Unlocking the Potential of the ANN Optimization in Sweet Potato Varieties Drying Processes
Abstract
:1. Introduction
- Sample preparation;
- Drying process;
- Comprehensive characterization (color, chemical and mineral composition, phenolic content, antioxidant capacity, pharmaceutical activities, and antimicrobial potential);
- Mathematical analysis (principal component, correlation, cluster analysis, and descriptive statistics);
- Artificial neural network modeling;
- Optimization of parameters of dried sweet potato.
2. Materials and Methods
2.1. Vegetable Material and Processing Steps
2.2. Evaluation of Targeted Sweet Potato Characteristics
2.2.1. Color of Sweet Potato
2.2.2. Chemical Composition
2.2.3. Mineral Composition
2.2.4. Extracts Preparation
2.2.5. Total Phenolic Content
2.2.6. Antioxidant Capacity
2.2.7. Pharmaceutical Activities
2.2.8. Antimicrobial Potential
2.3. Statistical Analysis
2.3.1. ANN Modeling
2.3.2. Global Sensitivity Analysis
2.3.3. Multi-Objective Optimization
2.3.4. The Accuracy of the Model
3. Results and Discussion
3.1. Color Characteristics of Sweet Potato Samples
3.2. Chemical Analysis of Sweet Potato Samples
3.3. Minerals Content of Sweet Potato Samples
3.4. Bioactive Compounds and Biological Potentials of Sweet Potato Samples
3.5. Color Correlation of the Sweet Potato Samples
3.6. Principal Component Analysis
3.7. Cluster Analysis of Sweet Potato Samples
3.8. Artificial Neural Network Model
3.9. ANN Model Validation
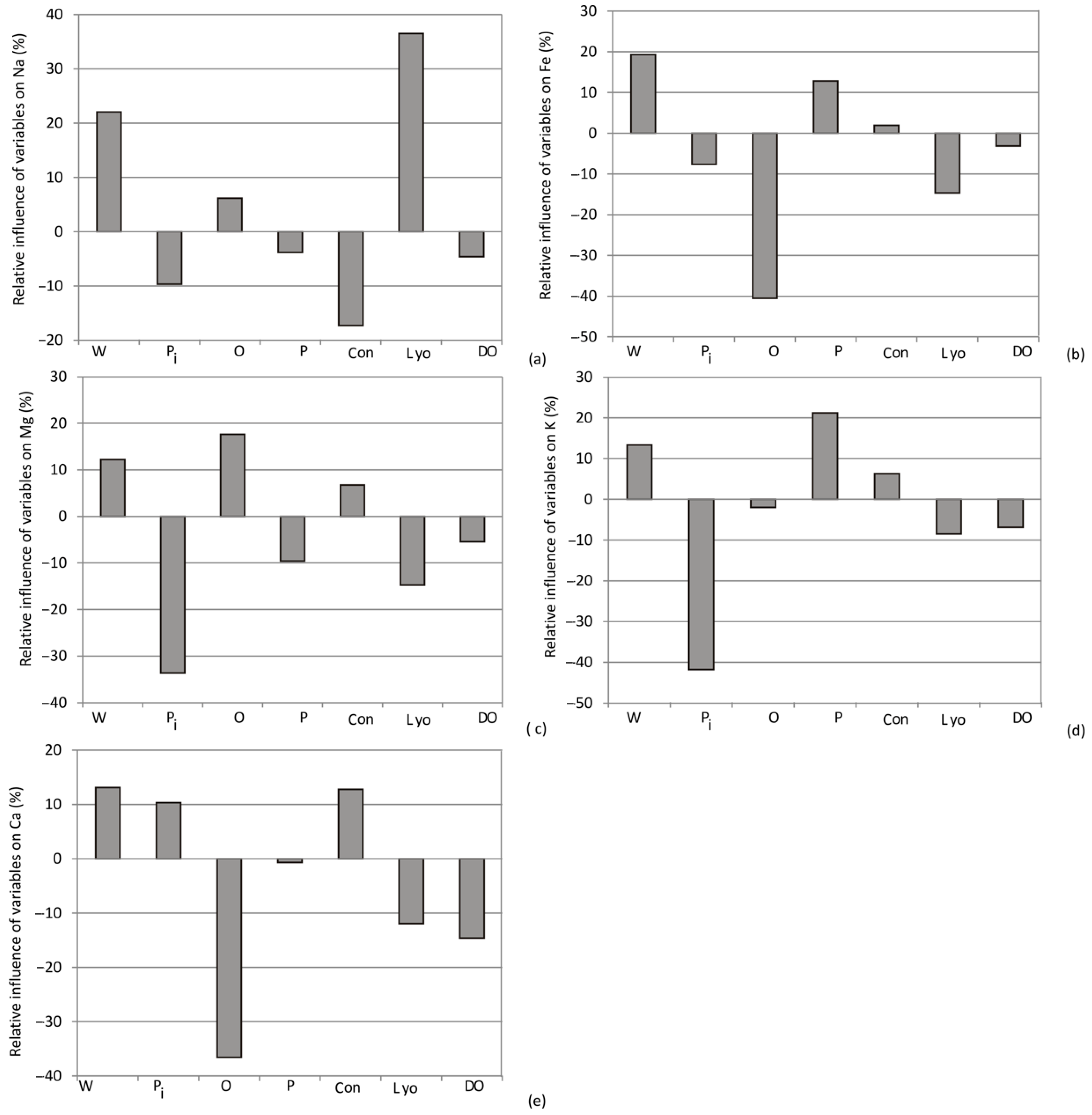
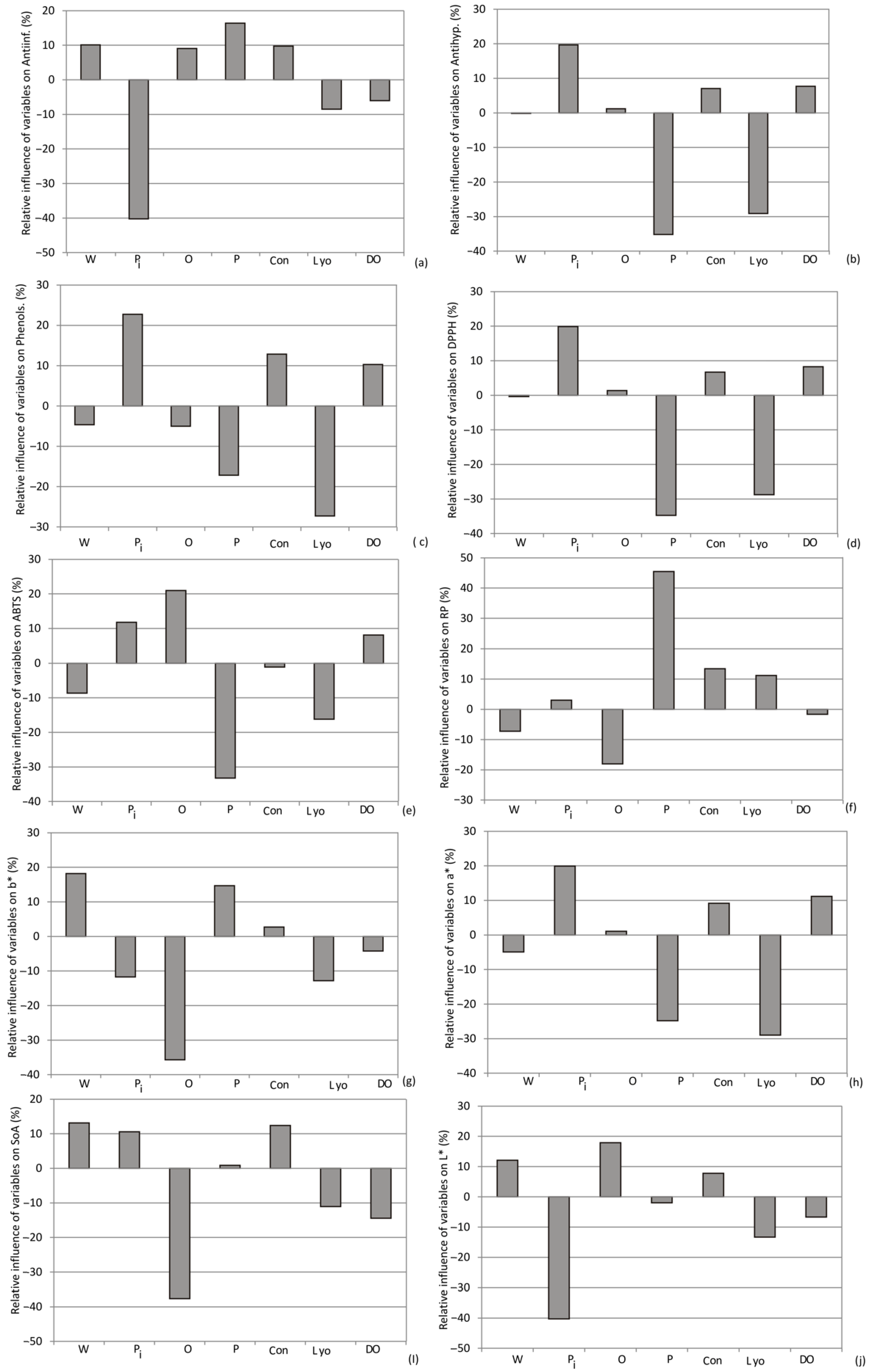
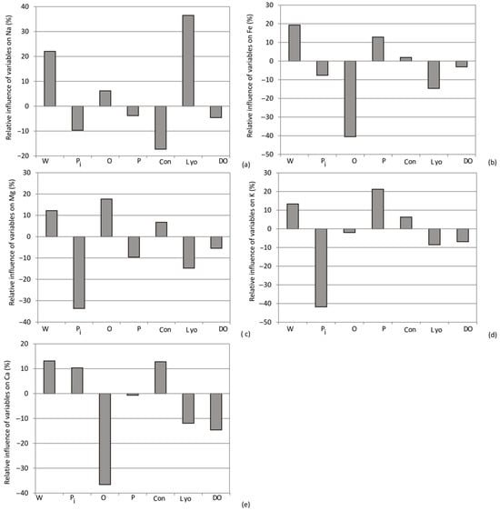
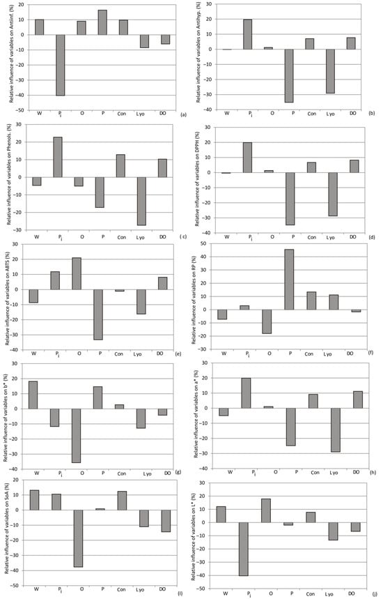
3.10. Yoon’s Interpretation Method
4. Conclusions
Supplementary Materials
Author Contributions
Funding
Institutional Review Board Statement
Informed Consent Statement
Data Availability Statement
Acknowledgments
Conflicts of Interest
References
- Sapakhova, Z.; Raissova, N.; Daurov, D.; Zhapar, K.; Daurova, A.; Zhigailov, A.; Zhambakin, K.; Shamekova, M. Sweet Potato as a Key Crop for Food Security under the Conditions of Global Climate Change: A Review. Plants 2023, 12, 2516. [Google Scholar] [CrossRef] [PubMed]
- Wang, S.; Nie, S.; Zhu, F. Chemical Constituents and Health Effects of Sweet Potato. Food Res. Int. 2016, 89, 90–116. [Google Scholar] [CrossRef] [PubMed]
- Ayeleso, T.B.; Ramachela, K.; Mukwevho, E. A Review of Therapeutic Potentials of Sweet Potato: Pharmacological Activities and Influence of the Cultivar. Trop. J. Pharm. Res. 2017, 15, 2751. [Google Scholar] [CrossRef]
- Mohanraj, R.; Sivasankar, S. Sweet Potato (Ipomoea Batatas [L.] Lam)—A Valuable Medicinal Food: A Review. J. Med. Food 2014, 17, 733–741. [Google Scholar] [CrossRef] [PubMed]
- Bovell-Benjamin, A.C. Sweet Potato: A Review of Its Past, Present, and Future Role in Human Nutrition. Adv. Food Nutr. Res. 2007, 52, 1–59. [Google Scholar] [PubMed]
- Sagar, V.R.; Suresh Kumar, P. Recent Advances in Drying and Dehydration of Fruits and Vegetables: A Review. J. Food Sci. Technol. 2010, 47, 15–26. [Google Scholar] [CrossRef] [PubMed]
