Dissipation of Four Typical Insecticides on Strawberries and Effects of Different Household Washing Methods
Abstract
1. Introduction
2. Materials and Methods
2.1. Reagents and Materials
2.2. Field Trials and Sampling Campaign
2.3. Household Washing Methods
2.3.1. Washing with Soaking Solution
2.3.2. Washing with a Soaking Solution and Running Water
2.4. Sample Pretreatment and Analysis
2.5. Method Validation and Storage Stability
2.6. Determination of Residual Concentrations
2.7. Half-Lives of Test Insecticides
2.8. Dietary Exposure Risk Assessment
3. Results and Discussion
3.1. Method Validation and Storage Stability
3.2. Analytical Reduction of Insecticide Residues and Half-Lives
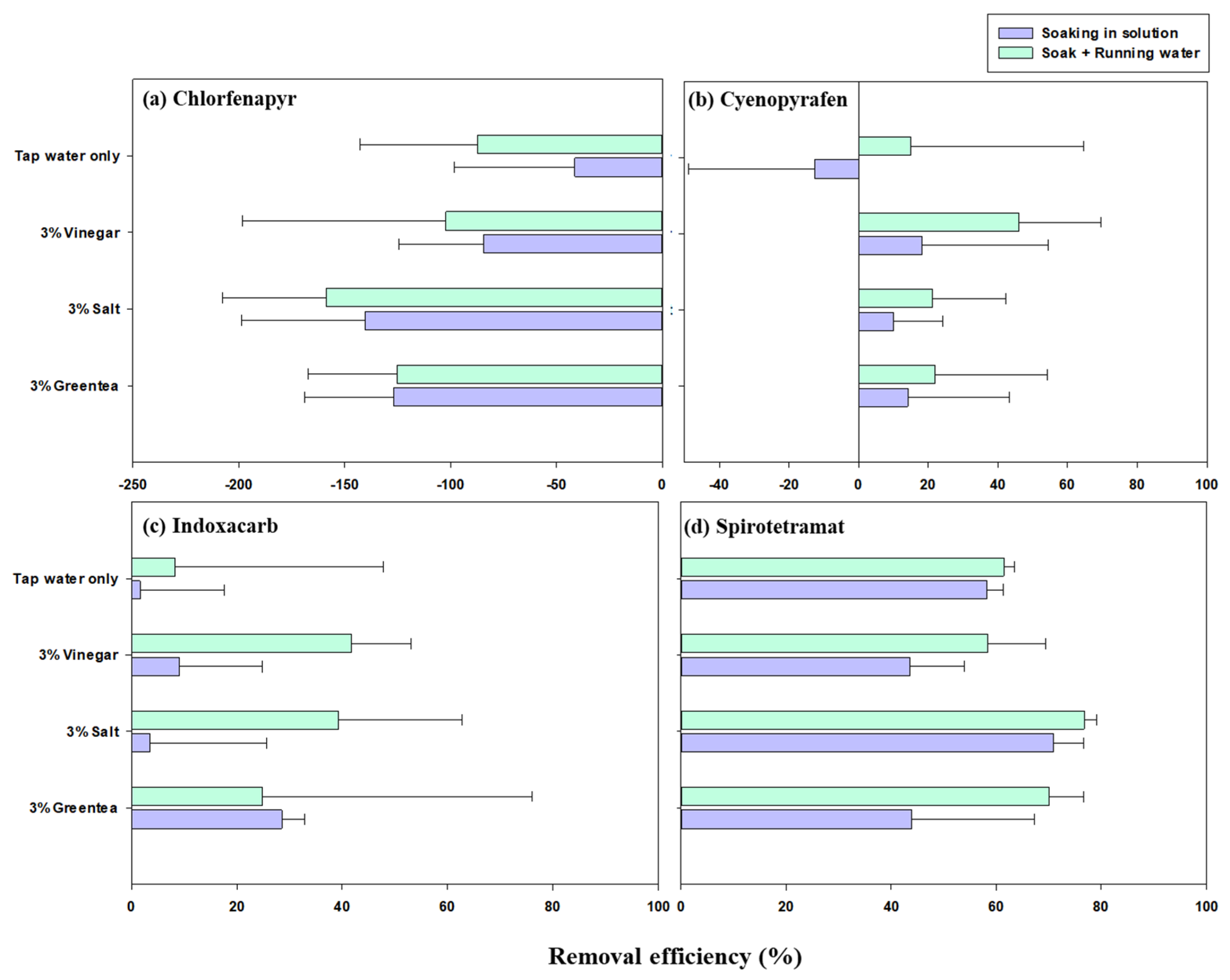
3.3. Dissipation Pattern Removal Efficiency of Different Washing Methods
3.4. Dietary Exposure Risk Assessment
4. Conclusions
Supplementary Materials
Author Contributions
Funding
Institutional Review Board Statement
Informed Consent Statement
Data Availability Statement
Conflicts of Interest
References
- Afrin, S.; Gasparrini, M.; Forbes-Hernandez, T.Y.; Reboredo-Rodriguez, P.; Mezzetti, B.; Varela-López, A.; Giampieri, F.; Battino, M. Promising Health Benefits of the Strawberry: A Focus on Clinical Studies. J. Agric. Food Chem. 2016, 64, 4435–4449. [Google Scholar] [CrossRef] [PubMed]
- Lozowicka, B.; Jankowska, M.; Hrynko, I.; Kaczynski, P. Removal of 16 Pesticide Residues from Strawberries by Washing with Tap and Ozone Water, Ultrasonic Cleaning and Boiling. Environ. Monit. Assess 2015, 188, 51. [Google Scholar] [CrossRef]
- Song, L.; Zhong, Z.; Han, Y.; Zheng, Q.; Qin, Y.; Wu, Q.; He, X.; Pan, C. Dissipation of Sixteen Pesticide Residues from Various Applications of Commercial Formulations on Strawberry and Their Risk Assessment under Greenhouse Conditions. Ecotoxicol. Environ. Saf. 2020, 188, 109842. [Google Scholar] [CrossRef]
- Verdenelli, R.A.; Lamarque, A.L.; Meriles, J.M. Short-Term Effects of Combined Iprodione and Vermicompost Applications on Soil Microbial Community Structure. Sci. Total Environ. 2012, 414, 210–219. [Google Scholar] [CrossRef] [PubMed]
- Raghavendra, K.; Barik, T.K.; Sharma, P.; Bhatt, R.M.; Srivastava, H.C.; Sreehari, U.; Dash, A.P. Chlorfenapyr: A New Insecticide with Novel Mode of Action Can Control Pyrethroid Resistant Malaria Vectors. Malar. J. 2011, 10, 16. [Google Scholar] [CrossRef] [PubMed]
