The Impact of Hop Freshness on Kettle-Hopped Beers
Abstract
1. Introduction
2. Materials and Methods
2.1. Chemicals and Standards
2.2. Hop Material
2.3. Beer Brewing
2.4. Sensory Analysis
2.5. Chemical Analysis
2.5.1. Hop Storage Index
2.5.2. Bitterness Units (BUs) of Beer
2.5.3. HPLC Analysis of Alpha-Acids, Iso-Alpha-Acids and Humulinones
2.5.4. Hop Essential Oil Content
2.5.5. HS-SPME-GC-MS Analysis of Aroma Components Derived from Hops
3. Results
3.1. Hop Analysis
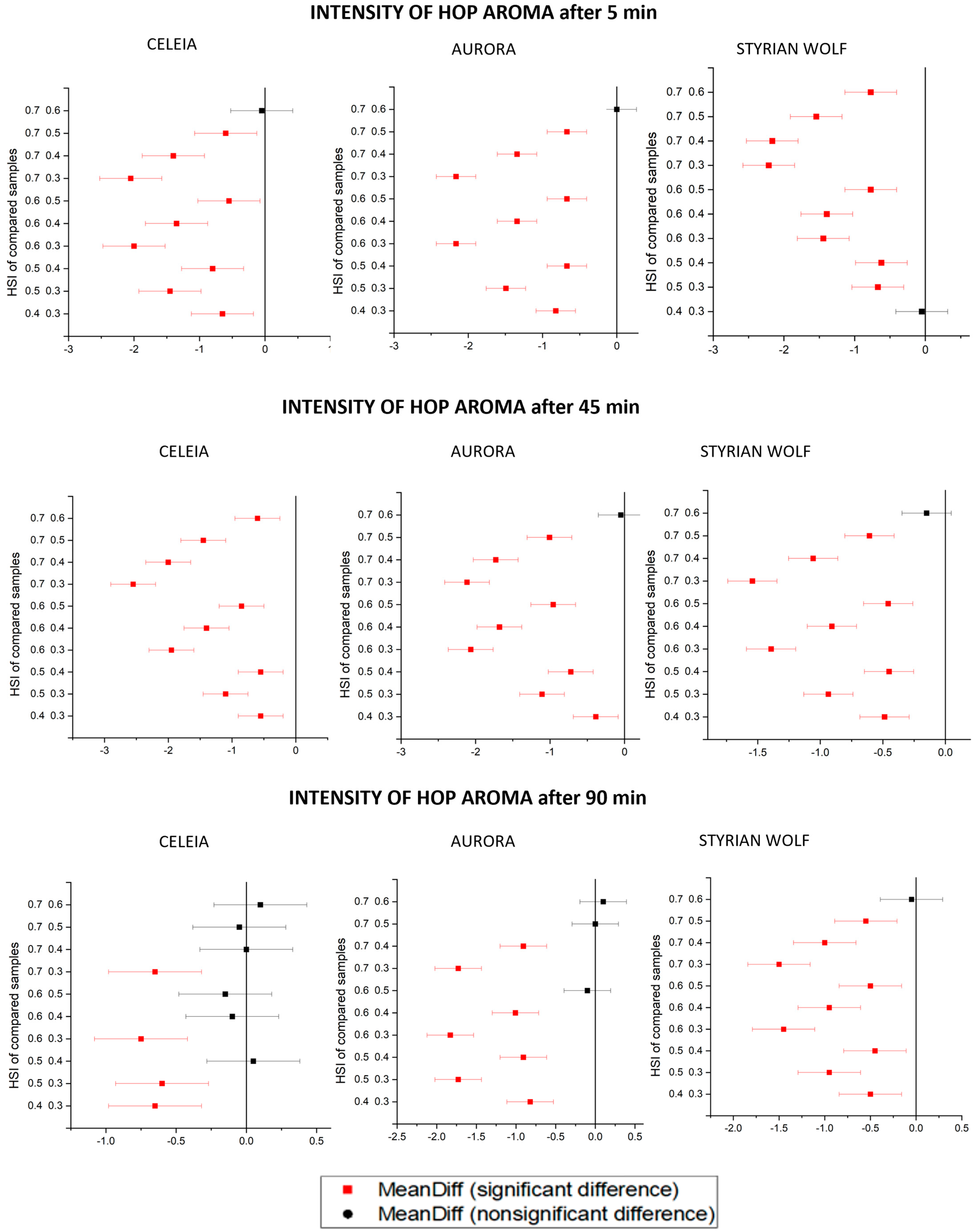
3.2. Beer Aroma
3.3. Beer Bitterness
4. Conclusions
Author Contributions
Funding
Data Availability Statement
Conflicts of Interest
References
- Mikyška, A.; Krofta, K.; Haškova, D.; Čulik, J.; Čejka, P. Impact of hop pellets storage on beer quality. Kvas. Prum. 2012, 58, 148–154. [Google Scholar] [CrossRef]
- Srečec, S.; Rezić, T.; Šantek, B.; Marić, V. Influence of Hops Pellets Age on α-Acids Utilization and Organoleptic Quality of Beer. Agric. Conspec. Sci. 2008, 73, 103–107. Available online: https://acs.agr.hr/acs/index.php/acs/article/view/48 (accessed on 17 March 2023).
- Rutnik, K.; Ocvirk, M.; Košir, I.J. Impact of Hop Freshness on Dry Hopped Beer Quality. Foods 2022, 11, 1310. [Google Scholar] [CrossRef]
- Berry, A. The Different Hopping Techniques in Beer. Available online: https://www.hopstore.fr/en/les-differentes-techniques-de-houblonnage-dans-la-biere/ (accessed on 11 July 2023).
- Hieronymus, S. For the Love of Hops: The Practical Guide to Aroma, Bitterness and the Culture of Hops (Brewing Elements); Brewers Publications: Georgetown, DC, USA, 2012. [Google Scholar]
- Ocvirk, M.; Košir, I.J. Dynamics of Isomerization of Hop Alpha-Acids and Transition of Hop Essential Oil Components in Beer. Acta Chim. Slov. 2020, 67, 720–728. [Google Scholar] [CrossRef] [PubMed]
- Maye, J.P.; Smith, R. Dry Hopping and Its Effects on the International Bitterness Unit Test and Beer Bitterness. Tech. Q. 2016, 53, 134–136. [Google Scholar] [CrossRef]
- Peltz, M.; Algazzali, V.; Shellhammer, T. Sensory bitterness quality of oxidized hop acids: Humulinones and hulupones. In 2015 ASBC Annual Meeting; ASBC: La Quinta, CA, USA, 2015; Available online: https://www.asbcnet.org/events/archives/2015Meeting/proceedings/Pages/50.aspx (accessed on 7 March 2023).
- Rutnik, K.; Hrnčič, M.K.; Košir, I.J. Hop Essential Oil: Chemical Composition, Extraction, Analysis, and Applications. Food Rev. Int. 2021, 38, 529–551. [Google Scholar] [CrossRef]
- Steinhaus, M.; Fritsch, H.T.; Schieberle, P. Quantitation of (R)- and (S)-Linalool in Beer Using Solid Phase Microextraction (SPME) in Combination with a Stable Isotope Dilution Assay (SIDA). J. Agric. Food Chem. 2003, 51, 7100–7105. [Google Scholar] [CrossRef]
- Haslbeck, K.; Bub, S.; von Kamp, K.; Michel, M.; Zarnkow, M.; Hutzler, M.; Coelhan, M. The influence of brewing yeast strains on monoterpene alcohols and esters contributing to the citrus flavour of beer. J. Inst. Brew. 2018, 124, 403–415. [Google Scholar] [CrossRef]
- Takoi, K.; Itoga, Y.; Koie, K.; Kosugi, T.; Shimase, M.; Katayama, Y.; Nakayama, Y.; Watari, J. The Contribution of Geraniol Metabolism to the Citrus Flavour of Beer: Synergy of Geraniol and β-Citronellol Under Coexistence with Excess Linalool. J. Inst. Brew. 2010, 116, 251–260. [Google Scholar] [CrossRef]
- Schönberger, C.; Kostelecky, T. 125th Anniversary Review: The Role of Hops in Brewing. J. Inst. Brew. 2011, 117, 259–267. [Google Scholar] [CrossRef]
- Kishimoto, T. Hop-Derived Odorants Contributing to the Aroma Characteristics of Beer. J. Soc. Brew. Jpn. 2009, 104, 157–169. [Google Scholar] [CrossRef][Green Version]
- Peacock, V.E.; Deinzer, M.L. Fate of Hop Oil Components in Beer. J. Am. Soc. Brew. Chem. 2018, 46, 104–107. [Google Scholar] [CrossRef]
- Haslbeck, K.; Bub, S.; Schönberger, C.; Zarnkow, M.; Jacob, F.; Coelhan, M. On the fate of β-myrcene during fermentation-the role of stripping and uptake of hop oil components by brewer’s yeast in dry-hopped wort and beer. Brew. Sci. 2017, 70, 159–169. [Google Scholar] [CrossRef]
- Stevens, R. The Chemistry of Hop Constituents. Chem Rev. 1967, 67, 19–71. [Google Scholar] [CrossRef]
- Lam, K.C.; Deinzer, M.L.; Foster, R.T. Aging of Hops and their Contribution to Beer Flavor. J. Agric. Food Chem. 1986, 34, 763–770. [Google Scholar] [CrossRef]
- Peacock, V.E.; Deinzer, M.L. Chemistry of Hop Aroma in Beer. J. Am. Soc. Brew. Chem. 2018, 39, 136–141. [Google Scholar] [CrossRef]
- Sanchez, N.B. Analytical and Sensory Evaluation of Hop Varieties. Oregon State University. 1990. Available online: https://ir.library.oregonstate.edu/concern/graduate_thesis_or_dissertations/nv935525g?locale=en (accessed on 13 March 2023).
- Praet, T.; Van Opstaele, F.; Steenackers, B.; De Vos, D.; Aerts, G.; De Cooman, L. Flavor Activity of Sesquiterpene Oxidation Products, Formed upon Lab-Scale Boiling of a Hop Essential Oil–Derived Sesquiterpene Hydrocarbon Fraction (cv. Saaz). J. Am. Soc. Brew. Chem. 2018, 74, 65–76. [Google Scholar] [CrossRef]
- Convention, E.B. EBC Analytica, 13.13—Sensory Analysis: Routine Descriptive Test Guideline. 2004. Available online: https://brewup.eu/ebc-analytica/sensory/sensory-analysis-routine-descriptive-test-guideline/13.13 (accessed on 17 October 2022).