- Kamiloglu, S.; Toydemir, G.; Boyacioglu, D.; Beekwilder, J.; Hall, R.D.; Capanoglu, E. A Review on the Effect of Drying on Antioxidant Potential of Fruits and Vegetables. Crit. Rev. Food Sci. Nutr. 2016, 56, S110–S129. [Google Scholar] [CrossRef]
- Filipović, V.; Filipović, J.; Lončar, B.; Knežević, V.; Nićetin, M.; Vujačić, V. Modeling the Effects of Osmotic Dehydration Pretreatment Parameters and Lyophilization Kinetics on Mass Transfer and Selected Nutritive Parameters of Peaches. Period. Polytech. Chem. Eng. 2022, 66, 650–659. [Google Scholar] [CrossRef]
- Šovljanski, O.; Tomić, A.; Pezo, L.; Markov, S. Temperature and pH Growth Profile Prediction of Newly Isolated Bacterial Strains from Alkaline Soils. J. Sci. Food Agric. 2020, 100, 1155–1163. [Google Scholar] [CrossRef]
- Aghbashlo, M.; Hosseinpour, S.; Mujumdar, A.S. Application of Artificial Neural Networks (ANNs) in Drying Technology: A Comprehensive Review. Dry. Technol. 2015, 33, 1397–1462. [Google Scholar] [CrossRef]
- Šovljanski, O.; Pezo, L.; Tomić, A.; Ranitović, A.; Cvetković, D.; Markov, S. Contribution of Bacterial Cells as Nucleation Centers in Microbiologically Induced CaCO 3 Precipitation—A Mathematical Modeling Approach. J. Basic Microbiol. 2021, 61, 835–848. [Google Scholar] [CrossRef] [PubMed]
- Sovljanski, O.; Tomic, A.; Pezo, L.; Ranitovic, A.; Markov, S. Prediction of Denitrification Capacity of Alkalotolerant Bacterial Isolates from Soil—An Artificial Neural Network Model. J. Serb. Chem. Soc. 2020, 85, 1417–1427. [Google Scholar] [CrossRef]
- Filipović, J.; Pezo, L.; Filipović, V.; Brkljača, J.; Krulj, J. The Effects of ω-3 Fatty Acids and Inulin Addition to Spelt Pasta Quality. LWT-Food Sci. Technol. 2015, 63, 43–51. [Google Scholar] [CrossRef]
- Anonymous. Official Methods of Analysis, 15th ed.; Method No. 930.25; Association of Official Analytical Chemists: Arlington, VA, USA, 1990. [Google Scholar]
- Horwitz, W. Official Methods of Analysis of AOAC International, 21st ed.; AOAC International: Gaithersburg, MD, USA, 2019. [Google Scholar]
- Šeregelj, V.; Ćetković, G.; Čanadanović-Brunet, J.; Tumbas Šaponjac, V.; Vulić, J.; Stajčić, S. Encapsulation and Degradation Kinetics of Bioactive Compounds from Sweet Potato Peel During Storage. Food Technol. Biotechnol. 2020, 58, 314–324. [Google Scholar] [CrossRef] [PubMed]
- Šovljanski, O.; Šeregelj, V.; Pezo, L.; Tumbas Šaponjac, V.; Vulić, J.; Cvanić, T.; Markov, S.; Ćetković, G.; Čanadanović-Brunet, J. Horned Melon Pulp, Peel, and Seed: New Insight into Phytochemical and Biological Properties. Antioxidants 2022, 11, 825. [Google Scholar] [CrossRef] [PubMed]
- Aborus, N.E.; Tumbas Šaponjac, V.; Čanadanović-Brunet, J.; ĆetkoviĆ, G.; Hidalgo, A.; Vulić, J.; Šeregelj, V. Sprouted and freeze-dried wheat and oat seeds—Phytochemical profile and in vitro biological activities. Chem. Biodivers. 2018, 15, e1800119. [Google Scholar] [CrossRef] [PubMed]
- Šeregelj, V.; Tumbas Šaponjac, V.; Pezo, L.; Kojić, J.; Cvetković, B.; Ilic, N. Analysis of Antioxidant Potential of Fruit and Vegetable Juices Available in Serbian Markets. Food Sci. Technol. Int. 2023. [Google Scholar] [CrossRef]
- Oyaizu, M. Studies on products of browning reaction-antioxidant activities of products of browning reaction prepared from glucosamine. Jpn. J. Nutr. 1986, 44, 307–315. [Google Scholar] [CrossRef]
