Role and Mechanism of Sialic Acid in Alleviating Acute Lung Injury through In Vivo and In Vitro Models
Abstract
1. Introduction
2. Materials and Methods
2.1. Chemicals and Reagents
2.2. Animal Experiments
2.3. Biochemical Assessments
2.4. Histopathology Analysis
2.5. Transcriptomics Analysis
2.6. Cell Culture
2.7. Cell Viability Assay
2.8. Real Time-Quantitative PCR
2.9. Total Protein Extraction and Western Blot Analysis
2.10. Statistical Analysis
3. Results
3.1. SA Improved the Macroscopic Phenotypes of the LPS-Stimulated Mice
3.2. SA Increased the Antioxidant Ability in ALI
3.3. Effect of the SA on the Histopathologic Changes in LPS-Induced ALI
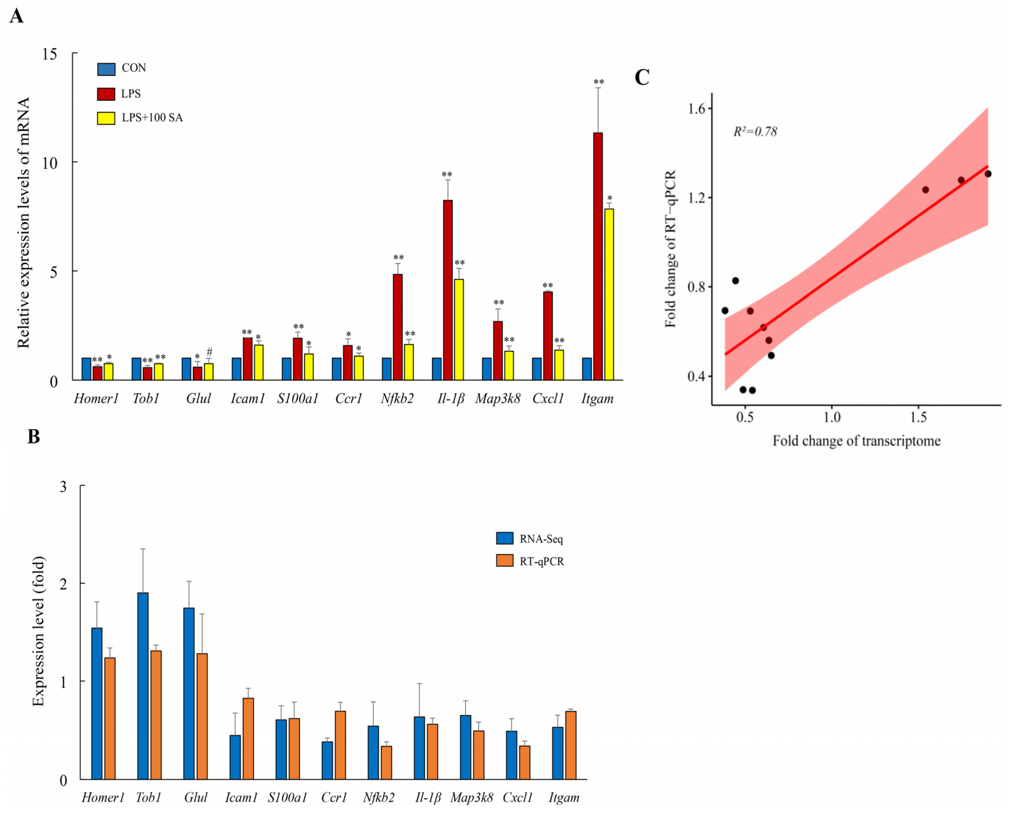
3.4. SA Regulated the Gene Expression Profiles of the Lung Tissues
3.5. GO and KEGG Analyses of Identified DEGs
3.6. Main Network Analysis of DEGs
3.7. SA Reduced the Inflammatory Factors of Lung Tissues
3.8. SA Decreased the Activations of JNK/p38/NF-κB of Lung Tissues
3.9. SA Promoted Activation of the PPAR-γ Signal
3.10. SA Modulated the Oxidation-Related Gene Expressions of the Lung Tissues
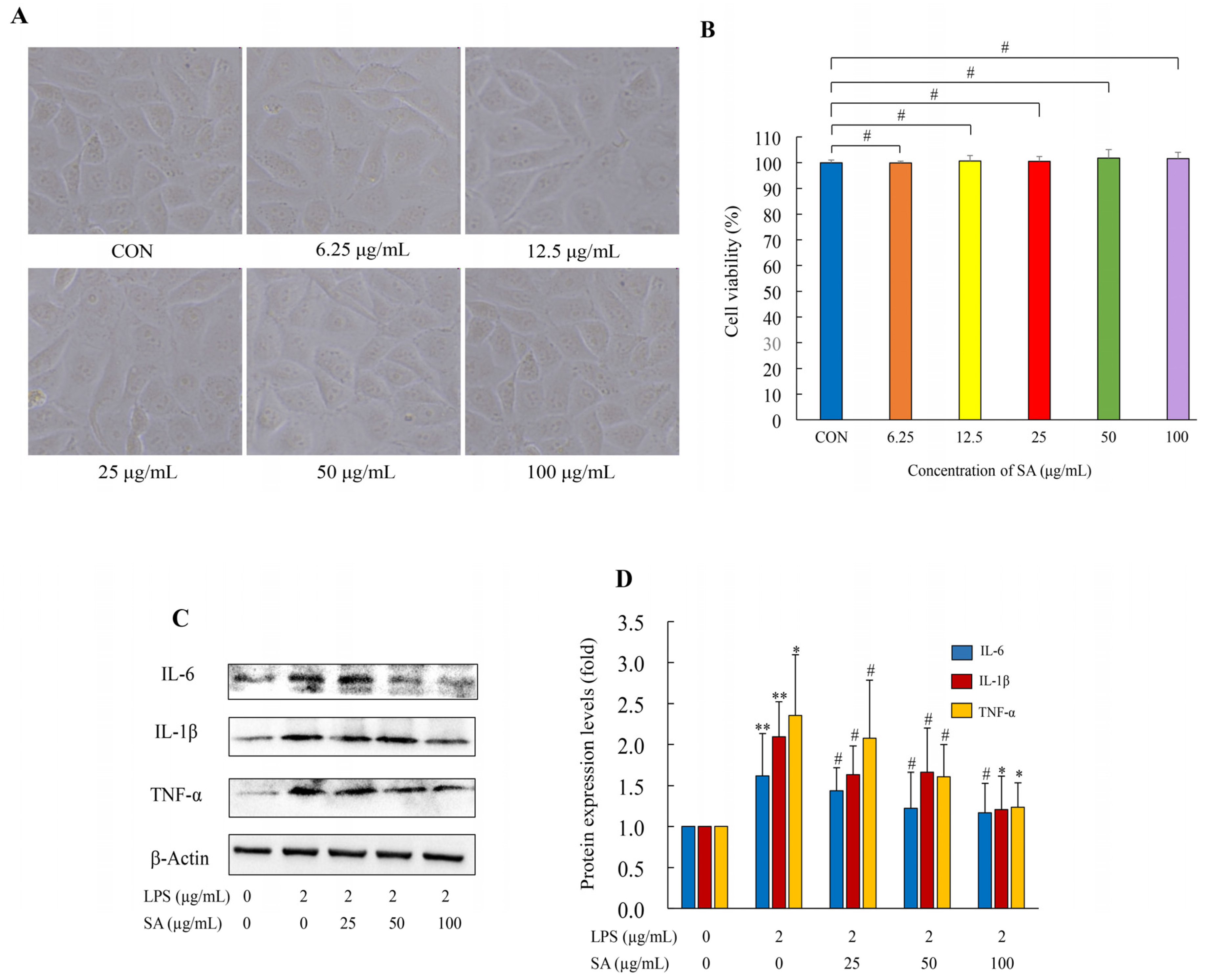
3.11. Effect of SA on HUVEC Cell Viability
3.12. SA Suppressed the Inflammatory Cytokines in LPS-Induced HUVEC Cells
3.13. SA Blocked NF-κB and AP-1 Activations
3.14. SA Inhibited JNK and p38 Activations In Vitro
3.15. SA Reduced Oxidative Damage via the Nrf2 Pathway
4. Discussion
5. Conclusions
Author Contributions
Funding
Institutional Review Board Statement
Informed Consent Statement
Data Availability Statement
Conflicts of Interest
Abbreviations
References
- Butt, Y.; Kurdowska, A.; Allen, T.C. Acute lung injury: A clinical and molecular review. Arch. Pathol. Lab. Med. 2016, 140, 345–350. [Google Scholar] [CrossRef] [PubMed]
- Killien, E.Y.; Mills, B.; Watson, R.S.; Vavilala, M.S.; Rivara, F.P. Morbidity and mortality among critically injured children with acute respiratory distress syndrome. Crit. Care Med. 2019, 47, e112–e119. [Google Scholar] [CrossRef] [PubMed]
- Fan, E.; Brodie, D.; Slutsky, A.S. Acute respiratory distress syndrome: Advances in diagnosis and treatment. JAMA 2018, 319, 698–710. [Google Scholar] [CrossRef] [PubMed]
- Long, M.E.; Mallampalli, R.K.; Horowitz, J.C. Pathogenesis of pneumonia and acute lung injury. Clin. Sci. 2022, 136, 747–769. [Google Scholar] [CrossRef] [PubMed]
- Shaw, T.D.; McAuley, D.F.; O’Kane, C.M. Emerging drugs for treating the acute respiratory distress syndrome. Expert Opin. Emerg. Drugs 2019, 24, 29–41. [Google Scholar] [CrossRef]
- He, Y.Q.; Zhou, C.C.; Yu, L.Y.; Wang, L.; Deng, J.L.; Tao, Y.L.; Zhang, F.; Chen, W.S. Natural product derived phytochemicals in managing acute lung injury by multiple mechanisms. Pharmacol. Res. 2021, 163, 105224. [Google Scholar] [CrossRef]
- Haghani, A.; Mehrbod, P.; Safi, N.; Kadir, F.A.A.; Omar, A.R.; Ideris, A. Edible bird’s nest modulate intracellular molecular pathways of influenza A virus infected cells. BMC Complement. Altern. Med. 2017, 17, 22. [Google Scholar] [CrossRef]
