Progress and Prospective of the Industrial Development and Applications of Eco-Friendly Colorants: An Insight into Environmental Impact and Sustainability Issues
Abstract
1. Introduction
2. Natural Colorants and Their Classification by Source
2.1. Origin-History
2.2. Classification by Source
2.2.1. Plants
2.2.2. Animal
2.2.3. Microbes and Minerals
3. Classification Based on Their Chemical Structure
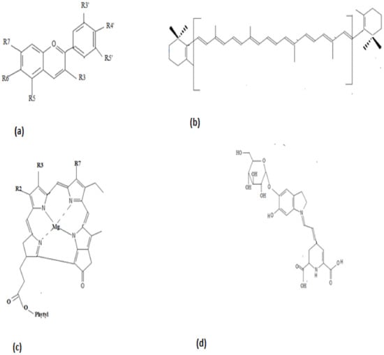
3.1. Anthocyanins: Flavonoid Derivatives
3.2. Isoprenoid Derivatives: Carotenoids
3.3. Pyrrole Derivatives: Chlorophyll
3.4. Nitrogen-Heterocyclic Derivatives: Betalains
3.5. Phycobiliproteins
4. Artificial Colorants
4.1. Water-Soluble Colorants
4.2. Oil Soluble Colorants
4.3. Lake Colorants
5. Extraction and Characterization of Natural Colorants
5.1. Anthocyanins
5.2. Carotenoids
5.3. Carminic Acid
5.4. Curcuminoid
6. Major Applications of Natural Colorants Established So Far
6.1. Nutraceuticals
6.2. Food Safety Markers
7. Impact of Synthetic and Natural Colorants
7.1. Health Impacts
7.2. Environmental Impacts
8. Challenges in the Sustainable Utilization of Natural Colorants
8.1. Colorant Stability
8.2. Legal Regulations
8.3. Cost Component
8.4. Yield
8.5. Co-Production of Toxins
8.6. Future Prospects
9. Conclusions
Author Contributions
Funding
Data Availability Statement
Conflicts of Interest
References
- Yusuf, M.; Shabbir, M.; Mohammad, F. Natural Colorants: Historical, Processing and Sustainable Prospects. Nat. Prod. Bioprospecting 2017, 7, 123–145. [Google Scholar] [CrossRef]
- Yadav, S.; Tiwari, K.S.; Gupta, C.; Tiwari, M.K.; Khan, A.; Sonkar, S.P. A brief review on natural dyes, pigments: Recent advances and future perspectives. Results Chem. 2023, 5, 100733. [Google Scholar] [CrossRef]
- Decelles, C. The story of dyes and dyeing. J. Chem. Educ. 1949, 26, 583. [Google Scholar] [CrossRef]
- Hendry, G.A.F.; Houghton, J. Natural Food Colourants; Springer Science & Business Media: Berlin/Heidelberg, Germany, 1996. [Google Scholar]
- Prabhu, K.; Bhute, A.S. Plant based natural dyes and mordants: A Review. J. Nat. Prod. Plant Resour. 2012, 2, 649–664. [Google Scholar]
- Bora, P.; Das, P.; Bhattacharyya, R.; Barooah, M.S. Biocolour: The natural way of colouring food. J. Pharmacogn. Phytochem. 2019, 8, 3663–3668. [Google Scholar]
- Silva, M.M.; Reboredo, F.H.; Lidon, F.C. Food Colour Additives: A Synoptical Overview on Their Chemical Properties, Applications in Food Products, and Health Side Effects. Foods 2022, 11, 379. [Google Scholar] [CrossRef] [PubMed]
- Gupta, S.C.; Kismali, G.; Aggarwal, B.B. Curcumin, a component of turmeric: From farm to pharmacy. Biofactors 2013, 39, 2–13. [Google Scholar] [CrossRef] [PubMed]
- Esatbeyoglu, T.; Wagner, A.E.; Schiniatbeyo, V.B.; Rimbach, G. Betanin—A food colorant with biological activity. Mol. Nutr. Food Res. 2015, 59, 36–47. [Google Scholar] [CrossRef] [PubMed]
- Tambawala, H.; Batra, S.; Shirapure, Y.; More, A.P. Curcumin- A Bio-based Precursor for Smart and Active Food Packaging Systems: A Review. J. Polym. Environ. 2022, 30, 2177–2208. [Google Scholar] [CrossRef]
- AlAshkar, A.; Hassabo, A.G. Recent Use of Natural Animal Dyes in Various Field. J. Text. Color. Polym. Sci. 2021, 18, 191–210. [Google Scholar] [CrossRef]
- Li, S.; Mu, B.; Wang, X.; Wang, A. Recent researches on natural pigments stabilized by clay minerals: A review. Dye Pigment. 2021, 190, 109322. [Google Scholar] [CrossRef]
- Liu, Q.; He, Z.; Zeng, M.; Qin, F.; Wang, Z.; Liu, G.; Chen, J. Effects of different food ingredients on the color and absorption spectrum of carminic acid and carminic aluminum lake. Food Sci. Nutr. 2021, 9, 36–43. [Google Scholar] [CrossRef] [PubMed]
- Sen, T.; Barrow, C.; Deshmukh, S.K. Microbial Pigments in the Food Industry—Challenges and the Way Forward. Front. Nutr. 2019, 6, 7. [Google Scholar] [CrossRef]
- Obón, J.M.; Castellar, M.R.; Alacid, M.; Fernández-López, J.A. Production of a red–purple food colorant from Opuntia stricta fruits by spray drying and its application in food model systems. J. Food Eng. 2009, 90, 471–479. [Google Scholar] [CrossRef]
- He, J.; Giusti, M.M. Anthocyanins: Natural Colorants with Health-Promoting Properties. Annu. Rev. Food Sci. Technol. 2010, 1, 163–187. [Google Scholar] [CrossRef]
- Andersen, Ø.; Jordheim, M. Anthocyanins in Health and Disease—Google Books. In Anthocyanins in Health and Disease; Wallace, T.C., Giusti, M., Eds.; CRC Press: Boca Raton, FL, USA, 2014; pp. 13–90. [Google Scholar]
- Eiro, M.J.; Heinonen, M. Anthocyanin Color Behavior and Stability during Storage: Effect of Intermolecular Copigmentation. J. Agric. Food Chem. 2002, 50, 7461–7466. [Google Scholar] [CrossRef] [PubMed]
- Fossen, T.; Rayyan, S.; Holmberg, M.H.; Nimtz, M.; Andersen, Ø.M. Covalent anthocyanin–flavone dimer from leaves of Oxalis triangularis. Phytochemistry 2007, 68, 652–662. [Google Scholar] [CrossRef] [PubMed]
- Malien-Aubert, C.; Dangles, O.; Amiot, M.J. Color Stability of Commercial Anthocyanin-Based Extracts in Relation to the Phenolic Composition. Protective Effects by Intra- and Intermolecular Copigmentation. J. Agric. Food Chem. 2001, 49, 170–176. [Google Scholar] [CrossRef]
- Pacheco-Palencia, L.A.; Talcott, S.T. Chemical stability of açai fruit (Euterpe oleracea Mart.) anthocyanins as influenced by naturally occurring and externally added polyphenolic cofactors in model systems. Food Chem. 2010, 118, 17–25. [Google Scholar] [CrossRef]
- Di Meo, F.; Garcia, J.C.S.; Dangles, O.; Trouillas, P. Highlights on Anthocyanin Pigmentation and Copigmentation: A Matter of Flavonoid π-Stacking Complexation to Be Described by DFT-D. J. Chem. Theory Comput. 2012, 8, 2034–2043. [Google Scholar] [CrossRef]
- Giusti, M.M.; Wrolstad, R.E. Acylated anthocyanins from edible sources and their applications in food systems. Biochem. Eng. J. 2003, 14, 217–225. [Google Scholar] [CrossRef]
- Wallace, T.; Giusti, M. Determination of Color, Pigment, and Phenolic Stability in Yogurt Systems Colored with Nonacylated Anthocyanins from Berberis boliviana L. as Compared to Other Natural/Synthetic Colorants. J. Food Sci. 2008, 73, C241–C248. [Google Scholar] [CrossRef]
- Zeb, A.; Mehmood, S. Carotenoids Contents from Various Sources and Their Potential Health Applications. Pak. J. Nutr. 2004, 3, 199–204. [Google Scholar] [CrossRef]
- Chattopadhyay, P.; Chatterjee, S.; Sen, S.K. Biotechnological potential of natural food grade biocolourants. Afr. J. Biotechnol. 2010, 7, 2972–2985. [Google Scholar] [CrossRef]
- Barth, M.M.; Zhou, C.; Kute, K.M.; Rosenthal, G.A. Determination of Optimum Conditions for Supercritical Fluid Extraction of Carotenoids from Carrot (Daucus carota L.) Tissue. J. Agric. Food Chem. 1995, 43, 2876–2878. [Google Scholar] [CrossRef]
- Mortensen, A. Carotenoids and other pigments as natural colourants. Pure Appl. Chem. 2006, 78, 1477–1491. [Google Scholar] [CrossRef]
- Raina, B.L.; Agarwal, S.G.; Bhatia, A.K.; Gaur, G.S. Changes in pigments and volatiles of saffron (Crocus sativus L.) during processing and storage. J. Sci. Food Agric. 1996, 71, 27–32. [Google Scholar] [CrossRef]
- Tsimidou, M.; Tsatsaroni, E. Stability of Saffron Pigments in Aqueous Extracts. J. Food Sci. 1993, 58, 1073–1075. [Google Scholar] [CrossRef]
