Evaluating Commercial Loop-Mediated Isothermal Amplification Master Mixes for Enhanced Detection of Foodborne Pathogens
Abstract
1. Introduction
2. Materials and Methods
2.1. Bacterial Strains
2.2. DNA Extraction and Quantification
2.3. LAMP Reaction Setup
2.4. Initial Screening
2.5. DNA Concentration Effect
2.6. Supplement Effect
2.7. Final Evaluation
2.8. Amplicon Sequence Analysis
2.9. Data Representation and Statistical Analysis
3. Results
3.1. Initial Screening
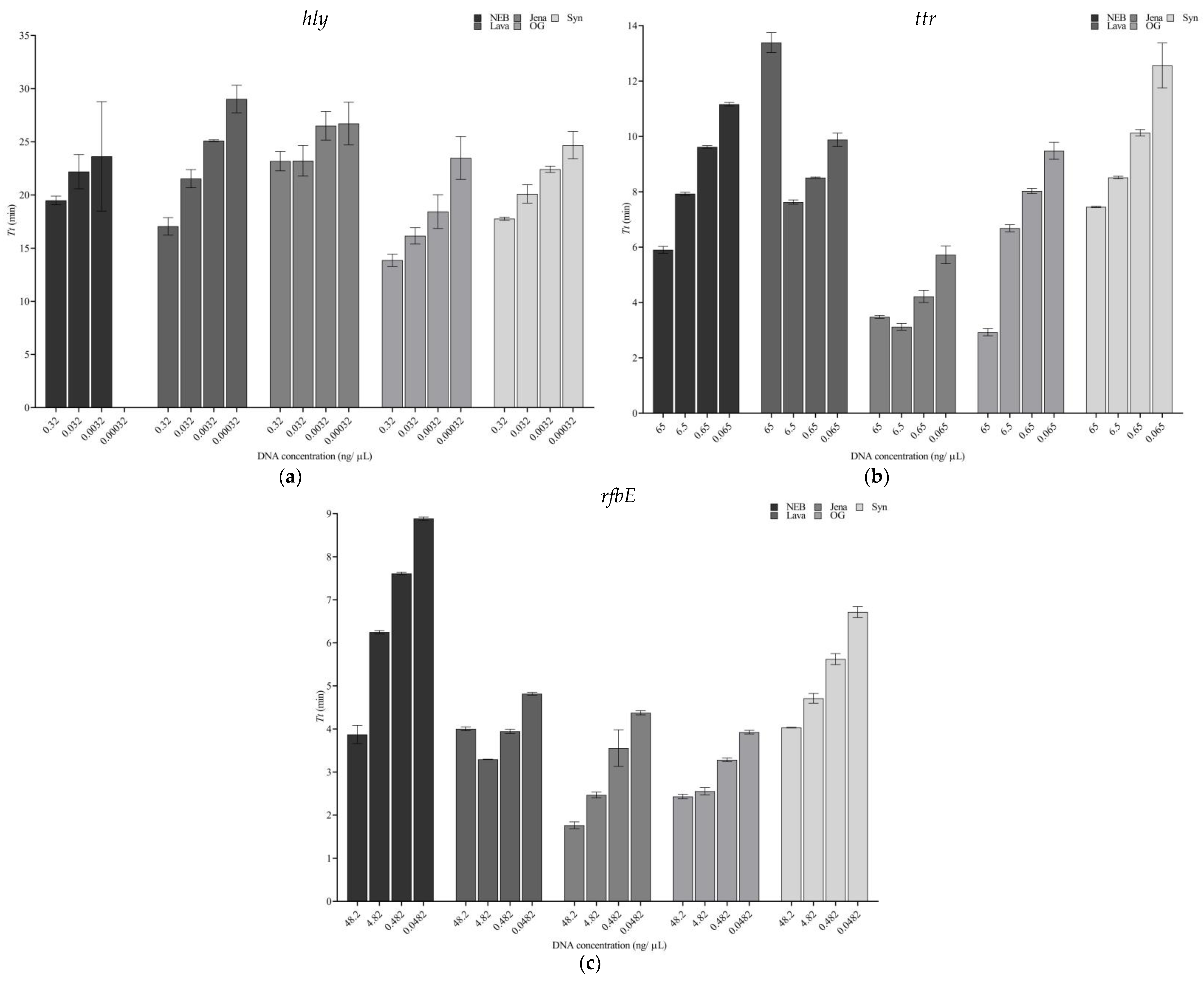
3.2. DNA Concentration Effect
3.2.1. Effect on hly
3.2.2. Effect on ttr
3.2.3. Effect on rfbE
3.3. LAMP Reaction Supplements Effect
3.4. Amplicon Analyses
3.5. Final Evaluation
4. Discussion
5. Conclusions
Author Contributions
Funding
Institutional Review Board Statement
Informed Consent Statement
Data Availability Statement
Conflicts of Interest
References
- Danezis, G.P.; Tsagkaris, A.S.; Camin, F.; Brusic, V.; Georgiou, C.A. Food Authentication: Techniques, Trends & Emerging Approaches. TrAC Trends Anal. Chem. 2016, 85, 123–132. [Google Scholar] [CrossRef]
- Hameed, S.; Xie, L.; Ying, Y. Conventional and Emerging Detection Techniques for Pathogenic Bacteria in Food Science: A Review. Trends Food Sci. Technol. 2018, 81, 61–73. [Google Scholar] [CrossRef]
- Franco-Duarte, R.; Černáková, L.; Kadam, S.; Kaushik, K.S.; Salehi, B.; Bevilacqua, A.; Corbo, M.R.; Antolak, H.; Dybka-Stępień, K.; Leszczewicz, M.; et al. Advances in Chemical and Biological Methods to Identify Microorganisms—From Past to Present. Microorganisms 2019, 7, 130. [Google Scholar] [CrossRef] [PubMed]
- Telli, A.E.; Biçer, Y.; Telli, N.; Güngör, C.; Türkal, G.; Ertaş Onmaz, N. Pathogenic Escherichia coli and Salmonella spp. in Chicken Carcass Rinses: Isolation and Genotyping by ERIC-PCR. Pak. Vet. J. 2022, 42, 493–498. [Google Scholar] [CrossRef] [PubMed]
- Kaprou, G.D.; Papadakis, G.; Papageorgiou, D.P.; Kokkoris, G.; Papadopoulos, V.; Kefala, I.; Gizeli, E.; Tserepi, A. Miniaturized Devices for Isothermal DNA Amplification Addressing DNA Diagnostics. Microsyst. Technol. 2016, 22, 1529–1534. [Google Scholar] [CrossRef]
- Bergwerff, A.A.; Debast, S.B. Modernization of Control of Pathogenic Micro-Organisms in the Food-Chain Requires a Durable Role for Immunoaffinity-Based Detection Methodology—A Review. Foods 2021, 10, 832. [Google Scholar] [CrossRef]
- Garrido-Maestu, A.; Prado, M. Naked-Eye Detection Strategies Coupled with Isothermal Nucleic Acid Amplification Techniques for the Detection of Human Pathogens. Compr. Rev. Food Sci. Food Saf. 2022, 21, 1913–1939. [Google Scholar] [CrossRef]