- Hou, Z.P.; Tang, S.Y.; Ji, H.R.; He, P.Y.; Li, Y.H.; Dong, X.L.; Du, M.N.; Maznah, I.; He, W.J. Edible bird’s nest attenuates menopause-related bone degeneration in rats via increaing bone estrogen-receptor expression. Chin. J. Integr. Med. 2021, 27, 280–285. [Google Scholar] [CrossRef]
- Dai, Y.W.; Cao, J.; Wang, Y.Y.; Chen, Y.J.; Jiag, L. A comprehensive review of edible bird’s nest. Food Res. Int. 2021, 140, 109875. [Google Scholar] [CrossRef]
- Hou, Z.P.; Imam, M.U.; Ismail, M.; Ismail, N.; Zhang, Y.D.; Ideris, A.; Sarega, N.; Mahmud, R. Effects of edible bird’s nest on hippocampal and cortical neurodegeneration in ovariectomized rats. Food Funct. 2015, 6, 1701–1711. [Google Scholar]
- Zhao, R.; Li, G.; Kong, X.J.; Huang, X.Y.; Li, W.; Zeng, Y.Y.; Lai, X.P. The improvement effects of edible bird’s nest on proliferation and activation of B lymphocyte and its antagonistic effects on immunosuppression induced by cyclophosphamid. Drug Des. Devel. Ther. 2016, 10, 371–381. [Google Scholar] [PubMed]
- Chu, W.Y.; Phan, C.W.; Lim, S.J.; Babji, A.S. Insights on the molecular mechanism of neuroprotection exerted by edible bird’s nest and its bioactive constituents. Food Sci. Hum. Well. 2023, 12, 1008–1019. [Google Scholar] [CrossRef]
- Ling, A.J.W.; Chang, L.S.; Babji, A.S.; Latip, J.; Koketsu, M.; Lim, S.J. Review of sialic acid’s biochemistry, sources, extraction and functions with special reference to edible bird’s nest. Food Chem. 2022, 367, 130755. [Google Scholar] [CrossRef]
- Bian, D.S.; Wang, X.Y.; Huang, J.L.; Chen, X.X.; Li, H.W. Maternal Neu5Ac supplementation during pregnancy improves offspring learning and memory ability in rats. Front. Nutr. 2021, 8, 641027. [Google Scholar] [CrossRef] [PubMed]
- Traving, C.; Schauer, R. Structure, function and metabolism of sialic acids. Cell. Mol. Life Sci. 1998, 54, 1330–1349. [Google Scholar] [CrossRef]
- Daly, J.; Carlsten, M.; O’Dwyer, M. Sugar free: Novel immunotherapeutic approaches targeting siglecs and sialic acids to enhance natural killer cell cytotoxicity against cancer. Front. Immunol. 2019, 10, 1047. [Google Scholar] [CrossRef]
- Ma, J.; Gong, S.; He, Y.; Gao, W.; Hao, W.; Lan, X. Effects of oral sialic acid on gut development, liver function and gut microbiota in mice. Lett. Appl. Microbiol. 2021, 73, 20–25. [Google Scholar] [CrossRef]
- Guo, S.D.; Tian, H.; Dong, R.R.; Yang, N.N.; Zhang, Y.; Yao, S.T.; Li, Y.J.; Zhou, Y.W.; Si, Y.H.; Qin, S.C. Exogenous supplement of N-acetylneuraminic acid ameliorates atherosclerosis in apolipoprotein E-deficient mice. Atherosclerosis 2016, 251, 183–191. [Google Scholar] [CrossRef]
- Li, D.; Xie, T.T.; Guo, T.Y.; Hu, Z.M.; Li, M.Y.; Tang, Y.Q.; Wu, Q.; Luo, F.J.; Lin, Q.L.; Wang, H.Q. Sialic acid exerts anti-inflammatory effect through inhibiting MAPK-NF-κB/AP-1 pathway and apoptosis in ulcerative colitis. J. Funct. Foods 2023, 101, 105416. [Google Scholar] [CrossRef]