- Winterhalter, P.; Straubinger, M. Saffron—Renewed Interest in an ancient spice. Food Rev. Int. 2000, 16, 39–59. [Google Scholar] [CrossRef]
- Ghosh, S.; Sarkar, T.; Das, A.; Chakraborty, R. Natural colorants from plant pigments and their encapsulation: An emerging window for the food industry. LWT 2022, 153, 112527. [Google Scholar] [CrossRef]
- Azeredo, H.M. Betalains: Properties, sources, applications, and stability—A review. Int. J. Food Sci. Technol. 2009, 44, 2365–2376. [Google Scholar] [CrossRef]
- Mysliwa-Kurdziel, B.; Solymosi, K. Phycobilins and Phycobiliproteins Used in Food Industry and Medicine. Mini-Reviews Med. Chem. 2017, 17, 1173–1193. [Google Scholar] [CrossRef] [PubMed]
- Gebhardt, B.; Sperl, R.; Carle, R.; Müller-Maatsch, J. Assessing the sustainability of natural and artificial food colorants. J. Clean. Prod. 2020, 260, 120884. [Google Scholar] [CrossRef]
- EFSA. Opinion of the Scientific Panel on food additives, flavourings, processing aids and materials in contact with food (AFC) on the food colour Red 2G (E128) based on a request from the Commission related to the re-evaluation of all permitted food additives. EFSA J. 2007, 5, 515. [Google Scholar] [CrossRef]
- Cyriac, S.T.; Sivasankaran, U.; Kumar, K.G. Biopolymer Based Electrochemical Sensor for Ponceau 4R: An Insight into Electrochemical Kinetics. J. Electrochem. Soc. 2018, 165, B746–B752. [Google Scholar] [CrossRef]
- König, J. Food Colour Additives of Synthetic Origin Colour Additives for Foods and Beverages; Elsevier: Amsterdam, The Netherlands, 2015; pp. 35–60. [Google Scholar]
- Rovina, K.; Siddiquee, S.; Shaarani, S.M. Extraction, Analytical and Advanced Methods for Detection of Allura Red AC (E129) in Food and Beverages Products. Front. Microbiol. 2016, 7, 798. [Google Scholar] [CrossRef]
- Damant, A. Food Colourants Handbook of Textile and Industrial Dyeing; Elsevier: Amsterdam, The Netherlands, 2011; pp. 252–305. [Google Scholar]
- Policegoudra, R.; Chauhan, O.; Semwal, A. Pigments and Colours Advances in Food Chemistry; Springer: Berlin/Heidelberg, Germany, 2022; pp. 293–312. [Google Scholar]
- Ormsby, B.A.; Townsend, J.H.; Singer, B.W.; Dean, J.R. British Watercolour Cakes from the Eighteenth to the Early Twentieth Century. Stud. Conserv. 2005, 50, 45–66. [Google Scholar] [CrossRef]
- Grajeda-Iglesias, C.; Figueroa-Espinoza, M.C.; Barouh, N.; Baréa, B.; Fernandes, A.; De Freitas, V.; Salas, E. Isolation and Characterization of Anthocyanins from Hibiscus sabdariffa Flowers. J. Nat. Prod. 2016, 79, 1709–1718. [Google Scholar] [CrossRef] [PubMed]
- Chandrasekhar, J.; Madhusudhan, M.; Raghavarao, K. Extraction of anthocyanins from red cabbage and purification using adsorption. Food Bioprod. Process. 2012, 90, 615–623. [Google Scholar] [CrossRef]
- Pedro, A.C.; Granato, D.; Rosso, N.D. Extraction of anthocyanins and polyphenols from black rice (Oryza sativa L.) by modeling and assessing their reversibility and stability. Food Chem. 2016, 191, 12–20. [Google Scholar] [CrossRef]
- Cacace, J.; Mazza, G. Optimization of Extraction of Anthocyanins from Black Currants with Aqueous Ethanol. J. Food Sci. 2003, 68, 240–248. [Google Scholar] [CrossRef]
- Fan, G.; Han, Y.; Gu, Z.; Chen, D. Optimizing conditions for anthocyanins extraction from purple sweet potato using response surface methodology (RSM). LWT 2008, 41, 155–160. [Google Scholar] [CrossRef]
- Gauche, C.; Malagoli, E.D.S.; Luiz, M.T.B. Effect of pH on the copigmentation of anthocyanins from Cabernet Sauvignon grape extracts with organic acids. Sci. Agric. 2010, 67, 41–46. [Google Scholar] [CrossRef]
- Gris, E.; Ferreira, E.; Falcão, L.; Bordignon-Luiz, M. Caffeic acid copigmentation of anthocyanins from Cabernet Sauvignon grape extracts in model systems. Food Chem. 2007, 100, 1289–1296. [Google Scholar] [CrossRef]
- Jun, H.-I.; Shin, J.-W.; Song, G.-S.; Kim, Y.-S. Isolation and Identification of Phenolic Antioxidants in Black Rice Bran. J. Food Sci. 2015, 80, C262–C268. [Google Scholar] [CrossRef] [PubMed]
- Denev, P.; Ciz, M.; Ambrozova, G.; Lojek, A.; Yanakieva, I.; Kratchanova, M. Solid-phase extraction of berries’ anthocyanins and evaluation of their antioxidative properties. Food Chem. 2010, 123, 1055–1061. [Google Scholar] [CrossRef]
- Oancea, S.; Grosu, C.; Ketney, O.; Stoia, M. Conventional and ultrasound-assisted extraction of anthocyanins from blackberry and sweet cherry cultivars. Acta Chim. Slov. 2013, 60, 383–389. [Google Scholar] [PubMed]
- Jampani, C.; Naik, A.; Raghavarao, K. Purification of anthocyanins from jamun (Syzygium cumini L.) employing adsorption. Sep. Purif. Technol. 2014, 125, 170–178. [Google Scholar] [CrossRef]
- Patil, G.; Madhusudhan, M.; Babu, B.R.; Raghavarao, K. Extraction, dealcoholization and concentration of anthocyanin from red radish. Chem. Eng. Process. Process. Intensif. 2009, 48, 364–369. [Google Scholar] [CrossRef]
- Maran, J.P.; Priya, B.; Manikandan, S. Modeling and optimization of supercritical fluid extraction of anthocyanin and phenolic compounds from Syzygium cumini fruit pulp. J. Food Sci. Technol. 2014, 51, 1938–1946. [Google Scholar] [CrossRef] [PubMed]
- Paes, J.; Dotta, R.; Barbero, G.F.; Martínez, J. Extraction of phenolic compounds and anthocyanins from blueberry (Vaccinium myrtillus L.) residues using supercritical CO2 and pressurized liquids. J. Supercrit. Fluids 2014, 95, 8–16. [Google Scholar] [CrossRef]
- Garofulić, I.E.; Dragović-Uzelac, V.; Jambrak, A.R.; Jukić, M. The effect of microwave assisted extraction on the isolation of anthocyanins and phenolic acids from sour cherry Marasca (Prunus cerasus var. Marasca). J. Food Eng. 2013, 117, 437–442. [Google Scholar] [CrossRef]
- Odriozola-Serrano, I.; Soliva-Fortuny, R.; Martín-Belloso, O. Impact of high-intensity pulsed electric fields variables on vitamin C, anthocyanins and antioxidant capacity of strawberry juice. LWT 2009, 42, 93–100. [Google Scholar] [CrossRef]
- Saini, R.K.; Keum, Y.-S. Carotenoid extraction methods: A review of recent developments. Food Chem. 2018, 240, 90–103. [Google Scholar] [CrossRef] [PubMed]
- Mercadante, A.Z.; Rodrigues, D.B.; Petry, F.C.; Mariutti, L.R.B. Carotenoid esters in foods—A review and practical directions on analysis and occurrence. Food Res. Int. 2017, 99, 830–850. [Google Scholar] [CrossRef]
- Jaeschke, D.P.; Rech, R.; Marczak, L.D.F.; Mercali, G.D. Ultrasound as an alternative technology to extract carotenoids and lipids from Heterochlorella luteoviridis. Bioresour. Technol. 2017, 224, 753–757. [Google Scholar] [CrossRef]
- Mezzomo, N.; Ferreira, S.R.S. Carotenoids Functionality, Sources, and Processing by Supercritical Technology: A Review. J. Chem. 2016, 2016, 3164312. [Google Scholar] [CrossRef]
- Durante, M.; Lenucci, M.S.; Mita, G. Supercritical Carbon Dioxide Extraction of Carotenoids from Pumpkin (Cucurbita spp.): A Review. Int. J. Mol. Sci. 2014, 15, 6725–6740. [Google Scholar] [CrossRef] [PubMed]
- Hiranvarachat, B.; Devahastin, S. Enhancement of microwave-assisted extraction via intermittent radiation: Extraction of carotenoids from carrot peels. J. Food Eng. 2014, 126, 17–26. [Google Scholar] [CrossRef]