- Gironés-Vilaplana, A.; Valentão, P.; Moreno, D.A.; Ferreres, F.; García-Viguera, C.; Andrade, P.B. New Beverages of Lemon Juice Enriched with the Exotic Berries Maqui, Açaí, and Blackthorn: Bioactive Components and in Vitro Biological Properties. J. Agric. Food Chem. 2012, 60, 6571–6580. [Google Scholar] [CrossRef]
- Ranitović, A.; Šovljanski, O.; Aćimović, M.; Pezo, L.; Tomić, A.; Travičić, V.; Saveljić, A.; Cvetković, D.; Ćetković, G.; Vulić, J.; et al. Biological Potential of Alternative Kombucha Beverages Fermented on Essential Oil Distillation By-Products. Fermentation 2022, 8, 625. [Google Scholar] [CrossRef]
- Šovljanski, O.; Pezo, L.; Grahovac, J.; Tomić, A.; Ranitović, A.; Cvetković, D.; Markov, S. Best-Performing Bacillus Strains for Microbiologically Induced CaCO3 Precipitation: Screening of Relative Influence of Operational and Environmental Factors. J. Biotechnol. 2022, 350, 31–41. [Google Scholar] [CrossRef] [PubMed]
- Zainuddin, Z.; Pauline, O. Function Approximation Using Artificial Neural Networks. WSEAS Trans. Math. 2008, 7, 333–338. [Google Scholar]
- Kim, K.-K.K.; Patrón, E.R.; Braatz, R.D. Standard Representation and Unified Stability Analysis for Dynamic Artificial Neural Network Models. Neural Netw. 2018, 98, 251–262. [Google Scholar] [CrossRef] [PubMed]
- Chen, M.; Challita, U.; Saad, W.; Yin, C.; Debbah, M. Artificial Neural Networks-Based Machine Learning for Wireless Networks: A Tutorial. IEEE Commun. Surv. Tutor. 2019, 21, 3039–3071. [Google Scholar] [CrossRef]
- Huang, L.; Zhang, Q.; Liu, W.; Li, J.; Sun, L.; Wang, T. Convergence Analysis of Iterative Learning Control Systems Over Networks with Successive Input Data Compensation in Iteration Domain. IEEE Access 2019, 7, 160217–160226. [Google Scholar] [CrossRef]
- Rajković, D.; Marjanović Jeromela, A.; Pezo, L.; Lončar, B.; Zanetti, F.; Monti, A.; Kondić Špika, A. Yield and Quality Prediction of Winter Rapeseed—Artificial Neural Network and Random Forest Models. Agronomy 2021, 12, 58. [Google Scholar] [CrossRef]
- Suszyński, M.; Peta, K. Assembly Sequence Planning Using Artificial Neural Networks for Mechanical Parts Based on Selected Criteria. Appl. Sci. 2021, 11, 10414. [Google Scholar] [CrossRef]
- Stojić, N.; Pezo, L.; Lončar, B.; Pucarević, M.; Filipović, V.; Prokić, D.; Ćurčić, L.; Štrbac, S. Prediction of the Impact of Land Use and Soil Type on Concentrations of Heavy Metals and Phthalates in Soil Based on Model Simulation. Toxics 2023, 11, 269. [Google Scholar] [CrossRef]
- Yun, W.; Lu, Z.; Jiang, X. An Efficient Method for Moment-Independent Global Sensitivity Analysis by Dimensional Reduction Technique and Principle of Maximum Entropy. Reliab. Eng. Syst. Saf. 2019, 187, 174–182. [Google Scholar] [CrossRef]
- Kojić, J.S.; Ilić, N.M.; Kojić, P.S.; Pezo, L.L.; Banjac, V.V.; Krulj, J.A.; Bodroža Solarov, M.I. Multiobjective Process Optimization for Betaine Enriched Spelt Flour Based Extrudates. J. Food Process Eng. 2019, 42, e12942. [Google Scholar] [CrossRef]
- Goldberg, D.E.; Korb, B.; Deb, K. Messy genetic algorithms: Motivation, analysis, and first results. Complex Syst. 1989, 3, 493–530. [Google Scholar]
