Influence of Air-Drying Conditions on Quality, Bioactive Composition and Sensorial Attributes of Sweet Potato Chips
Abstract
1. Introduction
2. Materials and Methods
2.1. Plant Material and Drying Processes
2.2. Physicochemical Analysis
2.3. Phytochemical Analysis
2.4. Sensory Evaluation
2.5. Statistical Analysis
3. Results and Discussion
3.1. Effects of Drying Conditions on the Quality of Dried Sweet Potato
3.1.1. Drying Process and Moisture Content
3.1.2. Shrinkage and SP Shape
3.1.3. CIELab Color
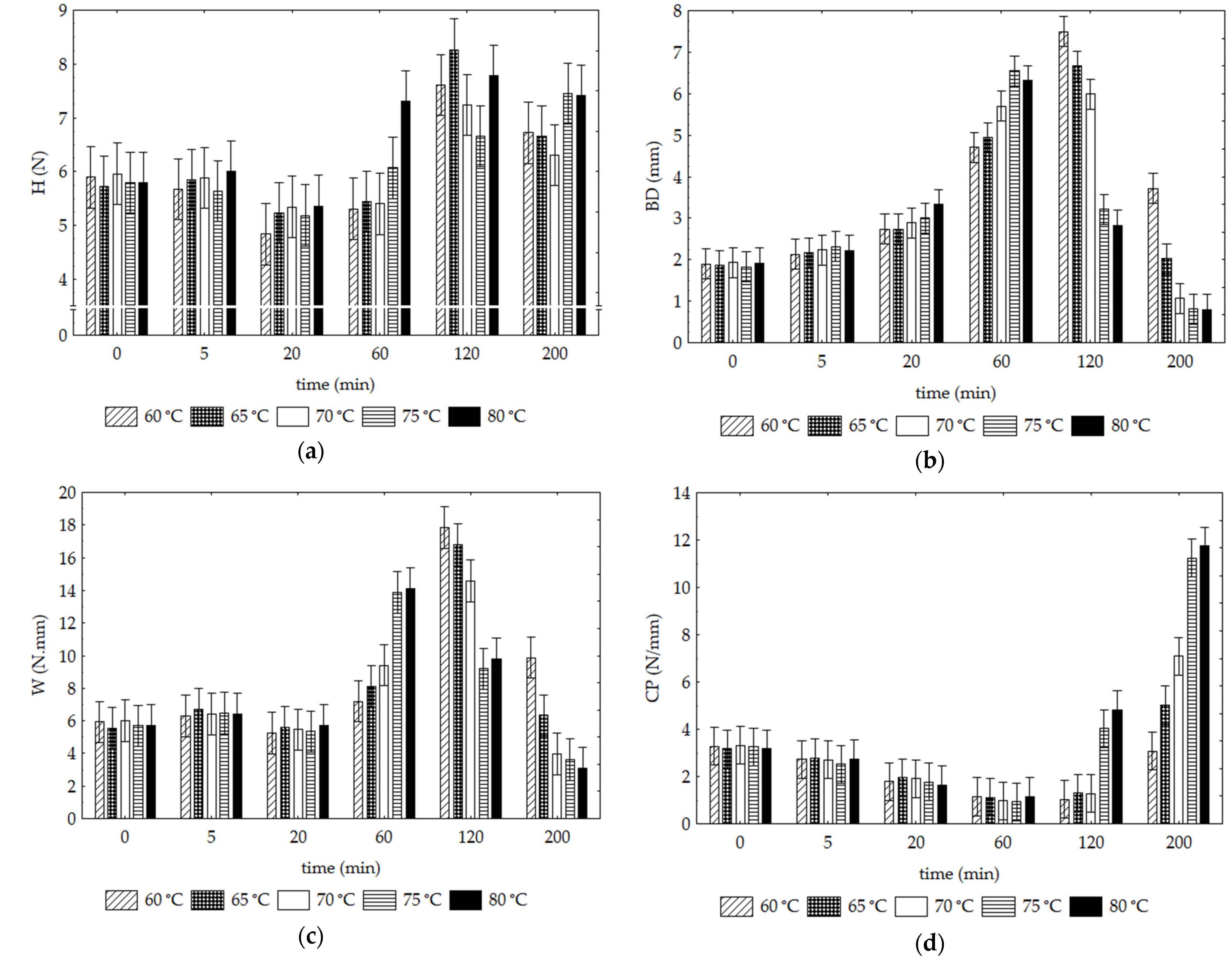
3.1.4. Texture Properties
3.1.5. Total Phenolic (TPC) and Total Carotenoid (TCC) Contents
3.2. Effects of Drying Temperature on the Quality of Sweet Potato Dried at 200 min
3.2.1. Sensory Evaluation
3.2.2. PCA Modelling
4. Conclusions
Author Contributions
Funding
Data Availability Statement
Acknowledgments
Conflicts of Interest
References
- Truong, V.D.; Avula, R.Y.; Pecota, K.V.; Yencho, G.C. Sweetpotato production, processing, and nutritional quality. In Handbook of Vegetables and Vegetable Processing; John Wiley & Sons, Ltd.: Chiscester, UK, 2018; pp. 811–838. ISBN 9781119098935. [Google Scholar]
- FAOSTAT. Available online: http://www.fao.org/faostat/en/#data/QCL (accessed on 24 August 2022).
