Increase in Lactulose Content in a Hot-Alkaline-Based System through Fermentation with a Selected Lactic Acid Bacteria Strain Followed by the β-Galactosidase Catalysis Process
Abstract
:1. Introduction
2. Materials and Methods
2.1. Materials
2.2. Culture Medium Preparation
2.3. Sequence Analysis of the 16 S rRNA Gene
2.4. Chemical Synthesis of Lactulose
2.5. Enzymatic Synthesis of Lactulose
2.6. Chromatographic Analysis of Carbohydrates
2.7. Statistical Analysis
3. Results and Analysis
3.1. Screening of the Metabolic Carbon Source Characteristics of Each Lactic Acid Bacteria
3.2. Selection of Lactic Acid Bacterial Strain Utilizing Lactulose, Lactose, and Galactose in MRS Systems
3.3. Chemical Synthesis of Lactulose
3.4. The Concentration of Sugars in the Chemical Isomerization System after Fermentation by LAB
3.5. The Effect of Glutamic Acid on the Galactose and Lactose Utilization Capacity of the LAB Strains
3.6. Effect of Skimmed Milk on Galactose and Lactose Utilization by the LAB Strains
3.7. Preparation of Highly Concentrated Lactulose
3.8. Enzymatic Synthesis Increases Lactulose Synthesis
4. Conclusions
Author Contributions
Funding
Data Availability Statement
Acknowledgments
Conflicts of Interest
References
- Lee, K.J.; Ryoo, E.; Lee, Y.M.; Yoon, J.M.; Jang, H.J.; Choi, S.Y.; Choi, Y.J.; Kim, H.J.; Chung, J.Y.; Shim, J.O. Saccharomyces boulardii and Lactulose for Childhood Functional Constipation: A Multicenter Randomized Controlled Trial. J. Neurogastroenterol. Motil. 2022, 28, 454–462. [Google Scholar] [CrossRef]
 - Wang, M.; Wang, L.; Lyu, X.; Hua, X.; Goddard, J.M.; Yang, R. Lactulose production from lactose isomerization by chemo-catalysts and enzymes: Current status and future perspectives. Biotechnol. Adv. 2022, 60, 108021. [Google Scholar] [CrossRef]
 - Zokaee, F.; Kaghazchi, T.; Zare, A.; Soleimani, M. Isomerization of lactose to lactulose—Study and comparison of three catalytic systems. Process Biochem. 2002, 37, 629–635. [Google Scholar] [CrossRef]
 - Zhu, X.; Wang, M.; Hua, X.; Yao, C.; Yang, R. An innovative and sustainable adsorption-assisted isomerization strategy for the production and simultaneous purification of high-purity lactulose from lactose isomerization. Chem. Eng. J. 2021, 406, 126751. [Google Scholar] [CrossRef]
 - Fara, A.; Sabater, C.; Palacios, J.; Requena, T.; Montilla, A.; Zarate, G. Prebiotic galactooligosaccharides production from lactose and lactulose by Lactobacillus delbrueckii subsp. bulgaricus CRL450. Food Funct. 2020, 11, 5875–5886. [Google Scholar] [CrossRef]
 - Fowler, A.V.; Zabin, I. The Amino Acid Sequence of β-Galactosidase of Escherichia coli. Proc. Natl. Acad. Sci. USA 1977, 74, 1507–1510. [Google Scholar] [CrossRef]
