Design of Recyclable Carboxylic Metal-Organic Framework/Chitosan Aerogels for Oil Bleaching
Abstract
:1. Introduction
2. Experimental
2.1. Materials
2.2. Preparation of MOF-Aerogels
2.3. Characterizations
2.3.1. Wide-Angle X-ray Diffraction
2.3.2. Fourier Transform Infrared Spectroscopy
2.3.3. X-ray Photoelectron Spectroscopy
2.3.4. Morphological Studies
2.3.5. Thermal Properties
2.3.6. X-ray Microtomography Reconstructions
2.4. Oil Bleaching Studies
3. Results and Discussion
3.1. Structural Study
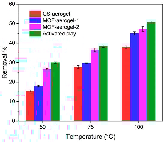
3.2. Oil Bleaching under Laboratory Conditions
3.3. Reusability of MOF-Aerogels
4. Conclusions
Author Contributions
Funding
Data Availability Statement
Conflicts of Interest
References
- Sedghamiz, M.A.; Raeissi, S.; Attar, F.; Salimi, M.; Mehrabi, K. In-situ transesterification of residual vegetable oil in spent bleaching clay with alkali catalysts using CCD-RSM design of experiment. Fuel 2019, 237, 515–521. [Google Scholar] [CrossRef]
- Almeida, E.S.; Carvalho, A.C.B.; Soares, I.O.D.S.; Valadares, L.F.; Mendonça, A.R.V.; Silva, I.J., Jr.; Monteiro, S. Elucidating how two different types of bleaching earths widely used in vegetable oils industry remove carotenes from palm oil: Equilibrium, kinetics and thermodynamic parameters. Food Res. Int. 2019, 121, 785–797. [Google Scholar] [CrossRef] [PubMed]
- Pohndorf, R.S.; Cadaval, T.R.S.; Pinto, L.A.D.A. Kinetics and thermodynamics adsorption of carotenoids and chlorophylls in rice bran oil bleaching. J. Food Eng. 2016, 185, 9–16. [Google Scholar] [CrossRef]
- Silva, S.M.E.; Sampaio, K.A.; Ceriani, R.; Verhe, R.; Stevens, C.V.; De Greyt, W.; Meirelles, A.J.A. Adsorption of carotenes and phosphorus from palm oil onto acid activated bleaching earth: Equilibrium, kinetics and thermodynamics. J. Food Eng. 2013, 118, 341–349. [Google Scholar] [CrossRef]
- Kuuluvainen, V.; Makiarvela, P.; Rautio, A.; Kordas, K.; Roine, J.; Aho, A.; Toukoniitty, B.; Osterholm, H.; Toivakka, M.; Murzin, D.Y. Properties of adsorbents used for bleaching of vegetable oils and animal fats. J. Chem. Technol. Biotechnol. 2015, 90, 1579–1591. [Google Scholar] [CrossRef]
- Nassar, M.Y.; Abdelrahman, E.A.; Aly, A.A.; Mohamed, T.Y. A facile synthesis of mordenite zeolite nanostructures for efficient bleaching of crude soybean oil and removal of methylene blue dye from aqueous media. J. Mol. Liq. 2017, 248, 302–313. [Google Scholar] [CrossRef]
- Eliche-Quesada, D.; Corpas-Iglesias, F.A. Utilisation of spent filtration earth or spent bleaching earth from the oil refinery industry in clay products. Ceram. Int. 2014, 40, 16677–16687. [Google Scholar] [CrossRef]
- Abbas-Abadi, M.S.; Jalali, A.; Rostami, M.R.; Haghighi, M.N.; Farhadi, A. The atmospheric, vacuum and pressurized pyrolysis of used bleaching soils along with polymeric wastes to reach the valuable and economical fuels. J. Clean. Prod. 2020, 255, 120328. [Google Scholar] [CrossRef]
- Wu, Y.; Luo, Y.; Zhou, B.; Mei, L.; Wang, Q.; Zhang, B. Porous metal-organic framework (MOF) Carrier for incorporation of volatile antimicrobial essential oil. Food Control 2019, 98, 174–178. [Google Scholar] [CrossRef]
- Vlasova, E.; Yakimov, S.; Naidenko, E.; Kudrik, E.; Makarov, S. Application of metal–organic frameworks for purification of vegetable oils. Food Chem. 2016, 190, 103–109. [Google Scholar] [CrossRef]
- Zhang, X.-F.; Wang, Z.; Feng, Y.; Zhong, Y.; Liao, J.; Wang, Y.; Yao, J. Adsorptive desulfurization from the model fuels by functionalized UiO-66(Zr). Fuel 2018, 234, 256–262. [Google Scholar] [CrossRef]