- De Fátima Martins, M.; Honório-Ferreira, A.; Reis, M.S.; Cortez-Vaz, C.; Gonçalves, C.A. Sialic acids expression in newborn rat lungs: Implications for pulmonary developmental biology. Acta Histochem. 2020, 122, 151626. [Google Scholar] [CrossRef]
- Chen, S.F. Ultrafast one-pass FASTQ data preprocessing, quality control, and deduplication using fastp. Imeta 2023, 2, e107. [Google Scholar] [CrossRef]
- Chen, S.F.; Zhou, Y.Q.; Chen, Y.R.; Gu, J. Fastp: An ultra-fast all-in-one FASTQ preprocessor. Bioinformatics 2018, 34, i884–i890. [Google Scholar] [CrossRef] [PubMed]
- Kim, D.; Langmead, B.; Salzberg, S.L. Hisat: A fast spliced aligner with low memory requirements. Nat. Methods 2015, 12, 357–360. [Google Scholar] [CrossRef] [PubMed]
- Li, B.; Dewey, C.N. RSEM: Accurate transcript quantification from RNA-Seq data with or without a reference genome. BMC Bioinform. 2011, 12, 323. [Google Scholar] [CrossRef] [PubMed]
- Zhou, Y.P.; Cao, F.L.; Wu, Q.; Luo, Y.; Guo, T.Y.; Han, S.; Huang, M.Z.; Hu, Z.M.; Bai, J.; Luo, F.J.; et al. Dietary supplementation of octacosanol improves exercise-induced fatigue and its molecular mechanism. J. Agric. Food Chem. 2021, 69, 7603–7618. [Google Scholar] [CrossRef] [PubMed]
- Cunningham, C.M.; Li, M.; Ruffenach, G.; Doshi, M.; Aryan, L.; Hong, J.; Park, J.; Hrncir, H.; Medzikovic, L.; Umar, S.; et al. Y-chromosome gene, Uty, protects against pulmonary hypertension by reducing proinflammatory chemokines. Am. J. Respir. Crit. Care Med. 2022, 206, 186–196. [Google Scholar] [CrossRef]
- Wu, B.T.; Feng, J.X.; Guo, J.Y.; Wang, J.; Xiu, G.H.; Xu, J.Q.; Ning, K.; Ling, B.; Fu, Q.C.; Xu, J. ADSCs-derived exosomes ameliorate hepatic fibrosis by suppressing stellate cell activation and remodeling hepatocellular glutamine synthetase-mediated glutamine and ammonia homeostasis. Stem Cell Res. Ther. 2022, 13, 494. [Google Scholar] [CrossRef]
- Li, D.; Luo, F.J.; Guo, T.Y.; Han, S.; Wang, H.Q.; Lin, Q.L. Targeting NF-κB pathway by dietary lignans in inflammation: Expanding roles of gut microbiota and metabolites. Crit. Rev. Food Sci. Nutr. 2023, 63, 5967–5983. [Google Scholar] [CrossRef]
- Ren, B.; Yuan, T.; Zhang, X.L.; Wang, L.F.; Pan, J.R.; Liu, Y.; Zhao, B.T.; Zhao, W.Y.; Liu, Z.G.; Liu, X.B. Protective effects of sesamol on systemic inflammation and cognitive impairment in aging mice. J. Agric. Food Chem. 2020, 68, 3099–3111. [Google Scholar] [CrossRef]
- Wu, Q.; Wang, Y.H.; Li, Q.F. Matairesinol exerts anti-inflammatory and antioxidant effects in sepsis-mediated brain injury by repressing the MAPK and NF-κB pathways through up-regulating AMPK. Aging 2021, 13, 23780–23795. [Google Scholar] [CrossRef]
- Wang, Y.; Liao, S.; Pan, Z.H.; Jiang, S.M.; Fan, J.; Yu, S.W.; Xue, L.X.; Yang, J.L.; Ma, S.H.; Liu, T.; et al. Hydrogen sulfide alleviates particulate matter-induced emphysema and airway inflammation by suppressing ferroptosis. Free Radic. Biol. Med. 2022, 186, 1–16. [Google Scholar] [CrossRef] [PubMed]