- Wang, S.; Nie, S.; Zhu, F. Chemical constituents and health effects of sweet potato. Food Res. Int. 2016, 89, 90–116. [Google Scholar] [CrossRef]
- Vidal, A.R.; Zaucedo-zuñiga, A.L.; Ramos-garcía, M.D.L. Propiedades nutrimentales del camote (Ipomoea batatas L.) y sus beneficios en la salud humana. Rev. Iberoam. Tecnol. Postcosecha 2018, 19, 1–13. [Google Scholar]
- Huang, L.L.; Zhang, M. Trends in Development of Dried Vegetable Products as Snacks. Dry. Technol. 2012, 30, 448–461. [Google Scholar] [CrossRef]
- Rashid, M.T.; Liu, K.; Jatoi, M.A.; Safdar, B.; Lv, D.; Li, Q. Energy efficient drying technologies for sweet potatoes: Operating and drying mechanism, quality-related attributes. Front. Nutr. 2022, 9, 1–24. [Google Scholar] [CrossRef]
- Mujumdar, A.S. Handbook of Industrial Drying; Mujumdar, A.S., Ed.; CRC Press: Boca Raton, FL, USA, 2014; ISBN 9780429169762. [Google Scholar]
- Hatamipour, M.S.; Kazemi, H.H.; Nooralivand, A.; Nozarpoor, A. Drying characteristics of six varieties of sweet potatoes in different dryers. Food Bioprod. Process. 2007, 85, 171–177. [Google Scholar] [CrossRef]
- An, K.; Zhao, D.; Wang, Z.; Wu, J.; Xu, Y.; Xiao, G. Comparison of different drying methods on Chinese ginger (Zingiber officinale Roscoe): Changes in volatiles, chemical profile, antioxidant properties, and microstructure. Food Chem. 2016, 197, 1292–1300. [Google Scholar] [CrossRef]
- Zhang, F.; Zhang, M.; Mujumdar, A.S. Drying characteristics and quality of restructured wild cabbage chips processed using different drying methods. Dry. Technol. 2011, 29, 682–688. [Google Scholar] [CrossRef]
- Huang, L.L.; Zhang, M.; Mujumdar, A.S.; Lim, R.X. Comparison of four drying methods for re-structured mixed potato with apple chips. J. Food Eng. 2011, 103, 279–284. [Google Scholar] [CrossRef]
- Duan, X.; Zhang, M.; Mujumdar, A.S. Study on a combination drying technique of sea cucumber. Dry. Technol. 2007, 25, 2011–2019. [Google Scholar] [CrossRef]
- Singh, S.; Raina, C.S.; Bawa, A.S.; Saxena, D.C. Effect of pretreatments on drying and rehydration kinetics and color of sweet potato slices. Dry. Technol. 2006, 24, 1487–1494. [Google Scholar] [CrossRef]
- Onwude, D.I.; Hashim, N.; Abdan, K.; Janius, R.; Chen, G. Combination of computer vision and backscattering imaging for predicting the moisture content and colour changes of sweet potato (Ipomoea batatas L.) during drying. Comput. Electron. Agric. 2018, 150, 178–187. [Google Scholar] [CrossRef]
- Caetano, P.K.; Mariano-Nasser, F.A.d.C.; de Mendonça, V.Z.; Furlaneto, K.A.; Daiuto, E.R.; Vieites, R.L. Physicochemical and sensory characteristics of sweet potato chips undergoing different cooking methods. Food Sci. Technol. 2018, 38, 434–440. [Google Scholar] [CrossRef]
- Timalsina, P.; Prajapati, R.; Bhaktaraj, S.; Shrestha, R.; Shrestha, S.; Mitra, P. Sweet potato chips development and optimization of chips processing variables. Open Agric. 2019, 4, 118–128. [Google Scholar] [CrossRef]
- NP 875; Food for Animals: Determination of Moisture Content. Instituto Português da Qualidade: Lisbon, Portugal, 1994.
