Antistress Effects of Terpinen-4-ol and Compounds of Mimicked Yuzu Synthetic Fragrance in Humans and Mice
Abstract
1. Introduction
2. Materials and Methods
2.1. Stimuli
2.1.1. Extract Natural Essential Oils from Yuzus
2.1.2. GC/MS Analysis
2.1.3. Synthetic Yuzu Fragrances and Single Compounds
2.2. Experiment 1: Antistress Effect of Fragrance under Mental Stress Load with Human Participants
2.2.1. Participants
2.2.2. CgA Concentration
2.2.3. Heart Rate
2.2.4. Procedure
2.3. Experiment 2: Forced Swim Test Using Synthetic Fragrances and Gene Expression Measurement in Mice
2.3.1. Animals
2.3.2. Forced Swim Test
2.3.3. Procedure
2.3.4. Measurement of Gene Expression
2.4. Experiment 3: Forced Swim Test in Mice Exposed to a Single Compound
2.4.1. Animals
2.4.2. Procedure
3. Results
3.1. Experiment 1: Antistress Effect of Fragrance under Mental Stress Load with Human Participants
3.2. Experiment 2: Forced Swim Test Exposed to Synthetic Fragrances and Gene Expression Measurement in Mice
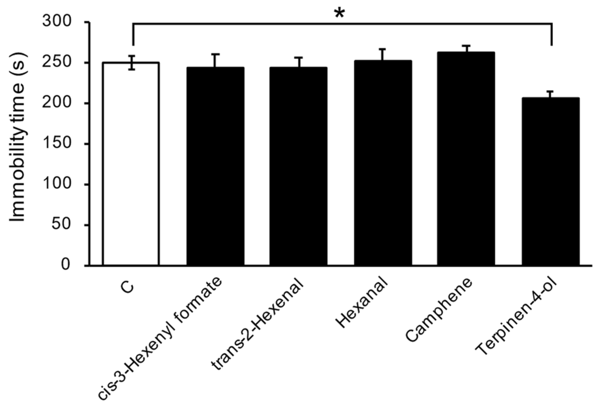
3.3. Experiment 3: Forced Swim Test in Mice Exposed to a Single Compound
4. Discussion
Supplementary Materials
Author Contributions
Funding
Institutional Review Board Statement
Informed Consent Statement
Data Availability Statement
Acknowledgments
Conflicts of Interest
Abbreviations
| CgA | Chromogranin A |
| HR | Heart rate |
| GC/MS | Gas chromatography–mass spectrometry |
| CP | Synthetic fragrances mimicked cold-pressed oil |
| SD | Synthetic fragrances mimicked steam-distilled oil |
| BDNF | Primers specific for mouse brain-derived neurotrophic factor |
| NGF | Nerve growth factor |
| NT-3 | Neurotrophin-3 |
References
- Pickering, T.G. Mental Stress as a Causal Factor in the Development of Hypertension and Cardiovascular Disease. Curr. Sci. Inc. 2001, 3, 249–254. [Google Scholar] [CrossRef]
- Kang, D.; Zhao, D.; Ryu, S.; Guallar, E.; Cho, J.; Lazo, M.; Shin, H.; Chang, Y.; Sung, E. Perceived Stress and Non-Alcoholic Fatty Liver Disease in Apparently Healthy Men and Women. Sci. Rep. 2020, 10, 38. [Google Scholar] [CrossRef] [PubMed]
- Depressive Disorder (Depression). Available online: https://www.who.int/news-room/fact-sheets/detail/depression (accessed on 11 June 2024).
- Dos-Santos, R.C.; Sweeten, B.L.W.; Stelly, C.E.; Tasker, J.G. The Neuroendocrine Impact of Acute Stress on Synaptic Plasticity. Endocrinology 2023, 164, bqad149. [Google Scholar] [CrossRef] [PubMed]
- Ali, B.; Al-Wabel, N.A.; Shams, S.; Ahamad, A.; Khan, S.A.; Anwar, F. Essential Oils Used in Aromatherapy: A Systemic Review. Asian Pac. J. Trop. Biomed. 2015, 5, 601–611. [Google Scholar] [CrossRef]
- Lo, C.-M.; Han, J.; Wong, E.S.W. Chemistry in Aromatherapy—Extraction and Analysis of Essential Oils from Plants of Chamomilla Recutita, Cymbopogon Nardus, Jasminum Officinale and Pelargonium Graveolens. Biomed. Pharmacol. J. 2020, 13, 1339–1350. [Google Scholar] [CrossRef]
- Europe Embraces the Japanese Citron: One Village’s “Yuzu” Crusade. Available online: https://www.nippon.com/en/views/b06005/ (accessed on 8 July 2024).