- Chen, M.; Chen, J.; Liu, Y.; Liu, J.; Li, L.; Yang, B.; Ma, L. Enhanced adsorption of thiophene with the GO-modified bimetallic organic framework Ni-MOF-199. Colloids Surf. A Physicochem. Eng. Asp. 2019, 578, 123553. [Google Scholar] [CrossRef]
- Jia, X.; Peydayesh, M.; Huang, Q.; Mezzenga, R. Amyloid Fibril Templated MOF Aerogels for Water Purification. Small 2022, 18, 2105502. [Google Scholar] [CrossRef] [PubMed]
- Yang, Q.; Wang, Y.; Wang, J.; Liu, F.; Hu, N.; Pei, H.; Yang, W.; Li, Z.; Suo, Y.; Wang, J. High effective adsorption/removal of illegal food dyes from contaminated aqueous solution by Zr-MOFs (UiO-67). Food Chem. 2018, 254, 241–248. [Google Scholar] [CrossRef] [PubMed]
- Abdelhameed, R.M.; Rehan, M.; Emam, H.E. Figuration of Zr-based MOF@cotton fabric composite for potential kidney application. Carbohydr. Polym. 2018, 195, 460–467. [Google Scholar] [CrossRef] [PubMed]
- Ragon, F.; Campo, B.; Yang, Q.; Martineau, C.; Wiersum, A.D.; Lago, A.; Guillerm, V.; Hemsley, C.; Eubank, J.F.; Vishnuvarthan, M.; et al. Acid-functionalized UiO-66(Zr) MOFs and their evolution after intra-framework cross-linking: Structural features and sorption properties. J. Mater. Chem. A 2015, 3, 3294–3309. [Google Scholar] [CrossRef]
- Li, D.; Tian, X.; Wang, Z.; Guan, Z.; Li, X.; Qiao, H.; Ke, H.; Luo, L.; Wei, Q. Multifunctional adsorbent based on metal-organic framework modified bacterial cellulose/chitosan composite aerogel for high efficient removal of heavy metal ion and organic pollutant. Chem. Eng. J. 2020, 383, 123127. [Google Scholar] [CrossRef]
- Liao, J.; Zhou, Y.; Hou, B.; Zhang, J.; Huang, H. Nano-chitin: Preparation strategies and food biopolymer film reinforcement and applications. Carbohydr. Polym. 2023, 305, 120553. [Google Scholar] [CrossRef]
- Seo, P.W.; Ahmed, I.; Jhung, S.H. Adsorptive removal of nitrogen-containing compounds from a model fuel using a metal–organic framework having a free carboxylic acid group. Chem. Eng. J. 2016, 299, 236–243. [Google Scholar] [CrossRef]
- Avci-Camur, C.; Perez-Carvajal, J.; Imaz, I.; Maspoch, D. Metal Acetylacetonates as a Source of Metals for Aqueous Synthesis of Metal–Organic Frameworks. ACS Sustain. Chem. Eng. 2018, 6, 14554–14560. [Google Scholar] [CrossRef]
- Kandiah, M.; Usseglio, S.; Svelle, S.; Olsbye, U.; Lillerud, K.P.; Tilset, M. Post-synthetic modification of the metal–organic framework compound UiO-66. J. Mater. Chem. 2010, 20, 9848–9851. [Google Scholar] [CrossRef]
- Zhuang, S.; Cheng, R.; Wang, J. Adsorption of diclofenac from aqueous solution using UiO-66-type metal-organic frameworks. Chem. Eng. J. 2019, 359, 354–362. [Google Scholar] [CrossRef]
- Hao, J.-N.; Yan, B. Highly sensitive and selective fluorescent probe for Ag+ based on a Eu3+ post-functionalized metal–organic framework in aqueous media. J. Mater. Chem. A 2014, 2, 18018–18025. [Google Scholar] [CrossRef]
- DeCoste, J.B.; Peterson, G.W.; Jasuja, H.; Glover, T.G.; Huang, Y.-G.; Walton, K.S. Stability and degradation mechanisms of metal–organic frameworks containing the Zr6O4(OH)4 secondary building unit. J. Mater. Chem. A 2013, 1, 5642–5650. [Google Scholar] [CrossRef]
- Skwarczynska, A.L.; Binias, D.; Maniukiewicz, W.; Modrzejewska, Z.; Douglas, T.E.L. The mineralization effect on chitosan hydrogel structure containing collagen and alkaline phosphatase. J. Mol. Struct. 2019, 1187, 86–97. [Google Scholar] [CrossRef]
- Huang, Z.; Li, Z.; Zheng, L.; Zhou, L.; Chai, Z.; Wang, X.; Shi, W. Interaction mechanism of uranium(VI) with three-dimensional graphene oxide-chitosan composite: Insights from batch experiments, IR, XPS, and EXAFS spectroscopy. Chem. Eng. J. 2017, 328, 1066–1074. [Google Scholar] [CrossRef]