- Convention, E.B. EBC Analytica, 7.13—Hop Storage Index of Hops and Hop Pellets. 2007. Available online: https://brewup.eu/ebc-analytica/hops-and-hop-products/hop-storage-index-of-hops-and-hop-pellets/7.13 (accessed on 17 October 2022).
- Convention, E.B. EBC Analytica, 9.8—Bitterness of Beer (IM). 2020. Available online: https://brewup.eu/ebc-analytica/beer/bitterness-of-beer-im/9.8 (accessed on 17 October 2022).
- Convention, E.B. EBC Analytica, 7.7—α- and β-Acids in Hops and Hop Products by HPLC. 2012. Available online: https://brewup.eu/ebc-analytica/hops-and-hop-products/and-acids-in-hops-and-hop-products-by-hplc7/7.7 (accessed on 17 October 2022).
- Convention, E.B. EBC Analytica, 7.10—Hop Oil Content of Hops and Hop Products. 2002. Available online: https://brewup.eu/ebc-analytica/hops-and-hop-products/hop-oil-content-of-hops-and-hop-products/7.10 (accessed on 17 October 2022).
- Dennenlöhr, J.; Thörner, S.; Manowski, A.; Rettberg, N. Analysis of Selected Hop Aroma Compounds in Commercial Lager and Craft Beers Using HS-SPME-GC-MS/MS. J. Am. Soc. Brew. Chem. 2020, 78, 16–31. [Google Scholar] [CrossRef]
- King, A.J.; Dickinson, J.R. Biotransformation of hop aroma terpenoids by ale and lager yeasts. FEMS Yeast Res. 2003, 3, 53–62. [Google Scholar] [CrossRef]
- Takoi, K.; Koie, K.; Itoga, Y.; Katayama, Y.; Shimase, M.; Nakayama, Y.; Watari, J. Biotransformation of hop-derived monoterpene alcohols by lager yeast and their contribution to the flavor of hopped beer. J. Agric. Food Chem. 2010, 58, 5050–5058. [Google Scholar] [CrossRef]
- Praet, T.; Van Opstaele, F.; Jaskula-Goiris, B.; Aerts, G.; De Cooman, L. Biotransformations of hop-derived aroma compounds by Saccharomyces cerevisiae upon fermentation. Cerevisia 2012, 36, 125–132. [Google Scholar] [CrossRef]
- Yang, X.; Lederer, C.; McDaniel, M.; Deinzer, M. Hydrolysis products of caryophyllene oxide in hops and beer. J. Agric. Food Chem. 1993, 41, 2082–2085. [Google Scholar] [CrossRef]
- Taniguchi, Y.; Matsukura, Y.; Ozaki, H.; Nishimura, K.; Shindo, K. Identification and Quantification of the Oxidation Products Derived from α-Acids and β-Acids During Storage of Hops (Humulus lupulus L.). J. Agric. Food Chem. 2013, 61, 3121–3130. [Google Scholar] [CrossRef] [PubMed]







| Parameter | Value |
|---|---|
| SPME fibre | 50/30 μm DVB/CAR/PDMS (Supelco, Bellefonte, PA, USA) |
| Incubation time | 7.5 min |
| Extraction time | 20 min |
| Incubation temperature | 60 °C |
| Agitation rate | 500 rpm |
| Pre-desorption time | 20 min |
| Desorption temperature | 250 °C |
| Liner | Ultra Inert SPME Liner 0.75 mm |
| Split ratio | 1:20 |
| GC column | HP-5MS UI (30 m × 250 μm × 0.25 μm) (Agilent, Santa Clara, CA, USA) |
| Mobile phase | Helium (purity 5.0) |
| Temperature program | 50 °C–190 °C (10 °C/min) 190 °C–300 °C (70 °C/min), 1 min hold |
| Ion source temperature | 230 °C |
| MS quad temperature | 150 °C |
| Gain | 1.000 |
| Acquisition mode | SIM and SCAN |
| Variety | HSI | Essential Oil [mL/100 g] | Alpha-Acids [%] | Humulinones [%] |
|---|---|---|---|---|
| Celeia | 0.3 | 1.05 ± 0.04 | 3.19 ± 0.05 | 0.11 ± 0.01 |
| Celeia | 0.4 | 0.89 ± 0.03 | 2.38 ± 0.03 | 0.15 ± 0.01 |
| Celeia | 0.5 | 0.85 ± 0.03 | 2.06 ± 0.03 | 0.17 ± 0.01 |
| Celeia | 0.6 | 0.74 ± 0.03 | 1.80 ± 0.03 | 0.18 ± 0.01 |
| Celeia | 0.7 | 0.46 ± 0.02 | 1.60 ± 0.02 | 0.18 ± 0.01 |
| Aurora | 0.3 | 1.97 ± 0.08 | 12.36 ± 0.18 | 0.43 ± 0.03 |
| Aurora | 0.4 | 0.98 ± 0.04 | 10.38 ± 0.15 | 0.49 ± 0.03 |
| Aurora | 0.5 | 0.79 ± 0.03 | 8.36 ± 0.12 | 0.64 ± 0.04 |
| Aurora | 0.6 | 0.51 ± 0.02 | 7.36 ± 0.11 | 0.65 ± 0.04 |
| Aurora | 0.7 | 0.44 ± 0.02 | 6.05 ± 0.09 | 0.69 ± 0.04 |
| Styrian Wolf | 0.3 | 2.22 ± 0.09 | 11.87 ± 0.17 | 0.42 ± 0.03 |
| Styrian Wolf | 0.4 | 1.49 ± 0.06 | 8.66 ± 0.13 | 0.54 ± 0.03 |
| Styrian Wolf | 0.5 | 1.28 ± 0.05 | 9.21 ± 0.13 | 0.60 ± 0.04 |
| Styrian Wolf | 0.6 | 1.07 ± 0.04 | 7.71 ± 0.11 | 0.60 ± 0.04 |
| Styrian Wolf | 0.7 | 1.02 ± 0.04 | 7.66 ± 0.11 | 0.72 ± 0.05 |
| Variety | HSI | Boiling Time | Sampling | Myrcene [μg/L] | Linalool [μg/L] | Alpha-Terpineol [μg/L] | Beta-Citronellol [μg/L] | Geraniol [μg/L] | Beta-Caryophyllene [μg/L] | Alpha-Humulene [μg/L] | Caryophyllene Oxide [μg/L] | Humulene Epoxide I [rel. %] | Humulenol II [rel. %] |
|---|---|---|---|---|---|---|---|---|---|---|---|---|---|
| Celeia | 0.3 | 5 | boiling | 2956 ± 473 0 | 366 ± 32 0 | 44 ± 8 0 | 31 ± 2 0 | 131 ± 6 0 | 850 ± 34 0 | 385 ± 60 0 | 50 ± 5 0 | 0.21 ± 0.01 0 | 0.96 ± 0.06 0 |
| Celeia | 0.4 | 5 | boiling | 2427 ± 388 1 | 345 ± 30 0 | 41 ± 7 0 | 12 ± 1 1 | 107 ± 5 1 | 659 ± 27 1 | 293 ± 46 1 | 118 ± 13 1 | 0.61 ± 0.04 1 | 2.51 ± 0.16 1 |
| Celeia | 0.5 | 5 | boiling | 1805 ± 289 1 | 443 ± 39 1 | 62 ± 11 1 | 15 ± 1 1 | 103 ± 4 1 | 599 ± 24 1 | 304 ± 48 1 | 197 ± 21 1 | 0.97 ± 0.06 1 | 3.79 ± 0.25 1 |
| Celeia | 0.6 | 5 | boiling | 1009 ± 161 1 | 403 ± 36 1 | 55 ± 10 1 | 15 ± 1 1 | 122 ± 5 1 | 479 ± 19 1 | 263 ± 41 1 | 219 ± 23 1 | 1.33 ± 0.09 1 | 5.21 ± 0.34 1 |
| Celeia | 0.7 | 5 | boiling | 1047 ± 167 1 | 429 ± 38 1 | 60 ± 11 1 | 15 ± 1 1 | 93 ± 4 1 | 477 ± 19 1 | 250 ± 39 1 | 187 ± 20 1 | 1.3 ± 0.08 1 | 5.39 ± 0.35 1 |
