Capsicum Waste as a Sustainable Source of Capsaicinoids for Metabolic Diseases
Abstract
1. Introduction
2. Capsicum spp. as Source of Capsaicinoids
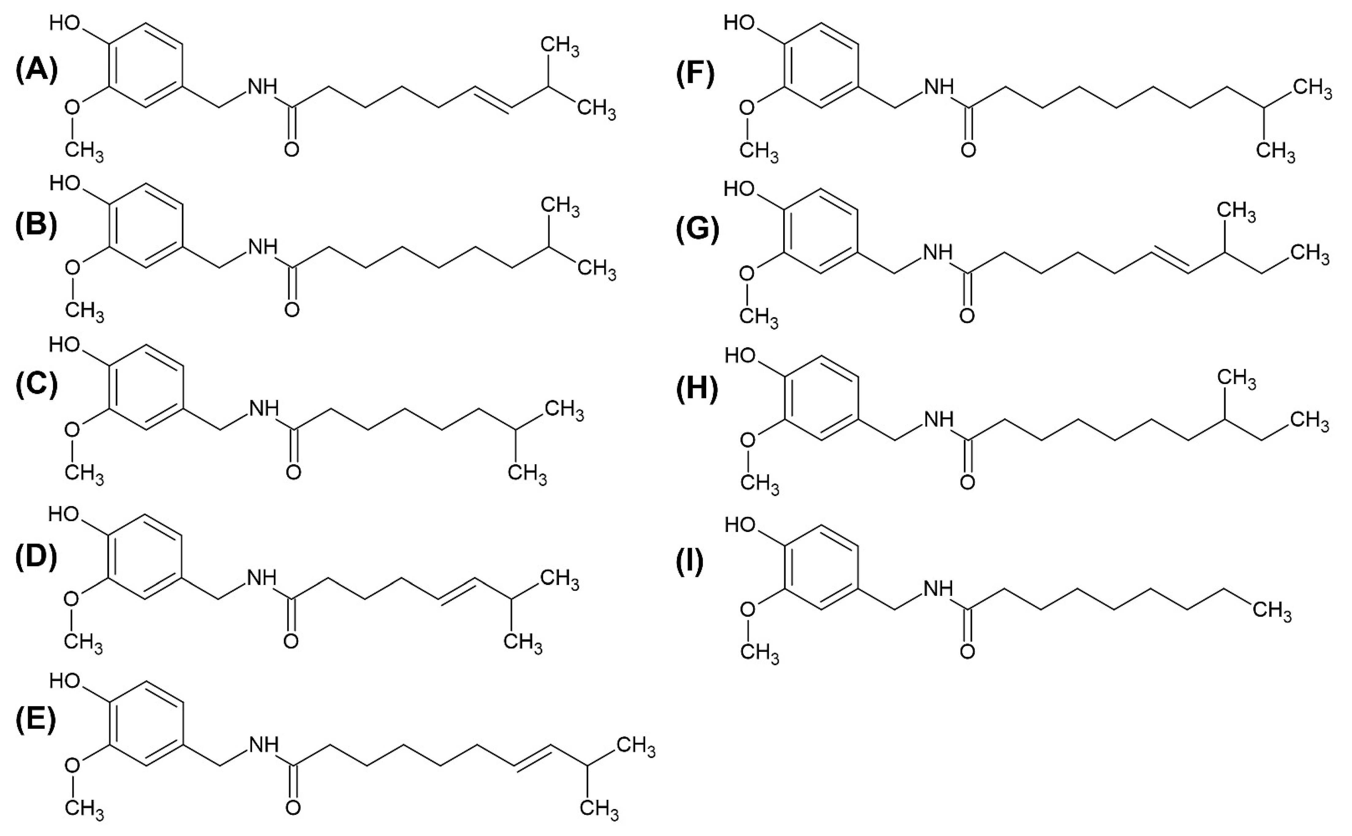
3. Capsaicinoids
3.1. Pungency
3.2. Health Benefits from Capsaicinoids
3.3. Capsaicinoids from Capsicum and Chilli Waste
4. Extraction of Capsaicinoids
4.1. Conventional Extraction Techniques
4.1.1. Conventional Solvent Extraction
4.1.2. Soxhlet Extraction
4.2. Advanced Extraction Techniques
4.2.1. Ultrasound-Assisted Extraction
4.2.2. Microwave-Assisted Extraction
4.2.3. Pressurised Liquid Extraction
5. Potential Applications of Capsaicinoids
5.1. Dosage
5.2. Bioavailability and Plasma Half-Life
5.3. Delivery System
5.4. Interactions
6. Conclusions and Future Perspectives
Author Contributions
Funding
Institutional Review Board Statement
Informed Consent Statement
Data Availability Statement
Conflicts of Interest
References
- Ishangulyyev, R.; Kim, S.; Lee, S.H. Understanding food loss and waste—Why are we losing and wasting food? Foods 2019, 8, 297. [Google Scholar] [CrossRef] [PubMed]
- Benyam, A.; Kinnear, S.; Rolfe, J. Integrating community perspectives into domestic food waste prevention and diversion policies. Resour. Conserv. Recycl. 2018, 134, 174–183. [Google Scholar] [CrossRef]
- Hajkowicz, S. Global Megatrends: Seven Patterns of Change Shaping Our Future; CSIRO Publishing: Clayton, Australia, 2015; Available online: https://books.google.com.au/books?id=IjOtCAAAQBAJ (accessed on 27 December 2022).
- Dahiya, S.; Naresh Kumar, A.; Shanthi Sravan, J.; Chatterjee, S.; Sarkar, O.; Mohan, S.V. Food waste biorefinery: Sustainable strategy for circular bioeconomy. Bioresour. Technol. 2018, 248, 2–12. [Google Scholar] [CrossRef]
- Gustavsson, J.; Cederberg, C.; Sonesson, U.; Van Otterdijk, R.; Meybeck, A. Global Food Losses and Food Waste—Extent, Causes and Prevention; Food and Agriculture Organization of the United Nations: Rome, Italy, 2021; Available online: https://www.fao.org/3/i2697e/i2697e.pdf (accessed on 9 December 2022).
- Ortiz-Gonzalo, D.; Ørtenblad, S.B.; Larsen, M.N.; Suebpongsang, P.; Bruun, T.B. Food loss and waste and the modernization of vegetable value chains in Thailand. Resour. Conserv. Recycl. 2021, 174, 105714. [Google Scholar] [CrossRef]
- Samtiya, M.; Aluko, R.E.; Dhewa, T.; Moreno-Rojas, J.M. Potential health benefits of plant food-derived bioactive components: An overview. Foods 2021, 10, 839. [Google Scholar] [CrossRef]
- Sagar, N.A.; Pareek, S.; Sharma, S.; Yahia, E.M.; Lobo, M.G. Fruit and vegetable waste: Bioactive compounds, their extraction, and possible utilization. Compr. Rev. Food Sci. Food Saf. 2018, 17, 512–531. [Google Scholar] [CrossRef]
- Anaya-Esparza, L.M.; la Mora, Z.V.-D.; Vázquez-Paulino, O.; Ascencio, F.; Villarruel-López, A. Bell peppers (Capsicum annum L.) losses and wastes: Source for food and pharmaceutical applications. Molecules 2021, 26, 5341. [Google Scholar] [CrossRef]
- AUSVEG. Vegetable Waste Factsheet for VG12046; AUSVEG: Glen Iris, VIC, Australia, 2013; Available online: https://ausveg.com.au/app/data/technical-insights/docs/VG12046FS8.pdf (accessed on 9 December 2022).