- NP 1421; Foodstuffs Derived from Fruits and Vegetables: Determination of Acidity. Instituto Português da Qualidade: Lisbon, Portuga, 1977.
- Aprajeeta, J.; Gopirajah, R.; Anandharamakrishnan, C. Shrinkage and porosity effects on heat and mass transfer during potato drying. J. Food Eng. 2015, 144, 119–128. [Google Scholar] [CrossRef]
- Dias, J.M.; Almeida, M.; Adikevicius, D.; Andzevicius, P.; Alvarenga, N.B. Impact of olive oil usage on physical properties of chocolate fillings. Grasas y Aceites 2016, 67, e145. [Google Scholar] [CrossRef]
- Cejudo-Bastante, M.J.; Rodríguez-Pulido, F.J.; Heredia, F.J.; González-Miret, M.L. Assessment of sensory and texture profiles of grape seeds at real maturity stages using image analysis. Foods 2021, 10, 1098. [Google Scholar] [CrossRef]
- Swain, T.; Hillis, W.E. The phenolic constituents of Prunus Domestica. J. Sci. Food Agri. 1959, 10, 63–68. [Google Scholar] [CrossRef]
- Talcott, S.T.; Howard, L.R. Phenolic autoxidation is responsible for color degradation in processed carrot puree. J. Agric. Food Chem. 1999, 47, 2109–2115. [Google Scholar] [CrossRef]
- Dutcosky, S.D. Análise Sensorial de Alimentos; Champagnat: Curitiba, Brazil, 2013. [Google Scholar]
- Alves, V.; Da Luz, F.R.; Schwarz, K.; Demario Vieira, R.L.; Datsch Bennemann, G.; de Resende, J.T.V. Aceitabilidade sensorial e características físico-químicas de morangos desidratados com diferentes tratamentos. DEMETRA Aliment. Nutr. Saúde 2018, 13, 745–763. [Google Scholar] [CrossRef]
- STATISTICA (Data Analysis Software System), Version 8.0; StatSoft, Inc.: Tulsa, OK, USA, 2007.