- Zaman, M.A.; Rafique, A.; Mehreen, U.; Mehnaz, S.; Atif, F.A.; Abbas, A.; Hussain, K.; Raza, M.A.; Altaf, S.; Siddique, F. Epidemiological Investigation and Development of Loop Mediated Isothermal Amplification for the Diagnosis of Ovine Theileriosis. Pak. Vet. J. 2022, 42, 370–375. [Google Scholar]
- Notomi, T.; Okayama, H.; Masubuchi, H.; Yonekawa, T.; Watanabe, K.; Amino, N.; Hase, T. Loop-Mediated Isothermal Amplification of DNA. Nucleic Acids Res. 2000, 28, e63. [Google Scholar] [CrossRef]
- Mannier, C.; Yoon, J.Y. Progression of LAMP as a Result of the COVID-19 Pandemic: Is PCR Finally Rivaled? Biosensors 2022, 12, 492. [Google Scholar] [CrossRef]
- Islam, M.M.; Koirala, D. Toward a Next-Generation Diagnostic Tool: A Review on Emerging Isothermal Nucleic Acid Amplification Techniques for the Detection of SARS-CoV-2 and Other Infectious Viruses. Anal. Chim. Acta 2022, 1209, 339338. [Google Scholar] [CrossRef] [PubMed]
- Wei, Z.; Wang, X.; Feng, H.; Ji, F.; Bai, D.; Dong, X.; Huang, W. Isothermal Nucleic Acid Amplification Technology for Rapid Detection of Virus. Crit. Rev. Biotechnol. 2023, 43, 415–432. [Google Scholar] [CrossRef] [PubMed]
- Domesle, K.J.; Young, S.R.; McDonald, R.C.; Ge, B. Versatility of a Salmonella Loop-Mediated Isothermal Amplification Assay Using Multiple Platforms and Master Mixes in Animal Food Matrices. J. AOAC Int. 2022, 105, 1503–1515. [Google Scholar] [CrossRef] [PubMed]
- Deliveyne, N.; Austin, J.J.; Cassey, P. Developing Loop Mediated Isothermal Amplification (LAMP) Assays for Rapid, Presumptive DNA Detection of an Invasive Reptile (Boa constrictor). Wildl. Res. 2023, 51, WR23053. [Google Scholar] [CrossRef]
- Kang, S.J.; Jang, C.S.; Son, J.M.; Hong, K.W. Comparison of Seven Commercial TaqMan Master Mixes and Two Real-Time PCR Platforms Regarding the Rapid Detection of Porcine DNA. Food Sci. Anim. Resour. 2021, 41, 85–94. [Google Scholar] [CrossRef] [PubMed]
- Fachmann, M.S.R.; Josefsen, M.H.; Hoorfar, J.; Nielsen, M.T.; Löfström, C. Cost-Effective Optimization of Real-Time PCR-Based Detection of Campylobacter and Salmonella with Inhibitor Tolerant DNA Polymerases. J. Appl. Microbiol. 2015, 119, 1391–1402. [Google Scholar] [CrossRef] [PubMed]
- Rump, L.V.; Asamoah, B.; Gonzalez-Escalona, N. Comparison of Commercial RNA Extraction Kits for Preparation of DNA-Free Total RNA from Salmonella Cells. BMC Res. Notes 2010, 3, 211. [Google Scholar] [CrossRef] [PubMed]