 - Lyu, X.; Yang, R.; Wang, L.; Gu, J.; Zhao, W.; Wang, M.; Ng, K.R. Reshaping the Binding Pocket of Cellobiose 2-Epimerase for Improved Substrate Affinity and Isomerization Activity for Enabling Green Synthesis of Lactulose. J. Agric. Food Chem. 2022, 70, 15879–15893. [Google Scholar] [CrossRef]
 - Yaqin, X.; Qiuming, C.; Cuie, G.; Wenli, Z.; Wanmeng, M. An overview on biological production of functional lactose derivatives. J. Appl. Microbiol. Biotechnol. 2019, 103, 3683–3691. [Google Scholar]
 - Wang, M.M.; Yang, R.J.; Hua, X.; Shen, Q.Y.; Zhang, W.B.; Zhao, W. Gram-Negative Bacteria; Investigators at Jiangnan University Report Findings in Escherichia coli (Lactulose production from lactose by recombinant cellobiose 2-epimerase in permeabilised Escherichia coli cells). J. Food Wkly. News 2015, 50, 1625–1631. [Google Scholar] [CrossRef]
 - Iqbal, S.; Nguyen, T.-H.; Tien Thanh, N.; Maischberger, T.; Haltrich, D. β-Galactosidase from Lactobacillus plantarum WCFS1: Biochemical characterization and formation of prebiotic galacto-oligosaccharides. Carbohydr. Res. 2010, 345, 1408–1416. [Google Scholar] [CrossRef]
 - Sabater, C.; Olano, A.; Prodanov, M.; Montilla, A.; Corzo, N. An efficient process for obtaining prebiotic oligosaccharides derived from lactulose using isomerized and purified whey permeate. J. Sci. Food Agric. 2017, 97, 5074–5082. [Google Scholar] [CrossRef]
 - Skotniczny, M.; Satora, P. Molecular Detection and Identification of Plant-Associated Lactiplantibacillus plantarum. Int. J. Mol. Sci. 2023, 24, 4853. [Google Scholar] [CrossRef]
 - Lin, D.R.; Cao, H.F.; Zhong, Y.X.; Huang, Y.C.; Zou, J.P.; He, Q.; Ji, R.; Qin, T.; Chen, Y.; Wang, D.; et al. Screening and identification of Lactic acid bacteria from Ya’an pickle water to effectively remove Pb2+. Amb Express 2019, 9, 10. [Google Scholar] [CrossRef]
 - Hashemi, S.A.; Ashtiani, F.Z. The isomerization kinetics of lactose to lactulose in the presence of sodium hydroxide at constant and variable pH. Food Bioprod. Process. 2010, 88, 181–187. [Google Scholar] [CrossRef]
 - Liao, X.Y.; Zheng, Q.W.; Zhou, Q.L.; Lin, J.F.; Guo, L.Q.; Yun, F. Characterization of recombinant beta-galactosidase and its use in enzymatic synthesis of lactulose from lactose and fructose. J. Mol. Catal. B-Enzym. 2016, 134, 253–260. [Google Scholar] [CrossRef]
 - Yang, M.L.; Jiang, R.; Liu, M.; Chen, S.J.; He, L.; Ao, X.L.; Zou, L.K.; Liu, S.L.; Zhou, K. Study of the probiotic properties of lactic acid bacteria isolated from chinese traditional fermented pickles. J. Food Process. Preserv. 2017, 41, e12954. [Google Scholar] [CrossRef]