- Edwiges, T.; Frare, L.; Mayer, B.; Lins, L.; Mi Triolo, J.; Flotats, X.; De Mendonça Costa, M.S.S. Influence of chemical composition on biochemical methane potential of fruit and vegetable waste. Waste Manag. 2018, 71, 618–625. [Google Scholar] [CrossRef]
- Chatterjee, B.; Mazumder, D. New approach of characterizing fruit and vegetable waste (FVW) to ascertain its biological stabilization via two-stage anaerobic digestion (AD). Biomass Bioenergy 2020, 139, 105594. [Google Scholar] [CrossRef]
- Commonwealth of Australia. National Food Waste Strategy: Halving Australia’s Food Waste by 2030; Commonwealth of Australia: Washington, DC, USA, 2017. Available online: https://www.agriculture.gov.au/sites/default/files/documents/national-food-waste-strategy.pdf (accessed on 10 December 2022).
- Rezaei, M.; Liu, B. Food Loss and Waste in the Food Supply Chain; Food and Agriculture Organization of the United Nations: Rome, Italy, 2017; Available online: https://www.fao.org/3/bt300e/bt300e.pdf (accessed on 9 December 2022).
- Food and Agriculture Organization of the United Nations. Food Wastage Footprint Impacts on Natural Resources; Food and Agriculture Organization of the United Nations: Rome, Italy, 2013; Available online: https://www.fao.org/3/i3347e/i3347e.pdf (accessed on 9 December 2022).
- FAO; IFAD; UNICEF; WFP; WHO. The State of Food Security and Nutrition in the World 2021: Transforming Food Systems for Food Security, Improved Nutrition and Affordable Healthy Diets for All; UNICEF: Rome, Italy, 2021. [Google Scholar] [CrossRef]
- Du, M.; Liu, X.; Wang, D.; Yang, Q.; Duan, A.; Chen, H.; Liu, Y.; Wang, Q.; Ni, B.-J. Understanding the fate and impact of capsaicin in anaerobic co-digestion of food waste and waste activated sludge. Water Res. 2021, 188, 116539. [Google Scholar] [CrossRef]
- Baiano, A. Recovery of biomolecules from food wastes—A review. Molecules 2014, 19, 14821–14842. [Google Scholar] [CrossRef]
- Yang, Y.-Y.; Ma, S.; Wang, X.-X.; Zheng, X.-L. Modification and application of dietary fiber in foods. J. Chem. 2017, 2017, 9340427. [Google Scholar] [CrossRef]
- Tsouko, E.; Alexandri, M.; Fernandes, K.V.; Freire, D.M.G.; Mallouchos, A.; Koutinas, A.A. Extraction of phenolic compounds from palm oil processing residues and their application as antioxidants. Food Technol. Biotechnol. 2019, 57, 29–38. [Google Scholar] [CrossRef]
- Tiwari, B.K.; Brunton, N.P.; Brennan, C.S. Handbook of Plant Food Phytochemicals: Sources, Stability and Extraction; John Wiley & Sons, Ltd.: Hoboken, NJ, USA, 2013; p. 526. [Google Scholar] [CrossRef]
- Rudra, S.G.; Nishad, J.; Jakhar, N.; Kaur, C. Food industry waste: Mine of nutraceuticals. Int. J. Sci. Environ. Technol. 2015, 4, 205–229. [Google Scholar] [CrossRef]
- Nyanjage, M.O.; Nyalala, S.P.O.; Illa, A.O.; Mugo, B.W.; Limbe, A.E.; Vulimu, E.M. Extending post-harvest life of sweet pepper (Capsicum annum L. ‘California Wonder’) with modified atmosphere packaging and storage temperature. Agric. Trop. Subtrop. 2005, 38, 28–32. [Google Scholar]
- Food and Agriculture Organisation of United Nations. Tracking Progress on Food and Agriculture-Related SDG Indicators 2020; Food and Agriculture Organization of the United Nation: Rome, Italy, 2021; Available online: https://www.fao.org/sustainable-development-goals/indicators/en/ (accessed on 27 December 2022).
- Shafiee, S.A.; Danial, W.H.; Perry, S.C.; Ali, Z.I.; Huri, M.A.M.; Sabere, A.S.M. Qualitative and quantitative methods of capsaicinoids: A mini-review. Food Anal. Methods 2022, 15, 2424–2435. [Google Scholar] [CrossRef]
- Khan, A.L.; Shin, J.-H.; Jung, H.-Y.; Lee, I.-J. Regulations of capsaicin synthesis in Capsicum annuum L. by Penicillium resedanum LK6 during drought conditions. Sci. Hortic. 2014, 175, 167–173. [Google Scholar] [CrossRef]
- Tewksbury, J.J.; Reagan, K.M.; Machnicki, N.J.; Carlo, T.A.; Haak, D.C.; Peñaloza, A.L.C.; Levey, D.J. Evolutionary ecology of pungency in wild chilies. Proc. Natl. Acad. Sci. USA 2008, 105, 11808–11811. [Google Scholar] [CrossRef]
- Arce-Rodríguez, M.L.; Ochoa-Alejo, N. An R2R3-MYB transcription factor regulates capsaicinoid biosynthesis. Plant Physiol. 2017, 174, 1359–1370. [Google Scholar] [CrossRef]
- Tanaka, Y.; Nakashima, F.; Kirii, E.; Goto, T.; Yoshida, Y.; Yasuba, K.-I. Difference in capsaicinoid biosynthesis gene expression in the pericarp reveals elevation of capsaicinoid contents in chili peppers (Capsicum chinense). Plant Cell Rep. 2017, 36, 267–279. [Google Scholar] [CrossRef]
- Tridge. Fresh Bell Pepper. 2022. Available online: https://www.tridge.com/intelligences/bell-pepper/production (accessed on 14 December 2022).
- Food and Agriculture Organization of the United Nation. World Food and Agriculture Statistical Yearbook; Food and Agriculture Organization of the United Nation: Rome, Italy, 2013; Available online: https://www.fao.org/3/i3107e/i3107e.pdf (accessed on 10 December 2022).
- Food and Agriculture Organization of the United Nation. Global Initiative on Food Loss and Waste Reduction; Food and Agriculture Organization of the United Nation: Rome, Italy, 2016; Available online: https://www.fao.org/3/i4068e/i4068e.pdf (accessed on 10 December 2022).
- Scoma, A.; Rebecchi, S.; Bertin, L.; Fava, F. High impact biowastes from South European agro-industries as feedstock for second-generation biorefineries. Crit. Rev. Biotechnol. 2016, 36, 175–189. [Google Scholar] [CrossRef] [PubMed]
- Food and Agriculture Organization of United Nations. Crops and Livestock Products; Food and Agriculture Organization of the United Nation: Rome, Italy, 2022; Available online: http://www.fao.org/faostat/en/#data/QCL/visualize (accessed on 10 December 2022).