- YUZU|Highlighted Japanese Ingredients—Japanese Agriculture, Forestry, Fisheries and Food—Japan External Trade Organization. Available online: https://www.jetro.go.jp/en/trends/foods/ingredients/yuzu.html (accessed on 8 July 2024).
- Matsumoto, T.; Asakura, H.; Hayashi, T. Effects of Olfactory Stimulation from the Fragrance of the Japanese Citrus Fruit Yuzu (Citrus junos Sieb. ex Tanaka) on Mood States and Salivary Chromogranin A as an Endocrinologic Stress Marker. J. Altern. Complement. Med. 2014, 20, 500–506. [Google Scholar] [CrossRef]
- Ohata, M.; Zhou, L.; Ando, S.; Kaneko, S.; Osada, K.; Yada, Y. Application of Integrative Physiological Approach to Evaluate Human Physiological Responses to the Inhalation of Essential Oils of Japanese Citrus Fruits Iyokan (Citrus iyo) and Yuzu (Citrus junos). Biosci. Biotechnol. Biochem. 2022, 86, 109–116. [Google Scholar] [CrossRef] [PubMed]
- Naqvi, S.R.A.; Shahid, H.; Zahoor, A.F.; Saeed, M.; Usman, M.; Abbas, A.; Rasheed, M.U.; Hussain, T. Classical Methods for Obtaining Essential Oils. In Essential Oils; John Wiley & Sons, Ltd.: Hoboken, NJ, USA, 2023; pp. 565–582. ISBN 978-1-119-82961-4. [Google Scholar]
- Ferhat, M.A.; Meklati, B.Y.; Chemat, F. Comparison of Different Isolation Methods of Essential Oil from Citrus Fruits: Cold Pressing, Hydrodistillation and Microwave ‘Dry’ Distillation. Flavour. Fragr. J. 2007, 22, 494–504. [Google Scholar] [CrossRef]
- Phi, N.T.L.; Nishiyama, C.; Choi, H.-S.; Sawamura, M. Evaluation of Characteristic Aroma Compounds of Citrus Natsudaidai Hayata (Natsudaidai) Cold-Pressed Peel Oil. Biosci. Biotechnol. Biochem. 2006, 70, 1832–1838. [Google Scholar] [CrossRef]
- Nagasawa, S.; Nishikawa, Y.; Li, J.; Futai, Y.; Kanno, T.; Iguchi, K.; Mochizuki, T.; Hoshino, M.; Yanaihara, C.; Yanaihara, N. Simple Enzyme Immunoassay for the Measurement of Immunoreactive Chromogranin A in Human Plasma, Urine and Saliva. Biomed. Res. 1998, 19, 407–410. [Google Scholar] [CrossRef][Green Version]
- Nishikawa, Y.; Li, J.; Futai, Y.; Yanaihara, N.; Iguch, K.; Mochizuki, T.; Hoshino, M.; Yanaihara, C. Region-Specific Radioimmunoassay for Human Chromogranin A. Biomed. Res. 1998, 19, 245–251. [Google Scholar] [CrossRef]
- Nomura, S.; Mizuno, T.; Nozawa, A.; Asano, H.; Ide, H. Characteristics of Salivary Chromogranin A as a Short-Term Mental Stress Biomarker. Trans. Jpn. Soc. Med. Biol. Eng. 2010, 48, 207–212. [Google Scholar] [CrossRef]
- Ikei, H.; Song, C.; Miyazaki, Y. Physiological Effects of Touching Coated Wood. Int. J. Environ. Res. Public. Health 2017, 14, 773. [Google Scholar] [CrossRef] [PubMed]
- Tetsuo, S. The Autonomic Function around the Clock. Trans. Jpn. Soc. Med. Biol. Eng. 2008, 46, 154–159. [Google Scholar] [CrossRef]