- Zhang, B.B.; Zeng, M.N.; Wang, Y.Y.; Li, M.; Wu, Y.Y.; Xu, R.Q.; Zhang, Q.Q.; Jia, J.F.; Huang, Y.J.; Zheng, X.K.; et al. Oleic acid alleviates LPS-induced acute kidney injury by restraining inflammation and oxidative stress via the Ras/MAPKs/PPAR-γ signaling pathway. Phytomedicine 2022, 94, 153818. [Google Scholar] [CrossRef] [PubMed]
- Zou, M.; Ke, Q.; Nie, Q.; Qi, R.L.; Zhu, X.F.; Liu, W.; Hu, X.B.; Sun, Q.; Fu, J.L.; Tang, X.C.; et al. Inhibition of cGAS-STING by JQ1 alleviates oxidative stress-induced retina inflammation and degeneration. Cell Death Differ. 2022, 29, 1816–1833. [Google Scholar] [CrossRef] [PubMed]
- Wang, Y.; Liu, Z.H.; Ma, J.; Xv, Q.Y.; Gao, H.X.; Yin, H.; Yan, G.; Jiang, X.W.; Yu, W.H. Lycopene attenuates the inflammation and apoptosis in aristolochic acid nephropathy by targeting the Nrf2 antioxidant system. Redox Biol. 2022, 57, 102494. [Google Scholar] [CrossRef] [PubMed]
- Wang, L.Y.; Gong, Z.Z.; Zhang, X.Y.; Zhu, F.X.X.; Liu, Y.C.; Jin, C.Z.; Du, X.X.; Xu, C.F.; Chen, Y.W.; Cai, W.; et al. Gut microbial bile acid metabolite skews macrophage polarization and contributes to high-fat diet-induced colonic inflammation. Gut Microbes 2020, 12, e1819155. [Google Scholar] [CrossRef]
- Li, X.L.; Xu, M.K.; Shen, J.J.; Li, Y.Q.; Lin, S.P.; Zhu, M.; Pang, Q.N.; Tan, X.J.; Tang, J. Sorafenib inhibits LPS-induced inflammation by regulating Lyn-MAPK-NF-kB/AP-1 pathway and TLR4 expression. Cell Death Discov. 2022, 8, 281. [Google Scholar] [CrossRef]
- Saha, S.; Buttari, B.; Panieri, E.; Profumo, E.; Saso, L. An overview of Nrf2 signaling pathway and its role in inflammation. Molecules 2020, 25, 5474. [Google Scholar] [CrossRef]
- Wang, H.; Zhou, X.M.; Wu, L.Y.; Liu, G.J.; Xu, W.D.; Zhang, X.S.; Gao, Y.Y.; Tao, T.; Zhou, Y.; Lu, Y.; et al. Aucubin alleviates oxidative stress and inflammation via Nrf2-mediated signaling activity in experimental traumatic brain injury. J. Neuroinflamm. 2020, 17, 188. [Google Scholar] [CrossRef]
- Tamminen, P.; Kerimov, D.; Viskari, H.; Aittoniemi, J.; Syrjänen, J.; Lehtimäki, L. Lung function during and after acute respiratory infection in COVID-19 positive and negative outpatients. Eur. Respir. 2022, 59, 2102837. [Google Scholar] [CrossRef]
- Oliveros, E.; Vázquez, E.; Barranco, A.; Ramírez, M.; Gruart, A.; Delgado-García, J.M.; Buck, R.; Rueda, R.; Martín, M.J. Sialic acid and sialylated oligosaccharide supplementation during lactation improves learning and memory in rats. Nutrients 2018, 10, 1519. [Google Scholar] [CrossRef]
- Zhang, Y.D.; Imam, M.U.; Ismail, M.; Ismail, N.; Ideris, A.; Abdullah, M.A. High fat diet-induced inflammation and oxidative stress are attenuated by N-acetylneuraminic acid in rats. J. Biomed. Sci. 2015, 22, 96. [Google Scholar]
- Hong, H.W.; Lou, S.Y.; Zheng, F.L.; Gao, H.; Wang, N.N.; Tian, S.S.; Huang, G.Z.; Zhao, H.J. Hydnocarpin D attenuates lipopolysaccharide-induced acute lung injury via MAPK/NF-κB and Keap1/Nrf2/HO-1 pathway. Phytomedicine 2022, 101, 154143. [Google Scholar] [CrossRef] [PubMed]