- Jarret, R.L.; Barboza, G.E.; da Costa Batista, F.R.; Berke, T.; Chou, Y.-Y.; Hulse-Kemp, A.; Ochoa-Alejo, N.; Tripodi, P.; Veres, A.; Garcia, C.C.; et al. Capsicum—An abbreviated compendium. J. Am. Soc. Hortic. Sci. 2019, 144, 3–22. [Google Scholar] [CrossRef]
- Batiha, G.E.; Alqahtani, A.; Ojo, O.A.; Shaheen, H.M.; Wasef, L.; Elzeiny, M.; Ismail, M.; Shalaby, M.; Murata, T.; Zaragoza-Bastida, A.; et al. Biological properties, bioactive constituents, and pharmacokinetics of some Capsicum spp. and capsaicinoids. Int. J. Mol. Sci. 2020, 21, 5179. [Google Scholar] [CrossRef] [PubMed]
- Guillen, N.G.; Tito, R.; Mendoza, N.G. Capsaicinoids and pungency in Capsicum chinense and Capsicum baccatum fruits. Pesqui. Agropecuária Trop. 2018, 48, 237–244. [Google Scholar] [CrossRef]
- Appendino, G. Chapter 4: Capsaicin and capsaicinoids. In Modern Alkaloids: Structure, Isolation, Synthesis, and Biology; Fattorusso, E., Taglialatela-Scafati, O., Eds.; Wiley-VCH Verlag GmbH & Co. KGaA: Weinheim, Germany, 2007; pp. 73–109. [Google Scholar] [CrossRef]
- Estrada, B.; Bernal, M.A.; Díaz, J.; Pomar, F.; Merino, F. Capsaicinoids in vegetative organs of Capsicum annuum L. in relation to fruiting. J. Agric. Food Chem. 2002, 50, 1188–1191. [Google Scholar] [CrossRef]
- Giuffrida, D.; Dugo, P.; Torre, G.; Bignardi, C.; Cavazza, A.; Corradini, C.; Dugo, G. Characterization of 12 Capsicum varieties by evaluation of their carotenoid profile and pungency determination. Food Chem. 2013, 140, 794–802. [Google Scholar] [CrossRef]
- Ananthan, R.; Subhash, K.; Longvah, T. Capsaicinoids, amino acid and fatty acid profiles in different fruit components of the world hottest Naga king chilli (Capsicum chinense Jacq). Food Chem. 2018, 238, 51–57. [Google Scholar] [CrossRef]
- Dias, A.L.B.; Sergio, C.S.A.; Santos, P.; Barbero, G.F.; Rezende, C.A.; Martínez, J. Ultrasound-assisted extraction of bioactive compounds from dedo de moça pepper (Capsicum baccatum L.): Effects on the vegetable matrix and mathematical modeling. J. Food Eng. 2017, 198, 36–44. [Google Scholar] [CrossRef]
- Panchal, S.K.; Bliss, E.; Brown, L. Capsaicin in metabolic syndrome. Nutrients 2018, 10, 630. [Google Scholar] [CrossRef]
- Adetunji, T.L.; Olawale, F.; Olisah, C.; Adetunji, A.E.; Aremu, A.O. Capsaicin: A two-decade systematic review of global research output and recent advances against human cancer. Front. Oncol. 2022, 12, 908487. [Google Scholar] [CrossRef]
- Jang, H.-H.; Lee, J.; Lee, S.-H.; Lee, Y.-M. Effects of Capsicum annuum supplementation on the components of metabolic syndrome: A systematic review and meta-analysis. Sci. Rep. 2020, 10, 20912. [Google Scholar] [CrossRef]
- Wang, F.; Xue, Y.; Fu, L.; Wang, Y.; He, M.; Zhao, L.; Liao, X. Extraction, purification, bioactivity and pharmacological effects of capsaicin: A review. Crit. Rev. Food Sci. Nutr. 2022, 62, 5322–5348. [Google Scholar] [CrossRef]
- Xiang, Q.; Guo, W.; Tang, X.; Cui, S.; Zhang, F.; Liu, X.; Zhao, J.; Zhang, H.; Mao, B.; Chen, W. Capsaicin—The spicy ingredient of chili peppers: A review of the gastrointestinal effects and mechanisms. Trends Food Sci. Technol. 2021, 116, 755–765. [Google Scholar] [CrossRef]
- McCarty, M.F.; DiNicolantonio, J.J.; O’Keefe, J.H. Capsaicin may have important potential for promoting vascular and metabolic health. Open Heart 2015, 2, e000262. [Google Scholar] [CrossRef]
- Rosca, A.E.; Iesanu, M.I.; Zahiu, C.D.M.; Voiculescu, S.E.; Paslaru, A.C.; Zagrean, A.-M. Capsaicin and gut microbiota in health and disease. Molecules 2020, 25, 5681. [Google Scholar] [CrossRef]
- Chapa-Oliver, A.M.; Mejía-Teniente, L. Capsaicin: From plants to a cancer-suppressing agent. Molecules 2016, 21, 931. [Google Scholar] [CrossRef]
- Reyes-Escogido, M.d.L.; Gonzalez-Mondragon, E.G.; Vazquez-Tzompantzi, E. Chemical and pharmacological aspects of capsaicin. Molecules 2011, 16, 1253–1270. [Google Scholar] [CrossRef]
- Sganzerla, M.; Coutinho, J.P.; de Melo, A.M.T.; Godoy, H.T. Fast method for capsaicinoids analysis from Capsicum chinense fruits. Food Res. Int. 2014, 64, 718–725. [Google Scholar] [CrossRef]
- Aza-González, C.; Núñez-Palenius, H.G.; Ochoa-Alejo, N. Molecular biology of capsaicinoid biosynthesis in chili pepper (Capsicum spp.). Plant Cell Rep. 2011, 30, 695–706. [Google Scholar] [CrossRef]
- Barbero, G.F.; Ruiz, A.G.; Liazid, A.; Palma, M.; Vera, J.C.; Barroso, C.G. Evolution of total and individual capsaicinoids in peppers during ripening of the Cayenne pepper plant (Capsicum annuum L.). Food Chem. 2014, 153, 200–206. [Google Scholar] [CrossRef]
- Taiti, C.; Costa, C.; Migliori, C.A.; Comparini, D.; Figorilli, S.; Mancuso, S. Correlation between volatile compounds and spiciness in domesticated and wild fresh chili peppers. Food Bioprocess Technol. 2019, 12, 1366–1380. [Google Scholar] [CrossRef]
- Segura-Campos, M.R.; Ruiz-Ruiz, J.C.; Chel-Guerrero, L.A.; Betancur-Ancona, D.A. Capsicum chinense: Composition and functional properties. In Functional Properties of Traditional Foods; Kristbergsson, K., Ötles, S., Eds.; Springer US: Boston, MA, USA, 2016; pp. 289–292. [Google Scholar] [CrossRef]
- Vázquez-Espinosa, M.; Olguín-Rojas, J.A.; Fayos, O.; González-de-Peredo, A.V.; Espada-Bellido, E.; Ferreiro-González, M.; Barroso, C.G.; Barbero, G.F.; Garcés-Claver, A.; Palma, M. Influence of fruit ripening on the total and individual capsaicinoids and capsiate content in Naga Jolokia peppers (Capsicum chinense Jacq.). Agronomy 2020, 10, 252. [Google Scholar] [CrossRef]
