Non-Destructive Eggshell Strength Assessment Using Hertz Contact Theory—Part II: Implementation and Validation
Abstract
1. Introduction
2. Materials and Methods
2.1. Experimental Set-Up
2.2. Egg and Impact Characteristics
- The contact time τ (s) was extracted from the microphone signal by quantifying the width of the peaks in the signal. Each bouncing of the ball causes such a peak, and the second peak (i.e., the second time the ball hits the egg) was used;
- The impact speed vn,1 (m/s) of the second impact (for which the contact time was estimated in the previous point) was estimated by quantifying the time between the first and second impact;
- The Hertz stiffness KH (N/m3/2) was calculated using Equation (1). For details about the Hertz theory, see De Ketelaere et al. [18].
- 4.
- For the first set of 75 eggs, those measurements were complemented by measurements taken with the laser vibrometer to have reference values for contact time and impact speed. Since laser measurements are only feasible after demounting the probe, shown in Figure 1, these were taken after all microphone measurements had been collected.
3. Results and Discussion
3.1. Retrieving Impact Speed and Contact Time from Microphone Data
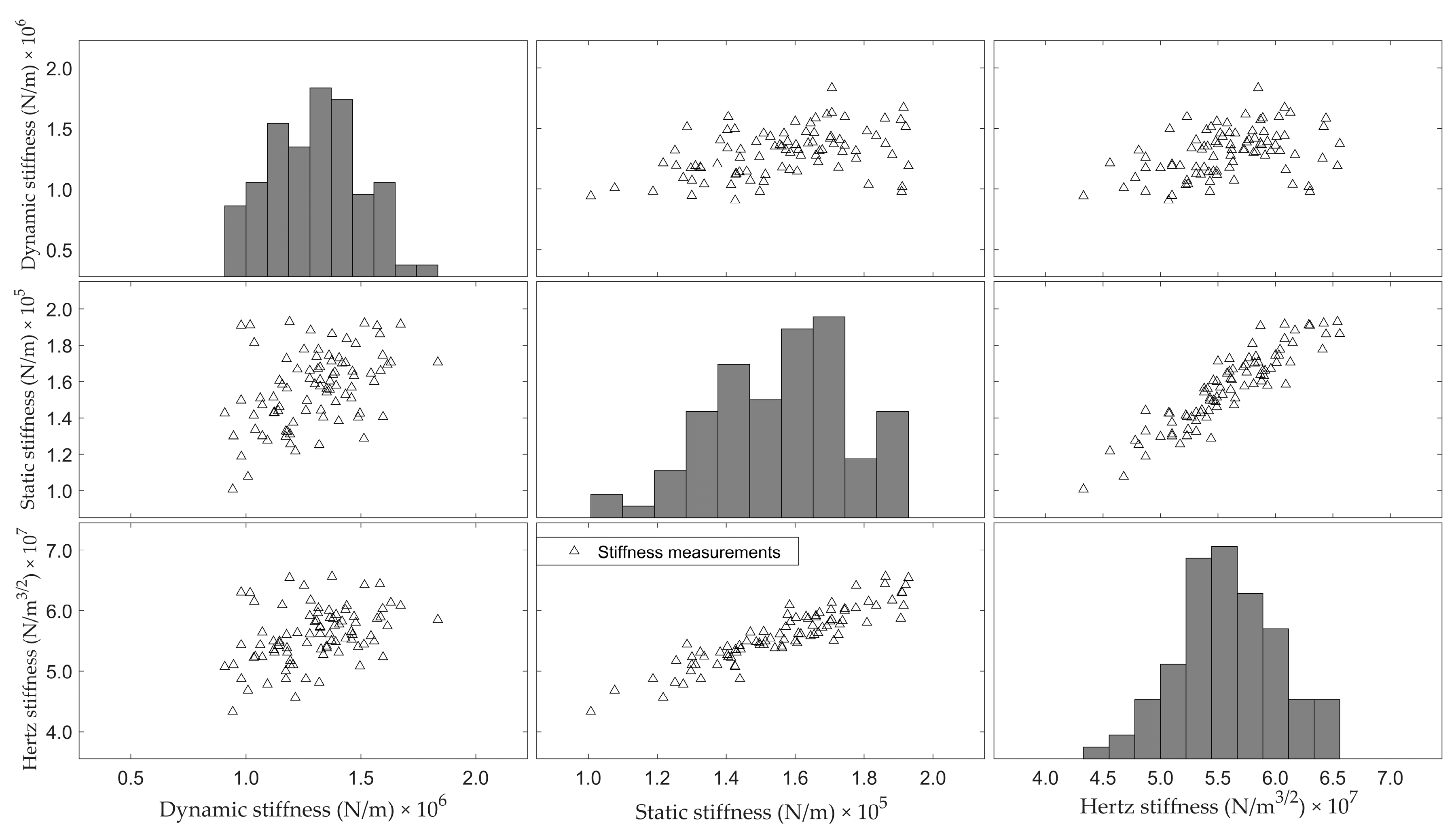
3.2. Predicting Shell Strength Parameters Using Microphone Data
4. Conclusions
Author Contributions
Funding
Data Availability Statement
Acknowledgments
Conflicts of Interest
References
- De Ketelaere, B.; Bamelis, F.; Kemps, B.; Decuypere, E.; De Baerdemaeker, J. Non-Destructive Measurements of the Egg Quality. World’s Poult. Sci. J. 2004, 60, 289–302. [Google Scholar] [CrossRef]
- Cho, H.K.; Choi, W.K.; Paek, J.H. Detection of Surface Cracks in Shell Eggs by Acoustic Impulse Method. Trans. Am. Soc. Agric. Eng. 2000, 43, 1921–1926. [Google Scholar] [CrossRef]
- Coucke, P.; De Baerdemaeker, J.; Decuypere, E. Assessment of Some Physical Quality Parameters of Eggs Based on Vibration Analysis; KU Leuven: Leuven, Belgium, 1998. [Google Scholar]
- De Ketelaere, B.; Coucke, P.; De Baerdemaeker, J. Eggshell Crack Detection Based on Acoustic Resonance Frequency Analysis. J. Agric. Eng. Res. 2000, 76, 157–163. [Google Scholar] [CrossRef]
- Deng, X.; Wang, Q.; Chen, H.; Xie, H. Eggshell Crack Detection Using a Wavelet-Based Support Vector Machine. Comput. Electron. Agric. 2010, 70, 135–143. [Google Scholar] [CrossRef]
- Shi, C.; Wang, Y.; Zhang, C.; Yuan, J.; Cheng, Y.; Jia, B.; Zhu, C. Nondestructive Detection of Microcracks in Poultry Eggs Based on the Electrical Characteristics Model. Agriculture 2022, 12, 1137. [Google Scholar] [CrossRef]