- Liu, C.; Yin, Z.G.; Feng, T.T.; Zhang, M.; Zhou, Z.; Zhou, Y. An integrated network pharmacology and RNA-Seq approach for exploring the preventive effect of Lonicerae japonicae flos on LPS-induced acute lung injury. J. Ethnopharmacol. 2021, 264, 113364. [Google Scholar] [CrossRef] [PubMed]
- Zhou, J.; Peng, Z.L.; Wang, J. Trelagliptin alleviates lipopolysaccharide (LPS)-induced inflammation and oxidative stress in acute lung injury mice. Inflammation 2021, 44, 1507–1517. [Google Scholar] [CrossRef]
- Dhlamini, Q.; Wang, W.; Feng, G.F.; Chen, A.P.; Chong, L.; Li, X.; Li, Q.; Wu, J.; Zhou, D.P.; Wang, J.; et al. FGF1 alleviates LPS-induced acute lung injury via suppression of inflammation and oxidative stress. Mol. Med. 2022, 28, 73. [Google Scholar] [CrossRef]
- Mathew, S.J.; Haubert, D.; Krönke, M.; Leptin, M. Looking beyond death: A morphogenetic role for the TNF signalling pathway. J. Cell Sci. 2009, 122 Pt 12, 1939–1946. [Google Scholar] [CrossRef]
- Lai, J.L.; Liu, Y.H.; Liu, C.; Qi, M.P.; Liu, R.N.; Zhu, X.F.; Zhou, Q.G.; Chen, Y.Y.; Guo, A.Z.; Hu, C.M. Indirubin inhibits LPS-induced inflammation via TLR4 abrogation mediated by the NF-kB and MAPK signaling pathways. Inflammation 2017, 40, 1–12. [Google Scholar] [CrossRef]
- Zhao, H.K.; Wu, L.; Yan, G.F.; Chen, Y.; Zhou, M.Y.; Wu, Y.Z.; Li, Y.S. Inflammation and tumor progression: Signaling pathways and targeted intervention. Signal Transduct. Target. Ther. 2021, 6, 263. [Google Scholar]
- Li, Z.H.; Pan, H.T.; Yang, J.H.; Chen, D.J.; Wang, Y.; Zhang, H.; Cheng, Y.Y. Xuanfei Baidu formula alleviates impaired mitochondrial dynamics and activated NLRP3 inflammasome by repressing NF-κB and MAPK pathways in LPS-induced ALI and inflammation models. Phytomedicine 2023, 108, 154545. [Google Scholar] [CrossRef]
- Steele, H.; Cheng, J.; Willicut, A.; Dell, G.; Breckenridge, J.; Culberson, E.; Ghastine, A.; Tardif, V.; Herro, R. TNF superfamily control of tissue remodeling and fibrosis. Front. Immunol. 2023, 14, 1219907. [Google Scholar] [CrossRef]
- Korbecki, J.; Bobiński, R.; Dutka, M. Self-regulation of the inflammatory response by peroxisome proliferator-activated receptors. Inflamm. Res. 2019, 68, 443–458. [Google Scholar] [CrossRef] [PubMed]
- Lin, M.H.; Chen, M.C.; Chen, T.H.; Chang, H.Y.; Chou, T.C. Magnolol ameliorates lipopolysaccharide-induced acute lung injury in rats through PPAR-γ-dependent inhibition of NF-kB activation. Int. Immunopharmacol. 2015, 28, 270–278. [Google Scholar] [CrossRef] [PubMed]
- Forman, H.J.; Davies, K.J.A.; Ursini, F. How do nutritional antioxidants really work: Nucleophilic tone and para-hormesis versus free radical scavenging in vivo. Free Radic. Biol. Med. 2014, 66, 24–35. [Google Scholar] [CrossRef]
- Yang, L.L.; Yang, F.; Teng, L.T.; Katayama, I. 6-Shogaol protects human melanocytes against oxidative stress through activation of the Nrf2-antioxidant response element signaling pathway. Int. J. Mol. Sci. 2020, 21, 3537. [Google Scholar] [CrossRef] [PubMed]