- Duranova, H.; Valkova, V.; Gabriny, L. Chili peppers (Capsicum spp.): The spice not only for cuisine purposes: An update on current knowledge. Phytochem. Rev. 2022, 21, 1379–1413. [Google Scholar] [CrossRef]
- Dorantes, L.; Colmenero, R.; Hernandez, H.; Mota, L.; Jaramillo, M.E.; Fernandez, E.; Solano, C. Inhibition of growth of some foodborne pathogenic bacteria by Capsicum annum extracts. Int. J. Food Microbiol. 2000, 57, 125–128. [Google Scholar] [CrossRef]
- Al Othman, Z.A.; Ahmed, Y.B.H.; Habila, M.A.; Ghafar, A.A. Determination of capsaicin and dihydrocapsaicin in Capsicum fruit samples using high performance liquid chromatography. Molecules 2011, 16, 8919–8929. [Google Scholar] [CrossRef]
- Irandoost, P.; Lotfi Yagin, N.; Namazi, N.; Keshtkar, A.; Farsi, F.; Alamdari, N.M.; Vafa, M. The effect of capsaicinoids or capsinoids in red pepper on thermogenesis in healthy adults: A systematic review and meta-analysis. Phytother. Res. 2021, 35, 1358–1377. [Google Scholar] [CrossRef]
- Deal, C.L.; Schnitzer, T.J.; Lipstein, E.; Seibold, J.R.; Stevens, R.M.; Levy, M.D.; Albert, D.; Renold, F. Treatment of arthritis with topical capsaicin: A double-blind trial. Clin. Ther. 1991, 13, 383–395. [Google Scholar]
- Kosuwon, W.; Sirichatiwapee, W.; Wisanuyotin, T.; Jeeravipoolvarn, P.; Laupattarakasem, W. Efficacy of symptomatic control of knee osteoarthritis with 0.0125% of capsaicin versus placebo. J. Med. Assoc. Thai 2010, 93, 1188–1195. [Google Scholar]
- Szolcsányi, J. Forty years in capsaicin research for sensory pharmacology and physiology. Neuropeptides 2004, 38, 377–384. [Google Scholar] [CrossRef]
- Morré, D.J.; Morré, D.M. Synergistic capsicum-tea mixtures with anticancer activity. J. Pharm. Pharmacol. 2003, 55, 987–994. [Google Scholar] [CrossRef]
- Omolo, M.A.; Wong, Z.-Z.; Mergen, A.K.; Hastings, J.C.; Le, N.C.; Reiland, H.A.; A Case, K.; Baumler, D.J. Antimicrobial properties of chili peppers. J. Infect. Dis. Ther. 2014, 2, 145. [Google Scholar] [CrossRef]
- Marini, E.; Magi, G.; Mingoia, M.; Pugnaloni, A.; Facinelli, B. Antimicrobial and anti-virulence activity of capsaicin against erythromycin-resistant, cell-invasive group A streptococci. Front. Microbiol. 2015, 6, 1281. [Google Scholar] [CrossRef]
- Brederson, J.-D.; Kym, P.R.; Szallasi, A. Targeting TRP channels for pain relief. Eur. J. Pharmacol. 2013, 716, 61–76. [Google Scholar] [CrossRef]
- Narang, N.; Jiraungkoorskul, W.; Jamrus, P. Current understanding of antiobesity property of capsaicin. Pharmacogn. Rev. 2017, 11, 23–26. [Google Scholar] [CrossRef]
- Zimmer, A.R.; Leonardi, B.; Miron, D.; Schapoval, E.; de Oliveira, J.R.; Gosmann, G. Antioxidant and anti-inflammatory properties of Capsicum baccatum: From traditional use to scientific approach. J. Ethnopharmacol. 2012, 139, 228–233. [Google Scholar] [CrossRef]
- Bishnoi, M.; Khare, P.; Brown, L.; Panchal, S.K. Transient receptor potential (TRP) channels: A metabolic TR(i)P to obesity prevention and therapy. Obes. Rev. 2018, 19, 1269–1292. [Google Scholar] [CrossRef]
- Ao, Z.; Huang, Z.; Liu, H. Spicy food and chili peppers and multiple health outcomes: Umbrella review. Mol. Nutr. Food Res. 2022, 66, e2200167. [Google Scholar] [CrossRef]
- Kang, C.; Wang, B.; Kaliannan, K.; Wang, X.; Lang, H.; Hui, S.; Huang, L.; Zhang, Y.; Zhou, M.; Chen, M.; et al. Gut microbiota mediates the protective effects of dietary capsaicin against chronic low-grade inflammation and associated obesity induced by high-fat diet. mBio 2017, 8, e00470-17. [Google Scholar] [CrossRef]
- Bley, K.; Boorman, G.; Mohammad, B.; McKenzie, D.; Babbar, S. A comprehensive review of the carcinogenic and anticarcinogenic potential of capsaicin. Toxicol. Pathol. 2012, 40, 847–873. [Google Scholar] [CrossRef]
- Mózsik, G.; Past, T.; Abdel Salam, O.M.; Kuzma, M.; Perjési, P. Interdisciplinary review for correlation between the plant origin capsaicinoids, non-steroidal antiinflammatory drugs, gastrointestinal mucosal damage and prevention in animals and human beings. Inflammopharmacology 2009, 17, 113–150. [Google Scholar] [CrossRef]
- Filipczak-Bryniarska, I.; Krzyzewski, R.M.; Kucharz, J.; Michalowska-Kaczmarczyk, A.; Kleja, J.; Woron, J.; Strzepek, K.; Kazior, L.; Wordliczek, J.; Grodzicki, T.; et al. High-dose 8% capsaicin patch in treatment of chemotherapy-induced peripheral neuropathy: Single-center experience. Med. Oncol. 2017, 34, 162. [Google Scholar] [CrossRef] [PubMed]
- Mou, J.; Paillard, F.; Turnbull, B.; Trudeau, J.; Stoker, M.; Katz, N.P. Efficacy of Qutenza® (capsaicin) 8% patch for neuropathic pain: A meta-analysis of the Qutenza Clinical Trials Database. Pain 2013, 154, 1632–1639. [Google Scholar] [CrossRef]
- Wong, G.Y.; Gavva, N.R. Therapeutic potential of vanilloid receptor TRPV1 agonists and antagonists as analgesics: Recent advances and setbacks. Brain Res. Rev. 2009, 60, 267–277. [Google Scholar] [CrossRef]
- O’Neill, J.; Brock, C.; Olesen, A.E.; Andresen, T.; Nilsson, M.; Dickenson, A.H. Unravelling the mystery of capsaicin: A tool to understand and treat pain. Pharmacol. Rev. 2012, 64, 939–971. [Google Scholar] [CrossRef] [PubMed]
- Sharma, S.K.; Vij, A.S.; Sharma, M. Mechanisms and clinical uses of capsaicin. Eur. J. Pharmacol. 2013, 720, 55–62. [Google Scholar] [CrossRef] [PubMed]
- Hayman, M.; Kam, P.C.A. Capsaicin: A review of its pharmacology and clinical applications. Curr. Anaesth. Crit. Care 2008, 19, 338–343. [Google Scholar] [CrossRef]
