 31.917 | 0.029 | 0.09 | |
| 5 | 35.530 | 35.628 | 35.727 | 0.099 | 0.28 | |
| 1 | - | - | - | - | - | |
| 0.5 | - | - | - | - | - | |
| 0.1 | - | - | - | - | - | |
| 0.01 | - | - | - | - | - | |
| Camel | 90 | 24.690 | 23.980 | 23.780 | 0.478 | 1.980 |
| 50 | 23.182 | 23.182 | 23.414 | 0.134 | 0.576 | |
| 10 | 23.411 | 23.865 | 23.700 | 0.230 | 0.972 | |
| 5 | 24.691 | 25.041 | 24.340 | 0.350 | 1.419 | |
| 1 | 25.492 | 26.433 | 25.749 | 0.487 | 1.879 | |
| 0.5 | 27.090 | 27.029 | 26.400 | 0.382 | 1.423 | |
| 0.1 | 32.862 | 31.507 | 32.469 | 0.697 | 2.160 | |
| 0.01 | 34.568 | 34.499 | 34.636 | 0.068 | 0.198 | |
| Yak | 90 | 22.243 | 21.545 | 21.894 | 0.349 | 1.596 |
| 50 | 22.755 | 22.849 | 22.427 | 0.221 | 0.976 | |
| 10 | 24.289 | 24.134 | 24.218 | 0.078 | 0.321 | |
| 5 | 26.187 | 26.990 | 26.463 | 0.408 | 1.536 | |
| 1 | 27.150 | 26.674 | 26.536 | 0.322 | 1.202 | |
| 0.5 | 27.439 | 27.370 | 27.765 | 0.211 | 0.766 | |
| 0.1 | 28.253 | 28.043 | 28.083 | 0.112 | 0.397 | |
| 0.01 | 29.619 | 29.945 | 29.058 | 0.449 | 1.520 | |
| Goat | 90 | 18.746 | 18.434 | 18.407 | 0.189 | 1.018 |
| 50 | 19.977 | 19.962 | 19.839 | 0.076 | 0.381 | |
| 10 | 22.611 | 23.038 | 22.706 | 0.458 | 1.981 | |
| 5 | 23.665 | 23.764 | 23.841 | 0.590 | 2.555 | |
| 1 | 25.814 | 24.607 | 24.576 | 0.706 | 2.822 | |
| 0.5 | 26.661 | 26.016 | 25.801 | 0.488 | 1.711 | |
| 0.1 | 27.099 | 26.363 | 26.207 | 0.476 | 1.793 | |
| 0.01 | 29.826 | 29.508 | 29.865 | 0.196 | 0.659 | |
| Sheep | 90 | 19.493 | 19.694 | 19.413 | 0.145 | 0.741 |
| 50 | 21.906 | 21.277 | 21.159 | 0.401 | 1.872 | |
| 10 | 21.634 | 21.758 | 20.557 | 0.661 | 3.099 | |
| 5 | 24.486 | 23.445 | 23.238 | 0.669 | 2.821 | |
| 1 | 26.217 | 26.103 | 26.228 | 0.069 | 0.264 | |
| 0.5 | 24.486 | 24.330 | 24.521 | 0.102 | 0.416 | |
| 0.1 | 27.289 | 27.335 | 27.310 | 0.023 | 0.085 | |
| 0.01 | 26.834 | 27.234 | 27.040 | 0.200 | 0.740 | |
| Horse | 90 | 22.443 | 22.424 | 22.521 | 0.052 | 0.230 |
| 50 | 23.258 | 23.132 | 23.279 | 0.080 | 0.343 | |
| 10 | 25.202 | 25.816 | 25.365 | 0.318 | 1.249 | |
| 5 | 26.116 | 25.607 | 26.126 | 0.297 | 1.144 | |
| 1 | 27.776 | 28.281 | 27.865 | 0.269 | 0.963 | |
| 0.5 | 33.321 | 33.803 | 33.517 | 0.242 | 0.722 | |
| 0.1 | - | - | - | - | - | |
| 0.01 | - | - | - | - | - | |
| DNA Concentration/ng/μL | Cow | Buffalo | Donkey | Camel | ||||
|---|---|---|---|---|---|---|---|---|
| Mean ± SD | RSD/% | Mean ± SD | RSD/% | Mean ± SD | RSD/% | Mean ± SD | RSD/% | |
| 4 | 24.149 ± 0.514 | 2.129 | 24.441 ± 0.821 | 3.357 | 25.461 ± 0.404 | 1.586 | 23.953 ± 0.127 | 0.528 |
| 0.8 | 24.441 ± 0.821 | 3.357 | 26.394 ± 1.373 | 5.201 | 28.519 ± 0.144 | 0.506 | 26.371 ± 0.105 | 0.399 |
| 0.16 | 29.466 ± 0.305 | 1.034 | 29.452 ± 0.653 | 2.217 | 31.762 ± 0.299 | 0.941 | 28.612 ± 0.394 | 1.377 |
| 0.032 | 32.139 ± 0.572 | 1.780 | 32.449 ± 0.830 | 2.559 | 33.337 ± 0.996 | 2.989 | 30.612 ± 0.472 | 1.541 |
| DNA Concentration/ng/μL | Yak | Goat | Sheep | Horse | ||||
| Mean ± SD | RSD/% | Mean ± SD | RSD/% | Mean ± SD | RSD/% | Mean ± SD | RSD/% | |