| Celeia | 0.3 | 45 | boiling | 314 ± 50 0 | 227 ± 20 0 | 22 ± 4 0 | <LOD 0 | 107 ± 5 0 | 691 ± 28 0 | 338 ± 53 0 | 69 ± 7 0 | 0.33 ± 0.02 0 | 1.39 ± 0.09 0 |
| Celeia | 0.4 | 45 | boiling | 259 ± 41 0 | 280 ± 25 1 | 32 ± 6 1 | <LOD 0 | 122 ± 5 1 | 748 ± 30 1 | 347 ± 54 0 | 163 ± 17 1 | 0.77 ± 0.05 1 | 2.54 ± 0.16 1 |
| Celeia | 0.5 | 45 | boiling | 193 ± 31 0 | 249 ± 22 1 | 25 ± 4 1 | <LOD 0 | 82 ± 4 1 | 358 ± 14 1 | 203 ± 32 1 | 156 ± 17 1 | 1.16 ± 0.08 1 | 4.06 ± 0.26 1 |
| Celeia | 0.6 | 45 | boiling | 200 ± 32 0 | 270 ± 24 1 | 30 ± 5 1 | 12 ± 1 1 | 90 ± 4 1 | 450 ± 18 1 | 250 ± 39 1 | 212 ± 23 1 | 1.47 ± 0.10 1 | 4.63 ± 0.3 1 |
| Celeia | 0.7 | 45 | boiling | 211 ± 34 0 | 360 ± 32 1 | 44 ± 8 1 | 14 ± 1 1 | 98 ± 4 1 | 763 ± 31 1 | 350 ± 55 1 | 241 ± 26 1 | 1.22 ± 0.08 1 | 4.48 ± 0.29 1 |
| Celeia | 0.3 | 90 | boiling | 268 ± 43 0 | 259 ± 23 0 | 35 ± 6 0 | <LOD 0 | 98 ± 4 0 | 973 ± 39 0 | 445 ± 70 0 | 92 ± 10 0 | 0.43 ± 0.03 0 | 1.45 ± 0.09 0 |
| Celeia | 0.4 | 90 | boiling | 146 ± 23 1 | 228 ± 20 1 | 26 ± 5 1 | 15 ± 1 1 | 93 ± 4 1 | 276 ± 11 1 | 150 ± 23 1 | 106 ± 11 1 | 1.03 ± 0.07 1 | 3.7 ± 0.24 1 |
| Celeia | 0.5 | 90 | boiling | 129 ± 21 1 | 244 ± 21 1 | 30 ± 5 1 | 12 ± 1 1 | 87 ± 4 1 | 324 ± 13 1 | 202 ± 32 1 | 177 ± 19 1 | 1.42 ± 0.09 1 | 4.44 ± 0.29 1 |
| Celeia | 0.6 | 90 | boiling | 131 ± 21 1 | 185 ± 16 1 | 25 ± 4 1 | 15 ± 1 1 | 63 ± 3 1 | 256 ± 10 1 | 148 ± 23 1 | 145 ± 15 1 | 1.52 ± 0.10 1 | 5.66 ± 0.37 1 |
| Celeia | 0.7 | 90 | boiling | 147 ± 24 1 | 294 ± 26 1 | 39 ± 7 1 | 14 ± 1 1 | 102 ± 4 1 | 558 ± 22 1 | 286 ± 45 1 | 221 ± 24 1 | 1.46 ± 0.09 1 | 4.98 ± 0.32 1 |
| Celeia | 0.3 | 5 | fermentation | 163 ± 26 0 | 281 ± 25 0 | 391 ± 69 0 | 29 ± 2 0 | 55 ± 2 0 | 375 ± 15 0 | 183 ± 29 0 | 10 ± 1 0 | 0.10 ± 0.01 0 | 0.18 ± 0.01 0 |
| Celeia | 0.4 | 5 | fermentation | 123 ± 20 1 | 251 ± 22 0 | 315 ± 56 0 | 27 ± 2 0 | 42 ± 2 1 | 210 ± 8 1 | 115 ± 18 1 | 34 ± 4 1 | 0.30 ± 0.02 1 | 0.6 ± 0.04 1 |
| Celeia | 0.5 | 5 | fermentation | 93 ± 15 1 | 288 ± 25 0 | 369 ± 65 0 | 42 ± 3 1 | 35 ± 2 1 | 80 ± 3 1 | 49 ± 8 1 | 48 ± 5 1 | 0.59 ± 0.04 1 | 0.83 ± 0.05 1 |
| Celeia | 0.6 | 5 | fermentation | 81 ± 13 1 | 325 ± 29 1 | 347 ± 61 0 | 33 ± 3 1 | 49 ± 2 1 | 170 ± 7 1 | 107 ± 17 1 | 75 ± 8 1 | 0.59 ± 0.04 1 | 1.41 ± 0.09 1 |
| Celeia | 0.7 | 5 | fermentation | 101 ± 16 1 | 354 ± 31 1 | 364 ± 64 0 | 35 ± 3 1 | 40 ± 2 1 | 177 ± 7 1 | 115 ± 18 1 | 65 ± 7 1 | 0.58 ± 0.04 1 | 1.6 ± 0.1 1 |
| Celeia | 0.3 | 45 | fermentation | 59 ± 9 0 | 205 ± 18 0 | 419 ± 74 0 | 31 ± 2 0 | 43 ± 2 0 | 289 ± 12 0 | 179 ± 28 0 | 31 ± 3 0 | 0.19 ± 0.01 0 | 0.4 ± 0.03 0 |
| Celeia | 0.4 | 45 | fermentation | 61 ± 10 0 | 240 ± 21 1 | 414 ± 73 0 | 31 ± 2 0 | 47 ± 2 1 | 324 ± 13 1 | 195 ± 31 1 | 71 ± 8 1 | 0.44 ± 0.03 1 | 0.9 ± 0.06 1 |
| Celeia | 0.5 | 45 | fermentation | 59 ± 9 0 | 220 ± 19 1 | 449 ± 79 1 | 41 ± 3 1 | 42 ± 2 1 | 167 ± 7 1 | 117 ± 18 1 | 71 ± 8 1 | 0.61 ± 0.04 1 | 1.17 ± 0.08 1 |
| Celeia | 0.6 | 45 | fermentation | 67 ± 11 1 | 261 ± 23 1 | 375 ± 66 1 | 51 ± 4 1 | 39 ± 2 1 | 237 ± 10 1 | 162 ± 25 1 | 70 ± 7 1 | 0.75 ± 0.05 1 | 1.55 ± 0.10 1 |
| Celeia | 0.7 | 45 | fermentation | 66 ± 11 1 | 275 ± 24 1 | 393 ± 69 1 | 49 ± 4 1 | 39 ± 2 1 | 293 ± 12 1 | 196 ± 31 1 | 94 ± 10 1 | 0.76 ± 0.05 1 | 1.98 ± 0.13 1 |
| Celeia | 0.3 | 90 | fermentation | 70 ± 11 0 | 219 ± 19 0 | 461 ± 81 0 | 27 ± 2 0 | 44 ± 2 0 | 301 ± 12 0 | 186 ± 29 0 | 25 ± 3 0 | 0.19 ± 0.01 0 | 0.4 ± 0.03 0 |
| Celeia | 0.4 | 90 | fermentation | 52 ± 8 1 | 188 ± 17 1 | 481 ± 85 0 | 24 ± 2 1 | 41 ± 2 1 | 93 ± 4 1 | 62 ± 10 1 | 33 ± 4 1 | 0.31 ± 0.02 1 | 0.85 ± 0.06 1 |
| Celeia | 0.5 | 90 | fermentation | 50 ± 8 1 | 192 ± 17 1 | 454 ± 80 0 | 40 ± 3 1 | 36 ± 2 1 | 116 ± 5 1 | 87 ± 14 1 | 54 ± 6 1 | 0.5 ± 0.03 1 | 1.31 ± 0.08 1 |
| Celeia | 0.6 | 90 | fermentation | 49 ± 8 1 | 155 ± 14 1 | 402 ± 71 1 | 29 ± 2 1 | 36 ± 2 1 | 89 ± 4 1 | 63 ± 10 1 | 45 ± 5 1 | 0.45 ± 0.03 1 | 1.57 ± 0.10 1 |
| Celeia | 0.7 | 90 | fermentation | 88 ± 14 1 | 265 ± 23 1 | 451 ± 80 1 | 47 ± 4 1 | 45 ± 2 1 | 200 ± 8 1 | 143 ± 22 1 | 73 ± 8 1 | 0.73 ± 0.05 1 | 2.07 ± 0.13 1 |
| Celeia | 0.3 | 5 | maturation | 123 ± 20 0 | 420 ± 37 0 | 352 ± 62 0 | 33 ± 3 0 | 73 ± 3 0 | 55 ± 2 0 | 28 ± 4 0 | 32 ± 3 0 | 0.17 ± 0.01 0 | 0.23 ± 0.01 0 |
| Celeia | 0.4 | 5 | maturation | 23 ± 4 1 | 364 ± 32 0 | 315 ± 56 0 | 37 ± 3 1 | 63 ± 3 1 | 51 ± 2 1 | 28 ± 4 0 | 41 ± 4 0 | 0.58 ± 0.04 1 | 0.78 ± 0.05 1 |
| Celeia | 0.5 | 5 | maturation | 21 ± 3 1 | 500 ± 44 1 | 329 ± 58 0 | 47 ± 4 1 | 65 ± 3 1 | 50 ± 2 1 | 30 ± 5 0 | 80 ± 9 1 | 0.91 ± 0.06 1 | 1.15 ± 0.07 1 |
| Celeia | 0.6 | 5 | maturation | <LOD 1 | 481 ± 42 1 | 334 ± 59 0 | 51 ± 4 1 | 65 ± 3 1 | 62 ± 3 1 | 38 ± 6 1 | 98 ± 10 1 | 1.22 ± 0.08 1 | 1.92 ± 0.12 1 |
| Celeia | 0.7 | 5 | maturation | 22 ± 4 1 | 533 ± 47 1 | 298 ± 53 0 | 59 ± 5 1 | 58 ± 2 1 | 60 ± 2 1 | 38 ± 6 1 | 86 ± 9 1 | 1.31 ± 0.08 1 | 2.48 ± 0.16 1 |
| Celeia | 0.3 | 45 | maturation | <LOD 0 | 297 ± 26 0 | 330 ± 58 0 | 30 ± 2 0 | 63 ± 3 0 | 49 ± 2 0 | 31 ± 5 0 | 15 ± 2 0 | 0.28 ± 0.02 0 | 0.44 ± 0.03 0 |