- Sultana, A.; Singla, R.K.; He, X.; Sun, Y.; Alam, M.S.; Shen, B. Topical capsaicin for the treatment of neuropathic pain. Curr. Drug Metab. 2021, 22, 198–207. [Google Scholar] [CrossRef]
- Adams, M.J.; Ahuja, K.D.; Geraghty, D.P. Effect of capsaicin and dihydrocapsaicin on in vitro blood coagulation and platelet aggregation. Thromb. Res. 2009, 124, 721–723. [Google Scholar] [CrossRef]
- Mittelstadt, S.W.; Nelson, R.A.; Daanen, J.F.; King, A.J.; Kort, M.E.; Kym, P.R.; Lubbers, N.L.; Cox, B.F.; Lynch, J.J. Capsaicin-induced inhibition of platelet aggregation is not mediated by transient receptor potential vanilloid type 1. Blood Coagul. Fibrinolysis 2012, 23, 94–97. [Google Scholar] [CrossRef]
- Hernández-Pérez, T.; Gómez-García, M.D.R.; Valverde, M.E.; Paredes-López, O. Capsicum annuum (hot pepper): An ancient Latin-American crop with outstanding bioactive compounds and nutraceutical potential. A review. Compr. Rev. Food Sci. Food Saf. 2020, 19, 2972–2993. [Google Scholar] [CrossRef]
- Bacon, K.; Boyer, R.; Denbow, C.; O’Keefe, S.; Neilson, A.; Williams, R. Antibacterial activity of jalapeño pepper (Capsicum annuum var. annuum) extract fractions against select foodborne pathogens. Food Sci. Nutr. 2017, 5, 730–738. [Google Scholar] [CrossRef]
- Mah, E.; Chen, O.; Liska, D.J.; Blumberg, J.B. Dietary supplements for weight management: A narrative review of safety and metabolic health benefits. Nutrients 2022, 14, 1787. [Google Scholar] [CrossRef]
- Lv, Z.; Xu, X.; Sun, Z.; Yang, Y.X.; Guo, H.; Li, J.; Sun, K.; Wu, R.; Xu, J.; Jiang, Q.; et al. TRPV1 alleviates osteoarthritis by inhibiting M1 macrophage polarization via Ca2+/CaMKII/Nrf2 signaling pathway. Cell Death Dis. 2021, 12, 504. [Google Scholar] [CrossRef]
- Lee, G.R.; Shin, M.K.; Yoon, D.J.; Kim, A.R.; Yu, R.; Park, N.-H.; Han, I.-S. Topical application of capsaicin reduces visceral adipose fat by affecting adipokine levels in high-fat diet-induced obese mice. Obesity 2013, 21, 115–122. [Google Scholar] [CrossRef]
- Kang, M.C.; Kang, N.; Ko, S.C.; Kim, Y.B.; Jeon, Y.J. Anti-obesity effects of seaweeds of Jeju Island on the differentiation of 3T3-L1 preadipocytes and obese mice fed a high-fat diet. Food Chem. Toxicol. 2016, 90, 36–44. [Google Scholar] [CrossRef]
- Zhang, H.; Cang, C.L.; Kawasaki, Y.; Liang, L.L.; Zhang, Y.Q.; Ji, R.-R.; Zhao, Z.-Q. Neurokinin-1 receptor enhances TRPV1 activity in primary sensory neurons via PKCε: A novel pathway for heat hyperalgesia. J. Neurosci. 2007, 27, 12067–12077. [Google Scholar] [CrossRef]
- Motte, J.; Ambrosius, B.; Grüter, T.; Bachir, H.; Sgodzai, M.; Pedreiturria, X.; Pitarokoili, K.; Gold, R. Capsaicin-enriched diet ameliorates autoimmune neuritis in rats. J. Neuroinflam. 2018, 15, 122. [Google Scholar] [CrossRef]
- Yang, S.; Liu, L.; Meng, L.; Hu, X. Capsaicin is beneficial to hyperlipidemia, oxidative stress, endothelial dysfunction, and atherosclerosis in Guinea pigs fed on a high-fat diet. Chem. Biol. Interact. 2019, 297, 1–7. [Google Scholar] [CrossRef]
- Chen, J.C.; Ko, J.C.; Yen, T.C.; Chen, T.Y.; Lin, Y.C.; Ma, P.-F.; Lin, Y.-W. Capsaicin enhances erlotinib-induced cytotoxicity via AKT inactivation and excision repair cross-complementary 1 (ERCC1) down-regulation in human lung cancer cells. Toxicol. Res. 2019, 8, 459–470. [Google Scholar] [CrossRef]
- Wang, Y.; Deng, X.; Yu, C.; Zhao, G.; Zhou, J.; Zhang, G.; Li, M.; Jiang, D.; Quan, Z.; Zhang, Y. Synergistic inhibitory effects of capsaicin combined with cisplatin on human osteosarcoma in culture and in xenografts. J. Exp. Clin. Cancer Res. 2018, 37, 251. [Google Scholar] [CrossRef]
- Urbina, S.L.; Roberts, M.D.; Kephart, W.C.; Villa, K.B.; Santos, E.N.; Olivencia, A.M.; Bennett, H.M.; Lara, M.D.; Foster, C.A.; Purpura, M.; et al. Effects of twelve weeks of capsaicinoid supplementation on body composition, appetite and self-reported caloric intake in overweight individuals. Appetite 2017, 113, 264–273. [Google Scholar] [CrossRef] [PubMed]
- Yuan, L.J.; Qin, Y.; Wang, L.; Zeng, Y.; Chang, H.; Wang, J.; Wang, B.; Wan, J.; Chen, S.-H.; Zhang, Q.-Y.; et al. Capsaicin-containing chili improved postprandial hyperglycemia, hyperinsulinemia, and fasting lipid disorders in women with gestational diabetes mellitus and lowered the incidence of large-for-gestational-age newborns. Clin. Nutr. 2016, 35, 388–393. [Google Scholar] [CrossRef]
- Janssens, P.L.; Hursel, R.; Martens, E.A.; Westerterp-Plantenga, M.S. Acute effects of capsaicin on energy expenditure and fat oxidation in negative energy balance. PLoS ONE 2013, 8, e67786. [Google Scholar] [CrossRef] [PubMed]
- Lejeune, M.P.; Kovacs, E.M.; Westerterp-Plantenga, M.S. Effect of capsaicin on substrate oxidation and weight maintenance after modest body-weight loss in human subjects. Br. J. Nutr. 2003, 90, 651–659. [Google Scholar] [CrossRef] [PubMed]
- Shin, K.O.; Moritani, T. Alterations of autonomic nervous activity and energy metabolism by capsaicin ingestion during aerobic exercise in healthy men. J. Nutr. Sci. Vitaminol. 2007, 53, 124–132. [Google Scholar] [CrossRef]
- Ishikawa, K.; Janos, T.; Sakamoto, S.; Nunomura, O. The contents of capsaicinoids and their phenolic intermediates in the various tissues of the plants of Capsicum annuum L. In Capsicum and Eggplant Newsletter; Belletti, P., Ed.; University of Turin: Turin, Italy, 1998; Volume 17, pp. 22–25. Available online: https://webcomm.nmsu.edu/chile/wp-content/uploads/sites/60/2016/06/cap17.pdf (accessed on 10 December 2022).