- Kitamoto, T.; Kosuge, T.; Suzuki, Y.; Ohba, T.; Endo, E.; Miyagawa, K.; Hidaka, M.; Hasegawa, H.; Kasuga, M. Effects of Ginger Aroma under Stress Conditions: A Biometric Perspective. In Proceedings of the International Forum on Medical Imaging in Asia, Singapore, 27 March 2019; SPIE, the International Society for Optics and Photonics: Bellingham, WA, USA, 2019; Volume 11050, p. 110500J. [Google Scholar]
- Nogimura, D.; Mizushige, T.; Taga, Y.; Nagai, A.; Shoji, S.; Azuma, N.; Kusubata, M.; Adachi, S.; Yoshizawa, F.; Kabuyama, Y. Prolyl-Hydroxyproline, a Collagen-Derived Dipeptide, Enhances Hippocampal Cell Proliferation, Which Leads to Antidepressant-like Effects in Mice. FASEB J. 2020, 34, 5715–5723. [Google Scholar] [CrossRef]
- Porsolt, R.D.; Le Pichon, M.; Jalfre, M. Depression: A New Animal Model Sensitive to Antidepressant Treatments. Nature 1977, 266, 730–732. [Google Scholar] [CrossRef]
- Loughlin, R.; Gilmore, B.F.; McCarron, P.A.; Tunney, M.M. Comparison of the Cidal Activity of Tea Tree Oil and Terpinen-4-Ol against Clinical Bacterial Skin Isolates and Human Fibroblast Cells. Lett. Appl. Microbiol. 2008, 46, 428–433. [Google Scholar] [CrossRef]
- Mondello, F.; De Bernardis, F.; Girolamo, A.; Cassone, A.; Salvatore, G. In Vivo Activity of Terpinen-4-Ol, the Main Bioactive Component of Melaleuca Alternifolia Cheel (Tea Tree) Oil against Azole-Susceptible and -Resistant Human Pathogenic Candida Species. BMC Infect. Dis. 2006, 6, 158. [Google Scholar] [CrossRef]
- Prerna, P.; Chadha, J.; Khullar, L.; Mudgil, U.; Harjai, K. A Comprehensive Review on the Pharmacological Prospects of Terpinen-4-Ol: From Nature to Medicine and Beyond. Fitoterapia 2024, 176, 106051. [Google Scholar] [CrossRef]
- Abbasi-Maleki, S.; Kadkhoda, Z.; Taghizad-Farid, R. The Antidepressant-like Effects of Origanum Majorana Essential Oil on Mice through Monoaminergic Modulation Using the Forced Swimming Test. J. Tradit. Complement. Med. 2019, 10, 327–335. [Google Scholar] [CrossRef]
- Sugawara, Y.; Hara, C.; Tamura, K.; Fujii, T.; Nakamura, K.; Masujima, T.; Aoki, T. Sedative Effect on Humans of Inhalation of Essential Oil of Linalool: Sensory Evaluation and Physiological Measurements Using Optically Active Linalools. Anal. Chim. Acta 1998, 365, 293–299. [Google Scholar] [CrossRef]
- Zhang, L.-L.; Yang, Z.-Y.; Fan, G.; Ren, J.-N.; Yin, K.-J.; Pan, S.-Y. Antidepressant-like Effect of Citrus sinensis (L.) Osbeck Essential Oil and Its Main Component Limonene on Mice. J. Agric. Food Chem. 2019, 67, 13817–13828. [Google Scholar] [CrossRef] [PubMed]
- Ueno, H.; Shimada, A.; Suemitsu, S.; Murakami, S.; Kitamura, N.; Wani, K.; Takahashi, Y.; Matsumoto, Y.; Okamoto, M.; Ishihara, T. Hexanal Inhalation Affects Cognition and Anxiety-like Behavior in Mice. Z. Naturforsch C J. Biosci. 2020, 75, 409–415. [Google Scholar] [CrossRef] [PubMed]
- Nakatomi, Y.; Yokoyama, C.; Kinoshita, S.; Masaki, D.; Tsuchida, H.; Onoe, H.; Yoshimoto, K.; Fukui, K. Serotonergic Mediation of the Antidepressant-like Effect of the Green Leaves Odor in Mice. Neurosci. Lett. 2008, 436, 167–170. [Google Scholar] [CrossRef] [PubMed]