 - Meyers, A.; Furtmann, C.; Jose, J. Direct optical density determination of bacterial cultures in microplates for high-throughput screening applications. Enzym. Microb. Technol. 2018, 118, 1–5. [Google Scholar] [CrossRef]
 - Zheng, J.S.; Du, M.; Jiang, W.; Zhang, J.B.; Shen, W.X.; Ma, X.Y.; Liang, Z.Y.; Shen, J.H.; Wu, X.H.; Ding, X.Z. In Vitro Probiotic Characteristics and Whole Genome Sequence Analysis of Lactobacillus Strains Isolated from Cattle-Yak Milk. Biology 2022, 11, 44. [Google Scholar] [CrossRef]
 - Terán, L.C.; Coeuret, G.; Raya, R.; Zagorec, M.; Champomier-Vergès, M.C.; Chaillou, S. Phylogenomic Analysis of Lactobacillus curvatus Reveals Two Lineages Distinguished by Genes for Fermenting Plan-Derived Carbohydrates. Genome Biol. Evol. 2018, 10, 1516–1525. [Google Scholar] [CrossRef]
 - Yu, L.L.; Zang, X.J.; Chen, Y.; Gao, Y.H.; Pei, Z.M.; Yang, B.; Zhang, H.; Narbad, A.; Tian, F.W.; Zhai, Q.X.; et al. Phenotype-genotype analysis of Latilactobacills curvatus from different niches: Carbohydrate metabolism, antibiotic resistance, bacteriocin, phage fragments and linkages with CRISPR-Cas systems. Food Res. Int. 2022, 160, 111640. [Google Scholar] [CrossRef]
 - Auch, A.F.; von Jan, M.; Klenk, H.P.; Goker, M. Digital DNA-DNA hybridization for microbial species delineation by means of genome-to-genome sequence comparison. Stand. Genom. Sci. 2010, 2, 117–134. [Google Scholar] [CrossRef]
 - Iskandar, C.F.; Cailliez-Grimal, C.; Borges, F.; Revol-Junelles, A.M. Review of lactose and galactose metabolism in Lactic Acid Bacteria dedicated to expert genomic annotation. Trends Food Sci. Technol. 2019, 88, 121–132. [Google Scholar] [CrossRef]
 - Papadimitriou, K.; Alegría, Á.; Bron, P.A.; de Angelis, M.; Gobbetti, M.; Kleerebezem, M.; Lemos, J.A.; Linares, D.M.; Ross, P.; Stanton, C.; et al. Stress Physiology of Lactic Acid Bacteria. Microbiol. Mol. Biol. Rev. MMBR 2016, 80, 837–890. [Google Scholar] [CrossRef]
 - Hayek, S.A.; Gyawali, R.; Aljaloud, S.O.; Krastanov, A.; Ibrahim, S.A. Cultivation media for lactic acid bacteria used in dairy products. J. Dairy Res. 2019, 86, 490–502. [Google Scholar] [CrossRef]
 - Sharafi, S.; Nateghi, L.; Yousefi, S. Investigating the effect of pH, different concentrations of glutamate acid and salt on production in low-fat probiotic cheese. Iran. J. Microbiol. 2021, 13, 389–398. [Google Scholar] [CrossRef]
 - Kwoji, I.D.; Okpeku, M.; Adeleke, M.A.; Aiyegoro, O.A. Formulation of Chemically Defined Media and Growth Evaluation of Ligilactobacillus salivarius ZJ614 and Limosilactobacillus reuteri ZJ625. Front. Microbiol. 2022, 13, 1450. [Google Scholar] [CrossRef]