| 4 | 24.147 ± 0.078 | 0.325 | 26.809 ± 0.269 | 1.005 | 23.557 ± 0.364 | 1.545 | 24.507 ± 0.176 | 0.718 |
| 0.8 | 26.476 ± 0.214 | 0.810 | 31.024 ± 0.222 | 0.714 | 25.592 ± 0.151 | 0.592 | 28.079 ± 0.066 | 0.236 |
| 0.16 | 28.692 ± 0.173 | 0.601 | 33.787 ± 0.221 | 0.655 | 28.209 ± 0.141 | 0.498 | 32.623 ± 0.069 | 0.212 |
| 0.032 | 31.308 ± 0.263 | 0.841 | 35.238 ± 0.063 | 0.178 | 30.933 ± 0.192 | 0.620 | 36.434 ± 0.399 | 1.094 |
| DNA Concentration/ng/μL | Cow | Buffalo | Donkey | Camel | ||||
|---|---|---|---|---|---|---|---|---|
| Mean ± SD | RSD/% | Mean ± SD | RSD/% | Mean ± SD | RSD/% | Mean ± SD | RSD/% | |
| 4 | 23.899 ± 0.724 | 3.031 | 24.338 ± 0.252 | 1.035 | 26.201 ± 0.346 | 1.322 | 23.335 ± 0.287 | 1.230 |
| 0.8 | 27.011 ± 0.116 | 0.430 | 27.036 ± 0.296 | 1.095 | 28.516 ± 0.587 | 2.058 | 26.493 ± 0.505 | 1.905 |
| 0.16 | 29.411 ± 0.328 | 1.115 | 29.864 ± 0.588 | 1.967 | 31.881 ± 0.526 | 1.651 | 28.762 ± 0.615 | 2.137 |
| 0.032 | 31.487 ± 0.237 | 0.752 | 32.038 ± 0.105 | 0.327 | 34.073 ± 0.188 | 0.553 | 31.143 ± 0.127 | 0.407 |
| DNA Concentration/ng/μL | Yak | Goat | Sheep | Horse | ||||
| Mean ± SD | RSD/% | Mean ± SD | RSD/% | Mean ± SD | RSD/% | Mean ± SD | RSD/% | |
| 4 | 24.142 ± 0.153 | 0.634 | 26.459 ± 0.179 | 0.677 | 23.535 ± 0.332 | 1.410 | 24.247 ± 0.185 | 0.761 |
| 0.8 | 26.489 ± 0.526 | 1.986 | 29.956 ± 0.259 | 0.863 | 25.309 ± 0.440 | 1.739 | 28.254 ± 0.306 | 1.082 |
| 0.16 | 28.767 ± 0.450 | 1.564 | 33.276 ± 0.005 | 0.014 | 28.438 ± 0.180 | 0.633 | 32.433 ± 1.008 | 3.107 |
| 0.032 | 31.577 ± 0.445 | 1.410 | 35.742 ± 0.074 | 0.208 | 31.299 ± 0.512 | 1.637 | 36.423 ± 0.219 | 0.601 |
| Number | Milk Source | Milk Source Identification | Detection of Milk Source | Ct Value | ||
|---|---|---|---|---|---|---|
| Milk Source | Cow | Goat | ||||
| 1 | Buffalo | Raw buffalo milk | buffalo | 22.68 | ||
| 2 | Pure buffalo milk powder | cow | 23.10 | |||
| 3 | Pure buffalo milk | cow | 20.74 | |||
| 4 | Pure buffalo milk | buffalo | 24.09 | |||
| 5 | Pure buffalo milk | cow | 25.2 | |||
| 6 | Pure buffalo milk | cow | 18.3 | |||
| 7 | Pure buffalo milk | buffalo | 18.9 | |||
| 8 | Yak | Full-fat yak milk | cow, goat | 18.33 | 27.00 | |
| 9 | Full-fat yak milk | cow, goat | 20.61 | 26.67 | ||
| 10 | Full-fat yak milk | yak | 22.86 | |||
| 11 | Full-fat yak milk | yak | 19.81 | |||
| 12 | Full-fat yak milk | cow, goat | 20.50 | 28.34 | ||
| 13 | Pure milk | cow, goat | 22.63 | 28.32 | ||
| 14 | Organic pure milk | yak | 23.52 | |||
| 15 | Full-fat yak milk powder | cow, goat | 18.32 | 30.80 | ||
| 16 | Pure yak milk powder | yak | 23.38 | |||
| 17 | Pure yak milk powder | yak, cow, goat | 23.26 | 20.07 | 28.97 | |
| 18 | Pure yak milk powder | yak, cow, goat | 23.38 | 19.60 | 28.11 | |
| 19 | Pure yak milk powder | yak, cow, goat | 22.72 | 20.05 | 28.27 | |
| 20 | Pure milk | yak | 25.66 | |||
| 21 | Pure milk | yak | 18.70 | |||
| 22 | Pure milk | yak | 24.88 | |||
| 23 | Goat | Goat milk powder | goat, cow | 25.52 | 25.08 | |
| 24 | Full-fat goat milk | goat, cow | 25.66 | 19.99 | ||