- Salazar-López, N.-J.; Aldana-Madrid, M.-L.; Silveira-Gramont, M.-I.; Aguiar, J.-L. Spirotetramat—An Alternative for the Control of Parasitic Sucking Insects and Its Fate in the Environment; IntechOpen: London, UK, 2016; ISBN 978-953-51-2258-6. [Google Scholar]
- Wang, Z.; Cang, T.; Wu, S.; Wang, X.; Qi, P.; Wang, X.; Zhao, X. Screening for Suitable Chemical Acaricides against Two-Spotted Spider Mites, Tetranychus Urticae, on Greenhouse Strawberries in China. Ecotoxicol. Environ. Saf. 2018, 163, 63–68. [Google Scholar] [CrossRef]
- Bajwa, U.; Sandhu, K.S. Effect of Handling and Processing on Pesticide Residues in Food—A Review. J. Food Sci. Technol. 2014, 51, 201–220. [Google Scholar] [CrossRef] [PubMed]
- Acoglu, B.; Omeroglu, P.Y. Effectiveness of Different Type of Washing Agents on Reduction of Pesticide Residues in Orange (Citrus sinensis). LWT 2021, 147, 111690. [Google Scholar] [CrossRef]
- Harinathareddy, A.; Prasad, N.B.L.; Devi, K.L.; Raveendranath, D.; Ramesh, B. Risk Mitigation Methods on the Removal of Pesticide Residues in Grapes Fruits for Food Safety. Res. J. Pharm. Biol. Chem. Sci. 2015, 6, 1568–1572. [Google Scholar]
- Polat, B.; Tiryaki, O. Assessing Washing Methods for Reduction of Pesticide Residues in Capia Pepper with LC-MS/MS. J. Environ. Sci. Health Part B 2020, 55, 1–10. [Google Scholar] [CrossRef]
- Raveendranath, D.; Murthy, K.S.R.; Vijayalakshmi, B.; Reddy, A.H.; Ramesh, B. Residual Behavior of Chlorpyriphos on Cultivated Gherkin and Its Removal Using Various Household Risk Mitigation Methods. Res. J. Pharm. Biol. Chem. Sci. 2014, 5, 906–911. [Google Scholar]
- Soliman, K.M. Changes in Concentration of Pesticide Residues in Potatoes during Washing and Home Preparation. Food Chem. Toxicol. 2001, 39, 887–891. [Google Scholar] [CrossRef] [PubMed]
- Yang, T.; Doherty, J.; Zhao, B.; Kinchla, A.J.; Clark, J.M.; He, L. Effectiveness of Commercial and Homemade Washing Agents in Removing Pesticide Residues on and in Apples. J. Agric. Food Chem. 2017, 65, 9744–9752. [Google Scholar] [CrossRef] [PubMed]
- Hanafi, A.; Elsheshetawy, H.E.; Faied, S.F. Reduction of Pesticides Residues on Okra Fruits by Different Processing Treatments. J. Verbr. Lebensm. 2016, 11, 337–343. [Google Scholar] [CrossRef]
- JEONG, D.-K.; LEE, H.-J.; BAE, J.-Y.; JANG, Y.-S.; HONG, S.-M.; KIM, J.-H. Chlorfenapyr Residue in Sweet Persimmon from Farm to Table. J. Food Prot. 2019, 82, 810–814. [Google Scholar] [CrossRef]