- Goto, M.; Kanda, H.; Wahyudiono; Machmudah, S. Extraction of carotenoids and lipids from algae by supercritical CO2 and subcritical dimethyl ether. J. Supercrit. Fluids 2015, 96, 245–251. [Google Scholar] [CrossRef]
- Castro-Puyana, M.; Herrero, M.; Urreta, I.; Mendiola, J.A.; Cifuentes, A.; Ibáñez, E.; Suárez-Alvarez, S. Optimization of clean extraction methods to isolate carotenoids from the microalga Neochloris oleoabundans and subsequent chemical characterization using liquid chromatography tandem mass spectrometry. Anal. Bioanal. Chem. 2013, 405, 4607–4616. [Google Scholar] [CrossRef] [PubMed]
- Heffernan, N.; Smyth, T.; FitzGerald, R.J.; Vila-Soler, A.; Mendiola, J.A.; Ibáñez, E.; Brunton, N. Comparison of extraction methods for selected carotenoids from macroalgae and the assessment of their seasonal/spatial variation. Innov. Food Sci. Emerg. Technol. 2016, 37, 221–228. [Google Scholar] [CrossRef]
- Ho, K.; Ferruzzi, M.; Liceaga, A.; Martín-González, M.S. Microwave-assisted extraction of lycopene in tomato peels: Effect of extraction conditions on all-trans and cis-isomer yields. LWT 2015, 62, 160–168. [Google Scholar] [CrossRef]
- Ambati, R.R.; Phang, S.-M.; Ravi, S.; Aswathanarayana, R.G. Astaxanthin: Sources, Extraction, Stability, Biological Activities and Its Commercial Applications—A Review. Mar. Drugs 2014, 12, 128–152. [Google Scholar] [CrossRef]
- De França, L.F.; Reber, G.; Meireles, M.A.A.; Machado, N.T.; Brunner, G. Supercritical extraction of carotenoids and lipids from buriti (Mauritia flexuosa), a fruit from the Amazon region. J. Supercrit. Fluids 1999, 3, 247–256. [Google Scholar] [CrossRef]
- Mendes, R.L.; Nobre, B.P.; Cardoso, M.T.; Pereira, A.P.; Palavra, A.F. Supercritical carbon dioxide extraction of compounds with pharmaceutical importance from microalgae. Inorg. Chim. Acta 2003, 356, 328–334. [Google Scholar] [CrossRef]
- Liau, B.-C.; Shen, C.-T.; Liang, F.-P.; Hong, S.-E.; Hsu, S.-L.; Jong, T.-T.; Chang, C.-M.J. Supercritical fluids extraction and anti-solvent purification of carotenoids from microalgae and associated bioactivity. J. Supercrit. Fluids 2010, 55, 169–175. [Google Scholar] [CrossRef]
- Vasapollo, G.; Longo, L.; Rescio, L.; Ciurlia, L. Innovative supercritical CO2 extraction of lycopene from tomato in the presence of vegetable oil as co-solvent. J. Supercrit. Fluids 2004, 29, 87–96. [Google Scholar] [CrossRef]
- Gildberg, A.; Stenberg, E. A new process for advanced utilisation of shrimp waste. Process. Biochem. 2001, 36, 809–812. [Google Scholar] [CrossRef]
- Strati, I.F.; Gogou, E.; Oreopoulou, V. Enzyme and high pressure assisted extraction of carotenoids from tomato waste. Food Bioprod. Process. 2015, 94, 668–674. [Google Scholar] [CrossRef]
- Kha, T.C.; Phan-Tai, H.; Nguyen, M.H. Effects of pre-treatments on the yield and carotenoid content of Gac oil using supercritical carbon dioxide extraction. J. Food Eng. 2014, 120, 44–49. [Google Scholar] [CrossRef]
- Tiwari, S.; Upadhyay, N.; Singh, A.K.; Meena, G.S.; Arora, S. Organic solvent-free extraction of carotenoids from carrot bio-waste and its physico-chemical properties. J. Food Sci. Technol. 2019, 56, 4678–4687. [Google Scholar] [CrossRef] [PubMed]
- Rodríguez, L.C.; Méndez, M.A.; Niemeyer, H.M. Direction of dispersion of cochineal (Dactylopius coccus Costa) within the Americas. Antiquity 2001, 75, 73–77. [Google Scholar] [CrossRef]
- Lyddiatt, A. Process chromatography: Current constraints and future options for the adsorptive recovery of bioproducts. Curr. Opin. Biotechnol. 2002, 13, 95–103. [Google Scholar] [CrossRef]
- Chung, K.; Baker, J.R.; Baldwin, J.L.; Chou, A. Identification of carmine allergens among three carmine allergy patients. Allergy 2001, 56, 73–77. [Google Scholar] [CrossRef] [PubMed]
- Méndez, J.; González, M.; Lobo, M.G.; Carnero, A. Color Quality of Pigments in Cochineals (Dactylopius coccus Costa). Geographical Origin Characterization Using Multivariate Statistical Analysis. J. Agric. Food Chem. 2004, 52, 1331–1337. [Google Scholar] [CrossRef]
- Takenaka, M.; Ohkubo, T.; Okadome, H.; Sotome, I.; Itoh, T.; Isobe, S. Effective Extraction of Curcuminoids by Grinding Turmeric (Curcuma longa) with Medium-chain Triacylglycerols. Food Sci. Technol. Res. 2013, 19, 655–659. [Google Scholar] [CrossRef]
- Patil, S.S.; Bhasarkar, S.; Rathod, V.K. Extraction of curcuminoids from Curcuma longa: Comparative study between batch extraction and novel three phase partitioning. Prep. Biochem. Biotechnol. 2019, 49, 407–418. [Google Scholar] [CrossRef]
- Sathishkumar, P.; Hemalatha, S.; Arulkumar, M.; Ravikumar, R.; Yusoff, A.R.M.; Hadibarata, T.; Palvannan, T. Curcuminoid Extraction from Turmeric (Curcuma longa L.): Efficacy of Bromine-Modified Curcuminoids Against Food Spoilage Flora. J. Food Biochem. 2015, 39, 325–333. [Google Scholar] [CrossRef]
- Nagavekar, N.; Singhal, R.S. Enhanced extraction of oleoresin from Piper nigrum by supercritical carbon dioxide using ethanol as a co-solvent and its bioactivity profile. J. Food Process. Eng. 2018, 41, e12670. [Google Scholar] [CrossRef]
- Mandal, V.; Mohan, Y.; Hemalatha, S. Microwave assisted extraction of curcumin by sample–solvent dual heating mechanism using Taguchi L9 orthogonal design. J. Pharm. Biomed. Anal. 2008, 46, 322–327. [Google Scholar] [CrossRef] [PubMed]
- Yan, J.-K.; Wang, Y.-Y.; Qiu, W.-Y.; Ma, H.; Wang, Z.-B.; Wu, J.-Y. Three-phase partitioning as an elegant and versatile platform applied to nonchromatographic bioseparation processes. Crit. Rev. Food Sci. Nutr. 2018, 58, 2416–2431. [Google Scholar] [CrossRef] [PubMed]
- Niphadkar, S.; Bokhale, N.; Rathod, V. Extraction of acetyl 11-keto-β-boswellic acid (AKBA) from Boswellia serrata plant oleo gum resin using novel three phase partitioning (TPP) technique. J. Appl. Res. Med. Aromat. Plants 2017, 7, 41–47. [Google Scholar] [CrossRef]
- Mattioli, R.; Francioso, A.; Mosca, L.; Silva, P. Anthocyanins: A Comprehensive Review of Their Chemical Properties and Health Effects on Cardiovascular and Neurodegenerative Diseases. Molecules 2020, 25, 3809. [Google Scholar] [CrossRef] [PubMed]
- Roy, S.; Rhim, J.-W. Anthocyanin Food Colorant and Its Application in PH-Responsive Color Change Indicator Films. Crit. Rev. Food Sci. Nutr. 2021, 61, 2297–2325. [Google Scholar] [CrossRef] [PubMed]
- Díaz-García, M.C.; Castellar, M.R.; Obón, J.M.; Obón, C.; Alcaraz, F.; Rivera, D. Production of an Anthocyanin-Rich Food Colourant from Thymus moroderi and Its Application in Foods. J. Sci. Food Agric. 2015, 95, 1283–1293. [Google Scholar] [CrossRef] [PubMed]
- Changxing, L.; Chenling, M.; Alagawany, M.; Jianhua, L.; Dongfang, D.; Gaichao, W.; Wenyin, Z.; Syed, S.F.; Arain, M.A.; Saeed, M.; et al. Health Benefits and Potential Applications of Anthocyanins in Poultry Feed Industry. Worlds Poult. Sci. J. 2018, 74, 251–264. [Google Scholar] [CrossRef]
- Mathur, P.; George, R.; Mathur, A. Anthocyanin: A Revolutionary Pigment for Textile Industry. CTBM 2020, 1, 75–77. [Google Scholar] [CrossRef]
- Shruthi, V.; Ramachandra, C.; Nidoni, U.; Hiregoudar, S.; Naik, N.; Kurubar, A. Roselle (Hibiscus sabdariffa L.) as a source of natural colour: A review. Plant Arch. 2016, 16, 515–522. [Google Scholar]