- Silitonga, A.; Mahlia, T.; Shamsuddin, A.; Ong, H.; Milano, J.; Kusumo, F.; Sebayang, A.; Dharma, S.; Ibrahim, H.; Husin, H.; et al. Optimization of Cerbera Manghas Biodiesel Production Using Artificial Neural Networks Integrated with Ant Colony Optimization. Energies 2019, 12, 3811. [Google Scholar] [CrossRef]
- Manikantan, M.R.; Barnwal, P.; Goyal, R.K. Drying Characteristics of Paddy in an Integrated Dryer. J. Food Sci. Technol. 2014, 51, 813–819. [Google Scholar] [CrossRef] [PubMed]
- Hariadi, H.; Sunyoto, M.; Nurhadi, B.; Karuniawan, A. Study of Drying Method Types on the Physicochemical Characteristics of Purple-Fleshed Sweet Potato Extract Powder. Prog. Color Color. Coat. 2020, 13, 41–51. [Google Scholar]
- Lagnika, C.; Riaz, A.; Jiang, N.; Song, J.; Li, D.; Liu, C.; Wei, Q.; Zhang, M. Effects of Pretreatment and Drying Methods on the Quality and Stability of Dried Sweet Potato Slices during Storage. J. Food Process. Preserv. 2021, 45. [Google Scholar] [CrossRef]
- Savas, E. The Modelling of Convective Drying Variables’ Effects on the Functional Properties of Sliced Sweet Potatoes. Foods 2022, 11, 741. [Google Scholar] [CrossRef] [PubMed]
- Rodrigues, N.D.R.; Barbosa Junior, J.L.; Barbosa, M.I.M.J. Determination of physico-chemical composition, nutritional facts and technological quality of organic orange and purple-fleshed sweet potatoes and its flours. Int. Food Res. J. 2016, 23, 2071–2078. [Google Scholar]
- Antonio, G.C.; Takeiti, C.Y.; de Oliveira, R.A.; Park, K.J. Sweet Potato: Production, Morphological and Physicochemical Characteristics, and Technological Process. Fruit Veg. Cereal Sci. Biotechnol. 2011, 5, 1–18. [Google Scholar]
- Grabowski, J.A.; Truong, V.-D.; Daubert, C.R. Nutritional and Rheological Characterization of Spray Dried Sweetpotato Powder. LWT-Food Sci. Technol. 2008, 41, 206–216. [Google Scholar] [CrossRef]
- Chintha, P.; Sarkar, D.; Pecota, K.; Dogramaci, M.; Hatterman-Valenti, H.; Shetty, K. Phenolic Bioactive-Linked Antioxidant, Anti-Hyperglycemic, and Antihypertensive Properties of Sweet Potato Cultivars with Different Flesh Color. Hortic. Environ. Biotechnol. 2023, 64, 877–893. [Google Scholar] [CrossRef]
- Irène, W.; Eugenie, A.; Durand, D.-N.; Eustache, A.; Martial, N.; Gautier, R.; Lamine, B.-M. Phenolic Profile and Antioxidant, Anti-Inflammatory Activity of Annona Senegalensis, Ipomoea Batatas, Terminalia superba and Psidium guajava Linn Extracts Used in Benin. AJPS 2022, 13, 1296–1310. [Google Scholar] [CrossRef]
- Ji, H.; Zhang, H.; Li, H.; Li, Y. Analysis on the Nutrition Composition and Antioxidant Activity of Different Types of Sweet Potato Cultivars. FNS 2015, 6, 161–167. [Google Scholar] [CrossRef]
- Wang, J.; Wu, G.; Wang, Z.; Shu, B.; Li, L.; Zhang, R.; Huang, F.; Dong, L.; Zhang, M.; Chen, S.; et al. The Influence of Processing Conditions on Kinetics, Anthocyanin Profile and Antioxidant Activity of Purple Sweet Potato Subjected to Hot Air Drying. J. Food Process Eng. 2020, 43, e13472. [Google Scholar] [CrossRef]
