Storage Stability of Meat Analogs Supplemented with Vegetable Oils
Abstract
1. Introduction
2. Materials and Methods
2.1. Materials
2.2. Sample Preparation
2.3. Storage Conditions
2.4. Experimental Methods
2.4.1. Cooking Loss
2.4.2. Drip Loss
2.4.3. Water Content
2.4.4. Liquid-Holding Capacity
2.4.5. Hardness
2.4.6. Chromaticity
2.4.7. DPPH-Radical-Scavenging Activity
2.4.8. Microbial Analysis
2.5. Statistical Analysis
3. Results and Discussion
3.1. Cooking Loss
3.2. Drip Loss
3.3. Moisture Content
3.4. Liquid-Holding Capacity
3.5. Texture Measurement
3.6. Chromaticity
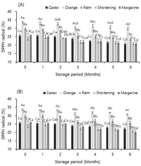
3.7. DPPH-Radical-Scavenging Activity
3.8. Microbial Analysis
4. Conclusions
Author Contributions
Funding
Data Availability Statement
Conflicts of Interest
References
- OECD. Meat Consumption (Indicator). Organisation for Economic Co-Operation and Development. 2017. Available online: https://data.oecd.org/agroutput/meat-consumption.htm (accessed on 20 May 2019).
- Hicks, T.M.; Knowles, S.O.; Farouk, M.M. Global provisioning of red meat for flexitarian diets. Front. Nutr. 2018, 5, 50. [Google Scholar] [CrossRef]
- Krintiras, G.A.; Diaz, J.G.; Goot, A.J.; Stankiewicz, A.I.; Stefanidis, G.D. On the use of the Couette Cell technology for large scale production of textured soy-based meat replacers. J. Food Eng. 2016, 169, 205–213. [Google Scholar] [CrossRef]
- Toorn, S.I.; Broek, M.A.; Worrell, E. Decarbonising meat: Exploring greenhouse gas emissions in the meat sector. Energy Procedia 2017, 123, 353–360. [Google Scholar] [CrossRef]
- Herrero, M.; Henderson, B.; Havlik, P.; Thornton, P.K.; Conant, R.T.; Smith, P.; Wirsenius, S.; Hristov, A.N.; Gerber, P.; Gill, M.; et al. Greenhouse gas mitigation potentials in the livestock sector. Nat. Clim. Change 2016, 6, 452–461. [Google Scholar] [CrossRef]
- Dangal, S.R.S.; Tian, H.; Zhang, B.; Pan, S.; Lu, C.; Yang, J. Methane emission from global livestock sector during 1890–2014: Magnitude, trends and spatiotemporal patterns. Glob. Chang. Biol. 2017, 23, 4147–4161. [Google Scholar] [CrossRef]
- Nerea, B.T.; Nancy, B.; Miguel-Ángel, M.G.; Dolores, C.; Ramon, E.; Emilio, R.; Montserrat, F.; Lluís, S.M.; Itziar, S.; Rosa, M.; et al. Replacing red meat and processed red meat for white meat, fish, legumes or eggs is associated with lower risk of incidence of metabolic syndrome. Clin. Nutr. 2016, 35, 1442–1449. [Google Scholar]
- Kim, S.H.; Jung, E.S.; Kim, S.Y.; Park, S.Y.; Cho, Y.S. Effect of heat treatment on physicochemical properties of soybean. Korean J. Food Preserv. 2017, 24, 820–826. [Google Scholar] [CrossRef][Green Version]
- Rijsberman, F. The key role of the meat industry in transformation to a low-carbon, climate resilient, sustainable economy. Meat Sci. 2017, 132, 2–5. [Google Scholar] [CrossRef]
- Park, J.H.; Kang, D.I.; Ryu, G.H. Effects of screw speed, moisture content, and die temperature on texturization of extruded soy protein isolate. J. Korean Soc. Food Sci. Nutr. 2016, 45, 1170–1176. [Google Scholar] [CrossRef]
- Gu, B.Y.; Ryu, G.H. Effects of moisture content and screw speed on physical properties of extruded soy protein isolate. J. Korean Soc. Food Sci. Nutr. 2017, 46, 751–758. [Google Scholar]