- Eletr, A.A.; Siliha, H.; Elshorbagy, G.A.; Galal, G. Evaluation of lycopene extracted from tomato processing waste as a natural antioxidant in some bakery products. Zagazig J. Agric. Res. 2017, 44, 1389–1401. [Google Scholar] [CrossRef]
- López, C.J.; Caleja, C.; Prieto, M.; Sokovic, M.; Calhelha, R.C.; Barros, L.; Ferreira, I.C. Stability of a cyanidin-3-O-glucoside extract obtained from Arbutus unedo L. and incorporation into wafers for colouring purposes. Food Chem. 2019, 275, 426–438. [Google Scholar] [CrossRef] [PubMed]
- Li, S.-Y.; Shabtai, Y.; Arad, S. Floridoside as a carbon precursor for the synthesis of cell-wall polysaccharide in the red Microalga porphyridium sp. (Rhodophyta). J. Phycol. 2002, 38, 931–938. [Google Scholar] [CrossRef]
- Backes, E.; Leichtweis, M.G.; Pereira, C.; Carocho, M.; Barreira, J.C.; Kamal Genena, A.; José Baraldi, I.; Filomena Barreiro, M.; Barros, L.; Ferreira, I.C. Ficus carica L. and Prunus spinosa L. extracts as new anthocyanin-based food colorants: A thorough study in confectionery products. Food Chem. 2020, 333, 127457. [Google Scholar] [CrossRef] [PubMed]
- Luzardo-Ocampo, I.; Ramírez-Jiménez, A.; Yañez, J.; Mojica, L.; Luna-Vital, D. Technological Applications of Natural Colorants in Food Systems: A Review. Foods 2021, 10, 634. [Google Scholar] [CrossRef] [PubMed]
- Sellimi, S.; Ksouda, G.; Benslima, A.; Nasri, R.; Rinaudo, M.; Nasri, M.; Hajji, M. Enhancing colour and oxidative stabilities of reduced-nitrite turkey meat sausages during refrigerated storage using fucoxanthin purified from the Tunisian seaweed Cystoseira barbata. Food Chem. Toxicol. 2017, 107, 620–629. [Google Scholar] [CrossRef]
- Beattie, J.; Crozier, A.; Duthie, G. Potential Health Benefits of Berries. Curr. Nutr. Food Sci. 2005, 1, 71–86. [Google Scholar] [CrossRef]
- Paredes-López, O.; Cervantes-Ceja, M.L.; Vigna-Pérez, M.; Hernández-Pérez, T. Berries: Improving Human Health and Healthy Aging, and Promoting Quality Life—A Review. Plant Foods Hum. Nutr. 2010, 65, 299–308. [Google Scholar] [CrossRef]
- Wrolstad, R. Anthocyanin Pigments-Bioactivity and Coloring Properties. J. Food Sci. 2004, 69, C419–C425. [Google Scholar] [CrossRef]
- Wrolstad, R.E.; Durst, R.W.; Lee, J. Tracking color and pigment changes in anthocyanin products. Trends Food Sci. Technol. 2005, 16, 423–428. [Google Scholar] [CrossRef]
- Poyatos-Racionero, E.; Ros-Lis, J.V.; Vivancos, J.-L.; Martínez-Máñez, R. Recent advances on intelligent packaging as tools to reduce food waste. J. Clean. Prod. 2018, 172, 3398–3409. [Google Scholar] [CrossRef]
- Yong, H.; Wang, X.; Zhang, X.; Liu, Y.; Qin, Y.; Liu, J. Effects of anthocyanin-rich purple and black eggplant extracts on the physical, antioxidant and pH-sensitive properties of chitosan film. Food Hydrocoll. 2019, 94, 93–104. [Google Scholar] [CrossRef]
- Priyadarshi, R.; Ezati, P.; Rhim, J.-W. Recent Advances in Intelligent Food Packaging Applications Using Natural Food Colorants. ACS Food Sci. Technol. 2021, 1, 124–138. [Google Scholar] [CrossRef]
- Othman, M.; Yusup, A.A.; Zakaria, N.; Khalid, K. Bio-polymer chitosan and corn starch with extract of Hibiscus rosa-sinensis (hibiscus) as PH indicator for visually-smart food packaging. In AIP Conference Proceedings; American Institute of Physics Inc.: Selangor, Malaysia, 2018; p. 050004. [Google Scholar] [CrossRef]
- Qin, Y.; Liu, Y.; Yong, H.; Liu, J.; Zhang, X.; Liu, J. Preparation and characterization of active and intelligent packaging films based on cassava starch and anthocyanins from Lycium ruthenicum Murr. Int. J. Biol. Macromol. 2019, 134, 80–90. [Google Scholar] [CrossRef] [PubMed]
- Chayavanich, K.; Thiraphibundet, P.; Imyim, A. Biocompatible film sensors containing red radish extract for meat spoilage observation. Spectrochim. Acta Part A Mol. Biomol. Spectrosc. 2020, 226, 117601. [Google Scholar] [CrossRef] [PubMed]
- Choi, I.; Lee, J.Y.; Lacroix, M.; Han, J. Intelligent pH indicator film composed of agar/potato starch and anthocyanin extracts from purple sweet potato. Food Chem. 2017, 218, 122–128. [Google Scholar] [CrossRef] [PubMed]
- Fitriana, R.; Imawan, C.; Listyarini, A.; Sholihah, W. A green label for acetic acid detection based on chitosan and purple sweet potatoes extract. In Proceedings of the 2017 International Seminar on Sensors, Instrumentation, Measurement and Metrology (ISSIMM), Surabaya, Indonesia, 25–26 August 2017; pp. 129–132. [Google Scholar] [CrossRef]
- Golasz, L.B.; Da Silva, J.; da Silva, S.B. Film with anthocyanins as an indicator of chilled pork deterioration. Food Sci. Technol. 2013, 33, 155–162. [Google Scholar] [CrossRef]
- Luchese, C.L.; Abdalla, V.F.; Spada, J.C.; Tessaro, I.C. Evaluation of blueberry residue incorporated cassava starch film as pH indicator in different simulants and foodstuffs. Food Hydrocoll. 2018, 82, 209–218. [Google Scholar] [CrossRef]
- Sun, G.; Chi, W.; Zhang, C.; Xu, S.; Li, J.; Wang, L. Developing a green film with pH-sensitivity and antioxidant activity based on κ-carrageenan and hydroxypropyl methylcellulose incorporating Prunus maackii juice. Food Hydrocoll. 2019, 94, 345–353. [Google Scholar] [CrossRef]
- Vo, T.-V.; Dang, T.-H.; Chen, B.-H. Synthesis of Intelligent pH Indicative Films from Chitosan/Poly(vinyl alcohol)/Anthocyanin Extracted from Red Cabbage. Polymers 2019, 11, 1088. [Google Scholar] [CrossRef] [PubMed]
- Wardana, A.A.; Widyaningsih, T.D. Development of edible films from tapioca starch and agar, enriched with red cabbage (Brassica oleracea) as a sausage deterioration bio-indicator. IOP Conf. Series Earth Environ. Sci. 2017, 109, 012031. [Google Scholar] [CrossRef]
- Zhang, J.; Zou, X.; Zhai, X.D.; Huang, X.W.; Jiang, C.P.; Holmes, M. Preparation of an intelligent pH film based on biodegradable polymers and roselle anthocyanins for monitoring pork freshness. Food Chem. 2019, 272, 306–312. [Google Scholar] [CrossRef] [PubMed]
- Jamróz, E.; Kulawik, P.; Guzik, P.; Duda, I. The verification of intelligent properties of furcellaran films with plant extracts on the stored fresh Atlantic mackerel during storage at 2 °C. Food Hydrocoll. 2019, 97, 105211. [Google Scholar] [CrossRef]
- Ma, Q.; Liang, T.; Cao, L.; Wang, L. Intelligent poly (vinyl alcohol)-chitosan nanoparticles-mulberry extracts films capable of monitoring pH variations. Int. J. Biol. Macromol. 2018, 108, 576–584. [Google Scholar] [CrossRef] [PubMed]
- Silva-Pereira, M.C.; Teixeira, J.A.; Pereira-Júnior, V.A.; Stefani, R. Chitosan/corn starch blend films with extract from Brassica oleraceae (red cabbage) as a visual indicator of fish deterioration. LWT 2015, 61, 258–262. [Google Scholar] [CrossRef]
- Wu, C.; Sun, J.; Zheng, P.; Kang, X.; Chen, M.; Li, Y.; Ge, Y.; Hu, Y.; Pang, J. Preparation of an intelligent film based on chitosan/oxidized chitin nanocrystals incorporating black rice bran anthocyanins for seafood spoilage monitoring. Carbohydr. Polym. 2019, 222, 115006. [Google Scholar] [CrossRef] [PubMed]
- Bandyopadhyay, S.; Saha, N.; Zandraa, O.; Pummerová, M.; Sáha, P. Essential Oil Based PVP-CMC-BC-GG Functional Hydrogel Sachet for ‘Cheese’: Its Shelf Life Confirmed with Anthocyanin (Isolated from Red Cabbage) Bio Stickers. Foods 2020, 9, 307. [Google Scholar] [CrossRef] [PubMed]