- Jackson, J.E. A User’s Guide to Principal Components; John Wiley & Sons, Ltd.: New York, NY, USA, 1991. [Google Scholar]
- Larrigaudière, C.; Lentheric, I.; Puy, J.; Pintó, E. Biochemical characterisation of core browning and brown heart disorders in pear by multivariate analysis. Postharvest Biol. Technol. 2004, 31, 29–39. [Google Scholar] [CrossRef]
- Gupta, M.K.; Sehgal, V.K.; Arora, S. Optimization of drying process parameters for cauliflower drying. J. Food Sci. Technol. 2013, 50, 62–69. [Google Scholar] [CrossRef] [PubMed]
- Nguyen, T.K.; Mondor, M.; Ratti, C. Shrinkage of cellular food during air drying. J. Food Eng. 2018, 230, 8–17. [Google Scholar] [CrossRef]
- Segura, L.A.; Badillo, G.M.; Alves-Filho, O. Microstructural Changes of Apples (Granny Smith) During Drying: Visual Microstructural Changes and Possible Explanation from Capillary Pressure Data. Dry. Technol. 2014, 32, 1692–1698. [Google Scholar] [CrossRef]
- Savas, E. The Modelling of Convective Drying Variables’ Effects on the Functional Properties of Sliced Sweet Potatoes. Foods 2022, 11, 741. [Google Scholar] [CrossRef] [PubMed]
- Curcio, S.; Aversa, M. Influence of shrinkage on convective drying of fresh vegetables: A theoretical model. J. Food Eng. 2014, 123, 36–49. [Google Scholar] [CrossRef]
- Yadollahinia, A.; Jahangiri, M. Shrinkage of potato slice during drying. J. Food Eng. 2009, 94, 52–58. [Google Scholar] [CrossRef]
- Mahiuddin, M.; Khan, M.I.H.; Kumar, C.; Rahman, M.M.; Karim, M.A. Shrinkage of Food Materials during Drying: Current Status and Challenges. Compr. Rev. Food Sci. Food Saf. 2018, 17, 1113–1126. [Google Scholar] [CrossRef]
- Grabowski, J.A.; Truong, V.D.; Daubert, C.R. Nutritional and rheological characterization of spray dried sweetpotato powder. LWT 2008, 41, 206–216. [Google Scholar] [CrossRef]
- Zielinski, H.; Michalska, A.; Amigo-Benavent, M.; Castillo, M.D.; Del Piskula, M.K. Changes in protein quality and antioxidant properties of buckwheat seeds and groats induced by roasting. J. Agric. Food Chem. 2009, 57, 4771–4776. [Google Scholar] [CrossRef]
- Bechoff, A.; Westby, A.; Owori, C.; Menya, G.; Dhuique-Mayer, C.; Dufour, D.; Tomlins, K. Effect of drying and storage on the degradation of total carotenoids in orange-fleshed sweetpotato cultivars. J. Sci. Food Agric. 2010, 90, 622–629. [Google Scholar] [CrossRef]
- Gonçalves, E.M.; Pinheiro, J.; Abreu, M.; Brandão, T.R.S.; Silva, C.L.M. Modelling the kinetics of peroxidase inactivation, colour and texture changes of pumpkin (Cucurbita maxima L.) during blanching. J. Food Eng. 2007, 81, 693–701. [Google Scholar] [CrossRef]
- Neela, S.; Fanta, S.W. Review on nutritional composition of orange-fleshed sweet potato and its role in management of vitamin A deficiency. Food Sci. Nutr. 2019, 7, 1920–1945. [Google Scholar] [CrossRef] [PubMed]
- Cueto, M.; Farroni, A.; Schoenlechner, R.; Schleining, G.; Buera, P. Carotenoid and color changes in traditionally flaked and extruded products. Food Chem. 2017, 229, 640–645. [Google Scholar] [CrossRef] [PubMed]
- Varela, P.; Salvador, A.; Fiszman, S. On the assessment of fracture in brittle foods: The case of roasted almonds. Food Res. Int. 2008, 41, 544–551. [Google Scholar] [CrossRef]
- Kim, E.H.J.; Corrigan, V.K.; Wilson, A.J.; Waters, I.R.; Hedderley, D.I.; Morgenstern, M.P. Fundamental fracture properties associated with sensory hardness of brittle solid foods. J. Texture Stud. 2012, 43, 49–62. [Google Scholar] [CrossRef]