| Celeia | 0.4 | 45 | maturation | <LOD 0 | 305 ± 27 0 | 350 ± 62 0 | 41 ± 3 1 | 55 ± 2 1 | 58 ± 2 1 | 26 ± 4 1 | 58 ± 6 1 | 0.91 ± 0.06 1 | 1.19 ± 0.08 1 |
| Celeia | 0.5 | 45 | maturation | <LOD 0 | 326 ± 29 1 | 370 ± 65 1 | 42 ± 3 1 | 56 ± 2 1 | 24 ± 1 1 | 15 ± 2 1 | 79 ± 8 1 | 1.06 ± 0.07 1 | 1.72 ± 0.11 1 |
| Celeia | 0.6 | 45 | maturation | <LOD 0 | 367 ± 32 1 | 231 ± 41 1 | 62 ± 5 1 | 56 ± 2 1 | 30 ± 1 1 | 19 ± 3 1 | 76 ± 8 1 | 1.51 ± 0.10 1 | 2.98 ± 0.19 1 |
| Celeia | 0.7 | 45 | maturation | <LOD 0 | 407 ± 36 1 | 291 ± 51 1 | 65 ± 5 1 | 58 ± 3 1 | 27 ± 1 1 | 11 ± 2 1 | 95 ± 10 1 | 1.62 ± 0.10 1 | 3.43 ± 0.22 1 |
| Celeia | 0.3 | 90 | maturation | <LOD 0 | 268 ± 24 0 | 339 ± 60 0 | 29 ± 2 0 | 58 ± 2 0 | 62 ± 2 0 | 37 ± 6 0 | 15 ± 2 0 | 0.34 ± 0.02 0 | 0.48 ± 0.03 0 |
| Celeia | 0.4 | 90 | maturation | 26 ± 4 1 | 243 ± 21 1 | 309 ± 54 1 | 32 ± 2 1 | 45 ± 2 1 | 21 ± 1 1 | 11 ± 2 1 | 32 ± 3 1 | 0.71 ± 0.05 1 | 1.4 ± 0.09 1 |
| Celeia | 0.5 | 90 | maturation | <LOD 1 | 296 ± 26 1 | 372 ± 66 1 | 42 ± 3 1 | 56 ± 2 1 | 23 ± 1 1 | 14 ± 2 1 | 58 ± 6 1 | 1.02 ± 0.07 1 | 2.04 ± 0.13 1 |
| Celeia | 0.6 | 90 | maturation | <LOD 1 | 207 ± 18 1 | 313 ± 55 1 | 51 ± 4 1 | 39 ± 2 1 | 14 ± 1 1 | 7 ± 1 1 | 46 ± 5 1 | 1.72 ± 0.11 1 | 3.72 ± 0.24 1 |
| Celeia | 0.7 | 90 | maturation | <LOD 1 | 367 ± 32 1 | 347 ± 61 1 | 55 ± 4 1 | 56 ± 2 1 | 15 ± 1 1 | 4 ± 1 1 | 77 ± 8 1 | 1.85 ± 0.12 1 | 4.12 ± 0.27 1 |
| Variety | HSI | Boiling Time | Sampling | Myrcene [μg/L] | Linalool [μg/L] | Alpha-Terpineol [μg/L] | Beta-Citronellol [μg/L] | Geraniol [μg/L] | Beta-Caryophyllene [μg/L] | Alpha-Humulene. [μg/L] | Caryophyllene Oxide [μg/L] | Humulene Epoxide I [rel. %] | Humulenol II [rel. %] |
|---|---|---|---|---|---|---|---|---|---|---|---|---|---|
| Aurora | 0.3 | 5 | boiling | 2186 ± 350 0 | 852 ± 75 0 | 108 ± 19 0 | 27 ± 2 0 | 271 ± 12 0 | 405 ± 16 0 | 270 ± 42 0 | 25 ± 3 0 | 0.27 ± 0.02 0 | 1.20 ± 0.08 0 |
| Aurora | 0.4 | 5 | boiling | 1894 ± 303 1 | 503 ± 44 1 | 98 ± 17 0 | 18 ± 1 1 | 169 ± 7 1 | 306 ± 12 1 | 217 ± 34 0 | 35 ± 4 1 | 0.47 ± 0.03 0 | 2.06 ± 0.13 0 |
| Aurora | 0.5 | 5 | boiling | 701 ± 112 1 | 449 ± 40 1 | 86 ± 15 0 | 18 ± 1 1 | 141 ± 6 1 | 130 ± 5 1 | 106 ± 17 1 | 38 ± 4 1 | 1.07 ± 0.07 1 | 4.87 ± 0.32 1 |
| Aurora | 0.6 | 5 | boiling | 609 ± 97 1 | 589 ± 52 1 | 120 ± 21 0 | 19 ± 1 1 | 151 ± 6 1 | 129 ± 5 1 | 119 ± 19 1 | 14 ± 2 1 | 1.30 ± 0.08 1 | 5.47 ± 0.35 1 |
| Aurora | 0.7 | 5 | boiling | 334 ± 53 1 | 568 ± 50 1 | 103 ± 18 0 | 19 ± 1 1 | 144 ± 6 1 | 77 ± 3 1 | 75 ± 12 1 | 11 ± 1 1 | 1.62 ± 0.1 1 | 7.34 ± 0.48 1 |
| Aurora | 0.3 | 45 | boiling | 3164 ± 506 0 | 517 ± 46 0 | 119 ± 21 0 | 20 ± 1 0 | 183 ± 8 0 | 832 ± 34 0 | 472 ± 74 0 | 33 ± 4 0 | 0.23 ± 0.01 0 | 0.84 ± 0.05 0 |
| Aurora | 0.4 | 45 | boiling | 860 ± 137 1 | 383 ± 34 1 | 78 ± 14 | 17 ± 1 1 | 151 ± 6 1 | 408 ± 16 1 | 282 ± 44 1 | 38 ± 4 1 | 0.66 ± 0.04 1 | 2.47 ± 0.16 1 |
| Aurora | 0.5 | 45 | boiling | 294 ± 47 1 | 271 ± 24 1 | 49 ± 9 | 16 ± 1 1 | 108 ± 5 1 | 103 ± 4 1 | 86 ± 13 1 | 30 ± 3 1 | 1.35 ± 0.09 1 | 6.18 ± 0.4 1 |
| Aurora | 0.6 | 45 | boiling | 219 ± 35 1 | 300 ± 26 1 | 50 ± 9 | 15 ± 1 1 | 125 ± 5 1 | 99 ± 4 1 | 90 ± 14 1 | 40 ± 4 1 | 1.78 ± 0.12 1 | 7.47 ± 0.48 1 |
| Aurora | 0.7 | 45 | boiling | 199 ± 32 1 | 253 ± 22 1 | 52 ± 9 | 21 ± 2 1 | 117 ± 5 1 | 66 ± 3 1 | 59 ± 9 1 | 8 ± 1 1 | 1.94 ± 0.13 1 | 9.63 ± 0.62 1 |
| Aurora | 0.3 | 90 | boiling | 514 ± 82 0 | 553 ± 49 0 | 124 ± 22 0 | 19 ± 1 0 | 216 ± 9 0 | 423 ± 17 0 | 284 ± 44 0 | 39 ± 4 0 | 0.48 ± 0.03 0 | 1.42 ± 0.09 0 |
| Aurora | 0.4 | 90 | boiling | 314 ± 50 1 | 293 ± 26 1 | 57 ± 10 | 24 ± 2 1 | 134 ± 6 1 | 369 ± 15 1 | 275 ± 43 0 | 47 ± 5 1 | 0.85 ± 0.06 1 | 2.79 ± 0.18 1 |
| Aurora | 0.5 | 90 | boiling | 153 ± 24 1 | 233 ± 21 1 | 46 ± 8 | 12 ± 1 1 | 103 ± 4 1 | 62 ± 3 1 | 55 ± 9 1 | 4 ± 0 1 | 1.64 ± 0.11 1 | 7.01 ± 0.45 1 |
| Aurora | 0.6 | 90 | boiling | 137 ± 22 1 | 245 ± 22 1 | 49 ± 9 | 16 ± 1 1 | 122 ± 5 1 | 54 ± 2 1 | 54 ± 9 1 | 11 ± 1 1 | 1.37 ± 0.09 1 | 7.59 ± 0.49 1 |
| Aurora | 0.7 | 90 | boiling | 124 ± 20 1 | 169 ± 15 1 | 37 ± 7 | 20 ± 2 1 | 100 ± 4 1 | 63 ± 3 1 | 56 ± 9 1 | 24 ± 3 1 | 2.05 ± 0.13 1 | 9.20 ± 0.60 1 |
| Aurora | 0.3 | 5 | fermentation | 257 ± 41 0 | 804 ± 71 0 | 385 ± 68 0 | 67 ± 5 0 | 101 ± 4 0 | 157 ± 6 0 | 126 ± 20 0 | 95 ± 10 0 | 0.21 ± 0.01 0 | 0.31 ± 0.02 0 |
| Aurora | 0.4 | 5 | fermentation | 151 ± 24 1 | 501 ± 44 1 | 478 ± 84 0 | 39 ± 3 1 | 63 ± 3 1 | 170 ± 7 1 | 147 ± 23 0 | 105 ± 11 0 | 0.34 ± 0.02 1 | 0.63 ± 0.04 1 |
| Aurora | 0.5 | 5 | fermentation | 130 ± 21 1 | 393 ± 35 1 | 386 ± 68 0 | 39 ± 3 1 | 45 ± 2 1 | 74 ± 3 1 | 65 ± 10 1 | 41 ± 4 1 | 0.37 ± 0.02 1 | 0.92 ± 0.06 1 |
| Aurora | 0.6 | 5 | fermentation | 121 ± 19 1 | 432 ± 38 1 | 296 ± 52 | 36 ± 3 1 | 46 ± 2 1 | 48 ± 2 1 | 51 ± 8 1 | 14 ± 2 1 | 0.53 ± 0.03 1 | 1.70 ± 0.11 1 |
| Aurora | 0.7 | 5 | fermentation | 121 ± 19 1 | 357 ± 31 1 | 257 ± 45 | 37 ± 3 1 | 40 ± 2 1 | 34 ± 1 1 | 30 ± 5 1 | 26 ± 3 1 | 0.49 ± 0.03 1 | 1.72 ± 0.11 1 |
| Aurora | 0.3 | 45 | fermentation | 154 ± 25 0 | 482 ± 42 0 | 478 ± 84 0 | 44 ± 3 0 | 69 ± 3 0 | 249 ± 10 0 | 214 ± 34 0 | 123 ± 13 0 | 0.28 ± 0.02 0 | 0.42 ± 0.03 0 |