- Oğuzkan, S.B. Extraction of capsinoid and its analogs from pepper waste of different genotypes. Nat. Prod. Commun. 2019, 14, 1934578X19865673. [Google Scholar] [CrossRef]
- Tobolka, A.; Škorpilová, T.; Dvořáková, Z.; Cusimamani, E.F.; Rajchl, A. Determination of capsaicin in hot peppers (Capsicum spp.) by direct analysis in real time (DART) method. J. Food Comp. Anal. 2021, 103, 104074. [Google Scholar] [CrossRef]
- Sora, G.T.; Haminiuk, C.W.; da Silva, M.V.; Zielinski, A.A.; Gonçalves, G.A.; Bracht, A.; Peralta, R.M. A comparative study of the capsaicinoid and phenolic contents and in vitro antioxidant activities of the peppers of the genus Capsicum: An application of chemometrics. J. Food Sci. Technol. 2015, 52, 8086–8094. [Google Scholar] [CrossRef]
- Abu-Zahra, T.R. Influence of agricultural practices on fruit quality of bell pepper. Pak. J. Biol. Sci. 2011, 14, 876–881. [Google Scholar] [CrossRef]
- Wang, J.; Gao, Z.; Sun, T.; Huang, W.; Jia, Y.; Li, X.; Zhang, Z.; Hu, X. Preharvest reduction in nutrient solution supply of pepper (Capsicum annuum L.) contributes to improve fruit quality and fertilizer efficiency while stabilising yields. Agronomy 2022, 12, 3004. [Google Scholar] [CrossRef]
- Han, S.; Zhu, X.; Liu, D.; Wang, L.; Pei, D. Optimisation of the amount of nitrogen enhances quality and yield of pepper. Plant Soil Environ. 2021, 67, 643–652. [Google Scholar] [CrossRef]
- Das, S.; Teja, K.C.; Duary, B.; Agrawal, P.K.; Bhattacharya, S.S. Impact of nutrient management, soil type and location on the accumulation of capsaicin in Capsicum chinense (Jacq.): One of the hottest chili in the world. Sci. Hortic. 2016, 213, 354–366. [Google Scholar] [CrossRef]
- Cortés-Ferré, H.E.; Guajardo-Flores, D.; Romero-De La Vega, G.; Gutierrez-Uribe, J.A. Recovery of capsaicinoids and other phytochemicals involved with TRPV-1 receptor to re-valorize chili pepper waste and produce nutraceuticals. Front. Sustain. Food Syst. 2021, 4, 588534. [Google Scholar] [CrossRef]
- Sandoval-Castro, C.J.; Valdez-Morales, M.; Oomah, B.D.; Gutiérrez-Dorado, R.; Medina-Godoy, S.; Espinosa-Alonso, L.G. Bioactive compounds and antioxidant activity in scalded Jalapeño pepper industrial byproduct (Capsicum annuum). J. Food Sci. Technol. 2017, 54, 1999–2010. [Google Scholar] [CrossRef]
- Lomelí-Rosales, D.A.; Zamudio-Ojeda, A.; Reyes-Maldonado, O.K.; López-Reyes, M.E.; Basulto-Padilla, G.C.; Lopez-Naranjo, E.J.; Zuñiga-Mayo, V.M.; Velázquez-Juárez, G. Green synthesis of gold and silver nanoparticles using leaf extract of Capsicum chinense plant. Molecules 2022, 27, 1692. [Google Scholar] [CrossRef]
- Vinod, A.; Rangappa, S.M.; Srisuk, R.; Tengsuthiwat, J.R.; Siengchin, S. Agro-waste Capsicum annum stem: An alternative raw material for lightweight composites. Indus. Crops Prod. 2023, 193, 116141. [Google Scholar] [CrossRef]
- Castro-Muñoz, R.; Gontarek-Castro, E.; Jafari, S.M. Up-to-date strategies and future trends towards the extraction and purification of Capsaicin: A comprehensive review. Trends Food Sci. Technol. 2022, 123, 161–171. [Google Scholar] [CrossRef]
- Cuevas-Glory, L.F.; Sosa-Moguel, O.; Pino, J.; Sauri-Duch, E. GC–MS characterization of volatile compounds in habanero pepper (Capsicum chinense Jacq.) by optimization of headspace solid-phase microextraction conditions. Food Anal. Methods 2015, 8, 1005–1013. [Google Scholar] [CrossRef]
- Miglio, C.; Chiavaro, E.; Visconti, A.; Fogliano, V.; Pellegrini, N. Effects of different cooking methods on nutritional and physicochemical characteristics of selected vegetables. J. Agric. Food Chem. 2008, 56, 139–147. [Google Scholar] [CrossRef]
- Fabela-Morón, M.F.; Cuevas-Bernardino, J.C.; Ayora-Talavera, T.; Pacheco, N. Trends in capsaicinoids extraction from Habanero chili pepper (Capsicum chinense Jacq.): Recent advanced techniques. Food Rev. Int. 2020, 36, 105–134. [Google Scholar] [CrossRef]
- Kurian, A.L.; Starks, A.N. HPLC analysis of capsaicinoids extracted from whole orange Habañero chili peppers. J. Food Sci. 2002, 67, 956–962. [Google Scholar] [CrossRef]
- Bignardi, C.; Cavazza, A.; Rinaldi, M.; Corradini, C. Correlation between different markers for the assessment of red chilli pepper powders stability during shelf-life. Int. J. Food Sci. Nutr. 2016, 67, 391–399. [Google Scholar] [CrossRef] [PubMed]
- Monforte-González, M.; Medina-Lara, F.; Gutiérrez-Carbajal, G.; Vázquez-Flota, F. Capsaicinoid quantitation by in situ densitometry of thin layer chromatography plates. J. Liq. Chromatogr. Relat. Technol. 2007, 30, 1697–1704. [Google Scholar] [CrossRef]
- Chinn, M.S.; Sharma-Shivappa, R.R.; Cotter, J.L. Solvent extraction and quantification of capsaicinoids from Capsicum chinense. Food Bioprod. Proc. 2011, 89, 340–345. [Google Scholar] [CrossRef]
- Kollmannsberger, H.; Rodríguez-Burruezo, A.; Nitz, S.; Nuez, F. Volatile and capsaicinoid composition of ají (Capsicum baccatum) and rocoto (Capsicum pubescens), two Andean species of chile peppers. J. Sci. Food Agric. 2011, 91, 1598–1611. [Google Scholar] [CrossRef]
- Martins, F.S.; Borges, L.L.; Ribeiro, C.S.C.; Reifschneider, F.J.B.; Conceição, E.C. Novel approaches to extraction methods in recovery of capsaicin from habanero pepper (CNPH 15.192). Pharmacogn. Mag. 2017, 13, S375–S379. [Google Scholar] [CrossRef]
- Azmir, J.; Zaidul, I.S.M.; Rahman, M.M.; Sharif, K.M.; Mohamed, A.; Sahena, F.; Jahurul, M.H.A.; Ghafoor, K.; Norulaini, N.A.N.; Omar, A.K.M. Techniques for extraction of bioactive compounds from plant materials: A review. J. Food Eng. 2013, 117, 426–436. [Google Scholar] [CrossRef]