- Liu, B.; Xu, H.; Zhao, H.; Liu, W.; Zhao, L.; Li, Y. Preparation and characterization of intelligent starch/PVA films for simultaneous colorimetric indication and antimicrobial activity for food packaging applications. Carbohydr. Polym. 2017, 157, 842–849. [Google Scholar] [CrossRef]
- Ma, Q.; Wang, L. Preparation of a visual pH-sensing film based on tara gum incorporating cellulose and extracts from grape skins. Sens. Actuators B Chem. 2016, 235, 401–407. [Google Scholar] [CrossRef]
- Pereira, V.A.; de Arruda, I.N.Q.; Stefani, R. Active chitosan/PVA films with anthocyanins from Brassica oleraceae (Red Cabbage) as Time–Temperature Indicators for application in intelligent food packaging. Food Hydrocoll. 2015, 43, 180–188. [Google Scholar] [CrossRef]
- Oplatowska-Stachowiak, M.; Elliott, C.T. Food colors: Existing and emerging food safety concerns. Crit. Rev. Food Sci. Nutr. 2017, 57, 524–548. [Google Scholar] [CrossRef]
- Wrolstad, R.E.; Culver, C.A. Alternatives to Those Artificial FD&C Food Colorants. Annu. Rev. Food Sci. Technol. 2012, 3, 59–77. [Google Scholar] [CrossRef] [PubMed]
- EFSA Panel on Food Additives and Nutrient Sources Added to Food. Scientific Opinion on the re-evaluation of Ponceau 4R (E 124) as a food additive. EFSA J. 2009, 7, 1328. [Google Scholar] [CrossRef]
- Amchova, P.; Kotolova, H.; Ruda-Kucerova, J. Health safety issues of synthetic food colorants. Regul. Toxicol. Pharmacol. 2015, 73, 914–922. [Google Scholar] [CrossRef]
- Duffus, J.H.; Nordberg, M.; Templeton, D.M. Glossary of terms used in toxicology, 2nd edition (IUPAC Recommendations 2007). Pure Appl. Chem. 2007, 79, 1153–1344. [Google Scholar] [CrossRef]
- Downham, A.; Collins, P. Colouring our foods in the last and next millennium. Int. J. Food Sci. Technol. 2000, 35, 5–22. [Google Scholar] [CrossRef]
- Amin, K.A.; Al-Shehri, F.S. Toxicological and Safety Assessment of Tartrazine as a Synthetic Food Additive on Health Biomarkers: A Review. AJB 2018, 17, 139–149. [Google Scholar] [CrossRef]
- Leo, L.; Loong, C.; Ho, X.L.; Raman, M.F.B.; Suan, M.Y.T.; Loke, W.M. Occurrence of Azo Food Dyes and Their Effects on Cellular Inflammatory Responses. Nutrition 2018, 46, 36–40. [Google Scholar] [CrossRef]
- Albuquerque, B.R.; Oliveira, M.B.P.P.; Barros, L.; Ferreira, I.C.F.R. Could fruits be a reliable source of food colorants? Pros and cons of these natural additives. Crit. Rev. Food Sci. Nutr. 2021, 61, 805–835. [Google Scholar] [CrossRef]
- McCann, D.; Barrett, A.; Cooper, A.; Crumpler, D.; Dalen, L.; Grimshaw, K.; Kitchin, E.; Lok, K.; Porteous, L.; Prince, E.; et al. Food additives and hyperactive behaviour in 3-year-old and 8/9-year-old children in the community: A randomised, double-blinded, placebo-controlled trial. Lancet 2007, 370, 1560–1567. [Google Scholar] [CrossRef]
- Bateman, B.; Warner, J.O.; Hutchinson, E.; Dean, T.; Rowlandson, P.; Gant, C.; Grundy, J.; Fitzgerald, C.; Stevenson, J. The effects of a double blind, placebo controlled, artificial food colourings and benzoate preservative challenge on hyperactivity in a general population sample of preschool children. Arch. Dis. Child. 2004, 89, 506–511. [Google Scholar] [CrossRef]
- Suglia, S.F.; Solnick, S.; Hemenway, D. Soft Drinks Consumption Is Associated with Behavior Problems in 5-Year-Olds. J. Pediatr. 2013, 163, 1323–1328. [Google Scholar] [CrossRef]
- Ceyhan, B.M.; Gultekin, F.; Doguc, D.K.; Kulac, E. Effects of maternally exposed coloring food additives on receptor expressions related to learning and memory in rats. Food Chem. Toxicol. 2013, 56, 145–148. [Google Scholar] [CrossRef] [PubMed]
- Lucová, M.; Hojerová, J.; Pažoureková, S.; Klimová, Z. Absorption of triphenylmethane dyes Brilliant Blue and Patent Blue through intact skin, shaven skin and lingual mucosa from daily life products. Food Chem. Toxicol. 2013, 52, 19–27. [Google Scholar] [CrossRef]
- Abo-EL-Sooud, K.; Hashem, M.M.; Badr, Y.A.; Eleiwa, M.M.E.; Gab-Allaha, A.Q.; Abd-Elhakim, Y.M.; Bahy-EL-Dien, A. Assessment of Hepato-Renal Damage and Genotoxicity Induced by Long-Term Exposure to Five Permitted Food Additives in Rats. Environ. Sci. Pollut. Res. 2018, 25, 26341–26350. [Google Scholar] [CrossRef] [PubMed]
- Mpountoukas, P.; Pantazaki, A.; Kostareli, E.; Christodoulou, P.; Kareli, D.; Poliliou, S.; Mourelatos, C.; Lambropoulou, V.; Lialiaris, T. Cytogenetic evaluation and DNA interaction studies of the food colorants amaranth, erythrosine and tartrazine. Food Chem. Toxicol. 2010, 48, 2934–2944. [Google Scholar] [CrossRef] [PubMed]
- Soares, B.M.; Araújo, T.M.T.; Ramos, J.A.B.; Pinto, L.; Khayat, B.M.; Bahia, M.D.O.; Montenegro, R.C.; Burbano, R.M.R.; Khayat, A.S. Effects on DNA repair in human lymphocytes exposed to the food dye tartrazine yellow. Anticancer Res. 2015, 35, 1465–1474. [Google Scholar] [PubMed]
- Gao, Y.; Li, C.; Shen, J.; Yin, H.; An, X.; Jin, H. Effect of Food Azo Dye Tartrazine on Learning and Memory Functions in Mice and Rats, and the Possible Mechanisms Involved. J. Food Sci. 2011, 76, T125–T129. [Google Scholar] [CrossRef] [PubMed]
- Axon, A.; May, F.E.; Gaughan, L.E.; Williams, F.M.; Blain, P.G.; Wright, M.C. Tartrazine and sunset yellow are xenoestrogens in a new screening assay to identify modulators of human oestrogen receptor transcriptional activity. Toxicology 2012, 298, 40–51. [Google Scholar] [CrossRef]
- Culp, S.J.; Mellick, P.W.; Trotter, R.W.; Greenlees, K.J.; Kodell, R.L.; Beland, F.A. Carcinogenicity of malachite green chloride and leucomalachite green in B6C3F1 mice and F344 rats. Food Chem. Toxicol. 2006, 44, 1204–1212. [Google Scholar] [CrossRef] [PubMed]
- Chequer, F.M.D.; Venâncio, V.D.P.; Prado, M.R.D.S.; Junior, L.R.C.D.S.E.C.; Lizier, T.M.; Zanoni, M.V.B.; Burbano, R.R.; Bianchi, M.L.P.; Antunes, L.M.G. The cosmetic dye quinoline yellow causes DNA damage in vitro. Mutat. Res. Genet. Toxicol. Environ. Mutagen. 2015, 777, 54–61. [Google Scholar] [CrossRef] [PubMed]
- Kus, E.; Eroglu, H.E. Genotoxic and cytotoxic effects of Sunset Yellow and Brilliant Blue, colorant food additives, on human blood lymphocytes. Pak. J. Pharm. Sci. 2015, 28, 227–230. [Google Scholar]
- Masone, D.; Chanforan, C. Study on the interaction of artificial and natural food colorants with human serum albumin: A computational point of view. Comput. Biol. Chem. 2015, 56, 152–158. [Google Scholar] [CrossRef] [PubMed]
- Shahabadi, N.; Maghsudi, M.; Rouhani, S. Study on the interaction of food colourant quinoline yellow with bovine serum albumin by spectroscopic techniques. Food Chem. 2012, 135, 1836–1841. [Google Scholar] [CrossRef] [PubMed]
- EFSA Panel on Food Additives and Nutrient Sources added to Food (Ans). Scientific Opinion on the re-evaluation of Patent Blue V (E 131) as a food additive. EFSA J. 2013, 11, 2818. [Google Scholar] [CrossRef]
- Jennings, A.S.; Schwartz, S.L.; Balter, N.J.; Gardner, D.; Witorsch, R.J. Effects of oral erythrosine (2′,4′,5′,7′-tetraiodofluorescein) on the pituitary-thyroid axis in rats. Toxicol. Appl. Pharmacol. 1990, 103, 549–556. [Google Scholar] [CrossRef] [PubMed]
- Lee, K.H.; Baek, D.J.; Jeon, S.Y. Repetitive Severe Hypotension Induced by Indigo Carmine. J. Anesth. 2015, 29, 156. [Google Scholar] [CrossRef] [PubMed]
- Jindal, A.; Pathengay, A.; Mithal, K.; Chhablani, J.; Pappuru, R.R.; Flynn, H.W. Macular toxicity following brilliant blue G-assisted macular hole surgery—A report of three cases. Nepal. J. Ophthalmol. 2014, 6, 98–101. [Google Scholar] [CrossRef]