| Aurora | 0.4 | 45 | fermentation | 111 ± 18 1 | 354 ± 31 1 | 490 ± 86 0 | 37 ± 3 1 | 54 ± 2 1 | 178 ± 7 1 | 172 ± 27 1 | 45 ± 5 1 | 0.27 ± 0.02 0 | 0.76 ± 0.05 1 |
| Aurora | 0.5 | 45 | fermentation | 73 ± 12 1 | 212 ± 19 1 | 340 ± 60 | 34 ± 3 1 | 39 ± 2 1 | 46 ± 2 1 | 43 ± 7 1 | 21 ± 2 1 | 0.38 ± 0.02 1 | 1.32 ± 0.09 1 |
| Aurora | 0.6 | 45 | fermentation | 71 ± 11 1 | 206 ± 18 1 | 309 ± 54 1 | 30 ± 2 1 | 35 ± 2 1 | 35 ± 1 1 | 37 ± 6 1 | 1 ± 0 1 | 0.50 ± 0.03 1 | 1.74 ± 0.11 1 |
| Aurora | 0.7 | 45 | fermentation | 59 ± 9 1 | 177 ± 16 1 | 305 ± 54 1 | 28 ± 2 1 | 36 ± 2 1 | 26 ± 1 1 | 28 ± 4 1 | 30 ± 3 1 | 0.49 ± 0.03 1 | 2.35 ± 0.15 1 |
| Aurora | 0.3 | 90 | fermentation | 138 ± 22 0 | 508 ± 45 0 | 402 ± 71 0 | 44 ± 3 0 | 66 ± 3 0 | 109 ± 4 0 | 96 ± 15 0 | 132 ± 14 0 | 0.39 ± 0.03 0 | 0.44 ± 0.03 0 |
| Aurora | 0.4 | 90 | fermentation | 81 ± 13 1 | 258 ± 23 1 | 425 ± 75 0 | 33 ± 3 1 | 50 ± 2 1 | 138 ± 6 1 | 133 ± 21 1 | 47 ± 5 1 | 0.37 ± 0.02 1 | 0.95 ± 0.06 1 |
| Aurora | 0.5 | 90 | fermentation | 61 ± 10 1 | 136 ± 12 1 | 337 ± 59 1 | 27 ± 2 1 | 37 ± 2 1 | 29 ± 1 1 | 27 ± 4 1 | 40 ± 4 1 | 0.35 ± 0.02 1 | 1.20 ± 0.08 1 |
| Aurora | 0.6 | 90 | fermentation | 63 ± 10 1 | 194 ± 17 1 | 325 ± 57 1 | 29 ± 2 1 | 35 ± 2 1 | 25 ± 1 1 | 22 ± 4 1 | 44 ± 5 1 | 0.34 ± 0.02 1 | 1.52 ± 0.10 1 |
| Aurora | 0.7 | 90 | fermentation | 73 ± 12 1 | 219 ± 19 1 | 328 ± 58 1 | 51 ± 4 1 | 34 ± 1 1 | 18 ± 1 1 | 20 ± 3 1 | 41 ± 4 1 | 0.53 ± 0.03 1 | 2.09 ± 0.14 1 |
| Aurora | 0.3 | 5 | maturation | 71 ± 11 0 | 1032 ± 91 0 | 327 ± 58 0 | 81 ± 6 0 | 140 ± 6 0 | 31 ± 1 0 | 23 ± 4 0 | 94 ± 10 0 | 0.31 ± 0.02 0 | 0.37 ± 0.02 0 |
| Aurora | 0.4 | 5 | maturation | 52 ± 8 1 | 659 ± 58 1 | 415 ± 73 0 | 67 ± 5 1 | 86 ± 4 1 | 33 ± 1 0 | 22 ± 3 0 | 22 ± 2 1 | 0.41 ± 0.03 1 | 0.58 ± 0.04 1 |
| Aurora | 0.5 | 5 | maturation | 35 ± 6 1 | 560 ± 49 1 | 276 ± 49 1 | 60 ± 5 1 | 77 ± 3 1 | 33 ± 1 0 | 24 ± 4 0 | 23 ± 2 1 | 0.55 ± 0.04 1 | 1.4 ± 0.09 1 |
| Aurora | 0.6 | 5 | maturation | 45 ± 7 1 | 675 ± 59 1 | 285 ± 50 1 | 56 ± 4 1 | 77 ± 3 1 | 48 ± 2 1 | 42 ± 7 1 | 24 ± 3 1 | 0.77 ± 0.05 1 | 2.14 ± 0.14 1 |
| Aurora | 0.7 | 5 | maturation | 41 ± 7 1 | 656 ± 58 1 | 208 ± 37 1 | 56 ± 4 1 | 70 ± 3 1 | 28 ± 1 1 | 23 ± 4 1 | 2 ± 0 1 | 0.96 ± 0.06 1 | 3.28 ± 0.21 1 |
| Aurora | 0.3 | 45 | maturation | 63 ± 10 0 | 667 ± 59 0 | 419 ± 74 0 | 53 ± 4 0 | 105 ± 5 0 | 144 ± 6 0 | 117 ± 18 0 | 119 ± 13 0 | 0.31 ± 0.02 0 | 0.35 ± 0.02 0 |
| Aurora | 0.4 | 45 | maturation | 38 ± 6 1 | 494 ± 44 1 | 415 ± 73 0 | 52 ± 4 0 | 80 ± 3 1 | 103 ± 4 1 | 86 ± 13 1 | 19 ± 2 1 | 0.53 ± 0.03 1 | 1.15 ± 0.07 1 |
| Aurora | 0.5 | 45 | maturation | 25 ± 4 1 | 290 ± 26 1 | 302 ± 53 1 | 56 ± 4 1 | 58 ± 2 1 | 30 ± 1 1 | 19 ± 3 1 | 3 ± 0 1 | 0.66 ± 0.04 1 | 2.2 ± 0.14 1 |
| Aurora | 0.6 | 45 | maturation | 27 ± 4 1 | 328 ± 29 1 | 235 ± 42 1 | 50 ± 4 1 | 58 ± 3 1 | 15 ± 1 1 | 12 ± 2 1 | 1 ± 0 1 | 1.07 ± 0.07 1 | 3.4 ± 0.22 1 |
| Aurora | 0.7 | 45 | maturation | 25 ± 4 1 | 294 ± 26 1 | 307 ± 54 1 | 67 ± 5 1 | 56 ± 2 1 | 16 ± 1 1 | 14 ± 2 1 | 1 ± 0 1 | 0.90 ± 0.06 1 | 3.87 ± 0.25 1 |
| Aurora | 0.3 | 90 | maturation | 60 ± 10 0 | 665 ± 59 0 | 386 ± 68 0 | 52 ± 4 0 | 89 ± 4 0 | 66 ± 3 0 | 55 ± 9 0 | 143 ± 15 0 | 0.36 ± 0.02 0 | 0.41 ± 0.03 0 |
| Aurora | 0.4 | 90 | maturation | 29 ± 5 1 | 364 ± 32 1 | 351 ± 62 1 | 67 ± 5 1 | 70 ± 3 1 | 79 ± 3 1 | 68 ± 11 1 | 21 ± 2 1 | 0.65 ± 0.04 1 | 1.55 ± 0.10 1 |
| Aurora | 0.5 | 90 | maturation | < LOD 1 | 193 ± 17 1 | 259 ± 46 1 | 51 ± 4 1 | 56 ± 2 1 | 17 ± 1 1 | 13 ± 2 1 | 46 ± 5 1 | 0.68 ± 0.04 1 | 2.44 ± 0.16 1 |
| Aurora | 0.6 | 90 | maturation | 24 ± 4 1 | 279 ± 25 1 | 273 ± 48 1 | 50 ± 4 1 | 58 ± 2 1 | 13 ± 1 1 | 9 ± 1 1 | 88 ± 9 1 | 0.50 ± 0.03 1 | 2.48 ± 0.16 1 |
| Aurora | 0.7 | 90 | maturation | 27 ± 4 1 | 276 ± 24 1 | 260 ± 46 1 | 44 ± 3 1 | 55 ± 2 1 | 9 ± 0 1 | 6 ± 1 1 | 16 ± 2 1 | 0.98 ± 0.06 1 | 3.70 ± 0.24 1 |
| Variety | HSI | Boiling Time | Sampling | Myrcene [μg/L] | Linalool [μg/L] | Alpha-Terpineol [μg/L] | Beta-Citronellol [μg/L] | Geraniol [μg/L] | Beta-Caryophyllene [μg/L] | Alpha-Humulene [μg/L] | Caryophyllene Oxide [μg/L] | Humulene Epoxide I [rel. %] | Humulenol II [rel. %] |
|---|---|---|---|---|---|---|---|---|---|---|---|---|---|
| Styrian Wolf | 0.3 | 5 | boiling | 3508 ± 561 0 | 782 ± 69 0 | 48 ± 8 0 | 30 ± 2 0 | 536 ± 23 0 | 427 ± 17 0 | 236 ± 37 0 | 33 ± 4 0 | 0.3 ± 0.02 0 | 1.18 ± 0.08 0 |
| Styrian Wolf | 0.4 | 5 | boiling | 1461 ± 234 1 | 845 ± 74 0 | 54 ± 10 0 | 29 ± 2 0 | 452 ± 19 1 | 286 ± 12 1 | 167 ± 26 0 | 61 ± 7 1 | 0.48 ± 0.03 1 | 1.89 ± 0.12 1 |
| Styrian Wolf | 0.5 | 5 | boiling | 1347 ± 215 1 | 806 ± 71 0 | 55 ± 10 0 | 32 ± 2 0 | 480 ± 21 1 | 282 ± 11 1 | 165 ± 26 0 | 50 ± 5 1 | 0.57 ± 0.04 1 | 2.26 ± 0.15 1 |
| Styrian Wolf | 0.6 | 5 | boiling | 1202 ± 192 1 | 778 ± 69 0 | 55 ± 10 0 | 29 ± 2 0 | 417 ± 18 1 | 176 ± 7 1 | 112 ± 18 1 | 53 ± 6 1 | 0.76 ± 0.05 1 | 3.05 ± 0.2 1 |
| Styrian Wolf | 0.7 | 5 | boiling | 1081 ± 173 1 | 967 ± 85 0 | 72 ± 13 0 | 38 ± 3 0 | 531 ± 23 1 | 186 ± 7 1 | 124 ± 19 1 | 54 ± 6 1 | 0.8 ± 0.05 1 | 3.52 ± 0.23 1 |