- Vesty, A.; Biswas, K.; Taylor, M.W.; Gear, K.; Douglas, R.G. Evaluating the Impact of DNA Extraction Method on the Representation of Human Oral Bacterial and Fungal Communities. PLoS ONE 2017, 12, e0169877. [Google Scholar] [CrossRef] [PubMed]
- González-Escalona, N.; Brown, E.W.; Zhang, G. Development and Evaluation of a Multiplex Real-Time PCR (QPCR) Assay Targeting ttrRSBCA Locus and invA Gene for Accurate Detection of Salmonella spp. in Fresh Produce and Eggs. Food Res. Int. 2012, 48, 202–208. [Google Scholar] [CrossRef]
- Azinheiro, S.; Carvalho, J.; Prado, M.; Garrido-Maestu, A. Evaluation of Different Genetic Targets for Salmonella enterica Serovar Enteriditis and Typhimurium, Using Loop-Mediated Isothermal AMPlification for Detection in Food Samples. Front. Sustain. Food Syst. 2018, 2, 5. [Google Scholar] [CrossRef]
- Natoli, M.E.; Kundrod, K.A.; Chang, M.M.; Smith, C.A.; Paul, S.; Coole, J.B.; Butlin, N.G.; Tanner, N.A.; Baker, E.; Schmeler, K.M.; et al. Improving Performance of a SARS-CoV-2 RT-LAMP Assay for Use with a Portable Isothermal Fluorimeter: Towards a Point-of-Care Molecular Testing Strategy. J. Biomol. Tech. 2021, 32, 180–185. [Google Scholar] [CrossRef] [PubMed]
- Garrido-Maestu, A.; Azinheiro, S.; Carvalho, J.; Fuciños, P.; Prado, M. Development and Evaluation of Loop-Mediated Isothermal Amplification, and Recombinase Polymerase Amplification Methodologies, for the Detection of Listeria monocytogenes in Ready-to-Eat Food Samples. Food Control 2018, 86, 27–34. [Google Scholar] [CrossRef]
- Tirloni, E.; Bernardi, C.; Drago, S.; Stampone, G.; Pomilio, F.; Cattaneo, P.; Stella, S. Evaluation of a Loop-Mediated Isothermal Amplification Method for the Detection of Listeria monocytogenes in Dairy Food. Ital. J. Food Saf. 2017, 6, 179–184. [Google Scholar] [CrossRef] [PubMed]
- Kreitlow, A.; Becker, A.; Schotte, U.; Malorny, B.; Plötz, M.; Abdulmawjood, A. Establishment and Validation of a Loop-Mediated Isothermal Amplification (LAMP) Assay Targeting the ttrRSBCA Locus for Rapid Detection of Salmonella spp. in Food. Food Control 2021, 126, 107973. [Google Scholar] [CrossRef]
- Costa-Ribeiro, A.; Azinheiro, S.; Fernandes, S.P.S.; Lamas, A.; Prado, M.; Salonen, L.M.; Garrido-Maestu, A. Evaluation of Covalent Organic Frameworks for the Low-Cost, Rapid Detection of Shiga Toxin-Producing Escherichia coli in Ready-to-Eat Salads. Anal. Chim. Acta 2023, 1267, 341357. [Google Scholar] [CrossRef] [PubMed]