- Li, Y.; Xu, J.; Zhao, X.; He, H.; Zhang, C.; Zhang, Z. The Dissipation Behavior, Household Processing Factor and Risk Assessment for Cyenopyrafen Residues in Strawberry and Mandarin Fruits. Food Chem. 2021, 359, 129925. [Google Scholar] [CrossRef]
- Liu, Y.; Su, X.; Jian, Q.; Chen, W.; Sun, D.; Gong, L.; Jiang, L.; Jiao, B. Behaviour of Spirotetramat Residues and Its Four Metabolites in Citrus Marmalade during Home Processing. Food Addit. Contam. Part A 2016, 33, 452–459. [Google Scholar] [CrossRef]
- Liu, Y.; Li, S.; Ni, Z.; Qu, M.; Zhong, D.; Ye, C.; Tang, F. Pesticides in Persimmons, Jujubes and Soil from China: Residue Levels, Risk Assessment and Relationship between Fruits and Soils. Sci. Total Environ. 2016, 542, 620–628. [Google Scholar] [CrossRef]
- Food and Agriculture Organization of the United Nations, World Health Organization. Pesticide Residues in Food, 1992 Evaluations: Part I Residues; Food & Agriculture Org: Rome, Italy, 1993; ISBN 978-92-5-103341-8. [Google Scholar]
- Codex Recommended Methods of Sampling for the Determination of Pesticide Residues for Compliance with MRLs. Available online: https://www.iaea.org/resources/manual/codex-recommended-methods-of-sampling-for-the-determination-of-pesticide-residues-for-compliance-with-mrls (accessed on 31 January 2023).
- OECD. Test No. 509: Crop Field Trial; Organisation for Economic Co-operation and Development: Paris, France, 2021. [Google Scholar]
- Islam, M.A.; Amin, S.M.N.; Brown, C.L.; Juraimi, A.S.; Uddin, M.K.; Arshad, A. Determination of the Most Efficient Household Technique for the Reduction of Pesticide Residues from Raw Fish Muscles. Foods 2022, 11, 1254. [Google Scholar] [CrossRef]
- Noh, H.H.; Shin, H.W.; Kim, D.J.; Lee, J.W.; Jo, S.H.; Kim, D.; Kyung, K.S. Effect of Processing on Residual Buprofezin Levels in Ginseng Products. Int. J. Environ. Res. Public Health 2021, 18, 471. [Google Scholar] [CrossRef]
- EURL|Residues of Pesticides|Analytical Quality Control and Method Validation Procedures for Pesticide Residues Analysis in Food and Feed. Available online: https://www.eurl-pesticides.eu/docs/public/tmplt_article.asp?CntID=727 (accessed on 12 August 2022).
- Prevalence of Undernourishment 2019–2021 (Percent). Available online: https://www.fao.org/interactive/hunger-map-light/en/ (accessed on 1 February 2023).
- Pesticide Fact Sheets. Available online: http://npic.orst.edu/npicfact.htm (accessed on 1 February 2023).