- Buendia, I.; Michalska, P.; Navarro, E.; Gameiro, I.; Egea, J.; León, R. Nrf2-ARE pathway: An emerging target against oxidative stress and neuroinflammation in neurodegenerative diseases. Pharmacol. Ther. 2016, 157, 84–104. [Google Scholar] [CrossRef] [PubMed]
- Tonelli, C.; Chio, I.I.C.; Tuveson, D.A. Transcriptional regulation by Nrf2. Antioxid. Redox Signal. 2018, 29, 1727–1745. [Google Scholar] [CrossRef]
- Hu, J.B.; Kang, X.Q.; Liang, J.; Wang, X.J.; Xu, X.L.; Yang, P.; Ying, X.Y.; Jiang, S.P.; Du, Y.Z. E-selectin-targeted sialic acid-peg-dexamethasone micelles for enhanced antiinflammatory efficacy for acute kidney injury. Theranostics 2017, 7, 2204–2219. [Google Scholar] [CrossRef]
- Jin, F.Y.; Liu, D.; Yu, H.; Qi, J.; You, Y.C.; Xu, X.L.; Kang, X.Q.; Wang, X.J.; Lu, K.J.; Ying, X.Y.; et al. Sialic acid-functionalized PEG-PLGA microspheres loading mitochondrial-targeting-modified curcumin for acute lung injury therapy. Mol. Pharm. 2019, 16, 71–85. [Google Scholar] [CrossRef]
- Al-Khayri, J.M.; Sahana, G.R.; Nagella, P.; Joseph, B.V.; Alessa, F.M.; Al-Mssallem, M.Q. Flavonoids as potential anti-inflammatory molecules: A review. Molecules 2022, 27, 2901. [Google Scholar] [CrossRef]
- Lertnimitphun, P.; Zhang, W.H.; Fu, W.W.; Yang, B.C.; Zheng, C.W.; Yuan, M.; Zhou, H.; Zhang, X.; Pei, W.Z.; Lu, Y.; et al. Safranal alleviated OVA-induced asthma model and inhibits mast cell activation. Front. Immunol. 2021, 12, 585595. [Google Scholar] [CrossRef]
- Chen, C.Y.; Li, L.; Liu, X.M.; Zhang, D.Q.; Liu, Y.; Li, Y.H. 23-O-acetylshengmanol-3-O-α-L-arabinoside alleviates lipopolysaccharide-induced acute lung injury through inhibiting IκB/NF-κB and MAPK/AP-1 signaling pathways. J. Ethnopharmacol 2023, 300, 115725. [Google Scholar] [CrossRef] [PubMed]
- Psefteli, P.M.; Kitscha, P.; Vizcay, G.; Fleck, R.; Chapple, S.J.; Mann, G.E.; Fowler, M.; Siow, R.C. Glycocalyx sialic acids regulate Nrf2-mediated signaling by fluid shear stress in human endothelial cells. Redox Biol. 2021, 38, 101816. [Google Scholar] [CrossRef] [PubMed]
- Kong, L.M.; Deng, J.; Zhou, X.; Cai, B.B.; Zhang, B.F.; Chen, X.H.; Chen, Z.J.; Wang, W.M. Sitagliptin activates the p62-Keap1-Nrf2 signalling pathway to alleviate oxidative stress and excessive autophagy in severe acute pancreatitis-related acute lung injury. Cell Death Dis. 2021, 12, 928. [Google Scholar] [CrossRef] [PubMed]













| Gene Name | Primer Sequence (5′-3′) | Primer Length (bp) |
|---|---|---|
| β-actin | F: TCACTATTGGCAACGAGCGGTTC | 23 |
| β-actin | R: AGCACTGTGTTGGCATAGAGGTCT | 24 |
| IL-1β | F: GAG CAC CTT CTT TTC CTT CAT CTT | 24 |
| IL-1β | R: TCA CAC ACC AGC AGG TTA TCA TC | 23 |
| Homer1 | F: GGAGAAGTCGCAGGAGAAGATG | 22 |
| Homer1 | R: GCTGATTGCTGAACTATGTGGAA | 23 |
| Glul | F: GCAGAGACCAACTTGAGGCACATC | 24 |
| Glul | R: GCTCCCACACCGCAGTAATACG | 22 |