| 25 | Pure goat powder | goat | 20.68 | |||
| 26 | Pasteurized goat milk | goat | 18.99 | |||
| 27 | Pasteurized goat milk | goat | 17.30 | |||
| 28 | Pasteurized goat milk | goat | 21.81 | |||
| 29 | Pure goat powder | goat | 18.71 | |||
| 30 | Pure goat powder | goat | 18.87 | |||
| 31 | Sheep | Full-fat goat milk powder | sheep | 22.18 | ||
| 32 | Full-fat goat milk powder | sheep | 23.29 | |||
| 33 | Pasteurized sheep milk | sheep | 23.43 | |||
| 34 | Pasteurized sheep milk | sheep, cow | 25.43 | 21.86 | ||
| 35 | Horse | Horse milk wine | horse | 31.53 | ||
| 36 | Horse milk wine | horse | 24.14 | |||
| 37 | Sour horse milk | horse | 24.77 | |||
| 38 | Sour horse milk | horse | 24.52 | |||
| 39 | Sour horse milk | horse | 25.72 | |||
| 40 | Sour horse milk | horse | 26.02 | |||
| 41 | Donkey | Fresh donkey milk | cow | 19.96 | ||
| 42 | Whole milk powder | cow | 19.76 | |||
| 43 | Whole milk powder | donkey | 24.83 | |||
| 44 | Whole milk powder | cow | 19.43 | |||
| 45 | Fresh donkey milk | donkey | 28.32 | |||
| 46 | Whole milk powder | donkey | 25.18 | |||
| 47 | Camel | Pure camel milk | camel | 25.04 | ||
| 48 | Fresh camel milk | camel | 22.69 | |||
| 49 | Pure camel milk | camel | 20.42 | |||
| 50 | Whole milk powder | camel | 23.01 | |||
| 51 | Whole milk powder | camel | 21.24 | |||
| 52 | Sterilized camel milk | camel | 21.91 | |||
| 53 | Pure camel powder | camel | 23.99 | |||
| 54 | Pure camel powder | camel | 22.22 | |||
Disclaimer/Publisher’s Note: The statements, opinions and data contained in all publications are solely those of the individual author(s) and contributor(s) and not of MDPI and/or the editor(s). MDPI and/or the editor(s) disclaim responsibility for any injury to people or property resulting from any ideas, methods, instructions or products referred to in the content. |
© 2024 by the authors. Licensee MDPI, Basel, Switzerland. This article is an open access article distributed under the terms and conditions of the Creative Commons Attribution (CC BY) license (https://creativecommons.org/licenses/by/4.0/).
Share and Cite
Su, Y.; Meng, L.; Wang, J.; Zhao, Y.; Zheng, N. Simultaneous Detection of Eight Dairy-Derived Components Using Double-Tube Multiplex qPCR Based TaqMan Probe. Foods 2024, 13, 3213. https://doi.org/10.3390/foods13203213
Su Y, Meng L, Wang J, Zhao Y, Zheng N. Simultaneous Detection of Eight Dairy-Derived Components Using Double-Tube Multiplex qPCR Based TaqMan Probe. Foods. 2024; 13(20):3213. https://doi.org/10.3390/foods13203213
Chicago/Turabian StyleSu, Yingying, Lu Meng, Jiaqi Wang, Yankun Zhao, and Nan Zheng. 2024. "Simultaneous Detection of Eight Dairy-Derived Components Using Double-Tube Multiplex qPCR Based TaqMan Probe" Foods 13, no. 20: 3213. https://doi.org/10.3390/foods13203213
APA StyleSu, Y., Meng, L., Wang, J., Zhao, Y., & Zheng, N. (2024). Simultaneous Detection of Eight Dairy-Derived Components Using Double-Tube Multiplex qPCR Based TaqMan Probe. Foods, 13(20), 3213. https://doi.org/10.3390/foods13203213