| Styrian Wolf | 0.3 | 45 | boiling | 1274 ± 204 0 | 755 ± 67 0 | 58 ± 10 0 | 31 ± 2 0 | 548 ± 24 0 | 479 ± 19 0 | 261 ± 41 0 | 45 ± 5 0 | 0.35 ± 0.02 0 | 1.16 ± 0.08 0 |
| Styrian Wolf | 0.4 | 45 | boiling | 389 ± 62 1 | 362 ± 32 1 | 38 ± 7 1 | 24 ± 2 1 | 404 ± 17 1 | 266 ± 11 1 | 175 ± 27 1 | 79 ± 8 1 | 0.87 ± 0.06 1 | 2.82 ± 0.18 1 |
| Styrian Wolf | 0.5 | 45 | boiling | 421 ± 67 1 | 475 ± 42 1 | 47 ± 8 1 | 27 ± 2 1 | 428 ± 18 1 | 305 ± 12 1 | 179 ± 28 1 | 23 ± 3 1 | 0.69 ± 0.04 1 | 2.52 ± 0.16 1 |
| Styrian Wolf | 0.6 | 45 | boiling | 401 ± 64 1 | 398 ± 35 1 | 45 ± 8 1 | 24 ± 2 1 | 322 ± 14 1 | 223 ± 9 1 | 100 ± 16 1 | 29 ± 3 1 | 1.60 ± 0.10 1 | 5.79 ± 0.38 1 |
| Styrian Wolf | 0.7 | 45 | boiling | 316 ± 51 1 | 319 ± 28 1 | 44 ± 8 1 | 20 ± 1 1 | 293 ± 13 1 | 108 ± 4 1 | 67 ± 10 1 | 32 ± 3 1 | 1.06 ± 0.07 1 | 4.90 ± 0.32 1 |
| Styrian Wolf | 0.3 | 90 | boiling | 970 ± 155 0 | 803 ± 71 0 | 73 ± 13 0 | 38 ± 3 0 | 635 ± 27 0 | 377 ± 15 0 | 222 ± 35 0 | 72 ± 8 0 | 0.58 ± 0.04 0 | 1.59 ± 0.10 0 |
| Styrian Wolf | 0.4 | 90 | boiling | 324 ± 52 1 | 479 ± 42 1 | 50 ± 9 1 | 30 ± 2 1 | 506 ± 22 1 | 251 ± 10 1 | 143 ± 22 1 | 61 ± 6 1 | 0.59 ± 0.04 0 | 1.89 ± 0.12 1 |
| Styrian Wolf | 0.5 | 90 | boiling | 321 ± 51 1 | 498 ± 44 1 | 52 ± 9 1 | 27 ± 2 1 | 405 ± 17 1 | 285 ± 12 1 | 165 ± 26 1 | 45 ± 5 1 | 0.62 ± 0.04 1 | 1.94 ± 0.13 1 |
| Styrian Wolf | 0.6 | 90 | boiling | 216 ± 35 1 | 323 ± 28 1 | 47 ± 8 1 | 23 ± 2 1 | 326 ± 14 1 | 68 ± 3 1 | 50 ± 8 1 | 12 ± 1 1 | 1.06 ± 0.07 1 | 4.02 ± 0.26 1 |
| Styrian Wolf | 0.7 | 90 | boiling | 229 ± 37 1 | 376 ± 33 1 | 52 ± 9 1 | 26 ± 2 1 | 353 ± 15 1 | 134 ± 5 1 | 92 ± 14 1 | 9 ± 1 1 | 0.99 ± 0.06 1 | 3.65 ± 0.24 1 |
| Styrian Wolf | 0.3 | 5 | fermentation | 349 ± 56 0 | 599 ± 53 0 | 391 ± 69 0 | 116 ± 9 0 | 152 ± 7 0 | 132 ± 5 0 | 93 ± 15 0 | 1 ± 1 0 | 0.15 ± 0.01 0 | 0.31 ± 0.02 0 |
| Styrian Wolf | 0.4 | 5 | fermentation | 279 ± 45 0 | 688 ± 61 0 | 378 ± 67 0 | 133 ± 10 0 | 154 ± 7 0 | 112 ± 5 1 | 80 ± 13 0 | 14 ± 2 1 | 0.23 ± 0.01 1 | 0.51 ± 0.03 1 |
| Styrian Wolf | 0.5 | 5 | fermentation | 248 ± 40 1 | 504 ± 44 1 | 358 ± 63 0 | 151 ± 12 1 | 121 ± 5 1 | 119 ± 5 1 | 96 ± 15 0 | 5 ± 1 1 | 0.33 ± 0.02 1 | 1.01 ± 0.07 1 |
| Styrian Wolf | 0.6 | 5 | fermentation | 238 ± 38 1 | 536 ± 47 1 | 366 ± 65 0 | 104 ± 8 1 | 110 ± 5 1 | 81 ± 3 1 | 63 ± 10 1 | 4 ± 0 1 | 0.32 ± 0.02 1 | 0.89 ± 0.06 1 |
| Styrian Wolf | 0.7 | 5 | fermentation | 239 ± 38 1 | 641 ± 56 1 | 342 ± 60 0 | 121 ± 9 1 | 106 ± 5 1 | 60 ± 2 1 | 47 ± 7 1 | 2 ± 1 1 | 0.34 ± 0.02 1 | 1.11 ± 0.07 1 |
| Styrian Wolf | 0.3 | 45 | fermentation | 298 ± 48 0 | 607 ± 53 0 | 405 ± 72 0 | 132 ± 10 0 | 151 ± 7 0 | 146 ± 6 0 | 103 ± 16 0 | 38 ± 4 0 | 0.19 ± 0.01 0 | 0.42 ± 0.03 0 |
| Styrian Wolf | 0.4 | 45 | fermentation | 128 ± 20 1 | 235 ± 21 1 | 374 ± 66 1 | 78 ± 6 1 | 90 ± 4 1 | 97 ± 4 1 | 82 ± 13 1 | 4 ± 1 1 | 0.35 ± 0.02 1 | 0.83 ± 0.05 1 |
| Styrian Wolf | 0.5 | 45 | fermentation | 168 ± 27 1 | 319 ± 28 1 | 364 ± 64 1 | 95 ± 7 1 | 13 ± 1 1 | 103 ± 4 1 | 85 ± 13 1 | 4 ± 1 1 | 0.28 ± 0.02 1 | 0.74 ± 0.05 1 |
| Styrian Wolf | 0.6 | 45 | fermentation | 131 ± 21 1 | 250 ± 22 1 | 374 ± 66 | 78 ± 6 1 | 82 ± 4 1 | 39 ± 2 1 | 31 ± 5 1 | 6 ± 1 1 | 0.38 ± 0.02 1 | 1.33 ± 0.09 1 |
| Styrian Wolf | 0.7 | 45 | fermentation | 127 ± 20 1 | 246 ± 22 1 | 403 ± 71 | 70 ± 5 1 | 13 ± 1 1 | 39 ± 2 1 | 29 ± 5 1 | 6 ± 1 1 | 0.33 ± 0.02 1 | 1.49 ± 0.10 1 |
| Styrian Wolf | 0.3 | 90 | fermentation | 297 ± 48 0 | 665 ± 59 0 | 448 ± 79 0 | 133 ± 10 0 | 150 ± 6 0 | 136 ± 5 0 | 103 ± 16 0 | 40 ± 4 0 | 0.22 ± 0.01 0 | 0.56 ± 0.04 0 |
| Styrian Wolf | 0.4 | 90 | fermentation | 193 ± 31 1 | 472 ± 42 1 | 465 ± 82 0 | 115 ± 9 1 | 119 ± 5 1 | 106 ± 4 1 | 84 ± 13 1 | 5 ± 1 1 | 0.27 ± 0.02 1 | 0.87 ± 0.06 1 |
| Styrian Wolf | 0.5 | 90 | fermentation | 275 ± 44 1 | 581 ± 51 1 | 360 ± 64 1 | 118 ± 9 1 | 135 ± 6 1 | 92 ± 4 1 | 63 ± 10 1 | 1 ± 1 1 | 0.22 ± 0.01 1 | 0.48 ± 0.03 1 |
| Styrian Wolf | 0.6 | 90 | fermentation | 149 ± 24 1 | 279 ± 25 1 | 364 ± 64 1 | 82 ± 6 1 | 85 ± 4 1 | 27 ± 1 1 | 23 ± 4 1 | 8 ± 1 1 | 0.36 ± 0.02 1 | 1.33 ± 0.09 1 |
| Styrian Wolf | 0.7 | 90 | fermentation | 154 ± 25 1 | 289 ± 25 1 | 348 ± 61 1 | 96 ± 7 1 | 86 ± 4 1 | 45 ± 2 1 | 42 ± 7 1 | 9 ± 1 1 | 0.44 ± 0.03 1 | 1.54 ± 0.10 1 |
| Styrian Wolf | 0.3 | 5 | maturation | 163 ± 26 0 | 917 ± 81 0 | 393 ± 69 0 | 147 ± 11 0 | 269 ± 12 0 | 66 ± 3 0 | 45 ± 7 0 | 14 ± 1 0 | 0.22 ± 0.01 0 | 0.38 ± 0.02 0 |
| Styrian Wolf | 0.4 | 5 | maturation | 134 ± 21 0 | 930 ± 82 0 | 344 ± 61 0 | 138 ± 11 0 | 230 ± 10 1 | 53 ± 2 1 | 37 ± 6 0 | 23 ± 2 1 | 0.32 ± 0.02 1 | 0.68 ± 0.04 1 |
| Styrian Wolf | 0.5 | 5 | maturation | 90 ± 14 1 | 670 ± 59 1 | 318 ± 56 0 | 216 ± 16 1 | 186 ± 8 1 | 41 ± 2 1 | 29 ± 5 1 | 8 ± 1 1 | 0.61 ± 0.04 1 | 1.94 ± 0.13 1 |
| Styrian Wolf | 0.6 | 5 | maturation | 104 ± 17 1 | 720 ± 63 1 | 257 ± 45 1 | 106 ± 8 1 | 172 ± 7 1 | 29 ± 1 1 | 20 ± 3 1 | 14 ± 1 1 | 0.51 ± 0.03 1 | 1.43 ± 0.09 1 |
| Styrian Wolf | 0.7 | 5 | maturation | 117 ± 19 1 | 850 ± 75 1 | 327 ± 58 1 | 128 ± 10 1 | 200 ± 9 1 | 22 ± 1 1 | 16 ± 3 1 | 6 ± 1 1 | 0.54 ± 0.03 1 | 1.67 ± 0.11 1 |
| Styrian Wolf | 0.3 | 45 | maturation | 133 ± 21 0 | 829 ± 73 0 | 353 ± 62 0 | 155 ± 12 0 | 245 ± 11 0 | 104 ± 4 0 | 71 ± 11 0 | 2 ± 1 0 | 0.24 ± 0.02 0 | 0.43 ± 0.03 0 |