| Tob1 | F: CCACCAAGTTCGGCTCCACCAA | 22 |
| Tob1 | R: TCTGCTTCAGGAGGTCGTTCACATT | 25 |
| S100a11 | F: TGGTGTCCTTGACCGCATGATGAA | 24 |
| S100a11 | R: GGAGGTGATGACTTGGTGGTTGGAT | 25 |
| Ccr1 | F: GAAGGTCAAAGCCGTGCGTCTG | 22 |
| Ccr1 | R: GGTCCAGTTGCTTACTCTGCTCACA | 25 |
| Itgam | F: GGAGCATCAATAGCCAGCCTCAGT | 24 |
| Itgam | R: ACAGCCAGGTCCATCAAGCCATC | 23 |
| Cxcl1 | F: ACCGAAGTCATAGCCACACTCAAGA | 25 |
| Cxcl1 | R: AGAAGCCAGCGTTCACCAGACA | 22 |
| Icam1 | F: GGAGACGCAGAGGACCTTAACAGT | 24 |
| Icam1 | R: CGCCGCTCAGAAGAACCACCTT | 22 |
| Nfkb2 | F: GCACAGGACGAGAACGGAGACA | 22 |
| Nfkb2 | R: GCAGGTGGTTGGTGAGGTTGATG | 23 |
| Map3k8 | F: CACAGGCAGCACCGAAGAGTCT | 22 |
| Map3k8 | R: AAGCCATCCATCAGCCGTATTCCA | 24 |
| Gene ID | Gene Name | Fold Change LPS/CON | p Value LPS/CON | Fold Change LPS + 100 SA/LPS | p Value LPS + 100 SA/LPS |
|---|---|---|---|---|---|
| ENSMUSG00000068457 | Uty | 0.39 | 0.0199 | 1.51 | 0.0107 |
| ENSMUSG00000037325 | Bbs7 | 0.41 | 0.0091 | 1.52 | 0.0181 |
| ENSMUSG00000063760 | Rnf217 | 0.45 | 0.0048 | 1.52 | 0.0003 |
| ENSMUSG00000007617 | Homer1 | 0.57 | 0.0056 | 1.54 | 0.0262 |
| ENSMUSG00000029676 | Pot1a | 0.42 | 0.0348 | 1.58 | 0.0357 |
| ENSMUSG00000033392 | Clasp2 | 0.54 | 0.0437 | 1.63 | 0.0380 |
| ENSMUSG00000026365 | Cfh | 0.40 | 0.0247 | 1.64 | 0.0464 |
| ENSMUSG00000026473 | Glul | 0.55 | 0.0062 | 1.75 | 0.0115 |
| ENSMUSG00000041471 | Shld2 | 0.41 | 0.0002 | 1.80 | 0.0143 |
| ENSMUSG00000021013 | Ttc8 | 0.17 | 0.0136 | 1.81 | 0.0432 |
| ENSMUSG00000037573 | Tob1 | 0.16 | 0.0453 | 1.90 | 0.0485 |
| ENSMUSG00000020593 | Lpin1 | 0.20 | 0.0407 | 1.94 | 0.0106 |
| ENSMUSG00000040433 | Zbtb38 | 0.26 | 0.0329 | 2.08 | 0.0342 |
| ENSMUSG00000050295 | Foxc1 | 0.22 | 0.0156 | 2.22 | 0.0247 |
| ENSMUSG00000027799 | Nbea | 0.22 | 0.0411 | 2.29 | 0.0147 |
| ENSMUSG00000024534 | Sncaip | 0.19 | 0.0012 | 2.29 | 0.0398 |
| ENSMUSG00000024424 | Ttc39c | 0.37 | 0.0373 | 2.30 | 0.0233 |
| ENSMUSG00000031595 | Pdgfrl | 0.07 | 0.0301 | 2.35 | 0.0172 |
| ENSMUSG00000033900 | Map9 | 0.17 | 0.0471 | 2.36 | 0.0313 |
| ENSMUSG00000004317 | Clcn5 | 0.33 | 0.0428 | 2.70 | 0.0371 |
| ENSMUSG00000036912 | Piwil4 | 0.17 | 0.0352 | 2.90 | 0.0124 |
| ENSMUSG00000035236 | Scai | 0.31 | 0.0314 | 3.16 | 0.0026 |
| ENSMUSG00000019880 | Rspo3 | 0.20 | 0.0014 | 3.18 | 0.0030 |
| ENSMUSG00000029005 | Draxin | 0.15 | 0.0353 | 3.29 | 0.0411 |
| ENSMUSG00000044770 | Scml4 | 0.13 | 0.0489 | 3.61 | 0.0292 |
| ENSMUSG00000028519 | Dab1 | 0.08 | 0.0260 | 4.34 | 0.0303 |
| Gene ID | Gene Name | Fold Change LPS/CON | p Value LPS/CON | Fold Change LPS + 100 SA/LPS | p Value LPS + 100 SA/LPS |
|---|---|---|---|---|---|
| ENSMUSG00000034987 | Hrh2 | 19.92 | 0.0160 | 0.27 | 0.0402 |
| ENSMUSG00000037169 | Mycn | 3.88 | 0.0039 | 0.34 | 0.0165 |
| ENSMUSG00000022766 | Serpind1 | 1.88 | 0.0271 | 0.38 | 0.0315 |
| ENSMUSG00000025804 | Ccr1 | 7.47 | 0.0046 | 0.38 | 0.0148 |
| ENSMUSG00000033644 | Piwil2 | 2.95 | 0.0456 | 0.42 | 0.0481 |