- Maisonpierre, P.C.; Belluscio, L.; Friedman, B.; Alderson, R.F.; Wiegand, S.J.; Furth, M.E.; Lindsay, R.M.; Yancopoulos, G.D. NT-3, BDNF, and NGF in the Developing Rat Nervous System: Parallel as Well as Reciprocal Patterns of Expression. Neuron 1990, 5, 501–509. [Google Scholar] [CrossRef]
- Tzeng, W.-Y.; Chuang, J.-Y.; Lin, L.-C.; Cherng, C.G.; Lin, K.-Y.; Chen, L.-H.; Su, C.-C.; Yu, L. Companions Reverse Stressor-Induced Decreases in Neurogenesis and Cocaine Conditioning Possibly by Restoring BDNF and NGF Levels in Dentate Gyrus. Psychoneuroendocrinology 2013, 38, 425–437. [Google Scholar] [CrossRef]
- Hashimoto, K.; Shimizu, E.; Iyo, M. Critical Role of Brain-Derived Neurotrophic Factor in Mood Disorders. Brain Res. Rev. 2004, 45, 104–114. [Google Scholar] [CrossRef]
- Hung, Y.-Y.; Huang, Y.-L.; Chang, C.; Kang, H.-Y. Deficiency in Androgen Receptor Aggravates the Depressive-Like Behaviors in Chronic Mild Stress Model of Depression. Cells 2019, 8, 1021. [Google Scholar] [CrossRef]
- Xian, Y.-F.; Ip, S.-P.; Li, H.-Q.; Qu, C.; Su, Z.-R.; Chen, J.-N.; Lin, Z.-X. Isorhynchophylline Exerts Antidepressant-like Effects in Mice via Modulating Neuroinflammation and Neurotrophins: Involvement of the PI3K/Akt/GSK-3β Signaling Pathway. FASEB J. 2019, 33, 10393–10408. [Google Scholar] [CrossRef]
- Furukawa-Hibi, Y.; Nitta, A.; Ikeda, T.; Morishita, K.; Liu, W.; Ibi, D.; Alkam, T.; Nabeshima, T.; Yamada, K. The Hydrophobic Dipeptide Leu–Ile Inhibits Immobility Induced by Repeated Forced Swimming via the Induction of BDNF. Behav. Brain Res. 2011, 220, 271–280. [Google Scholar] [CrossRef]
- Deltheil, T.; Guiard, B.P.; Cerdan, J.; David, D.J.; Tanaka, K.F.; Repérant, C.; Guilloux, J.-P.; Coudoré, F.; Hen, R.; Gardier, A.M. Behavioral and Serotonergic Consequences of Decreasing or Increasing Hippocampus Brain-Derived Neurotrophic Factor Protein Levels in Mice. Neuropharmacology 2008, 55, 1006–1014. [Google Scholar] [CrossRef] [PubMed]
- Vicario-Abejón, C.; Collin, C.; McKay, R.D.G.; Segal, M. Neurotrophins Induce Formation of Functional Excitatory and Inhibitory Synapses between Cultured Hippocampal Neurons. J. Neurosci. 1998, 18, 7256–7271. [Google Scholar] [CrossRef] [PubMed]
- Vicario-Abejón, C.; Collin, C.; Tsoulfas, P.; McKay, R.D.G. Hippocampal Stem Cells Differentiate into Excitatory and Inhibitory Neurons. Eur. J. Neurosci. 2000, 12, 677–688. [Google Scholar] [CrossRef] [PubMed]





| Compounds | CAS RN® | Content Rate (Volume %) | |
|---|---|---|---|
| CP | SD | ||
| Limonene | 5989-27-5 | 53.400 | 53.300 |
| γ-Terpinene | 99-85-4 | 27.200 | 14.500 |
| p-Cymene | 99-87-6 | 2.500 | 11.500 |
| ß-Myrcene | 123-35-3 | 2.700 | 6.800 |
| α-Pinene | 80-56-8 | 6.200 | 6.300 |
| Linalool | 78-70-6 | 1.400 | 2.200 |
| ß-Pinene | 19870-74-7 | 2.400 | 1.100 |
| Terpinolene | 586-62-9 | 0.500 | 0.500 |