- De Aguiar, A.C.; dos Santos, P.; Coutinho, J.P.; Barbero, G.F.; Godoy, H.T.; Martínez, J. Supercritical fluid extraction and low pressure extraction of Biquinho pepper (Capsicum chinense). LWT Food Sci. Technol. 2014, 59, 1239–1246. [Google Scholar] [CrossRef]
- Boonkird, S.; Phisalaphong, C.; Phisalaphong, M. Ultrasound-assisted extraction of capsaicinoids from Capsicum frutescens on a lab- and pilot-plant scale. Ultrason. Sonochem. 2008, 15, 1075–1079. [Google Scholar] [CrossRef]
- M’hiri, N.; Ioannou, I.; Ghoul, M.; Boudhrioua, N.M. Extraction methods of citrus peel phenolic compounds. Food Rev. Int. 2014, 30, 265–290. [Google Scholar] [CrossRef]
- Awad, T.S.; Moharram, H.A.; Shaltout, O.E.; Asker, D.; Youssef, M.M. Applications of ultrasound in analysis, processing and quality control of food: A review. Food Res. Int. 2012, 48, 410–427. [Google Scholar] [CrossRef]
- Echave, J.; Pereira, A.G.; Carpena, M.; Prieto, M.Á.; Simal-Gandara, J. Capsicum seeds as a source of bioactive compounds: Biological properties, extraction systems, and industrial application. In Capsicum; Dekebo, A., Ed.; IntechOpen: Rijeka, Croatia, 2020. [Google Scholar] [CrossRef]
- Peña-Alvarez, A.; Alvarado, L.A.; Vera-Avila, L.E. Analysis of capsaicin and dihydrocapsaicin in hot peppers by ultrasound assisted extraction followed by gas chromatography–mass spectrometry. Instrument. Sci. Technol. 2012, 40, 429–440. [Google Scholar] [CrossRef]
- Rahath Kubra, I.; Kumar, D.; Rao, L.J.M. Emerging trends in microwave processing of spices and herbs. Crit. Rev. Food Sci. Nutr. 2016, 56, 2160–2173. [Google Scholar] [CrossRef]
- Ventura, S.P.M.; Nobre, B.P.; Ertekin, F.; Hayes, M.; Garciá-Vaquero, M.; Vieira, F.; Koc, M.; Gouveia, L.; Aires-Barros, M.; Palavra, A. 19-Extraction of value-added compounds from microalgae. In Microalgae-Based Biofuels and Bioproducts; Gonzalez-Fernandez, C., Muñoz, R., Eds.; Woodhead Publishing: Sawston, UK, 2017; pp. 461–483. [Google Scholar] [CrossRef]
- Kim, S.-K.; Chojnacka, K. Marine Algae Extracts: Processes, Products, and Applications; Wiley-VCH Verlag GmbH & Co. KGaA: Weinheim, Germany, 2015. [Google Scholar] [CrossRef]
- Cienfuegos, N.E.C.; Santos, P.L.; García, A.R.; Soares, C.M.F.; Lima, A.S.; Souza, R. Integrated process for purification of capsaicin using aqueous two-phase systems based on ethanol. Food Bioprod. Proc. 2017, 106, 1–10. [Google Scholar] [CrossRef]
- Chuichulcherm, S.; Prommakort, S.; Srinophakun, P.; Thanapimmetha, A. Optimization of capsaicin purification from Capsicum frutescens Linn. with column chromatography using Taguchi design. Indus. Crops Prod. 2013, 44, 473–479. [Google Scholar] [CrossRef]
- Nieto, A.; Borrull, F.; Pocurull, E.; Marcé, R.M. Pressurized liquid extraction: A useful technique to extract pharmaceuticals and personal-care products from sewage sludge. Trends Anal. Chem. 2010, 29, 752–764. [Google Scholar] [CrossRef]
- Barbero, G.F.; Palma, M.; Barroso, C.G. Pressurized liquid extraction of capsaicinoids from peppers. J. Agric. Food Chem. 2006, 54, 3231–3236. [Google Scholar] [CrossRef]
- Bajer, T.; Bajerová, P.; Kremr, D.; Eisner, A.; Ventura, K. Central composite design of pressurised hot water extraction process for extracting capsaicinoids from chili peppers. J. Food Comp. Anal. 2015, 40, 32–38. [Google Scholar] [CrossRef]
- Rollyson, W.D.; Stover, C.A.; Brown, K.C.; Perry, H.E.; Stevenson, C.D.; McNees, C.A.; Ball, J.G.; Valentovic, M.A.; Dasgupta, P. Bioavailability of capsaicin and its implications for drug delivery. J. Control Release 2014, 196, 96–105. [Google Scholar] [CrossRef]
- Joseph, A.; John, F.; Thomas, J.V.; Sivadasan, S.D.; Maliakel, B.; Mohan, R.; Krishnakumar, K.I. Influence of a novel food-grade formulation of red chili extract (Capsicum annum) on overweight subjects: Randomized, double-blinded, placebo-controlled study. J. Diet. Suppl. 2021, 18, 387–405. [Google Scholar] [CrossRef]
- Lee, T.A.; Li, Z.; Zerlin, A.; Heber, D. Effects of dihydrocapsiate on adaptive and diet-induced thermogenesis with a high protein very low calorie diet: A randomized control trial. Nutr. Metab. 2010, 7, 78. [Google Scholar] [CrossRef]
- Campbell, J.N.; Stevens, R.; Hanson, P.; Connolly, J.; Meske, D.S.; Chung, M.-K.; Lascelles, B. Injectable capsaicin for the management of pain due to osteoarthritis. Molecules 2021, 26, 778. [Google Scholar] [CrossRef] [PubMed]
- Chan, A.H.Y.; Cooper, V.; Lycett, H.; Horne, R. Practical barriers to medication adherence: What do current self- or observer-reported instruments assess? Front. Pharmacol. 2020, 11, 572. [Google Scholar] [CrossRef] [PubMed]
- Jin, J.; Sklar, G.E.; Min Sen Oh, V.; Chuen Li, S. Factors affecting therapeutic compliance: A review from the patient’s perspective. Ther. Clin. Risk Manag. 2008, 4, 269–286. [Google Scholar] [CrossRef] [PubMed]
- Lu, M.; Ho, C.-T.; Huang, Q. Extraction, bioavailability, and bioefficacy of capsaicinoids. J. Food Drug Anal. 2017, 25, 27–36. [Google Scholar] [CrossRef] [PubMed]
- Ludy, M.J.; Moore, G.E.; Mattes, R.D. The effects of capsaicin and capsiate on energy balance: Critical review and meta-analyses of studies in humans. Chem. Senses 2012, 37, 103–121. [Google Scholar] [CrossRef]
- Merritt, J.C.; Richbart, S.D.; Moles, E.G.; Cox, A.J.; Brown, K.C.; Miles, S.L.; Finch, P.T.; Hess, J.A.; Tirona, M.T.; Valentovic, M.A.; et al. Anti-cancer activity of sustained release capsaicin formulations. Pharmacol. Ther. 2022, 238, 108177. [Google Scholar] [CrossRef]