- Tayyab Rashid, M.; Liu, K.; Ahmed Jatoi, M.; Safdar, B.; Lv, D.; Wei, D. Developing ultrasound-assisted hot-air and infrared drying technology for sweet potatoes. Ultrason. Sonochem. 2022, 86, 106047. [Google Scholar] [CrossRef]
- Rumbaoa, R.G.O.; Cornago, D.F.; Geronimo, I.M. Phenolic content and antioxidant capacity of Philippine sweet potato (Ipomoea batatas) varieties. Food Chem. 2009, 113, 1133–1138. [Google Scholar] [CrossRef]
- Tan, S.; Ke, Z.; Chai, D.; Miao, Y.; Luo, K.; Li, W. Lycopene, polyphenols and antioxidant activities of three characteristic tomato cultivars subjected to two drying methods. Food Chem. 2021, 338, 128062. [Google Scholar] [CrossRef]
- Araújo, A.C.; Oliveira, S.M.; Ramos, I.N.; Brandão, T.R.S.; Monteiro, M.J.; Silva, C.L.M. Evaluation of drying and storage conditions on nutritional and sensory properties of dried galega kale (Brassica oleracea L. var. Acephala). J. Food Qual. 2017, 2017, 9393482. [Google Scholar] [CrossRef]
- Xu, Y.; Xiao, Y.; Lagnika, C.; Song, J.; Li, D.; Liu, C.; Jiang, N.; Zhang, M.; Duan, X. A comparative study of drying methods on physical characteristics, nutritional properties and antioxidant capacity of broccoli. Dry. Technol. 2020, 38, 1378–1388. [Google Scholar] [CrossRef]
- Al-Rawahi, A.S.; Rahman, M.S.; Guizani, N.; Essa, M.M. Chemical Composition, Water Sorption Isotherm, and Phenolic Contents in Fresh and Dried Pomegranate Peels. Dry. Technol. 2013, 31, 257–263. [Google Scholar] [CrossRef]
- Galaz, P.; Valdenegro, M.; Ramírez, C.; Nuñez, H.; Almonacid, S.; Simpson, R. Effect of Drum Drying Temperature on Drying Kinetic and Polyphenol Contents in Pomegranate Peel. J. Food Eng. 2017, 208, 19–27. [Google Scholar] [CrossRef]
- Larrauri, J.A.; Rupérez, P.; Saura-Calixto, F. Effect of Drying Temperature on the Stability of Polyphenols and Antioxidant Activity of Red Grape Pomace Peels. J. Agric. Food Chem. 1997, 45, 1390–1393. [Google Scholar] [CrossRef]
- Patrón-Vázquez, J.; Baas-Dzul, L.; Medina-Torres, N.; Ayora-Talavera, T.; Sánchez-Contreras, Á.; García-Cruz, U.; Pacheco, N. The effect of drying temperature on the phenolic content and functional behavior of flours obtained from lemon wastes. Agronomy 2019, 9, 474. [Google Scholar] [CrossRef]
- Rizzo, V.; Clifford, M.N.; Brown, J.E.; Siracusa, L.; Muratore, G. Effects of processing on the polyphenol and phenolic acid content and antioxidant capacity of semi-dried cherry tomatoes (Lycopersicon esculentum M.). J. Sci. Food Agric. 2016, 96, 2040–2046. [Google Scholar] [CrossRef]
- Belwal, T.; Cravotto, C.; Prieto, M.A.; Venskutonis, P.R.; Daglia, M.; Devkota, H.P.; Baldi, A.; Ezzat, S.M.; Gómez-Gómez, L.; Salama, M.M.; et al. Effects of different drying techniques on the quality and bioactive compounds of plant-based products: A critical review on current trends. Dry. Technol. 2022, 40, 1539–1561. [Google Scholar] [CrossRef]
- Yang, J.; Chen, J.F.; Zhao, Y.Y.; Mao, L.C. Effects of drying processes on the antioxidant properties in sweet potatoes. Agric. Sci. China 2010, 9, 1522–1529. [Google Scholar] [CrossRef]
- Martín-Cabrejas, M.A.; Aguilera, Y.; Pedrosa, M.M.; Cuadrado, C.; Hernández, T.; Díaz, S.; Esteban, R.M. The impact of dehydration process on antinutrients and protein digestibility of some legume flours. Food Chem. 2009, 114, 1063–1068. [Google Scholar] [CrossRef]
- Qu, W.; Pan, Z.; Ma, H. Extraction modeling and activities of antioxidants from pomegranate marc. J. Food Eng. 2010, 99, 16–23. [Google Scholar] [CrossRef]