- Jia, X.; Zhang, B.; Chen, C.; Fu, X.; Huang, Q. Immobilization of chitosan grafted carboxylic Zr-MOF to porous starch for sulfanilamide adsorption. Carbohydr. Polym. 2021, 253, 117305. [Google Scholar] [CrossRef]
- Li, Z.; Zhou, G.; Dai, H.; Yang, M.; Fu, Y.; Ying, Y.; Li, Y. Biomineralization-mimetic preparation of hybrid membranes with ultra-high loading of pristine metal–organic frameworks grown on silk nanofibers for hazard collection in water. J. Mater. Chem. A 2018, 6, 3402–3413. [Google Scholar] [CrossRef]
- Su, D.; Xiao, T.; Gu, D.; Cao, Y.; Jin, Y.; Zhang, W.; Wu, T. Ultrasonic bleaching of rapeseed oil: Effects of bleaching conditions and underlying mechanisms. J. Food Eng. 2013, 117, 8–13. [Google Scholar] [CrossRef]
- Strieder, M.M.; Pinheiro, C.P.; Borba, V.S.; Pohndorf, R.S.; Cadaval, T.R.S.; Pinto, L.A.A. Bleaching optimization and winterization step evaluation in the refinement of rice bran oil. Sep. Purif. Technol. 2017, 175, 72–78. [Google Scholar] [CrossRef]
- Ribeiro, M.H.L.; Lourenco, P.A.S.; Monteiro, J.P.; Ferreiradias, S. Kinetics of selective adsorption of impurities from a crude vegetable oil in hexane to activated earths and carbons. Eur. Food Res. Technol. 2001, 213, 132–138. [Google Scholar] [CrossRef]
- Noyan, H.; Önal, M.; Sarıkaya, Y. The effect of sulphuric acid activation on the crystallinity, surface area, porosity, surface acidity, and bleaching power of a bentonite. Food Chem. 2007, 105, 156–163. [Google Scholar] [CrossRef]
- Henderson, J.H. A laboratory study of the press effect in adsorptive bleaching. J. Am. Oil Chem. Soc. 1993, 70, 831–835. [Google Scholar] [CrossRef]
- Foletto, E.L.; Paz, D.S.; Gundel, A. Acid-activation assisted by microwave of a Brazilian bentonite and its activity in the bleaching of soybean oil. Appl. Clay Sci. 2013, 83, 63–67. [Google Scholar] [CrossRef]












Disclaimer/Publisher’s Note: The statements, opinions and data contained in all publications are solely those of the individual author(s) and contributor(s) and not of MDPI and/or the editor(s). MDPI and/or the editor(s) disclaim responsibility for any injury to people or property resulting from any ideas, methods, instructions or products referred to in the content. |
© 2023 by the authors. Licensee MDPI, Basel, Switzerland. This article is an open access article distributed under the terms and conditions of the Creative Commons Attribution (CC BY) license (https://creativecommons.org/licenses/by/4.0/).
Share and Cite
Jia, X.-Z.; Yao, Q.-B.; Zhang, B.; Tan, C.-P.; Zeng, X.-A.; Huang, Y.-Y.; Huang, Q. Design of Recyclable Carboxylic Metal-Organic Framework/Chitosan Aerogels for Oil Bleaching. Foods 2023, 12, 4151. https://doi.org/10.3390/foods12224151
Jia X-Z, Yao Q-B, Zhang B, Tan C-P, Zeng X-A, Huang Y-Y, Huang Q. Design of Recyclable Carboxylic Metal-Organic Framework/Chitosan Aerogels for Oil Bleaching. Foods. 2023; 12(22):4151. https://doi.org/10.3390/foods12224151
Chicago/Turabian StyleJia, Xiang-Ze, Qing-Bo Yao, Bin Zhang, Chin-Ping Tan, Xin-An Zeng, Yan-Yan Huang, and Qiang Huang. 2023. "Design of Recyclable Carboxylic Metal-Organic Framework/Chitosan Aerogels for Oil Bleaching" Foods 12, no. 22: 4151. https://doi.org/10.3390/foods12224151
APA StyleJia, X.-Z., Yao, Q.-B., Zhang, B., Tan, C.-P., Zeng, X.-A., Huang, Y.-Y., & Huang, Q. (2023). Design of Recyclable Carboxylic Metal-Organic Framework/Chitosan Aerogels for Oil Bleaching. Foods, 12(22), 4151. https://doi.org/10.3390/foods12224151