| Styrian Wolf | 0.4 | 45 | maturation | 73 ± 12 1 | 379 ± 33 1 | 352 ± 62 0 | 118 ± 9 1 | 155 ± 7 1 | 49 ± 2 1 | 38 ± 6 1 | 6 ± 1 1 | 0.54 ± 0.03 1 | 1.44 ± 0.09 1 |
| Styrian Wolf | 0.5 | 45 | maturation | 83 ± 13 1 | 510 ± 45 1 | 325 ± 57 0 | 139 ± 11 1 | 160 ± 7 1 | 63 ± 3 1 | 46 ± 7 1 | 4 ± 1 1 | 0.5 ± 0.03 1 | 1.54 ± 0.10 1 |
| Styrian Wolf | 0.6 | 45 | maturation | 64 ± 10 1 | 360 ± 32 1 | 295 ± 52 1 | 105 ± 8 1 | 139 ± 6 1 | 14 ± 1 1 | 9 ± 1 1 | 2 ± 1 1 | 0.54 ± 0.03 1 | 1.95 ± 0.13 1 |
| Styrian Wolf | 0.7 | 45 | maturation | 66 ± 11 1 | 326 ± 29 1 | 342 ± 60 1 | 103 ± 8 1 | 126 ± 5 1 | 16 ± 1 1 | 10 ± 2 1 | 1 ± 1 1 | 0.55 ± 0.04 1 | 2.14 ± 0.14 1 |
| Styrian Wolf | 0.3 | 90 | maturation | 166 ± 27 0 | 933 ± 82 0 | 449 ± 79 0 | 162 ± 12 0 | 244 ± 11 0 | 661 ± 27 0 | 44 ± 7 0 | 74 ± 8 0 | 0.41 ± 0.03 0 | 0.59 ± 0.04 0 |
| Styrian Wolf | 0.4 | 90 | maturation | 101 ± 16 1 | 566 ± 50 1 | 353 ± 62 1 | 128 ± 10 1 | 175 ± 8 1 | 32 ± 1 1 | 23 ± 4 1 | 50 ± 5 1 | 0.41 ± 0.03 1 | 1.37 ± 0.09 1 |
| Styrian Wolf | 0.5 | 90 | maturation | 89 ± 14 1 | 767 ± 68 1 | 290 ± 51 1 | 153 ± 12 1 | 217 ± 9 1 | 37 ± 1 1 | 26 ± 4 1 | 20 ± 2 1 | 0.34 ± 0.02 1 | 0.75 ± 0.05 1 |
| Styrian Wolf | 0.6 | 90 | maturation | 75 ± 12 1 | 334 ± 29 1 | 294 ± 52 1 | 129 ± 10 1 | 119 ± 5 1 | 14 ± 1 1 | 7 ± 1 1 | 3 ± 1 1 | 0.68 ± 0.04 1 | 2.45 ± 0.16 1 |
| Styrian Wolf | 0.7 | 90 | maturation | 79 ± 13 1 | 405 ± 36 1 | 303 ± 54 1 | 147 ± 11 1 | 149 ± 6 1 | 19 ± 1 1 | 14 ± 2 1 | 5 ± 1 1 | 0.68 ± 0.04 1 | 2.68 ± 0.17 1 |
| Variety | HSI | Boiling Time [min] | Quality of Aroma | Intensity of Aroma |
|---|---|---|---|---|
| Celeia | 0.3 | 5 | 4.7 ± 0.3 | 3.6 ± 0.3 |
| Celeia | 0.4 | 5 | 4.2 ± 0.3 | 2.9 ± 0.4 |
| Celeia | 0.5 | 5 | 3.0 ± 0.3 | 2.2 ± 0.4 |
| Celeia | 0.6 | 5 | 1.3 ± 0.4 | 1.6 ± 0.3 |
| Celeia | 0.7 | 5 | 2.0 ± 0.2 | 1.5 ± 0.4 |
| Celeia | 0.3 | 45 | 4.9 ± 0.2 | 2.7 ± 0.3 |
| Celeia | 0.4 | 45 | 4.9 ± 0.3 | 2.2 ± 0.3 |
| Celeia | 0.5 | 45 | 4.3 ± 0.3 | 1.6 ± 0.3 |
| Celeia | 0.6 | 45 | 3.4 ± 0.2 | 0.8 ± 0.3 |
| Celeia | 0.7 | 45 | 3.1 ± 0.4 | 0.2 ± 0.3 |
| Celeia | 0.3 | 90 | 4.2 ± 0.3 | 1.4 ± 0.3 |
| Celeia | 0.4 | 90 | 2.9 ± 0.3 | 0.8 ± 0.2 |
| Celeia | 0.5 | 90 | 3.0 ± 0.2 | 0.9 ± 0.2 |
| Celeia | 0.6 | 90 | 3.2 ± 0.4 | 0.7 ± 0.3 |
| Celeia | 0.7 | 90 | 2.8 ± 0.5 | 0.8 ± 0.2 |
| Aurora | 0.3 | 5 | 4.9 ± 0.2 | 3.2 ± 0.3 |
| Aurora | 0.4 | 5 | 4.4 ± 0.2 | 2.4 ± 0.2 |
| Aurora | 0.5 | 5 | 4.0 ± 0.2 | 1.7 ± 0.3 |
| Aurora | 0.6 | 5 | 3.1 ± 0.2 | 1.1 ± 0.2 |
| Aurora | 0.7 | 5 | 3.1 ± 0.2 | 1.1 ± 0.2 |
| Aurora | 0.3 | 45 | 4.0 ± 0.2 | 2.9 ± 0.2 |
| Aurora | 0.4 | 45 | 4.0 ± 0.4 | 2.5 ± 0.2 |
| Aurora | 0.5 | 45 | 3.1 ± 0.3 | 1.8 ± 0.3 |
| Aurora | 0.6 | 45 | 0.2 ± 0.3 | 1.8 ± 0.2 |
| Aurora | 0.7 | 45 | 0.3 ± 0.3 | 1.8 ± 0.3 |
| Aurora | 0.3 | 90 | 1.5 ± 0.3 | 2.1 ± 0.2 |
| Aurora | 0.4 | 90 | 0.4 ± 0.2 | 1.2 ± 0.3 |
| Aurora | 0.5 | 90 | 0.3 ± 0.3 | 1.3 ± 0.2 |
| Aurora | 0.6 | 90 | 0.2 ± 0.3 | 1.2 ± 0.3 |
| Aurora | 0.7 | 90 | 0.3 ± 0.3 | 1.3 ± 0.2 |
| Styrian Wolf | 0.3 | 5 | 4.9 ± 0.2 | 3.6 ± 0.3 |
| Styrian Wolf | 0.4 | 5 | 4.7 ± 0.3 | 3.6 ± 0.4 |
| Styrian Wolf | 0.5 | 5 | 4.0 ± 0.2 | 2.9 ± 0.3 |
| Styrian Wolf | 0.6 | 5 | 3.4 ± 0.3 | 2.2 ± 0.2 |
| Styrian Wolf | 0.7 | 5 | 3.6 ± 0.4 | 1.4 ± 0.2 |
| Styrian Wolf | 0.3 | 45 | 4.8 ± 0.5 | 2.9 ± 0.2 |
| Styrian Wolf | 0.4 | 45 | 4.8 ± 0.4 | 2.5 ± 0.2 |
| Styrian Wolf | 0.5 | 45 | 3.9 ± 0.2 | 2.0 ± 0.0 |
| Styrian Wolf | 0.6 | 45 | 3.2 ± 0.4 | 1.5 ± 0.2 |
| Styrian Wolf | 0.7 | 45 | 2.7 ± 0.2 | 1.4 ± 0.2 |
| Styrian Wolf | 0.3 | 90 | 4.8 ± 0.3 | 2.6 ± 0.2 |
| Styrian Wolf | 0.4 | 90 | 4.5 ± 0.3 | 2.1 ± 0.3 |
| Styrian Wolf | 0.5 | 90 | 3.4 ± 0.6 | 1.7 ± 0.2 |
| Styrian Wolf | 0.6 | 90 | 3.0 ± 0.2 | 1.2 ± 0.2 |
| Styrian Wolf | 0.7 | 90 | 2.4 ± 0.2 | 1.1 ± 0.3 |
| Variety | HSI | Boiling Time [min] | Bitterness [BU] | Alpha-Acids [mg/L] | Humulinones [mg/L] | Iso-Alpha-Acids [mg/L] |
|---|---|---|---|---|---|---|
| Celeia | 0.3 | 5 | 45 ± 2 | 8.23 ± 0.53 | 8.70 ± 0.25 | 18.03 ± 0.35 |
| Celeia | 0.4 | 5 | 28 ± 1 | 3.83 ± 0.25 | 11.83 ± 0.35 | 12.36 ± 0.24 |
| Celeia | 0.5 | 5 | 32 ± 1 | 4.00 ± 0.26 | 14.58 ± 0.43 | 11.09 ± 0.21 |
| Celeia | 0.6 | 5 | 33 ± 1 | 4.09 ± 0.26 | 14.96 ± 0.44 | 11.43 ± 0.22 |
| Celeia | 0.7 | 5 | 37 ± 2 | 2.76 ± 0.18 | 14.77 ± 0.43 | 10.03 ± 0.19 |
| Celeia | 0.3 | 45 | 41 ± 2 | 2.94 ± 0.19 | 6.98 ± 0.20 | 61.13 ± 1.18 |
| Celeia | 0.4 | 45 | 41 ± 2 | <LOD * | 9.96 ± 0.29 | 43.94 ± 0.85 |
| Celeia | 0.5 | 45 | 51 ± 2 | <LOD * | 14.04 ± 0.41 | 50.17 ± 0.97 |
| Celeia | 0.6 | 45 | 44 ± 2 | <LOD * | 14.16 ± 0.41 | 40.6 ± 0.78 |
| Celeia | 0.7 | 45 | 47 ± 2 | <LOD * | 14.04 ± 0.40 | 39.96 ± 0.77 |
| Celeia | 0.3 | 90 | 56 ± 2 | <LOD * | 5.00 ± 0.15 | 81.28 ± 1.57 |
| Celeia | 0.4 | 90 | 58 ± 2 | <LOD * | 11.03 ± 0.32 | 64.35 ± 1.24 |
| Celeia | 0.5 | 90 | 51 ± 2 | <LOD * | 11.18 ± 0.33 | 52.62 ± 1.02 |
| Celeia | 0.6 | 90 | 49 ± 2 | <LOD * | 11.80 ± 0.34 | 49.95 ± 0.96 |
| Celeia | 0.7 | 90 | 53 ± 2 | <LOD * | 12.44 ± 0.36 | 46.36 ± 0.89 |
| Aurora | 0.3 | 5 | 46 ± 2 | 7.07 ± 0.46 | 19.00 ± 0.55 | 37.59 ± 0.73 |