- Moayeri, H. Probe, Device and Method for Testing Eggs. Patent No. EP0738888A1, 17 April 1996. Available online: https://worldwide.espacenet.com/patent/search?q=pn%3DEP0738888A1 (accessed on 14 March 2023).
- Bliss, G. Crack Detector. Patent No. CA927965A, 27 April 1971. Available online: https://worldwide.espacenet.com/patent/search?q=pn%3DCA927965A (accessed on 14 March 2023).
- Coucke, P.; Dewil, E.; Decuypere, E.; De Baerdemaeker, J. Measuring the Mechanical Stiffness of an Eggshell Using Resonant Frequency Analysis. Br. Poult. Sci. 1999, 40, 227–232. [Google Scholar] [CrossRef] [PubMed]
- Bain, M.M.; MacLeod, N.; Thomson, R.; Hancock, J.W. Microcracks in Eggs. Poult. Sci. 2006, 85, 2001–2008. [Google Scholar] [CrossRef] [PubMed]
- Dunn, I.C.; Bain, M.; Edmond, A.; Wilson, P.W.; Joseph, N.; Solomon, S.; De Ketelaere, B.; De Baerdemaeker, J.; Schmutz, M.; Preisinger, R.; et al. Heritability and Genetic Correlation of Measurements Derived from Acoustic Resonance Frequency Analysis; a Novel Method of Determining Eggshell Quality in Domestic Hens. Br. Poult. Sci. 2005, 46, 280–286. [Google Scholar] [CrossRef] [PubMed]
- De Abreu Fernandes, E.; Litz, F.H. The Eggshell and Its Commercial and Production Importance. In Egg Innovations and Strategies for Improvements; Elsevier Inc.: Amsterdam, The Netherlands, 2017; pp. 261–270. ISBN 9780128011515. [Google Scholar]
- Mertens, K.; Bamelis, F.; Kemps, B.; Kamers, B.; Verhoelst, E.; De Ketelaere, B.; Bain, M.; Decuypere, E.; De Baerdemaeker, J. Monitoring of Eggshell Breakage and Eggshell Strength in Different Production Chains of Consumption Eggs. Poult. Sci. 2006, 85, 1670–1677. [Google Scholar] [CrossRef] [PubMed]
- Messens, W.; Grijspeerdt, K.; De Reu, K.; De Ketelaere, B.; Mertens, K.; Bamelis, F.; Kemps, B.; De Baerdemaeker, J.; Decuypere, E.; Herman, L. Eggshell Penetration of Various Types of Hens’ Eggs by Salmonella Enterica Serovar Enteritidis. J. Food Prot. 2007, 70, 623–628. [Google Scholar] [CrossRef] [PubMed]
- Lin, H.; Mertens, K.; Kemps, B.; Govaerts, T.; De Ketelaere, B.; De Baerdemaeker, J.; Decuypere, E.; Buyse, J. New Approach of Testing the Effect of Heat Stress on Eggshell Quality: Mechanical and Material Properties of Eggshell and Membrane. Br. Poult. Sci. 2004, 45, 476–482. [Google Scholar] [CrossRef] [PubMed]
- Mertens, K.; Vaesen, I.; Löffel, J.; Ostyn, B.; Kemps, B.; Kamers, B.; Bamelis, F.; Zoons, J.; Darius, P.; Decuypere, E.; et al. Data-Based Design of an Intelligent Control Chart for the Daily Monitoring of the Average Egg Weight. Comput. Electron. Agric. 2008, 61, 222–232. [Google Scholar] [CrossRef]