| ß-Ocimene | 13877-91-3 | 0.500 | 0.400 |
| Terpinen-4-ol | 562-74-3 | N.D. | 0.200 |
| α-Terpineol | 98-55-5 | 0.050 | 0.050 |
| Hexanal | 66-25-1 | N.D. | 0.040 |
| trans-2-Hexenal | 6728-26-3 | N.D. | 0.020 |
| Camphene | 79-92-5 | N.D. | 0.010 |
| cis-3-Hexenyl formate | 33467-73-1 | N.D. | 0.001 |
| Octanal | 124-13-0 | 0.007 | N.D. |
| Thymol | 89-83-8 | 0.060 | N.D. |
| trans-ß-Farnesene | 18794-84-8 | 0.005 | N.D. |
| Ethyl Acetate | 141-78-6 | 0.010 | N.D. |
| Dipropylene Glycol | 25265-71-8 | 3.068 | 3.079 |
| Genes | Sequences | Product Size (bp) | NCBI ID | |
|---|---|---|---|---|
| Neurotrophic factor | ||||
| BDNF | sense | TCAGTTGGCCTTTGGATACC | 85 | NM_007540 |
| antisense | GCGGCAGATAAAAAGACTGC | |||
| NGF | sense | CAGGCAGAACCGTACACAGA | 91 | NM_013609 |
| antisense | CTGTGTCAAGGGAATGCTGA | |||
| NT-3 | sense | TGCCGGAAGACTCTCTCAAT | 87 | NM_001164034 |
| antisense | CATCCACCATCTGTTTGGAA | |||
| Housekeeping gene | ||||
| β-actin | sense | TGCTTCTAGGCGGACTGTTACTG | 68 | NM_007393 |
| antisense | CTGCGCAAGTTAGGTTTTGTCA |
Disclaimer/Publisher’s Note: The statements, opinions and data contained in all publications are solely those of the individual author(s) and contributor(s) and not of MDPI and/or the editor(s). MDPI and/or the editor(s) disclaim responsibility for any injury to people or property resulting from any ideas, methods, instructions or products referred to in the content. |
© 2024 by the authors. Licensee MDPI, Basel, Switzerland. This article is an open access article distributed under the terms and conditions of the Creative Commons Attribution (CC BY) license (https://creativecommons.org/licenses/by/4.0/).
Share and Cite
Kitamoto, T.; Mizushige, T.; Xie, X.; Uematsu, T.; Ogura, R.; Sato, K.; Yamazaki, Y.; Matsushita, T.; Hasegawa, H. Antistress Effects of Terpinen-4-ol and Compounds of Mimicked Yuzu Synthetic Fragrance in Humans and Mice. Foods 2024, 13, 3051. https://doi.org/10.3390/foods13193051
Kitamoto T, Mizushige T, Xie X, Uematsu T, Ogura R, Sato K, Yamazaki Y, Matsushita T, Hasegawa H. Antistress Effects of Terpinen-4-ol and Compounds of Mimicked Yuzu Synthetic Fragrance in Humans and Mice. Foods. 2024; 13(19):3051. https://doi.org/10.3390/foods13193051
Chicago/Turabian StyleKitamoto, Takuma, Takafumi Mizushige, Xiaonan Xie, Taisei Uematsu, Risako Ogura, Kakeru Sato, Yuki Yamazaki, Tsubasa Matsushita, and Hiroshi Hasegawa. 2024. "Antistress Effects of Terpinen-4-ol and Compounds of Mimicked Yuzu Synthetic Fragrance in Humans and Mice" Foods 13, no. 19: 3051. https://doi.org/10.3390/foods13193051
APA StyleKitamoto, T., Mizushige, T., Xie, X., Uematsu, T., Ogura, R., Sato, K., Yamazaki, Y., Matsushita, T., & Hasegawa, H. (2024). Antistress Effects of Terpinen-4-ol and Compounds of Mimicked Yuzu Synthetic Fragrance in Humans and Mice. Foods, 13(19), 3051. https://doi.org/10.3390/foods13193051