- Dhanalakshmi, R.; Naveen Kumar, R. Effect of reducing sugars on the determination of total phenolic content of six fruit juices. J. Food Prop. 2015, 18, 1805–1813. [Google Scholar] [CrossRef]
- Vimala, B.; Nambisan, B.; Hariprakash, B. Retention of carotenoids in orange-fleshed sweet potato during processing. J. Food Sci. Technol. 2011, 48, 520–524. [Google Scholar] [CrossRef] [PubMed]
- Rodríguez, K.; Ah-Hen, K.S.; Vega-Gálvez, A.; Vásquez, V.; Quispe-Fuentes, I.; Rojas, P.; Lemus-Mondaca, R. Changes in bioactive components and antioxidant capacity of maqui, Aristotelia chilensis [Mol] Stuntz, berries during drying. LWT 2016, 65, 537–542. [Google Scholar] [CrossRef]
- Ihns, R.; Diamante, L.M.; Savage, G.P.; Vanhanen, L. Effect of temperature on the drying characteristics, colour, antioxidant and beta-carotene contents of two apricot varieties. Int. J. Food Sci. Technol. 2011, 46, 275–283. [Google Scholar] [CrossRef]
- Zhang, Z.; Wei, Q.; Nie, M.; Jiang, N.; Liu, C.; Liu, C.; Li, D.; Xu, L. Microstructure and bioaccessibility of different carotenoid species as affected by hot air drying: Study on carrot, sweet potato, yellow bell pepper and broccoli. LWT 2018, 96, 357–363. [Google Scholar] [CrossRef]








| Quality Attribute | Mean ± SD * |
|---|---|
| pH | 6.03 ± 0.5 |
| aw | 0.96 ± 0.01 |
| Soluble solids content (°Brix) | 7.1 ± 0.4 |
| Moisture content (MC; %) | 81.8 ± 0.6 |
| Titratable acidity (g citric acid/100 g) | 0.02 ± 0.01 |
| CIELab Color | |
| L* | 73.0 ± 3.8 |
| a* | 21.6 ± 8.7 |
| b* | 44.1 ± 5.7 |
| Texture | |
| Hardness (N) | 6.1 ± 1.4 |
| Breaking distance (mm) | 1.9 ± 0.7 |
| Crispness (N/mm) | 3.3 ± 0.8 |
| Work of fracture (N.mm) | 5.6 ± 1.6 |
| Total phenolic content | |
| (mg gallic acid eq./100 g dw) | 189.01 ± 9.8 |
| Total carotenoid content | |
| (mg β-carotene eq./100 g dw) | 41.6 ± 3.2 |
Disclaimer/Publisher’s Note: The statements, opinions and data contained in all publications are solely those of the individual author(s) and contributor(s) and not of MDPI and/or the editor(s). MDPI and/or the editor(s) disclaim responsibility for any injury to people or property resulting from any ideas, methods, instructions or products referred to in the content. |
© 2023 by the authors. Licensee MDPI, Basel, Switzerland. This article is an open access article distributed under the terms and conditions of the Creative Commons Attribution (CC BY) license (https://creativecommons.org/licenses/by/4.0/).
Share and Cite
Gonçalves, E.M.; Pereira, N.; Silva, M.; Alvarenga, N.; Ramos, A.C.; Alegria, C.; Abreu, M. Influence of Air-Drying Conditions on Quality, Bioactive Composition and Sensorial Attributes of Sweet Potato Chips. Foods 2023, 12, 1198. https://doi.org/10.3390/foods12061198
Gonçalves EM, Pereira N, Silva M, Alvarenga N, Ramos AC, Alegria C, Abreu M. Influence of Air-Drying Conditions on Quality, Bioactive Composition and Sensorial Attributes of Sweet Potato Chips. Foods. 2023; 12(6):1198. https://doi.org/10.3390/foods12061198
Chicago/Turabian StyleGonçalves, Elsa M., Nelson Pereira, Mafalda Silva, Nuno Alvarenga, Ana Cristina Ramos, Carla Alegria, and Marta Abreu. 2023. "Influence of Air-Drying Conditions on Quality, Bioactive Composition and Sensorial Attributes of Sweet Potato Chips" Foods 12, no. 6: 1198. https://doi.org/10.3390/foods12061198
APA StyleGonçalves, E. M., Pereira, N., Silva, M., Alvarenga, N., Ramos, A. C., Alegria, C., & Abreu, M. (2023). Influence of Air-Drying Conditions on Quality, Bioactive Composition and Sensorial Attributes of Sweet Potato Chips. Foods, 12(6), 1198. https://doi.org/10.3390/foods12061198