- Abalo, M.; Lamas, A.; Teixeira, C.; Prado, M.; Garrido-Maestu, A. Surface Monitoring of Listeria monocytogenes by Loop-Mediated Isothermal Amplification. Comparative Performance of Real-Time Fluorescence and Naked-Eye Colorimetric Assays. 2024; submitted. [Google Scholar]
- Tanner, N.A.; Evans, T.C. Loop-Mediated Isothermal Amplification for Detection of Nucleic Acids. Curr. Protoc. Mol. Biol. 2013, 105, 1–14. [Google Scholar] [CrossRef] [PubMed]
- Wang, D.; Brewster, J.; Paul, M.; Tomasula, P. Two Methods for Increased Specificity and Sensitivity in Loop-Mediated Isothermal Amplification. Molecules 2015, 20, 6048–6059. [Google Scholar] [CrossRef]
- Gao, X.; Sun, B.; Guan, Y. Pullulan Reduces the Non-Specific Amplification of Loop-Mediated Isothermal Amplification (LAMP). Anal. Bioanal. Chem. 2019, 411, 1211–1218. [Google Scholar] [CrossRef]
- Jang, M.; Kim, S. Inhibition of Non-Specific Amplification in Loop—Mediated Isothermal Amplification via Tetramethylammonium Chloride. Biochip. J. 2022, 16, 326–333. [Google Scholar] [CrossRef]
- Zhang, Y.; Ren, G.; Buss, J.; Barry, A.J.; Patton, G.C.; Tanner, N.A. Enhancing Colorimetric Loop-Mediated Isothermal Amplification Speed and Sensitivity with Guanidine Chloride. Biotechniques 2020, 69, 178–185. [Google Scholar] [CrossRef]
- Allouche, A. Software News and Updates Gabedit—A Graphical User Interface for Computational Chemistry Softwares. J. Comput. Chem. 2012, 32, 174–182. [Google Scholar] [CrossRef]
- Quyen, T.L.; Ngo, T.A.; Bang, D.D.; Madsen, M.; Wolff, A. Classification of Multiple DNA Dyes Based on Inhibition Effects on Real-Time Loop-Mediated Isothermal Amplification (LAMP): Prospect for Point of Care Setting. Front. Microbiol. 2019, 10, 482561. [Google Scholar] [CrossRef]
- Oscorbin, I.P.I.; Belousova, E.E.A.; Zakabunin, A.A.I.; Boyarskikh, U.A.U.; Filipenko, M.L.M. Comparison of Fluorescent Intercalating Dyes for Quantitative Loop-Mediated Isothermal Amplification (qLAMP). Biotechniques 2016, 61, 20–25. [Google Scholar] [CrossRef] [PubMed]
- Tahzima, R.; Foucart, Y.; Peusens, G.; Reynard, J.S.; Massart, S.; Beliën, T.; De Jonghe, K. An Advanced One-Step RT-LAMP for Rapid Detection of Little Cherry Virus 2 Combined with High-Throughput Sequence-Based Phylogenomics Reveal Divergent Flowering Cherry Isolates. Plant Dis. 2022, 106, 835–845. [Google Scholar] [CrossRef] [PubMed]
- Gadkar, V.J.; Goldfarb, D.M.; Gantt, S.; Tilley, P.A.G. Real-Time Detection and Monitoring of Loop Mediated Amplification (LAMP) Reaction Using Self-Quenching and De-Quenching Fluorogenic Probes. Sci. Rep. 2018, 8, 2–11. [Google Scholar] [CrossRef]