 - Angélica, B.N.; Alberto, R.R.; Luisa, R.A.; Rogelio, S.; Eduardo, S.; Manuel, T.J.; América, C. Culture Age, Growth Medium, Ultrasound Amplitude, and Time of Exposure Influence the Kinetic Growth of Lactobacillus acidophilus. Fermentation 2023, 9, 63. [Google Scholar]
 - van Rantwijk, F.; Oosterom, M.W.V.; Sheldon, R.A. Glycosidase-catalysed synthesis of alkyl glycosides. J. Mol. Catal. B-Enzym. 1999, 6, 511–532. [Google Scholar] [CrossRef]
 - Ranjana, D.; Dwaipayan, S.; Ankur, S.; Saurav, B.; Chiranjib, B. A Comparative Study on the Production of Galacto-oligosaccharide from Whey Permeate in Recycle Membrane Reactor and in Enzymatic Batch Reactor. Ind. Eng. Chem. Res. 2011, 50, 806–816. [Google Scholar]
 






| Species | Strains | 
|---|---|
| Ligilactobacillus salivarius | TM-2-8 | 
| Lacticaseibacillusparacasei | DX5-1 | 
| Lacticaseibacillus paracasei | DX5-3 | 
| Latilactobacillus curvatus | GS23-1 | 
| Latilactobacillus curvatus | GS67-2 | 
| Latilactobacillus curvatus | GS33-2 | 
| Latilactobacillus curvatus | GS73-1 | 
| Latilactobacillus curvatus | GS53-3 | 
| Latilactobacillus curvatus | GS54-1 | 
| Lacticaseibacillus pantheris | GS13-2 | 
| Lactobacillus rhamnosus | grx.21 | 
| pH | Temperature (°C) | Maximum Concentration of Lactulose (g/L) | Maximum Conversion (%) (Lu:Lac w:w) | Maximum Conversion of Reaction Time (min) | 
|---|---|---|---|---|
| 11 | 60 | 51.8 ± 3.1 | 25.9 ± 1.6% d | 70 | 
| 12 | 60 | 58.8 ± 2.6 | 29.4 ± 1.3% b | 50 | 
| 11 | 70 | 54.4 ± 4.2 | 27.2 ± 2.1% c | 50 | 
| 12 | 70 | 62.6 ± 2.4 | 31.3 ± 1.2% a | 50 | 
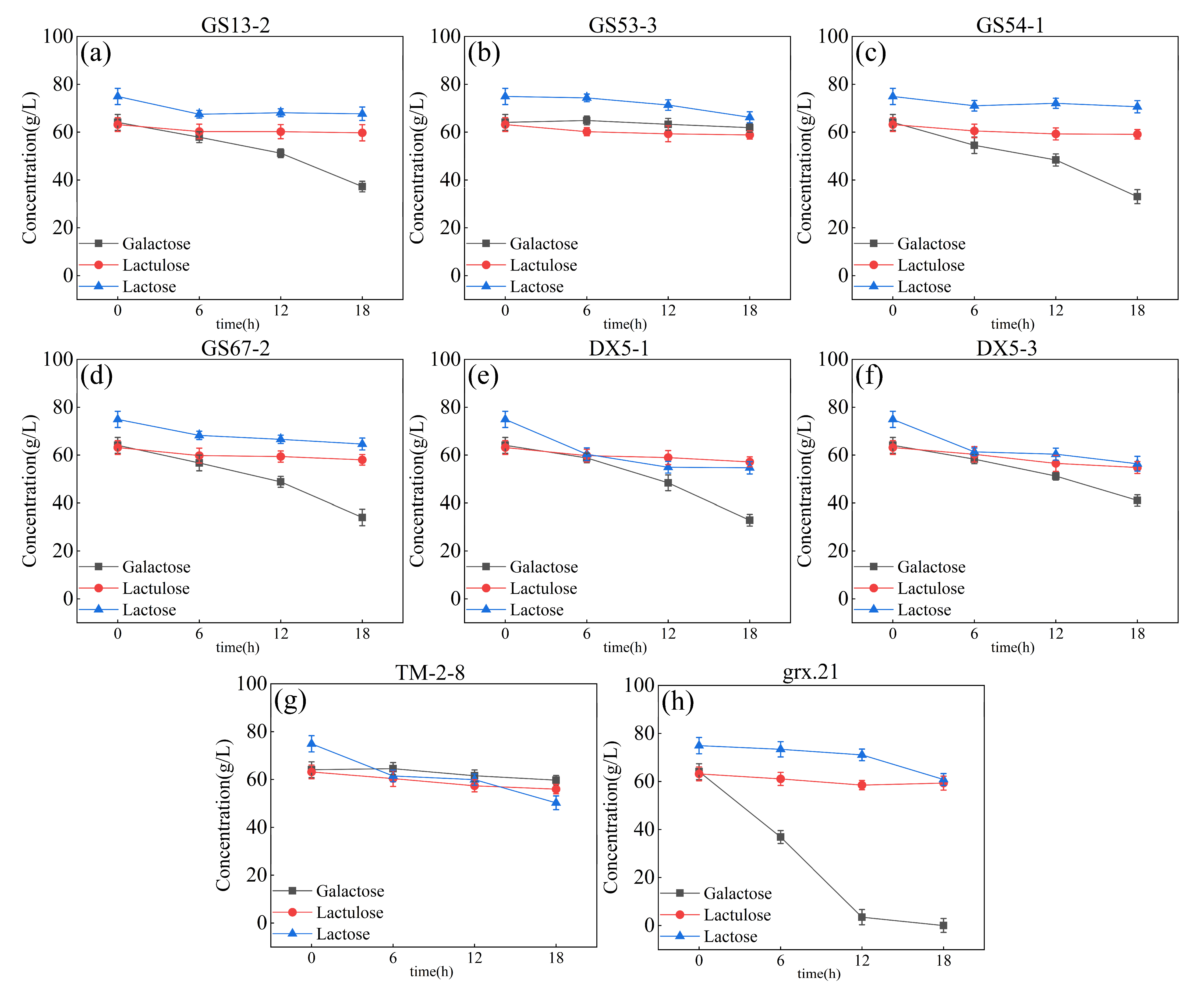
| Time | Sugars | The Content of Sugars of Different LAB Strains at Different Time (g/L) | |||||||
|---|---|---|---|---|---|---|---|---|---|
| Gs13-2 | Gs53-3 | Gs54-1 | Gs67-2 | DX5-1 | DX5-3 | Tm-2-8 | grx.21 | ||
| 0 h | Galactose | 63.98 ± 3.22 | - | - | - | - | - | - | - | 
| Lactulose | 62.82 ± 3.62 | - | - | - | - | - | - | - | |
| Lactose | 69.13 ± 2.37 | - | - | - | - | - | - | - | |
| 6 h | Galactose | 48.77 ± 3.42 d | 54.99 ± 1.55 c | 46.04 ± 2.78 g | 48.21 ± 3.78 e | 47.90 ± 3.30 f | 58.82 ± 1.89 b | 59.74 ± 3.54 a | 42.28 ± 1.92 h | 
| Lactulose | 63.65 ± 2.00 c | 63.05 ± 2.80 f | 62.37 ± 2.14 h | 63.71 ± 2.88 b | 62.94 ± 1.60 g | 63.57 ± 2.17 d | 63.24 ± 2.81 e | 63.72 ± 2.90 a | |
| Lactose | 67.10 ± 1.85 f | 67.29 ± 2.42 e | 68.05 ± 2.79 a | 67.70 ± 2.43 b | 67.60 ± 2.83 c | 67.03 ± 1.55 h | 67.30 ± 1.54 d | 67.08 ± 2.49 g | |
| 12 h | Galactose | 42.90 ± 1.51 e | 50.28 ± 3.24 c | 47.25 ± 2.92 d | 40.02 ± 2.76 f | 38.69 ± 1.67 g | 56.87 ± 2.11 b | 57.49 ± 2.70 a | 5.10 ± 2.68 h | 