| ENSMUSG00000026180 | Cxcr2 | 20.07 | 0.0001 | 0.44 | 0.0500 |
| ENSMUSG00000037405 | Icam1 | 1.85 | 0.0055 | 0.44 | 0.0245 |
| ENSMUSG00000029380 | Cxcl1 | 11.63 | 0.0000 | 0.49 | 0.0032 |
| ENSMUSG00000020407 | Upp1 | 6.37 | 0.0000 | 0.52 | 0.0078 |
| ENSMUSG00000030786 | Itgam | 14.29 | 0.0001 | 0.53 | 0.0077 |
| ENSMUSG00000025225 | Nfkb2 | 3.02 | 0.0026 | 0.54 | 0.0475 |
| ENSMUSG00000024309 | Pfdn6 | 2.57 | 0.0099 | 0.57 | 0.0450 |
| ENSMUSG00000001156 | Mxd1 | 4.06 | 0.0035 | 0.57 | 0.0261 |
| ENSMUSG00000041460 | Cacna2d4 | 1.85 | 0.0011 | 0.58 | 0.0092 |
| ENSMUSG00000027907 | S100a11 | 1.96 | 0.0075 | 0.61 | 0.0177 |
| ENSMUSG00000013974 | Mcemp1 | 4.07 | 0.0042 | 0.61 | 0.0468 |
| ENSMUSG00000020116 | Pno1 | 1.50 | 0.0043 | 0.62 | 0.0183 |
| ENSMUSG00000042622 | Maff | 2.50 | 0.0033 | 0.62 | 0.0173 |
| ENSMUSG00000022500 | Litaf | 2.03 | 0.0094 | 0.63 | 0.0041 |
| ENSMUSG00000079487 | Med12 | 2.23 | 0.0126 | 0.63 | 0.0341 |
| ENSMUSG00000006345 | Ggt1 | 12.88 | 0.0014 | 0.63 | 0.0492 |
| ENSMUSG00000024235 | Map3k8 | 2.30 | 0.0007 | 0.65 | 0.0262 |
| ENSMUSG00000006412 | Pfdn2 | 1.82 | 0.0440 | 0.65 | 0.0446 |
| ENSMUSG00000056612 | Ppp1r14b | 3.07 | 0.0010 | 0.66 | 0.0243 |
| ENSMUSG00000027398 | Il-1β | 16.63 | 0.0006 | 0.64 | 0.0498 |
Disclaimer/Publisher’s Note: The statements, opinions and data contained in all publications are solely those of the individual author(s) and contributor(s) and not of MDPI and/or the editor(s). MDPI and/or the editor(s) disclaim responsibility for any injury to people or property resulting from any ideas, methods, instructions or products referred to in the content. |
© 2024 by the authors. Licensee MDPI, Basel, Switzerland. This article is an open access article distributed under the terms and conditions of the Creative Commons Attribution (CC BY) license (https://creativecommons.org/licenses/by/4.0/).
Share and Cite
Li, D.; Li, F.; Zhou, Y.; Tang, Y.; Hu, Z.; Wu, Q.; Xie, T.; Lin, Q.; Wang, H.; Luo, F. Role and Mechanism of Sialic Acid in Alleviating Acute Lung Injury through In Vivo and In Vitro Models. Foods 2024, 13, 2984. https://doi.org/10.3390/foods13182984
Li D, Li F, Zhou Y, Tang Y, Hu Z, Wu Q, Xie T, Lin Q, Wang H, Luo F. Role and Mechanism of Sialic Acid in Alleviating Acute Lung Injury through In Vivo and In Vitro Models. Foods. 2024; 13(18):2984. https://doi.org/10.3390/foods13182984
Chicago/Turabian StyleLi, Dan, Fangyan Li, Yaping Zhou, Yiping Tang, Zuomin Hu, Qi Wu, Tiantian Xie, Qinlu Lin, Hanqing Wang, and Feijun Luo. 2024. "Role and Mechanism of Sialic Acid in Alleviating Acute Lung Injury through In Vivo and In Vitro Models" Foods 13, no. 18: 2984. https://doi.org/10.3390/foods13182984
APA StyleLi, D., Li, F., Zhou, Y., Tang, Y., Hu, Z., Wu, Q., Xie, T., Lin, Q., Wang, H., & Luo, F. (2024). Role and Mechanism of Sialic Acid in Alleviating Acute Lung Injury through In Vivo and In Vitro Models. Foods, 13(18), 2984. https://doi.org/10.3390/foods13182984