- Kim, H.; Koo, K.A.; Park, W.S.; Kang, D.; Kim, H.S.; Lee, B.Y.; Goo, Y.; Kim, J.; Lee, M.K.; Woo, D.K.; et al. Anti-obesity Activity of Anthocyanin and Carotenoid Extracts from Color-fleshed Sweet Potatoes. J. Food Biochem. 2020, 44. [Google Scholar] [CrossRef] [PubMed]
- Lee, J.; Rennaker, C.; Wrolstad, R.E. Correlation of Two Anthocyanin Quantification Methods: HPLC and Spectrophotometric Methods. Food Chem. 2008, 110, 782–786. [Google Scholar] [CrossRef]
- Naz, S.; Naqvi, S.A.R.; Khan, Z.A.; Mansha, A.; Ahmad, M.; Zahoor, A.F.; Hussain, Z. Antioxidant, Antimicrobial and Antiproliferative Activities of Peel and Pulp Extracts of Red and White Varieties of Ipomoea Batatas (L) Lam. Trop. J. Pharm Res 2017, 16, 2221. [Google Scholar] [CrossRef]
- Amoanimaa-Dede, H.; Su, C.; Yeboah, A.; Chen, C.; Yang, S.; Zhu, H.; Chen, M. Flesh Color Diversity of Sweet Potato: An Overview of the Composition, Functions, Biosynthesis, and Gene Regulation of the Major Pigments. Phyton 2020, 89, 805–833. [Google Scholar] [CrossRef]
- Guo, K.; Yang, Z.; Yu, C.-H.; Buehler, M.J. Artificial Intelligence and Machine Learning in Design of Mechanical Materials. Mater. Horiz. 2021, 8, 1153–1172. [Google Scholar] [CrossRef]
- Ruškić, N.; Mirović, V.; Marić, M.; Pezo, L.; Lončar, B.; Nićetin, M.; Ćurčić, L. Model for Determining Noise Level Depending on Traffic Volume at Intersections. Sustainability 2022, 14, 12443. [Google Scholar] [CrossRef]














| No. | Varieties of I. batatas | Drying Method | Coordinates | ||
|---|---|---|---|---|---|
| L* (Lightness) | a* (Red-Green) | b* (Yellow-Blue) | |||
| 1 | White | lyophilization | 86.32 ± 0.06 | −0.95 ± 0.03 | 16.99 ± 0.24 |
| 2 | convective drying | 80.65 ± 0.15 | 1.33 ± 0.11 | 18.72 ± 0.13 | |
| 3 | osmotic dehydration | 65.36 ± 0.31 | 5.36 ± 0.02 | 23.17 ± 0.14 | |
| 4 | Pink | lyophilization | 85.75 ± 0.09 | −0.04 ± 0.01 | 14.69 ± 0.05 |
| 5 | convective drying | 85.75 ± 0.06 | 0.83 ± 0.02 | 17.74 ± 0.11 | |
| 6 | osmotic dehydration | 63.38 ± 0.11 | 6.33 ± 0.03 | 25.02 ± 0.09 | |
| 7 | Orange | lyophilization | 79.13 ± 0.06 | 17.66 ± 0.22 | 22.74 ± 0.30 |
| 8 | convective drying | 80.79 ± 0.08 | 7.32 ± 0.15 | 28.88 ± 0.29 | |
| 9 | osmotic dehydration | 64.50 ± 0.10 | 18.04 ± 0.11 | 27.21 ± 0.13 | |
| 10 | Purple | lyophilization | 57.97 ± 0.33 | 21.09 ± 0.21 | −9.36 ± 0.01 |
| 11 | convective drying | 55.74 ± 0.15 | 16.61 ± 0.08 | −0.01 ± 0.06 | |
| 12 | osmotic dehydration | 55.26 ± 0.19 | 15.78 ± 0.08 | −4.67 ± 0.04 | |
| I. batatas Variety | Drying Method | Chemical Composition Parameters | ||||||
|---|---|---|---|---|---|---|---|---|
| Moisture (%) | Proteins (% DW) | Fats (% DW) | Total Sugars (% DW) | Cellulose (% DW) | Ash (% DW) | Total Carbohyd-Rates (%DW) | ||
| White | lyophilization | 5.12 ± 0.57 | 12.32 ± 0.63 | 0.72 ± 0.11 | 25.47 ± 3.43 | 4.53 ± 0.97 | 4.92 ± 0.37 | 77.85 |
| convective drying | 6.03 ± 0.67 | 13.07 ± 0.67 | 0.57 ± 0.09 | 45.14 ± 6.01 | 5.47 ± 0.67 | 4.73 ± 0.36 | 76.71 | |
| osmotic dehydration | 7.1 ± 0.78 | 12.49 ± 0.65 | 0.55 ± 0.08 | 32.94 ± 4.35 | 4.15 ± 0.89 | 8.89 ± 0.67 | 72.52 | |
| Pink | lyophilization | 3.2 ± 0.35 | 13.8 ± 0.71 | 0.61 ± 0.09 | 27.18 ± 3.73 | 4.55 ± 0.97 | 2.63 ± 0.2 | 80.31 |
| convective drying | 4.61 ± 0.51 | 14.27 ± 0.74 | 0.68 ± 0.1 | 34.13 ± 4.62 | 4.7 ± 1.0 | 4.84 ± 0.37 | 76.51 | |