- Patra, S.; Ganguly, P.; Barik, S.R.; Samanta, A. Dissipation Kinetics and Risk Assessment of Chlorfenapyr on Tomato and Cabbage. Environ. Monit. Assess 2018, 190, 71. [Google Scholar] [CrossRef] [PubMed]
- Xu, F.; Xu, D.; Hu, M.; Chen, L.; Xu, C.; Zha, X. Dissipation Behaviour, Residue Analysis, and Dietary Safety Evaluation of Chlorfenapyr on Various Vegetables in China. Food Addit. Contam. Part A 2022, 39, 724–739. [Google Scholar] [CrossRef] [PubMed]
- Kabir, M.H.; El-Aty, A.M.A.; Kim, S.-W.; Rahman, M.M.; Chung, H.S.; Lee, H.S.; Shin, H.-C.; Shim, J.-H. Decline Pattern and Risk Assessment of Cyenopyrafen in Different Varieties of Asian Pear Using Liquid Chromatography and Tandem Mass Spectrometry. Food Sci. Biotechnol. 2017, 26, 537–543. [Google Scholar] [CrossRef] [PubMed]
- Lee, C.-R.; Hong, J.-H.; Lim, J.-S.; Lee, K.-S. Residue Patterns of Azoxystrobin and Cyenopyrafen in Grape between Rainshield and Plastic House Conditions. Korean J. Pestic. Sci. 2011, 15, 97–103. [Google Scholar]
- Kaur, H.; Sharma, S.; Kang, B.K. Estimation of Indoxacarb and Thiamethoxam Residues in Chilli. Int. J. Environ. Anal. Chem. 2021, 1–18. [Google Scholar] [CrossRef]
- Mohapatra, S.; Siddamallaiah, L.; Matadha, N.Y.; Udupi, V.R.; Raj, D.P.; Gadigeppa, S. Dissipation of Neonicotinoid Insecticides Imidacloprid, Indoxacarb and Thiamethoxam on Pomegranate (Punica granatum L.). Ecotoxicol. Environ. Saf. 2019, 171, 130–137. [Google Scholar] [CrossRef]
- Saimandir, J.; Gopal, M. Application of Indoxacarb for Managing Shoot and Fruit Borer of Eggplant (Solanum melongena L.) and Its Decontamination. J. Environ. Sci. Health Part B 2009, 44, 292–301. [Google Scholar] [CrossRef]
- Sakthiselvi, T.; Paramasivam, M.; Vasanthi, D.; Bhuvaneswari, K. Persistence, Dietary and Ecological Risk Assessment of Indoxacarb Residue in/on Tomato and Soil Using GC–MS. Food Chem. 2020, 328, 127134. [Google Scholar] [CrossRef]
- Szpyrka, E.; Matyaszek, A.; Słowik-Borowiec, M. Dissipation of Chlorantraniliprole, Chlorpyrifos-Methyl and Indoxacarb—Insecticides Used to Control Codling Moth (Cydia pomonella L.) and Leafrollers (Tortricidae) in Apples for Production of Baby Food. Environ. Sci. Pollut. Res. 2017, 24, 12128–12135. [Google Scholar] [CrossRef]
- Chahil, G.S.; Mandal, K.; Sahoo, S.K.; Singh, B. Risk Assessment of Mixture Formulation of Spirotetramat and Imidacloprid in Chilli Fruits. Environ. Monit. Assess 2014, 187, 4105. [Google Scholar] [CrossRef]
- Mohapatra, S.; Kumar, S.; Prakash, G.S. Residue Evaluation of Imidacloprid, Spirotetramat, and Spirotetramat-Enol in/on Grapes (Vitis vinifera L.) and Soil. Environ. Monit. Assess 2015, 187, 632. [Google Scholar] [CrossRef] [PubMed]
- Mohapatra, S.; Deepa, M.; Lekha, S.; Nethravathi, B.; Radhika, B.; Gourishanker, S. Residue Dynamics of Spirotetramat and Imidacloprid in/on Mango and Soil. Bull Enviro. N Contam. Toxicol. 2012, 89, 862–867. [Google Scholar] [CrossRef] [PubMed]
- Wu, W.-z.; Li, J.-y.; He, J.; Chen, Q.-b.; Shan, Z.-j. Degradation Dynamics of Spirotetramat Residue in Citrus. J. Ecol. Rural Environ. 2016, 32, 1003–1007. [Google Scholar] [CrossRef]
- Saber, A.N.; Malhat, F.M.; Badawy, H.M.A.; Barakat, D.A. Dissipation Dynamic, Residue Distribution and Processing Factor of Hexythiazox in Strawberry Fruits under Open Field Condition. Food Chem. 2016, 196, 1108–1116. [Google Scholar] [CrossRef] [PubMed]