- Dong, L.; Zhou, Q.; Liang, Q.; Qiao, Z.; Liu, Y.; Shao, L.; Wang, K. Identification of a partial and selective TRPV1 agonist CPIPC for alleviation of inflammatory pain. Molecules 2022, 27, 5428. [Google Scholar] [CrossRef]
- Long, W.; Fatehi, M.; Soni, S.; Panigrahi, R.; Philippaert, K.; Yu, Y.; Kelly, R.; Boonen, B.; Barr, A.; Golec, D.; et al. Vitamin D is an endogenous partial agonist of the transient receptor potential vanilloid 1 channel. J. Physiol. 2020, 598, 4321–4338. [Google Scholar] [CrossRef]
- Lu, M.; Chen, C.; Lan, Y.; Xiao, J.; Li, R.; Huang, J.; Huang, Q.; Cao, Y.; Ho, C.-T. Capsaicin—The major bioactive ingredient of chili peppers: Bio-efficacy and delivery systems. Food Funct. 2020, 11, 2848–2860. [Google Scholar] [CrossRef]
- Niikura, K.; Nambara, K.; Okajima, T.; Matsuo, Y.; Ijiro, K. Influence of hydrophobic structures on the plasma membrane permeability of lipidlike molecules. Langmuir 2010, 26, 9170–9175. [Google Scholar] [CrossRef]
- Zhang, B.; Zheng, L.; Liang, S.; Lu, Y.; Zheng, J.; Li, W.; Jiang, H. Encapsulation of capsaicin in whey protein and OSA-modified starch using spray-drying: Physicochemical properties and its stability. Foods 2022, 11, 612. [Google Scholar] [CrossRef]
- Morales-Lázaro, S.L.; Llorente, I.; Sierra-Ramírez, F.; López-Romero, A.E.; Ortíz-Rentería, M.; Serrano-Flores, B.; Simon, S.A.; Islas, L.D.; Rosenbaum, T. Inhibition of TRPV1 channels by a naturally occurring omega-9 fatty acid reduces pain and itch. Nat. Commun. 2016, 7, 13092. [Google Scholar] [CrossRef]
- Shilpa, S.; Shwetha, H.J.; Perumal, M.K.; Ambedkar, R.; Hanumanthappa, M.; Baskaran, V.; Lakshminarayana, R. Turmeric, red pepper, and black pepper affect carotenoids solubilized micelles properties and bioaccessibility: Capsaicin/piperine improves and curcumin inhibits carotenoids uptake and transport in Caco-2 cells. J. Food Sci. 2021, 86, 4877–4891. [Google Scholar] [CrossRef]
- Chen, F.; Zhai, X.; Zhu, C.; Lu, Y. Effects of capsaicin on pharmacokinetics of pitavastatin in rats. Xenobiotica 2015, 45, 171–176. [Google Scholar] [CrossRef]




| Study Model | Application | Results |
|---|---|---|
| Rat osteoarthritis synovium | Capsaicin injection | Reduced osteoarthritis phenotypes and M1 macrophage infiltration [88] |
| High-fat diet-induced obese mice | 0.075% capsaicin | Decreased lipid accumulation in mesenteric and epididymal tissue [89] |
| Obese/diabetic KKAy mice | Dietary capsaicin | Reduced metabolic dysregulation [90] |
| Mice | Oral administration of capsaicin | Prevention of obesity in male wild-type mice [91] |
| Lewis rat | Capsaicin (for autoimmune neuropathies) | Reduced inflammation of the sciatic nerve [92] |
| Guinea pigs (high-fat diet) | Capsaicin (doses 2.5, 5, 10 mg/kg) | Reduce oxidative stress and endothelial dysfunction [93] |
| Human lung carcinoma cells | Erlotinib combined with 90% capsaicin (1:5 and 1:20) | Enhancement of cytotoxicity and inhibition of cell growth of erlotinib. Potential use as chemo-sanitiser for erlotinib [94] |
| Osteosarcoma cells | Capsaicin (100 µM) with cisplatin (16.7 µM) | Inhibitory effects on osteosarcoma cells, (apoptosis induction, cell cycle arrest and cell invasion inhibition) [95] |
| Study Participants | Application | Results |
|---|---|---|
| Male/Female (18–56 years) | Capsaicinoids supplements (12 weeks) | Reduced appetite, improved body composition (waist: hip ratio) [96] |
| Women with gestational diabetes mellitus | Capsaicin supplements (4 weeks) | Improved postprandial hyperglycaemia and hyperinsulinemia, fasting lipid metabolic disorders [97] |
| Healthy Caucasian male/female | 2.56 mg (1.03 g of red chili pepper) with meal | Negative energy balance, increased fat oxidation [98] |
| Male/Female (18–60 years) | 135 mg capsaicin/day (3 months) | Increased fat oxidation during weight regain [99] |
| Healthy young men | 150 mg capsaicin 1 h before exercise | Enhanced the activity of fat oxidation during low-intensity exercise [100] |
Disclaimer/Publisher’s Note: The statements, opinions and data contained in all publications are solely those of the individual author(s) and contributor(s) and not of MDPI and/or the editor(s). MDPI and/or the editor(s) disclaim responsibility for any injury to people or property resulting from any ideas, methods, instructions or products referred to in the content. |
© 2023 by the authors. Licensee MDPI, Basel, Switzerland. This article is an open access article distributed under the terms and conditions of the Creative Commons Attribution (CC BY) license (https://creativecommons.org/licenses/by/4.0/).
Share and Cite
Yasin, M.; Li, L.; Donovan-Mak, M.; Chen, Z.-H.; Panchal, S.K. Capsicum Waste as a Sustainable Source of Capsaicinoids for Metabolic Diseases. Foods 2023, 12, 907. https://doi.org/10.3390/foods12040907
Yasin M, Li L, Donovan-Mak M, Chen Z-H, Panchal SK. Capsicum Waste as a Sustainable Source of Capsaicinoids for Metabolic Diseases. Foods. 2023; 12(4):907. https://doi.org/10.3390/foods12040907
Chicago/Turabian StyleYasin, Mursleen, Li Li, Michelle Donovan-Mak, Zhong-Hua Chen, and Sunil K. Panchal. 2023. "Capsicum Waste as a Sustainable Source of Capsaicinoids for Metabolic Diseases" Foods 12, no. 4: 907. https://doi.org/10.3390/foods12040907
APA StyleYasin, M., Li, L., Donovan-Mak, M., Chen, Z.-H., & Panchal, S. K. (2023). Capsicum Waste as a Sustainable Source of Capsaicinoids for Metabolic Diseases. Foods, 12(4), 907. https://doi.org/10.3390/foods12040907