| osmotic dehydration | 9.05 ± 1.01 | 13.4 ± 0.69 | 0.57 ± 0.08 | 34.42 ± 4.42 | 3.78 ± 0.81 | 8.00 ± 0.6 | 70.92 | |
| Orange | lyophilization | 3.48 ± 0.38 | 11.2 ± 0.58 | 0.75 ± 0.12 | 26.39 ± 3.61 | 3.5 ± 0.75 | 4.36 ± 0.33 | 80.77 |
| convective drying | 3.88 ± 0.43 | 12.04 ± 0.62 | 0.83 ± 0.13 | 31.36 ± 4.27 | 4.22 ± 0.9 | 4.76 ± 0.36 | 79.17 | |
| osmotic dehydration | 7.93 ± 0.88 | 10.5 ± 0.54 | 0.92 ± 0.14 | 37.28 ± 4.87 | 4.39 ± 0.94 | 7.24 ± 0.55 | 74.89 | |
| Purple | lyophilization | 2.97 ± 0.33 | 12.6 ± 0.65 | 0.60 ± 0.09 | 17.29 ± 2.38 | 3.97 ± 0.85 | 3.45 ± 0.26 | 80.89 |
| convective drying | 2.27 ± 0.25 | 10.75 ± 0.55 | 0.54 ± 0.08 | 20.6 ± 2.85 | 4.33 ± 0.93 | 3.74 ± 0.28 | 83.04 | |
| osmotic dehydration | 5.53 ± 0.19 | 10.62 ± 0.45 | 0.42 ± 0.07 | 20.47 ± 2.79 | 3.85 ± 0.82 | 5.87 ± 0.44 | 80.05 | |
| I. batatas Varieties | Drying Method | Mineral Composition Parameters | ||||
|---|---|---|---|---|---|---|
| K (mg/kg) | Mg (mg/kg) | Ca (mg/kg) | Fe (mg/kg) | Na (mg/kg) | ||
| White | lyophilization | 26,140.70 ± 13.65 | 1009.14 ± 45.35 | 3179.92 ± 350.2 | 24.6 ± 1.56 | 415.92 ± 59.31 |
| convective drying | 25,111.59 ± 2123.32 | 1358.6 ± 110.45 | 2211.47 ± 240.8 | 33.41 ± 3.15 | 52.96 ± 5.36 | |
| osmotic dehydration | 28,673.71 ± 2708.2 | 964.91 ± 109.91 | 2665.09 ± 210.7 | 72.91 ± 7.24 | 14,272.88 ± 1186.6 | |
| Pink | lyophilization | 27,530.03 ± 2520.42 | 1660.47 ± 157.21 | 3565.12 ± 349.4 | 26.32 ± 1.92 | 560.74 ± 65.91 |
| convective drying | 26,148.12 ± 2293.52 | 1116.89 ± 113.01 | 1975.157 ± 204.4 | 24.61 ± 2.79 | 869.513 ± 103.2 | |
| osmotic dehydration | 30,571.70 ± 3019.87 | 880.21 ± 106.35 | 1818.41 ± 180.2 | 71.95 ± 8.09 | 13,368.26 ± 1048.02 | |
| Orange | lyophilization | 28,030.08 ± 2602.54 | 846.53 ± 101.13 | 1458.31 ± 124.7 | 17.37 ± 1.68 | 425.71 ± 35.22 |
| convective drying | 27,759.82 ± 2558.16 | 899.41 ± 109.32 | 1840.84 ± 183.6 | 35.06 ± 2.41 | 605.2 ± 82.72 | |
| osmotic dehydration | 26,446.61 ± 2342.53 | 996.28 ± 94.33 | 1249.4 ± 142.5 | 35.23 ± 2.43 | 11,070.1 ± 1195.94 | |
| Purple | lyophilization | 19,427.35 ± 1189.97 | 1241.44 ± 82.3 | 2841.53 ± 237.88 | 21.86 ± 1.37 | 516.69 ± 49.16 |
| convective drying | 21,594.92 ± 1545.87 | 1025.13 ± 58.84 | 1786.42 ± 175.29 | 15.01 ± 1.31 | 516.44 ± 49.12 | |
| osmotic dehydration | 14,392.76 ± 10,771.55 | 720.05 ± 81.55 | 1483.48 ± 128.6 | 58.9 ± 5.08 | 6919.21 ± 700.02 | |
| I. batatas Variety | Drying Method | Total Phenolic Content (mg/100 g DW) | Antioxidant Assays (μM TE/100 g DW) | Pharmacological Activities (%) | ||||
|---|---|---|---|---|---|---|---|---|
| DPPH● | ABTS●+ | RP | SoA | AIA | AHgA | |||
| White | lyophilization | 191.44 ± 9.80 | 454.92 ± 25.52 | 988.46 ± 26.23 | 549.22 ± 29.08 | 18,793.31 ± 273.52 | 5.56 ± 0.2 | 8.06 ± 0.26 |
| convective drying | 278.24 ± 16.17 | 687.53 ± 30.45 | 586.54 ± 32.48 | 1324.76 ± 29.03 | 21,305.91 ± 290.41 | 49.40 ± 1.29 | 61.56 ± 1.39 | |
| osmotic dehydration | 283.06 ± 17.35 | 619.05 ± 23.32 | 1855.91 ± 3.75 | 570.92 ± 17.21 | 18,651.15 ± 386.25 | 54.07 ± 1.83 | 3.37 ± 0.21 | |