| Aurora | 0.4 | 5 | 71 ± 3 | 8.63 ± 0.56 | 33.50 ± 0.98 | 40.3 ± 0.78 |
| Aurora | 0.5 | 5 | 81 ± 3 | 6.98 ± 0.45 | 47.69 ± 1.39 | 23.58 ± 0.46 |
| Aurora | 0.6 | 5 | 80 ± 3 | 8.81 ± 0.57 | 42.66 ± 1.25 | 17.65 ± 0.34 |
| Aurora | 0.7 | 5 | 84 ± 4 | 5.78 ± 0.37 | 44.11 ± 1.29 | 13.55 ± 0.26 |
| Aurora | 0.3 | 45 | 105 ± 4 | 4.09 ± 0.26 | 17.28 ± 0.50 | 144.02 ± 2.78 |
| Aurora | 0.4 | 45 | 115 ± 5 | 2.94 ± 0.19 | 29.72 ± 0.87 | 140.42 ± 2.71 |
| Aurora | 0.5 | 45 | 116 ± 5 | 2.40 ± 0.16 | 41.55 ± 1.21 | 103.76 ± 2 |
| Aurora | 0.6 | 45 | 107 ± 4 | <LOD * | 35.52 ± 1.04 | 88.35 ± 1.71 |
| Aurora | 0.7 | 45 | 122 ± 5 | <LOD * | 40.75 ± 1.19 | 85.43 ± 1.65 |
| Aurora | 0.3 | 90 | 116 ± 5 | 1.56 ± 0.11 | 16.18 ± 0.47 | 174.29 ± 3.36 |
| Aurora | 0.4 | 90 | 117 ± 5 | <LOD * | 24.38 ± 0.71 | 145.84 ± 2.81 |
| Aurora | 0.5 | 90 | 120 ± 5 | <LOD * | 34.74 ± 1.01 | 119.30 ± 2.30 |
| Aurora | 0.6 | 90 | 116 ± 5 | <LOD * | 33.12 ± 0.97 | 105.03 ± 2.03 |
| Aurora | 0.7 | 90 | 112 ± 5 | <LOD * | 31.33 ± 0.91 | 88.95 ± 1.72 |
| Styrian Wolf | 0.3 | 5 | 56 ± 2 | 7.16 ± 0.46 | 24.00 ± 0.70 | 32.05 ± 0.62 |
| Styrian Wolf | 0.4 | 5 | 59 ± 2 | 5.65 ± 0.37 | 38.01 ± 1.11 | 22.49 ± 0.43 |
| Styrian Wolf | 0.5 | 5 | 76 ± 3 | 6.63 ± 0.43 | 51.51 ± 1.5 | 16.68 ± 0.32 |
| Styrian Wolf | 0.6 | 5 | 52 ± 2 | 6.23 ± 0.41 | 36.86 ± 1.08 | 12.40 ± 0.24 |
| Styrian Wolf | 0.7 | 5 | 63 ± 3 | 5.60 ± 0.36 | 37.54 ± 1.10 | 11.74 ± 0.23 |
| Styrian Wolf | 0.3 | 45 | 86 ± 4 | 4 ± 0.26 | 20.18 ± 0.59 | 120.44 ± 2.32 |
| Styrian Wolf | 0.4 | 45 | 93 ± 4 | 2.8 ± 0.18 | 35.94 ± 1.05 | 103.89 ± 2.01 |
| Styrian Wolf | 0.5 | 45 | 104 ± 4 | 2.27 ± 0.15 | 44.53 ± 1.30 | 85.64 ± 1.65 |
| Styrian Wolf | 0.6 | 45 | 105 ± 4 | 2.94 ± 0.19 | 39.26 ± 1.15 | 92.04 ± 1.78 |
| Styrian Wolf | 0.7 | 45 | 97 ± 4 | 2.45 ± 0.16 | 39.45 ± 1.15 | 75.40 ± 1.46 |
| Styrian Wolf | 0.3 | 90 | 106 ± 4 | 1.87 ± 0.12 | 16.6 ± 0.48 | 148.43 ± 2.86 |
| Styrian Wolf | 0.4 | 90 | 101 ± 4 | 1.65 ± 0.11 | 31.97 ± 0.93 | 119.60 ± 2.31 |
| Styrian Wolf | 0.5 | 90 | 118 ± 5 | <LOD * | 40.56 ± 1.18 | 108.50 ± 2.09 |
| Styrian Wolf | 0.6 | 90 | 89 ± 4 | <LOD * | 32.62 ± 0.95 | 82.85 ± 1.60 |
| Styrian Wolf | 0.7 | 90 | 96 ± 4 | <LOD * | 34.23 ± 1.00 | 89.45 ± 1.73 |
| Variety | HSI | Boiling Time [min] | Quality of Bitterness | Intensity of Bitterness |
|---|---|---|---|---|
| Celeia | 0.3 | 5 | 4.8 ± 0.4 | 1.1 ± 0.3 |
| Celeia | 0.4 | 5 | 4.4 ± 0.4 | 1.0 ± 0.2 |
| Celeia | 0.5 | 5 | 3.1 ± 0.6 | 1.8 ± 0.4 |
| Celeia | 0.6 | 5 | 1.5 ± 0.3 | 2.0 ± 0.2 |
| Celeia | 0.7 | 5 | 1.0 ± 0.4 | 1.9 ± 0.2 |
| Celeia | 0.3 | 45 | 3.0 ± 0.3 | 2.5 ± 0.2 |
| Celeia | 0.4 | 45 | 3.1 ± 0.4 | 2.5 ± 0.2 |
| Celeia | 0.5 | 45 | 3.0 ± 0.3 | 2.4 ± 0.2 |
| Celeia | 0.6 | 45 | 3.9 ± 0.3 | 1.7 ± 0.2 |
| Celeia | 0.7 | 45 | 3.8 ± 0.4 | 1.5 ± 0.2 |
| Celeia | 0.3 | 90 | 3.1 ± 0.3 | 3.0 ± 0.2 |
| Celeia | 0.4 | 90 | 3.1 ± 0.4 | 3.0 ± 0.2 |
| Celeia | 0.5 | 90 | 3.0 ± 0.4 | 2.9 ± 0.2 |
| Celeia | 0.6 | 90 | 3.7 ± 0.4 | 2.9 ± 0.2 |
| Celeia | 0.7 | 90 | 3.8 ± 0.3 | 2.1 ± 0.2 |
| Styrian Wolf | 0.3 | 5 | 4.9 ± 0.2 | 3.1 ± 0.2 |
| Styrian Wolf | 0.4 | 5 | 4.1 ± 0.2 | 3.2 ± 0.2 |
| Styrian Wolf | 0.5 | 5 | 2.1 ± 0.3 | 4.2 ± 0.4 |
| Styrian Wolf | 0.6 | 5 | 3.4 ± 0.2 | 4.3 ± 0.4 |
| Styrian Wolf | 0.7 | 5 | 3.6 ± 0.2 | 4.2 ± 0.2 |
| Styrian Wolf | 0.3 | 45 | 3.0 ± 0.0 | 5.0 ± 0.2 |
| Styrian Wolf | 0.4 | 45 | 3.0 ± 0.2 | 5.0 ± 0.2 |
| Styrian Wolf | 0.5 | 45 | 2.5 ± 0.2 | 4.6 ± 0.3 |
| Styrian Wolf | 0.6 | 45 | 2.4 ± 0.2 | 4.6 ± 0.4 |
| Styrian Wolf | 0.7 | 45 | 2.4 ± 0.2 | 4.4 ± 0.2 |
| Styrian Wolf | 0.3 | 90 | 2.3 ± 0.3 | 4.9 ± 0.2 |
| Styrian Wolf | 0.4 | 90 | 2.1 ± 0.2 | 4.9 ± 0.2 |
| Styrian Wolf | 0.5 | 90 | 4.1 ± 0.2 | 3.4 ± 0.3 |
| Styrian Wolf | 0.6 | 90 | 3.1 ± 0.2 | 3.8 ± 0.2 |
| Styrian Wolf | 0.7 | 90 | 3.1 ± 0.2 | 3.9 ± 0.2 |
Disclaimer/Publisher’s Note: The statements, opinions and data contained in all publications are solely those of the individual author(s) and contributor(s) and not of MDPI and/or the editor(s). MDPI and/or the editor(s) disclaim responsibility for any injury to people or property resulting from any ideas, methods, instructions or products referred to in the content. |
© 2023 by the authors. Licensee MDPI, Basel, Switzerland. This article is an open access article distributed under the terms and conditions of the Creative Commons Attribution (CC BY) license (https://creativecommons.org/licenses/by/4.0/).
Share and Cite
Rutnik, K.; Ocvirk, M.; Košir, I.J. The Impact of Hop Freshness on Kettle-Hopped Beers. Foods 2023, 12, 4353. https://doi.org/10.3390/foods12234353
Rutnik K, Ocvirk M, Košir IJ. The Impact of Hop Freshness on Kettle-Hopped Beers. Foods. 2023; 12(23):4353. https://doi.org/10.3390/foods12234353
Chicago/Turabian StyleRutnik, Ksenija, Miha Ocvirk, and Iztok Jože Košir. 2023. "The Impact of Hop Freshness on Kettle-Hopped Beers" Foods 12, no. 23: 4353. https://doi.org/10.3390/foods12234353
APA StyleRutnik, K., Ocvirk, M., & Košir, I. J. (2023). The Impact of Hop Freshness on Kettle-Hopped Beers. Foods, 12(23), 4353. https://doi.org/10.3390/foods12234353