- Wong, Y.P.; Othman, S.; Lau, Y.L.; Radu, S.; Chee, H.Y. Loop-Mediated Isothermal Amplification (LAMP): A Versatile Technique for Detection of Micro-Organisms. J. Appl. Microbiol. 2018, 124, 626–643. [Google Scholar] [CrossRef] [PubMed]
- Zhang, H.; Xu, Y.; Fohlerova, Z.; Chang, H.; Iliescu, C.; Neuzil, P. LAMP-on-a-Chip: Revising Microfluidic Platforms for Loop-Mediated DNA Amplification. TrAC Trends Anal. Chem. 2019, 113, 44–53. [Google Scholar] [CrossRef]
- Dmitric, M.; Vidanovic, D.; Matovic, K.; Sekler, M.; Saric, L.; Arsic, M.; Karabasil, N. In-House Validation of Real-Time PCR Methods for Detecting the invA and ttr Genes of Salmonella spp. in Food. J. Food Process Preserv. 2018, 42, e13455. [Google Scholar] [CrossRef]
- Malorny, B.; Paccassoni, E.; Fach, P.; Bunge, C.; Martin, A.; Helmuth, R. Diagnostic Real-Time PCR for Detection of Salmonella in Food. Appl. Environ. Microbiol. 2004, 70, 7046–7052. [Google Scholar] [CrossRef]
- Rodríguez-Lázaro, D.; Hernandez, M.; Scortti, M.; Esteve, T.; Vazquez-Boland, J.A.; Pla, M. Quantitative Detection of Listeria monocytogenes and Listeria innocua by Real-Time PCR: Assessment of hly, iap, and Lin02483 Targets and AmpliFluor Technology. Appl. Environ. Microbiol. 2004, 70, 1366–1377. [Google Scholar] [CrossRef]
- Le Monnier, A.; Abachin, E.; Beretti, J.L.; Berche, P.; Kayal, S. Diagnosis of Listeria monocytogenes Meningoencephalitis by Real-Time PCR for the Hly Gene. J. Clin. Microbiol. 2011, 49, 3917–3923. [Google Scholar] [CrossRef] [PubMed]
- Perelle, S.; Dilasser, F.; Grout, J.L.; Fach, P. Detection by 5′-Nuclease PCR of Shiga-Toxin Producing Escherichia coli O26, O55, O91, O103, O111, O113, O145 and O157:H7, Associated with the World’s Most Frequent Clinical Cases. Mol. Cell. Probes 2004, 18, 185–192. [Google Scholar] [CrossRef] [PubMed]
- Noll, L.W.; Shridhar, P.B.; Shi, X.; An, B.; Cernicchiaro, N.; Renter, D.G.; Nagaraja, T.G.; Bai, J. A Four-Plex Real-Time PCR Assay, Based on rfbE, stx1, stx2, and eae Genes, for the Detection and Quantification of Shiga Toxin-Producing Escherichia coli O157 in Cattle Feces. Foodborne Pathog. Dis. 2015, 12, 787–794. [Google Scholar] [CrossRef] [PubMed]
- Altshuler, M.L. PCR Troubleshooting: The Essential Guide; Caister Academic Press: Poole, UK, 2006; ISBN 1904455077. [Google Scholar]
- Kennedy, S.; Oswald, N. PCR Troubleshooting and Optimization: The Essential Guide; Caister Academic Press: Norfolk, UK, 2011. [Google Scholar]
- Kim, S.H.; Lee, S.Y.; Kim, U.; Oh, S.W. Diverse Methods of Reducing and Confirming False-Positive Results of Loop-Mediated Isothermal Amplification Assays: A Review. Anal. Chim. Acta 2023, 1280, 341693. [Google Scholar] [CrossRef] [PubMed]