- Macioszek, V.K.; Kononowicz, A.K. The evaluation of the genotoxicity of two commonly used food colours: Quinoline Yellow (E 104) and Brilliant Black BN (E 151). Cell. Mol. Biol. Lett. 2004, 9, 107–122. [Google Scholar]
- Rawat, D.; Mishra, V.; Sharma, R.S. Detoxification of azo dyes in the context of environmental processes. Chemosphere 2016, 155, 591–605. [Google Scholar] [CrossRef] [PubMed]
- Gottlieb, A.; Shaw, C.; Smith, A.; Wheatley, A.; Forsythe, S. The toxicity of textile reactive azo dyes after hydrolysis and decolourisation. J. Biotechnol. 2003, 101, 49–56. [Google Scholar] [CrossRef] [PubMed]
- O’Neill, C.; Lopez, A.; Esteves, S.; Hawkes, F.R.; Hawkes, D.L.; Wilcox, S. Azo-dye degradation in an anaerobic-aerobic treatment system operating on simulated textile effluent. Appl. Microbiol. Biotechnol. 2000, 53, 249–254. [Google Scholar] [CrossRef] [PubMed]
- Pinheiro, H.; Touraud, E.; Thomas, O. Aromatic amines from azo dye reduction: Status review with emphasis on direct UV spectrophotometric detection in textile industry wastewaters. Dye Pigment. 2004, 61, 121–139. [Google Scholar] [CrossRef]
- Mohmmed, A.; Sharma, R.S.; Ali, S.; Babu, C.R. Molecular diversity of the plasmid genotypes among Rhizobium gene pools of sesbanias from different habitats of a semi-arid region (Delhi). FEMS Microbiol. Lett. 2001, 205, 171–178. [Google Scholar] [CrossRef]
- Sharma, M.; Mishra, V.; Rau, N.; Sharma, R.S. Functionally diverse rhizobacteria of Saccharum munja (a native wild grass) colonizing abandoned morrum mine in Aravalli hills (Delhi). Plant Soil 2011, 341, 447–459. [Google Scholar] [CrossRef]
- Adam, W.; Nikolaus, A. Photoreduction of Polycyclic DBO-Type Azoalkanes with Amines to Hydrazine Products. J. Am. Chem. Soc. 2000, 122, 884–888. [Google Scholar] [CrossRef]
- Brown, M.A.; Casida, J.E. Daminozide: Oxidation by photochemically generated singlet oxygen to dimethylnitrosamine and succinic anhydride. J. Agric. Food Chem. 1988, 36, 1064–1066. [Google Scholar] [CrossRef]
- Almeida, E.; Corso, C. Comparative study of toxicity of azo dye Procion Red MX-5B following biosorption and biodegradation treatments with the fungi Aspergillus niger and Aspergillus terreus. Chemosphere 2014, 112, 317–322. [Google Scholar] [CrossRef] [PubMed]
- Soriano, J.J.; Mathieu-Denoncourt, J.; Norman, G.; de Solla, S.R.; Langlois, V.S. Toxicity of the azo dyes Acid Red 97 and Bismarck Brown Y to Western clawed frog (Silurana tropicalis). Environ. Sci. Pollut. Res. 2013, 21, 3582–3591. [Google Scholar] [CrossRef]
- Puvaneswari, N.; Muthukrishnan, J.; Gunasekaran, P. Toxicity assessment and microbial degradation of azo dyes. Indian J. Exp. Biol. 2006, 44, 618–626. [Google Scholar] [PubMed]
- Rastogi, P.B.; Thilly, W.G.; Shirnamé-Moré, L. Long-term low-dose mutation studies in human cells: Metanil yellow and orange II. Mutat. Res. Mol. Mech. Mutagen. 1991, 249, 265–273. [Google Scholar] [CrossRef] [PubMed]
- Mirjalili, M.; Nazarpoor, K.; Karimi, L. Eco-Friendly Dyeing of Wool Using Natural Dye from Weld as Co-Partner with Synthetic Dye. J. Clean. Prod. 2011, 19, 1045–1051. [Google Scholar] [CrossRef]
- Adeel, S.; Amin, N.; Rehman, F.U.; Ahmad, T.; Batool, F.; Hassan, A. Sustainable Isolation of Natural Dyes from Plant Wastes for Textiles. In Recycling from Waste in Fashion and Textiles: A Sustainable and Circular Economic Approach; Wiley: Medford, MA, USA, 2020; pp. 363–390. [Google Scholar] [CrossRef]
- Cooksey, C.J. The red insect dyes: Carminic, kermesic and laccaic acids and their derivatives. Biotech. Histochem. 2019, 94, 100–107. [Google Scholar] [CrossRef] [PubMed]
- Sajed, T.; Haji, A.; Mehrizi, M.K.; Boroumand, M.N. Modification of wool protein fiber with plasma and dendrimer: Effects on dyeing with cochineal. Int. J. Biol. Macromol. 2018, 107, 642–653. [Google Scholar] [CrossRef]
- Li, D.; Wang, P.; Luo, Y.; Zhao, M.; Chen, F. Health Benefits of Anthocyanins and Molecular Mechanisms: Update from Recent Decade. Crit. Rev. Food Sci. Nutr. 2017, 57, 1729–1741. [Google Scholar] [CrossRef] [PubMed]
- Francis, F.J. Food Colorings. In Colour in Food, Improving Quality; Woodhead Publishing Limited: Sawston, UK; CRC Press LLC: London, UK, 2002. [Google Scholar]
- Castañeda-Ovando, A.; Pacheco-Hernandez, M.D.L.; Páez-Hernández, M.E.; Rodríguez, J.A.; Galán-Vidal, C.A. Chemical studies of anthocyanins: A review. Food Chem. 2009, 113, 859–871. [Google Scholar] [CrossRef]
- De Pascual-Teresa, S.; Sanchez-Ballesta, M.T. Anthocyanins: From Plant to Health. Phytochem. Rev. 2008, 7, 281–299. [Google Scholar] [CrossRef]
- Martins, N.; Roriz, C.L.; Morales, P.; Barros, L.; Ferreira, I.C. Food colorants: Challenges, opportunities and current desires of agro-industries to ensure consumer expectations and regulatory practices. Trends Food Sci. Technol. 2016, 52, 1–15. [Google Scholar] [CrossRef]
- Müller-Maatsch, J.; Gras, C. The “Carmine Problem” and Potential Alternatives. In Handbook on Natural Pigments in Food and Beverages: Industrial Applications for Improving Food Colour; Elsevier Inc.: Amsterdam, The Netherlands, 2016; pp. 385–428. [Google Scholar] [CrossRef]
- Hewlings, S.J.; Kalman, D.S. Curcumin: A Review of Its Effects on Human Health. Foods 2017, 6, 92. [Google Scholar] [CrossRef] [PubMed]
- Nasri, H.; Sahinfard, N.; Rafieian, M.; Rafieian, S.; Shirzad, M.; Rafieian-kopaei, M. Turmeric: A spice with multifunctional medicinal properties. J. HerbMed Pharmacol. 2014, 3, 5–8. [Google Scholar]
- Dias, M.G.; Camões, M.F.G.; Oliveira, L. Carotenoids in traditional Portuguese fruits and vegetables. Food Chem. 2009, 113, 808–815. [Google Scholar] [CrossRef]
- Rodriguez-Amaya, D.B. Natural Food Pigments and Colourants. In Bioactive Molecules in Food; Springer: Cham, Switzerland, 2019; pp. 867–901. [Google Scholar] [CrossRef]
- Fernandes, T.M.; Gomes, B.B.; Lanfer-Marquez, U.M. Apparent absorption of chlorophyll from spinach in an assay with dogs. Innov. Food Sci. Emerg. Technol. 2007, 8, 426–432. [Google Scholar] [CrossRef]
- Wu, S.-J.; Ng, L.-T.; Wang, G.-H.; Huang, Y.-J.; Chen, J.-L.; Sun, F.-M. Chlorophyll a, an active anti-proliferative compound of Ludwigia octovalvis, activates the CD95 (APO-1/CD95) system and AMPK pathway in 3T3-L1 cells. Food Chem. Toxicol. 2010, 48, 716–721. [Google Scholar] [CrossRef]
- Li, Y.; Cui, Y.; Lu, F.; Wang, X.; Liao, X.; Hu, X.; Zhang, Y. Beneficial Effects of a Chlorophyll-Rich Spinach Extract Supplementation on Prevention of Obesity and Modulation of Gut Microbiota in High-Fat Diet-Fed Mice. J. Funct. Foods 2019, 60, 103436. [Google Scholar] [CrossRef]
- Clemente, A.; Desai, P. Evaluation of the Hematological, Hypoglycemic, Hypolipidemic and Antioxidant Properties of Amaranthus Tricolor Leaf Extract in Rat. Trop. J. Pharm. Res. 2011, 10, 595–602. [Google Scholar] [CrossRef]
- Esatbeyoglu, T.; Ulbrich, K.; Rehberg, C.; Rohn, S.; Rimbach, G. Thermal stability, antioxidant, and anti-inflammatory activity of curcumin and its degradation product 4-vinyl guaiacol. Food Funct. 2015, 6, 887–893. [Google Scholar] [CrossRef] [PubMed]