- Mertens, K.; Vaesen, I.; Löffel, J.; Kemps, B.; Kamers, B.; Zoons, J.; Darius, P.; Decuypere, E.; De Baerdemaeker, J.; De Ketelaere, B. An Intelligent Control Chart for Monitoring of Autocorrelated Egg Production Process Data Based on a Synergistic Control Strategy. Comput. Electron. Agric. 2009, 69, 100–111. [Google Scholar] [CrossRef]
- De Ketelaere, B.; Corion, M.; Adriaens, I.; Van Liedekerke, P.; Saeys, W. Non-Destructive Eggshell Strength Assessment Using Hertz Contact Theory Part I: Theory and Applicability. Foods 2023, 12, 1189. [Google Scholar] [CrossRef]
- Abdallah, A.G.; Harms, R.H.; El-Husseiny, O. Various Methods of Measuring Shell Quality in Relation to Percentage of Cracked Eggs. Poult. Sci. 1993, 72, 2038–2043. [Google Scholar] [CrossRef]
- De Ketelaere, B.; Govaerts, T.; Coucke, P.; Dewil, E.; Visscher, J.; Decuypere, E.; De Baerdemaeker, J. Measuring the Eggshell Strength of 6 Different Genetic Strains of Laying Hens: Techniques and Comparisons. Br. Poult. Sci. 2002, 43, 238–244. [Google Scholar] [CrossRef] [PubMed]








Disclaimer/Publisher’s Note: The statements, opinions and data contained in all publications are solely those of the individual author(s) and contributor(s) and not of MDPI and/or the editor(s). MDPI and/or the editor(s) disclaim responsibility for any injury to people or property resulting from any ideas, methods, instructions or products referred to in the content. |
© 2023 by the authors. Licensee MDPI, Basel, Switzerland. This article is an open access article distributed under the terms and conditions of the Creative Commons Attribution (CC BY) license (https://creativecommons.org/licenses/by/4.0/).
Share and Cite
De Ketelaere, B.; Corion, M.; Adriaens, I.; Van Liedekerke, P.; Saeys, W. Non-Destructive Eggshell Strength Assessment Using Hertz Contact Theory—Part II: Implementation and Validation. Foods 2023, 12, 1340. https://doi.org/10.3390/foods12061340
De Ketelaere B, Corion M, Adriaens I, Van Liedekerke P, Saeys W. Non-Destructive Eggshell Strength Assessment Using Hertz Contact Theory—Part II: Implementation and Validation. Foods. 2023; 12(6):1340. https://doi.org/10.3390/foods12061340
Chicago/Turabian StyleDe Ketelaere, Bart, Matthias Corion, Ines Adriaens, Paul Van Liedekerke, and Wouter Saeys. 2023. "Non-Destructive Eggshell Strength Assessment Using Hertz Contact Theory—Part II: Implementation and Validation" Foods 12, no. 6: 1340. https://doi.org/10.3390/foods12061340
APA StyleDe Ketelaere, B., Corion, M., Adriaens, I., Van Liedekerke, P., & Saeys, W. (2023). Non-Destructive Eggshell Strength Assessment Using Hertz Contact Theory—Part II: Implementation and Validation. Foods, 12(6), 1340. https://doi.org/10.3390/foods12061340