| Lactulose | 64.11 ± 3.75 a | 64.09 ± 1.70 b | 62.37 ± 3.72 g | 62.31 ± 2.18 h | 63.38 ± 3.11 c | 62.96 ± 2.35 f | 63.09 ± 1.94 e | 63.17 ± 2.43 d | |
| Lactose | 67.12 ± 2.61 b | 67.06 ± 1.98 c | 65.93 ± 1.97 e | 64.67 ± 3.17 g | 66.61 ± 3.70 d | 65.85 ± 3.76 f | 63.97 ± 2.71 h | 67.43 ± 2.90 a | |
| 18 h | Galactose | 35.18 ± 2.26 d | 40.22 ± 2.19 c | 33.68 ± 3.62 e | 31.87 ± 2.24 g | 33.25 ± 3.04 f | 56.13 ± 2.14 a | 55.56 ± 3.71 b | 0 h | 
| Lactulose | 63.65 ± 1.75 b | 64.01 ± 2.62 a | 62.15 ± 1.93 e | 60.08 ± 2.70 h | 62.86 ± 2.53 d | 61.66 ± 2.19 g | 61.80 ± 2.66 f | 63.48 ± 3.24 c | |
| Lactose | 66.62 ± 1.94 b | 66.80 ± 3.50 a | 64.52 ± 1.75 e | 63.04 ± 1.67 g | 65.87 ± 3.57 d | 64.00 ± 2.76 f | 62.62 ± 2.10 h | 66.09 ± 2.93 c | |
Disclaimer/Publisher’s Note: The statements, opinions and data contained in all publications are solely those of the individual author(s) and contributor(s) and not of MDPI and/or the editor(s). MDPI and/or the editor(s) disclaim responsibility for any injury to people or property resulting from any ideas, methods, instructions or products referred to in the content.  | 
© 2023 by the authors. Licensee MDPI, Basel, Switzerland. This article is an open access article distributed under the terms and conditions of the Creative Commons Attribution (CC BY) license (https://creativecommons.org/licenses/by/4.0/).
Share and Cite
Guo, Y.; Ma, W.; Song, M.; Wang, W.; Yin, B.; Gu, R. Increase in Lactulose Content in a Hot-Alkaline-Based System through Fermentation with a Selected Lactic Acid Bacteria Strain Followed by the β-Galactosidase Catalysis Process. Foods 2023, 12, 4317. https://doi.org/10.3390/foods12234317
Guo Y, Ma W, Song M, Wang W, Yin B, Gu R. Increase in Lactulose Content in a Hot-Alkaline-Based System through Fermentation with a Selected Lactic Acid Bacteria Strain Followed by the β-Galactosidase Catalysis Process. Foods. 2023; 12(23):4317. https://doi.org/10.3390/foods12234317
Chicago/Turabian StyleGuo, Yaozu, Wenlong Ma, Manxi Song, Wenqiong Wang, Boxing Yin, and Ruixia Gu. 2023. "Increase in Lactulose Content in a Hot-Alkaline-Based System through Fermentation with a Selected Lactic Acid Bacteria Strain Followed by the β-Galactosidase Catalysis Process" Foods 12, no. 23: 4317. https://doi.org/10.3390/foods12234317
APA StyleGuo, Y., Ma, W., Song, M., Wang, W., Yin, B., & Gu, R. (2023). Increase in Lactulose Content in a Hot-Alkaline-Based System through Fermentation with a Selected Lactic Acid Bacteria Strain Followed by the β-Galactosidase Catalysis Process. Foods, 12(23), 4317. https://doi.org/10.3390/foods12234317
        