- Ravindranath, D.; Sri Rama Murthy, K.; Vijayalakshmi, B.; Reddy, A.; Prasad, D. Persistence of Profenophos and Quinolphos on Cultivated Cucumber and Its Removal. Int. J. Pharmacogn. Phytochem. Res. 2014, 6, 917–920. [Google Scholar]
- Liu, C.; Lu, D.; Wang, Y.; Huang, J.; Wan, K.; Wang, F. Residue and Risk Assessment of Pyridaben in Cabbage. Food Chem. 2014, 149, 233–236. [Google Scholar] [CrossRef]




| Chlorfenapyr | Cyenopyrafen | Indoxacarb | Spirotetramat | ||
|---|---|---|---|---|---|
| With Caps | Determination coefficient (R2) | 0.962 | 0.931 | 0.934 | 0.889 |
| k (day−1) | 0.109 | 0.0617 | 0.0465 | 0.0340 | |
| Half-life (days) | 6.35 | 11.2 | 14.9 | 20.4 | |
| Without Caps | Determination coefficient (R2) | 0.971 | 0.926 | 0.888 | 0.985 |
| k (day−1) | 0.156 | 0.101 | 0.0862 | 0.0606 | |
| Half-life (days) | 4.43 | 6.86 | 8.04 | 11.4 |
| Chlorfenapyr | Cyenopyrafen | Indoxacarb | Spirotetramat | ||||||
|---|---|---|---|---|---|---|---|---|---|
| EDI | RQ | EDI | RQ | EDI | RQ | EDI | RQ | ||
| Male | Median | 0.31 × 10−5 | 0.12 × 10−3 | 0.10 × 10−4 | 0.20 × 10−3 | 0.48 × 10−5 | 0.48 × 10−3 | 0.11 × 10−4 | 0.21 × 10−3 |
| Worst | 0.44 × 10−5 | 0.17 × 10−3 | 0.13 × 10−4 | 0.26 × 10−3 | 0.53 × 10−5 | 0.53 × 10−3 | 0.22 × 10−4 | 0.44 × 10−3 | |
| Female | Median | 0.49 × 10−5 | 0.19 × 10−3 | 0.16 × 10−4 | 0.31 × 10−3 | 0.75 × 10−5 | 0.75 × 10−3 | 0.17 × 10−4 | 0.34 × 10−3 |
| Worst | 0.69 × 10−5 | 0.27 × 10−3 | 0.21 × 10−4 | 0.40 × 10−3 | 0.84 × 10−5 | 0.84 × 10−3 | 0.35 × 10−4 | 0.69 × 10−3 | |
| ADI (mg/kg body weight/day) | 0.026 | 0.051 | 0.010 | 0.050 | |||||
Disclaimer/Publisher’s Note: The statements, opinions and data contained in all publications are solely those of the individual author(s) and contributor(s) and not of MDPI and/or the editor(s). MDPI and/or the editor(s) disclaim responsibility for any injury to people or property resulting from any ideas, methods, instructions or products referred to in the content. |
© 2023 by the authors. Licensee MDPI, Basel, Switzerland. This article is an open access article distributed under the terms and conditions of the Creative Commons Attribution (CC BY) license (https://creativecommons.org/licenses/by/4.0/).
Share and Cite
Wang, W.; Song, J.-W.; Jeong, S.-H.; Jung, J.-H.; Seo, J.-S.; Kim, J.-H. Dissipation of Four Typical Insecticides on Strawberries and Effects of Different Household Washing Methods. Foods 2023, 12, 1248. https://doi.org/10.3390/foods12061248
Wang W, Song J-W, Jeong S-H, Jung J-H, Seo J-S, Kim J-H. Dissipation of Four Typical Insecticides on Strawberries and Effects of Different Household Washing Methods. Foods. 2023; 12(6):1248. https://doi.org/10.3390/foods12061248
Chicago/Turabian StyleWang, Wenting, Jong-Wook Song, Seong-Hoon Jeong, Jung-Hoon Jung, Jong-Su Seo, and Jong-Hwan Kim. 2023. "Dissipation of Four Typical Insecticides on Strawberries and Effects of Different Household Washing Methods" Foods 12, no. 6: 1248. https://doi.org/10.3390/foods12061248
APA StyleWang, W., Song, J.-W., Jeong, S.-H., Jung, J.-H., Seo, J.-S., & Kim, J.-H. (2023). Dissipation of Four Typical Insecticides on Strawberries and Effects of Different Household Washing Methods. Foods, 12(6), 1248. https://doi.org/10.3390/foods12061248