| Pink | lyophilization | 182.75 ± 10.12 | 297.73 ± 22.67 | 890.41 ± 3.12 | 451.67 ± 3.18 | 21,135.65 ± 281.68 | 50.62 ± 1.56 | 1.49 ± 0.04 |
| convective drying | 207.45 ± 5.63 | 451.63 ± 27.58 | 1756.68 ± 68.48 | 1025.29 ± 2.92 | 18,221.36 ± 524.17 | 56.81 ± 1.9 | 40.10 ± 0.76 | |
| osmotic dehydration | 255.29 ± 7.16 | 500.41 ± 17.21 | 1720.31 ± 43.77 | 569.95 ± 24.16 | 13,714.78 ± 120.91 | 56.39 ± 1.46 | 4.18 ± 0.17 | |
| Orange | lyophilization | 376.64 ± 27.89 | 680.66 ± 6.15 | 2025.80 ± 65.54 | 977.26 ± 17.00 | 21,367.07 ± 543.81 | 45.40 ± 1.13 | 6.51 ± 0.13 |
| convective drying | 211.55 ± 11.78 | 449.92 ± 23.16 | 1857.67 ± 6.25 | 786.29 ± 12.75 | 17,619.65 ± 249.45 | 45.84 ± 0.45 | 44.40 ± 3.08 | |
| osmotic dehydration | 227.53 ± 17.13 | 381.78 ± 16.19 | 1584.72 ± 39.98 | 568.98 ± 4.54 | 8778.42 ± 431.31 | 58.72 ± 0.91 | 4.99 ± 0.48 | |
| Purple | lyophilization | 1677.76 ± 61.23 | 1500.56 ± 35.63 | 10,083.37 ± 8.59 | 3130.81 ± 51.33 | 22,753.97 ± 50.17 | 8.93 ± 0.94 | 24.42 ± 0.50 |
| convective drying | 1428.23 ± 82.94 | 1253.21 ± 31.09 | 7547.88 ± 89.21 | 2595.32 ± 31.17 | 22,529.16 ± 42.18 | 20.14 ± 0.68 | 23.04 ± 1.11 | |
| osmotic dehydration | 2006.81 ± 113.7 | 1172.29 ± 33.52 | 5316.85 ± 103.69 | 2544.64 ± 78.41 | 22,580.40 ± 52.56 | 5.94 ± 0.89 | 13.32 ± 1.44 | |
| Network Name | Performance | Error | Hidden Activation | Output Activation | ||||
|---|---|---|---|---|---|---|---|---|
| Training | Testing | Validation | Training | Testing | Validation | |||
| MLP 7-9-22 | 0.998 | 0.998 | 0.998 | 41,837.805 | 70,412.684 | 37,861.37 | Tanh | Logistic |
| Training Algorithm | Error Function | |||||||
| BFGS 865 | SOS | |||||||
| Tested Parameters | The “Goodness of fit” Validation Parameters | |||||||||||
|---|---|---|---|---|---|---|---|---|---|---|---|---|
| χ2 | RMSE | MBE | MPE | SSE | AARD | r2 | Skew | Kurt | Mean | StDev | Var | |
| TPC (mg/100 g) | 50.532 | 6.806 | 0.093 | 2.019 | 611.308 | 55.732 | 1.000 | −0.931 | 0.699 | 0.102 | 7.455 | 55.573 |
| DPPH● (μg TE/100 g) | 113.836 | 10.215 | 0.052 | 1.182 | 1.4 × 103 | 68.509 | 0.999 | −1.154 | 4.085 | 0.057 | 11.190 | 125.216 |
| ABTS●+ (μg TE/100 g) | 2.6 × 104 | 154.896 | −9.189 | 8.191 | 3.2 × 105 | 1.0 × 103 | 0.997 | 0.339 | 3.978 | −10.024 | 169.354 | 2.9 × 104 |
| RP (μg TE/100 g) | 1.4 × 103 | 35.645 | 6.687 | 2.966 | 1.6 × 104 | 245.060 | 0.998 | 1.597 | 2.623 | 7.295 | 38.290 | 1.5 × 103 |
| SoA (μg TE/100 g) | 322.170 | 17.185 | −1.485 | 0.065 | 3.9 × 103 | 131.173 | 1.000 | −0.226 | 1.647 | −1.620 | 18.748 | 351.499 |
| AIA (%) | 0.001 | 0.031 | −0.005 | 0.073 | 0.013 | 0.272 | 1.000 | 1.197 | 2.171 | −0.005 | 0.034 | 0.001 |
| AHgA (%) | 0.257 | 0.486 | 0.026 | 5.426 | 3.104 | 3.576 | 0.999 | −0.185 | 2.278 | 0.029 | 0.531 | 0.282 |
| Moisture (%) | 0.007 | 0.082 | −0.011 | 1.509 | 0.086 | 0.597 | 0.998 | −1.269 | 1.939 | −0.012 | 0.089 | 0.008 |
| Proteins (%) | 0.006 | 0.072 | 0.020 | 0.228 | 0.063 | 0.303 | 0.997 | 3.264 | 10.749 | 0.022 | 0.076 | 0.006 |
| Fat (%) | 0.000 | 0.002 | 0.000 | 0.206 | 0.000 | 0.015 | 1.000 | 0.903 | 3.156 | 0.000 | 0.002 | 0.000 |
| Sugars (%) | 0.014 | 0.114 | −0.009 | 0.332 | 0.170 | 0.950 | 1.000 | −0.251 | 0.852 | −0.010 | 0.124 | 0.015 |