- Zou, D.-M.; Brewer, M.; Garcia, F.; Feugang, J.M.; Wang, J.; Zang, R.; Liu, H.; Zou, C. Cactus pear: A natural product in cancer chemoprevention. Nutr. J. 2005, 4, 25. [Google Scholar] [CrossRef] [PubMed]
- Fernández-López, J.A.; Fernández-Lledó, V.; Angosto, J.M. New Insights into Red Plant Pigments: More than Just Natural Colorants. RSC Adv. 2020, 10, 24669–24682. [Google Scholar] [CrossRef] [PubMed]
- Delgado-Vargas, F.; Jiménez, A.R.; Paredes-López, O. Natural Pigments: Carotenoids, Anthocyanins, and Betalains—Characteristics, Biosynthesis, Processing, and Stability. Crit. Rev. Food Sci. Nutr. 2000, 40, 173–289. [Google Scholar] [CrossRef] [PubMed]
- Stich, E. Food Colour and Colouring Food: Quality, Differentiation and Regulatory Requirements in the EU and the United States. In Handbook on Natural Pigments in Food and Beverages: Industrial Applications for Improving Food Colour; Woodhead Publishing: Cambridge, UK, 2016; pp. 3–27. [Google Scholar] [CrossRef]
- Fernández-López, J.A.; Angosto, J.M.; Giménez, P.J.; León, G. Thermal Stability of Selected Natural Red Extracts Used as Food Colorants. Plant Foods Hum. Nutr. 2013, 68, 11–17. [Google Scholar] [CrossRef]
- Stintzing, F.C.; Carle, R. Betalains—Emerging prospects for food scientists. Trends Food Sci. Technol. 2007, 18, 514–525. [Google Scholar] [CrossRef]
- Crinó, M.A.; Heenan, C.N.; Nguyen, M.H.; Stathopoulos, C.E. The stability of natural red/pink food colours in ultrahigh-temperature (UHT) products. J. Sci. Food Agric. 2013, 93, 2022–2027. [Google Scholar] [CrossRef] [PubMed]
- Hubbermann, E.M.; Steffen-Heins, A.; Stöckmann, H.; Schwarz, K. Influence of acids, salt, sugars and hydrocolloids on the colour stability of anthocyanin rich black currant and elderberry concentrates. Eur. Food Res. Technol. 2006, 223, 83–90. [Google Scholar] [CrossRef]
- Neves, M.I.L.; Silva, E.K.; Meireles, M.A.A. Trends and Challenges in the Industrialization of Natural Colorants. Food Public Health 2019, 9, 33–44. [Google Scholar] [CrossRef]
- Oberoi, D.P.S.; Sogi, D.S. Effect of Drying Methods and Maltodextrin Concentration on Pigment Content of Watermelon Juice Powder. J. Food Eng. 2015, 165, 172–178. [Google Scholar] [CrossRef]
- Ray, S.; Raychaudhuri, U.; Chakraborty, R. An overview of encapsulation of active compounds used in food products by drying technology. Food Biosci. 2016, 13, 76–83. [Google Scholar] [CrossRef]
- Różyło, R. Recent trends in methods used to obtain natural food colorants by freeze-drying. Trends Food Sci. Technol. 2020, 102, 39–50. [Google Scholar] [CrossRef]
- Ravanfar, R.; Comunian, T.A.; Abbaspourrad, A. Thermoresponsive, water-dispersible microcapsules with a lipid-polysaccharide shell to protect heat-sensitive colorants. Food Hydrocoll. 2018, 81, 419–428. [Google Scholar] [CrossRef]
- Arango-Ruiz, Á.; Martin, Á.; Cosero, M.J.; Jiménez, C.; Londoño, J. Encapsulation of curcumin using supercritical antisolvent (SAS) technology to improve its stability and solubility in water. Food Chem. 2018, 258, 156–163. [Google Scholar] [CrossRef]
- Santos, D.T.; Albarelli, J.Q.; Beppu, M.M.; Meireles, M.A.A. Stabilization of anthocyanin extract from jabuticaba skins by encapsulation using supercritical CO2 as solvent. Food Res. Int. 2013, 50, 617–624. [Google Scholar] [CrossRef]
- Silva, E.K.; Azevedo, V.M.; Cunha, R.L.; Hubinger, M.D.; Meireles, M.A.A. Ultrasound-assisted encapsulation of annatto seed oil: Whey protein isolate versus modified starch. Food Hydrocoll. 2016, 56, 71–83. [Google Scholar] [CrossRef]
- Silva, E.K.; Zabot, G.L.; Meireles, M.A.A. Ultrasound-assisted encapsulation of annatto seed oil: Retention and release of a bioactive compound with functional activities. Food Res. Int. 2015, 78, 159–168. [Google Scholar] [CrossRef] [PubMed]
- Sigurdson, G.T.; Tang, P.; Giusti, M.M. Natural Colorants: Food Colorants from Natural Sources. Annu. Rev. Food Sci. Technol. 2017, 8, 261–280. [Google Scholar] [CrossRef] [PubMed]
- Schweiggert, R.M. Perspective on the Ongoing Replacement of Artificial and Animal-Based Dyes with Alternative Natural Pigments in Foods and Beverages. J. Agric. Food Chem. 2018, 66, 3074–3081. [Google Scholar] [CrossRef] [PubMed]
- Geerkens, C.H.; Schweiggert, R.M.; Steingass, H.; Boguhn, J.; Rodehutscord, M.; Carle, R. Influence of Apple and Citrus Pectins, Processed Mango Peels, a Phenolic Mango Peel Extract, and Gallic Acid as Potential Feed Supplements on in Vitro Total Gas Production and Rumen Methanogenesis. J. Agric. Food Chem. 2013, 61, 5727–5737. [Google Scholar] [CrossRef] [PubMed]
- Kammerer, J.; Schweizer, C.; Carle, R.; Kammerer, D.R. Recovery and fractionation of major apple and grape polyphenols from model solutions and crude plant extracts using ion exchange and adsorbent resins. Int. J. Food Sci. Technol. 2011, 46, 1755–1767. [Google Scholar] [CrossRef]
- Kammerer, D.R. Anthocyanins. In Handbook on Natural Pigments in Food and Beverages: Industrial Applications for Improving Food Colour; Woodhead Publishing: Cambridge, UK, 2016; pp. 61–80. [Google Scholar] [CrossRef]
- Schieber, A.; Weber, F. Carotenoids. In Handbook on Natural Pigments in Food and Beverages: Industrial Applications for Improving Food Colour; Woodhead Publishing: Cambridge, UK, 2016; pp. 101–123. [Google Scholar] [CrossRef]
- Hunger, K.; Mischke, P.; Rieper, W. Azo Dyes, 1. General. In Ullmann’s Encyclopedia of Industrial Chemistry; John Wiley & Sons Ltd.: Hoboken, NJ, USA, 2011. [Google Scholar] [CrossRef]
- Baranski, R.; Goldman, I.; Nothnagel, T.; Scott, J. Improving Colour Sources by Plant Breeding and Cultivation. In Handbook on Natural Pigments in Food and Beverages: Industrial Applications for Improving Food Colour; Woodhead Publishing: Cambridge, UK, 2016; pp. 429–472. [Google Scholar] [CrossRef]
- Brauch, J.E. Underutilized Fruits and Vegetables as Potential Novel Pigment Sources. In Handbook on Natural Pigments in Food and Beverages: Industrial Applications for Improving Food Colour; Woodhead Publishing: Cambridge, UK, 2016; pp. 305–335. [Google Scholar] [CrossRef]
- Vazquez-Roig, P.; Picó, Y. Pressurized liquid extraction of organic contaminants in environmental and food samples. TrAC Trends Anal. Chem. 2015, 71, 55–64. [Google Scholar] [CrossRef]
- Dufossé, L.; Fouillaud, M.; Caro, Y.; Mapari, S.A.; Sutthiwong, N. Filamentous fungi are large-scale producers of pigments and colorants for the food industry. Curr. Opin. Biotechnol. 2014, 26, 56–61. [Google Scholar] [CrossRef]
- Simon, J.E.; Decker, E.A.; Ferruzzi, M.G.; Giusti, M.M.; Mejia, C.D.; Goldschmidt, M.; Talcott, S.T. Establishing Standards on Colors from Natural Sources. J. Food Sci. 2017, 82, 2539–2553. [Google Scholar] [CrossRef] [PubMed]
- Hunter, B.T. What are natural food colors? In Consumers’ Research Magazine. Consumers’ Research, Inc.; HighBeam Research: Chicago, IL, USA, 1999. [Google Scholar]
- Burrows, J.A. Palette of Our Palates: A Brief History of Food Coloring and Its Regulation. Compr. Rev. Food Sci. Food Saf. 2009, 8, 394–408. [Google Scholar] [CrossRef]
- Moloughney, S. Dietary Supplements: Increasing in Value & Potential. Nutraceuticals World. 2014. Available online: http://www.nutraceuticalsworld.com/issues/2014-04/view_features/dietary-supplements-increasing-in-value-potential (accessed on 10 December 2022).