- Ma, C.; Wang, Y.; Zhang, P.; Shi, C. Accelerated Isothermal Nucleic Acid Amplification in Betaine-Free Reaction. Anal. Biochem. 2017, 530, 1–4. [Google Scholar] [CrossRef]
- Knox, A.; Zerna, G.; Beddoe, T. Current and Future Advances in the Detection and Surveillance of Biosecurity-Relevant Equine Bacterial Diseases Using Loop-Mediated Isothermal Amplification (LAMP). Animals 2023, 13, 2663. [Google Scholar] [CrossRef] [PubMed]
- Zou, Y.; Mason, M.G.; Botella, J.R. Evaluation and Improvement of Isothermal Amplification Methods for Point-of-Need Plant Disease Diagnostics. PLoS ONE 2020, 15, e0235216. [Google Scholar] [CrossRef]
- Foo, P.C.; Nurul Najian, A.B.; Muhamad, N.A.; Ahamad, M.; Mohamed, M.; Yean Yean, C.; Lim, B.H. Loop-Mediated Isothermal Amplification (LAMP) Reaction as Viable PCR Substitute for Diagnostic Applications: A Comparative Analysis Study of LAMP, Conventional PCR, Nested PCR (NPCR) and Real-Time PCR (qPCR) Based on Entamoeba histolytica DNA Derived from. BMC Biotechnol. 2020, 20, 34. [Google Scholar] [CrossRef]
- Bachmann, B.; Luke, W.; Hunsmann, G. Improvement of PCR Amplified DNA Sequencing with the Aid of Detergents. Nucleic Acids Res. 1990, 18, 3400. [Google Scholar] [CrossRef]





| NEB | Lava | Jena | OG | Syn | |
|---|---|---|---|---|---|
| FIP/BIP | 1600 | 1600 | 1600 | 800 | 1600 |
| F3/B3 | 200 | 200 | 200 | 200 | 200 |
| LF/LB | 400 | 400 | 400 | 400 | 400 |
| Temperature (°C) | 65 | 68 | 65 | 65 | 65 |
| Time (min) | 30 | 30 | 30–60 | 30 | 30 |
| Remarkable feature | Warm start and UDG | High A amplification temperature | - | Speed | Stability at room temperature |
| Gene | Primer | Sequence 5′-> 3′ | Reference |
|---|---|---|---|
| ttr | ttr-FIP | GCA TCA GCC AAC ATA GCG CCA tttt CTA CGC CAT CCG TTA TCA CA | This study |
| ttr-BIP | TCA GGT ACA AAC CGT CCC CAA G tttt CAT CCG TTC CGC CTG GTA | ||
| ttr-F3 | ACA CTG CTG TTC TGT AGC CT | ||
| ttr-B3 | AGG TGC CGA GAA TAG CCA | ||
| ttr-LF | CCA GCA GGA CGC GTC TT | ||
| ttr-LB | CGC GCA ATT TAA CCC TTA CTC G | ||
| rfbE | rfbE-FIP | GGC CTT TAA AAT GTA AAC AAC GGT C tttt ACT ACA GGT GAA GGT GGA | This study |
| rfbE-BIP | TAG CTG TAC ATA GGC AAT ATT GGC tttt AAT CCT ATA GCA GCG CAG A | ||
| rfbE-F3 | TGT GGG AAC ATT TGG AGA T | ||
| rfbE-B3 | CAT CAG CTT GTT CTA ACT GG | ||
| rfbE-LF | TTT GTC ATT CGT GAC AAC CAT | ||
| rfbE-LB | AGG CTA CAA TTA TAG GAT GAC AAA T | ||