| Cellulose (%) | 0.000 | 0.012 | −0.002 | 0.202 | 0.002 | 0.099 | 0.999 | −0.313 | −0.761 | −0.002 | 0.013 | 0.000 |
| Ash (%) | 0.005 | 0.070 | 0.000 | 0.845 | 0.064 | 0.490 | 0.998 | 1.818 | 5.159 | 0.000 | 0.076 | 0.006 |
| Total carbs. (%) | 0.119 | 0.330 | 0.005 | 0.236 | 1.436 | 2.066 | 0.991 | 0.406 | 3.863 | 0.005 | 0.361 | 0.131 |
| K (mg/kg) | 2.6 × 104 | 155.136 | 3.440 | 0.387 | 3.2 × 105 | 1.3 × 103 | 0.997 | −0.268 | 1.345 | 3.753 | 169.897 | 2.9 × 104 |
| Mg (mg/kg) | 39.175 | 5.993 | 0.058 | 0.398 | 473.967 | 46.567 | 0.999 | 0.078 | 0.691 | 0.064 | 6.564 | 43.088 |
| Ca (mg/kg) | 110.732 | 10.075 | −0.140 | 0.350 | 1.3 × 103 | 78.373 | 1.000 | −0.927 | 1.673 | −0.152 | 11.035 | 121.780 |
| Fe (mg/kg) | 4.268 | 1.978 | 0.563 | 2.750 | 47.086 | 7.162 | 0.990 | 3.313 | 10.983 | 0.614 | 2.069 | 4.281 |
| Na (mg/kg) | 9.5 × 104 | 294.347 | 130.12 | 22.393 | 9.0 × 105 | 1.8 × 103 | 0.998 | 1.810 | 2.436 | 141.944 | 286.016 | 8.2 × 104 |
| L* | 0.016 | 0.122 | −0.015 | 0.107 | 0.194 | 0.883 | 1.000 | −1.338 | 1.442 | −0.016 | 0.133 | 0.018 |
| a* | 0.226 | 0.455 | 0.076 | −174.220 | 2.652 | 3.053 | 0.997 | −0.304 | 2.278 | 0.083 | 0.491 | 0.241 |
| b* | 0.015 | 0.117 | −0.022 | −121.651 | 0.174 | 1.041 | 1.000 | 0.253 | −0.401 | −0.024 | 0.126 | 0.016 |
Disclaimer/Publisher’s Note: The statements, opinions and data contained in all publications are solely those of the individual author(s) and contributor(s) and not of MDPI and/or the editor(s). MDPI and/or the editor(s) disclaim responsibility for any injury to people or property resulting from any ideas, methods, instructions or products referred to in the content. |
© 2023 by the authors. Licensee MDPI, Basel, Switzerland. This article is an open access article distributed under the terms and conditions of the Creative Commons Attribution (CC BY) license (https://creativecommons.org/licenses/by/4.0/).
Share and Cite
Šovljanski, O.; Lončar, B.; Pezo, L.; Saveljić, A.; Tomić, A.; Brunet, S.; Filipović, V.; Filipović, J.; Čanadanović-Brunet, J.; Ćetković, G.; et al. Unlocking the Potential of the ANN Optimization in Sweet Potato Varieties Drying Processes. Foods 2024, 13, 134. https://doi.org/10.3390/foods13010134
Šovljanski O, Lončar B, Pezo L, Saveljić A, Tomić A, Brunet S, Filipović V, Filipović J, Čanadanović-Brunet J, Ćetković G, et al. Unlocking the Potential of the ANN Optimization in Sweet Potato Varieties Drying Processes. Foods. 2024; 13(1):134. https://doi.org/10.3390/foods13010134
Chicago/Turabian StyleŠovljanski, Olja, Biljana Lončar, Lato Pezo, Anja Saveljić, Ana Tomić, Sara Brunet, Vladimir Filipović, Jelena Filipović, Jasna Čanadanović-Brunet, Gordana Ćetković, and et al. 2024. "Unlocking the Potential of the ANN Optimization in Sweet Potato Varieties Drying Processes" Foods 13, no. 1: 134. https://doi.org/10.3390/foods13010134
APA StyleŠovljanski, O., Lončar, B., Pezo, L., Saveljić, A., Tomić, A., Brunet, S., Filipović, V., Filipović, J., Čanadanović-Brunet, J., Ćetković, G., & Travičić, V. (2024). Unlocking the Potential of the ANN Optimization in Sweet Potato Varieties Drying Processes. Foods, 13(1), 134. https://doi.org/10.3390/foods13010134