- Caro, Y.; Anamale, L.; Fouillaud, M.; Laurent, P.; Petit, T.; Dufosse, L. Natural Hydroxyanthraquinoid Pigments as Potent Food Grade Colorants: An Overview. Nat. Prod. Bioprospect. 2012, 2, 174–193. [Google Scholar] [CrossRef]
- Cisse, M.; Vaillant, F.; Acosta, O.; Dhuique-Mayer, C.; Dornier, M. Thermal Degradation Kinetics of Anthocyanins from Blood Orange, Blackberry, and Roselle Using the Arrhenius, Eyring, and Ball Models. J. Agric. Food Chem. 2009, 57, 6285–6291. [Google Scholar] [CrossRef] [PubMed]
- Shahid, M.; Shahid-ul-Islam; Mohammad, F. Recent advancements in natural dye applications: A review. J. Clean. Prod. 2013, 53, 310–331. [Google Scholar] [CrossRef]
- Scotter, M.J. Emerging and persistent issues with artificial food colours: Natural colour additives as alternatives to synthetic colours in food and drink. Qual. Assur. Saf. Crop. Foods 2011, 3, 28–39. [Google Scholar] [CrossRef]
- Benucci, I.; Lombardelli, C.; Mazzocchi, C.; Esti, M. Natural colorants from vegetable food waste: Recovery, regulatory aspects, and stability—A review. Compr. Rev. Food Sci. Food Saf. 2022, 21, 2715–2737. [Google Scholar] [CrossRef] [PubMed]
- Rahimpour, S.; Dinani, S.T. Lycopene extraction from tomato processing waste using ultrasound and cell-wall degrading enzymes. J. Food Meas. Charact. 2018, 12, 2394–2403. [Google Scholar] [CrossRef]
- Coultate, T.; Blackburn, R.S. Food colorants: Their past, present and future. Color. Technol. 2018, 134, 165–186. [Google Scholar] [CrossRef]




| Source | Method | Reference |
|---|---|---|
| Blueberry | Solid-liquid extraction | [51] |
| Blackberry | Solid-liquid extraction | [52] |
| Jamun | Solid-liquid extraction | [53] |
| Red radish | Solid-liquid extraction | [54] |
| Jambolan | Supercritical fluid extraction | [55] |
| Blueberry | Supercritical fluid extraction | [56] |
| Cherry | Ultrasound-assisted extraction | [57] |
| Strawberry | Ohmic heating-assisted extraction | [58] |
| Source | Method | Reference |
|---|---|---|
| Buriti (M. flexuosa) pulp | supercritical fluid extraction with CO2 | [70] |
| Microalgae | supercritical fluid extraction with CO2 | [71] |
| Tomato | supercritical fluid extraction with CO2 + ethanol | [72] |
| Carrot | supercritical fluid extraction with CO2 + vegetable oils as co-solvent | [73] |
| Pandalus borealis | Solvent extraction | [74] |
| Tomato | High-pressure extraction | [75] |
| Gac fruit | Enzymatic extraction | [76] |
| Biowaste (peels, seeds) | Ultrasonication | [77] |
| Product | Pigment Origin | Extraction Procedure | Applications | Reference |
|---|---|---|---|---|
| Bakery products | ||||
| Cupcakes | Roselle (Hibiscus sabdariffa L.) | Roselle calyces (28 °C, 3 h) were dried, after which it was ground (0.55 mm) and soaked in water (200 mL). The resultant solution was heated at 80 °C for an hour. | Enriches the composition of cupcakes and improvises preservation of cakes. | [94] |
| Cakes and cookies | Tomato wastes | Lycopene was extracted from tomato wastes when heated at 20, 30, and 40 °C with a time frame of 15, 30, 45, and 60 min. The extraction solvent has to be removed to use the lycopene. | Increases antioxidant properties and cake volume. | [95] |
| Wafers | Arbutus unedo fruit | Extraction is carried out using the application of heat. The recovery rate was 60% of the total dry fruit weight. | The properties of the wafers change after a storage period of 3–6 days. | [96] |
| Alcoholic beverages | Porphyridium sp. microalga | Centrifugation, microfiltration and freeze-drying techniques are carried out for the extraction process. | Imparts yellow color to the food products. | [97] |
| Condensed milk-based confections and doughnut icing | Ficus carica and Prunus spinosa L. | Peels and epicarps were treated by freeze drying and milling, followed by an ultrasound to extract the colorant. | They are applied in milk-based products. | [98] |
| Ice cream | Microalga (Nannochloropsis oculata, Porphyridium cruentum, and Diacronema vilkianum) | Spray drying and centrifugation techniques were used to extract the colorant. | The colorant imparts pink and green colors to the ice cream depending on the nature of the microalgae. | [99] |
| Sausages | Brown seaweed (Cystoseira barbata) | Drying, milling and aqueous two-phase extraction techniques were used to extract the colorant. | The pigment imparts red color to the food products. | [100] |
| Food Colorant | Source | Benefits | References |
|---|---|---|---|
| Carminic acid -hydrophilic | Animal-based | Prevention of diabetes and cancer. Exhibits antifungal and antioxidant properties. | [169,170,171] |
| Anthocyanin -hydrophilic | Plant-based | Prevention of cardiovascular diseases, cataracts, Alzheimer’s disease, and cancer. Management of obesity and diabetes mellitus | [16,136,172,173,174,175,176,177] |
| Curcuminoid -lipophilic | Plant-based | Prevention of cancer. Exhibits anti-bacterial, anti-inflammatory, antifungal, and antiseptic properties. Possess excellent wound-healing characteristics | [178,179] |
| Carotenoids -lipophilic | Plant-based | Antioxidant and dietary source of vitamin A prevents cardiovascular diseases and cancer | [173,177,180,181] |
| Chlorophyll -lipophilic | Plant-based | Prevention of cataracts, colon cancer, coronary heart disease, and diabetes | [182,183,184] |
| Betacyanins -hydrophilic | Plant-based | Prevention of cancer, high-density lipoproteins, and cardiovascular diseases | [185,186,187,188] |
Disclaimer/Publisher’s Note: The statements, opinions and data contained in all publications are solely those of the individual author(s) and contributor(s) and not of MDPI and/or the editor(s). MDPI and/or the editor(s) disclaim responsibility for any injury to people or property resulting from any ideas, methods, instructions or products referred to in the content. |
© 2023 by the authors. Licensee MDPI, Basel, Switzerland. This article is an open access article distributed under the terms and conditions of the Creative Commons Attribution (CC BY) license (https://creativecommons.org/licenses/by/4.0/).
Share and Cite
Renita, A.A.; Gajaria, T.K.; Sathish, S.; Kumar, J.A.; Lakshmi, D.S.; Kujawa, J.; Kujawski, W. Progress and Prospective of the Industrial Development and Applications of Eco-Friendly Colorants: An Insight into Environmental Impact and Sustainability Issues. Foods 2023, 12, 1521. https://doi.org/10.3390/foods12071521
Renita AA, Gajaria TK, Sathish S, Kumar JA, Lakshmi DS, Kujawa J, Kujawski W. Progress and Prospective of the Industrial Development and Applications of Eco-Friendly Colorants: An Insight into Environmental Impact and Sustainability Issues. Foods. 2023; 12(7):1521. https://doi.org/10.3390/foods12071521
Chicago/Turabian StyleRenita, A. Annam, Tejal K. Gajaria, S. Sathish, J. Aravind Kumar, D. Shanthana Lakshmi, Joanna Kujawa, and Wojciech Kujawski. 2023. "Progress and Prospective of the Industrial Development and Applications of Eco-Friendly Colorants: An Insight into Environmental Impact and Sustainability Issues" Foods 12, no. 7: 1521. https://doi.org/10.3390/foods12071521
APA StyleRenita, A. A., Gajaria, T. K., Sathish, S., Kumar, J. A., Lakshmi, D. S., Kujawa, J., & Kujawski, W. (2023). Progress and Prospective of the Industrial Development and Applications of Eco-Friendly Colorants: An Insight into Environmental Impact and Sustainability Issues. Foods, 12(7), 1521. https://doi.org/10.3390/foods12071521