| hly | hly-FIP | TGA ACA ATT TCG TTA CCT TCA GGA T tttt TCG ATC ACT CTG GAG GAT AC | [26] |
| hly-BIP | GGA GCG AAA ACA ATA AAA GCA AGC T tttt GCG TAA ACA TTA ATA TTT CTC GC | ||
| hly-F3 | TTC AAA AGC TTA TAC AGA TGG AA | ||
| hly-B3 | AAG CTA AAC CAG TGC ATT C | ||
| hly-LF | CAT CCC AAG AAA TGT TGA ATT GAG C | ||
| hly-LB | TCG TCC ATC TAT TTG CCA GGT A |
| Target | Length (bp) | % GC | Melting Temperature (°C) 1 | Tm Highest Hairpin (°C) |
|---|---|---|---|---|
| hly | 236 | 35.6 | 73.1 | 36.8 |
| ttr | 205 | 55.6 | 69.6 | 47.2 |
| rfbE | 236 | 36.9 | 72.4 | 38.1 |
| Key Features | Bonus Features | |||||||
|---|---|---|---|---|---|---|---|---|
| Tt | DNA Concentration | Supplements | Thermostability * | Convenience | Flexibility | Price | Total | |
| NEB | 2 | 1 | 1 | 1 | 0 | 1 | 0 | 6 |
| Lava | 3 | 2 | 3 | 0 | 0 | 1 | 0 | 9 |
| Jena | 4 | 4 | 2 | 0 | 1 | 0 | 1 | 12 |
| OG | 5 | 5 | 5 | 0 | 1 | 0 | 1 | 17 |
| Syn | 3 | 3 | 4 | 1 | 0 | 1 | 1 | 13 |
Disclaimer/Publisher’s Note: The statements, opinions and data contained in all publications are solely those of the individual author(s) and contributor(s) and not of MDPI and/or the editor(s). MDPI and/or the editor(s) disclaim responsibility for any injury to people or property resulting from any ideas, methods, instructions or products referred to in the content. |
© 2024 by the authors. Licensee MDPI, Basel, Switzerland. This article is an open access article distributed under the terms and conditions of the Creative Commons Attribution (CC BY) license (https://creativecommons.org/licenses/by/4.0/).
Share and Cite
Costa-Ribeiro, A.; Lamas, A.; Garrido-Maestu, A. Evaluating Commercial Loop-Mediated Isothermal Amplification Master Mixes for Enhanced Detection of Foodborne Pathogens. Foods 2024, 13, 1635. https://doi.org/10.3390/foods13111635
Costa-Ribeiro A, Lamas A, Garrido-Maestu A. Evaluating Commercial Loop-Mediated Isothermal Amplification Master Mixes for Enhanced Detection of Foodborne Pathogens. Foods. 2024; 13(11):1635. https://doi.org/10.3390/foods13111635
Chicago/Turabian StyleCosta-Ribeiro, Ana, Alexandre Lamas, and Alejandro Garrido-Maestu. 2024. "Evaluating Commercial Loop-Mediated Isothermal Amplification Master Mixes for Enhanced Detection of Foodborne Pathogens" Foods 13, no. 11: 1635. https://doi.org/10.3390/foods13111635
APA StyleCosta-Ribeiro, A., Lamas, A., & Garrido-Maestu, A. (2024). Evaluating Commercial Loop-Mediated Isothermal Amplification Master Mixes for Enhanced Detection of Foodborne Pathogens. Foods, 13(11), 1635. https://doi.org/10.3390/foods13111635