- Geerts, M.E.J.; Dekkers, B.L.; Padt, A.; Goot, A.J. Aqueous fractionation processes of soy protein for fibrous structure formation. Innov. Food Sci. Emerg. Technol. 2018, 45, 313–319. [Google Scholar] [CrossRef]
- Palanisamya, M.; Topfl, S.; Aganovic, K.; Berger, R.G. Influence of iota carrageenan addition on the properties of soya protein meat analogues. LWT-Food Sci. Technol. 2018, 87, 546–552. [Google Scholar] [CrossRef]
- Kołodziejczak, K.; Onopiuk, A.; Szpicer, A.; Poltorak, A. Meat Analogues in the Perspective of Recent Scientific Research: A Review. Foods 2022, 11, 105. [Google Scholar] [CrossRef] [PubMed]
- Wi, G.; Bae, J.; Kim, H.; Cho, Y.; Choi, M.-J. Evaluation of the physicochemical and structural properties and the sensory characteristics of meat analogues prepared with various non-animal based liquid additives. Foods 2020, 9, 461. [Google Scholar] [CrossRef] [PubMed]
- Semma, M. Trans fatty acids: Properties, benefits and risks. J. Health Sci. 2002, 48, 7–13. [Google Scholar] [CrossRef]
- Ahmad, M.M.; Rehman, S.U.; Iqbal, Z.; Anjum, F.M.; Sultan, J.I. Genetic variability to essential oil composition in four citrus fruit species. Pak. J. Bot. 2006, 38, 319–324. [Google Scholar]
- Ramezani, K.; Rowahanzamir, S.; Eikani, M.H. Castor oil transesterification reaction: A kinetic study and optimization of parameters. Energy 2010, 35, 4142–4148. [Google Scholar] [CrossRef]
- Lee, T.S.; Lee, Y.H.; Kim, K.S.; Kim, W.; Kim, K.S.; Jang, Y.S.; Park, K.G. Characteristics of fatty acid composition and properties by blending of vegetable oils. Korean J. Plant Res. 2012, 25, 624–632. [Google Scholar]
- Wu, X.; Zhang, C.; Yu, S.; Chen, J.; Zhou, J. Improving the cryoprotective effect of antifreeze proteins from Daucus carota on plant-based meat by eliminating N-glycosylation. Food Res. Int. 2023, 164, 112392. [Google Scholar] [CrossRef]
- Toth, A.J.; Dunay, A.; Battay, M.; Illes, C.B.; Bittsanszky, A.; Suth, M. Microbial spoilage of plant-based meat analogues. Appl. Sci. 2021, 11, 8309. [Google Scholar] [CrossRef]
- Pathare, P.B.; Roskilly, A.P. Quality and energy evaluation in meat cooking. Food Eng. Rev. 2016, 8, 435–447. [Google Scholar] [CrossRef]
- Helrich, K. Official Methods of Analysis, 15th ed.; Association of Analytical Chemists: Washington, DC, USA, 1990; pp. 8–35. [Google Scholar]
- Lorenzo, J.M.; Cittadini, A.; Munekata, P.E.; Domínguez, R. Physicochemical properties of foal meat as affected by cooking methods. Meat Sci. 2015, 108, 50–54. [Google Scholar] [CrossRef] [PubMed]
- Lin, S.; Huff, H.E.; Hsieh, F. Texture and chemical characteristics of soy protein meat analog extruded at high moisture. J. Food Sci. 2000, 65, 264–269. [Google Scholar] [CrossRef]
- Jeong, H.; Park, D.H.; Seo, H.G.; Choi, M.-J.; Cho, Y. Effect of roasting time and cryogenic milling on the physicochemical characteristics of dried ginseng powder. Foods 2020, 9, 223. [Google Scholar] [CrossRef] [PubMed]
- Vieira, C.; Diaz, M.Y.; Martinez, B.; Garcia-Cachan, M.D. Effect of frozen storage conditions (temperature and length of storage) on microbial and sensory quality of rustic crossbred beef at different stages of aging. Meat Sci. 2009, 83, 398–404. [Google Scholar] [CrossRef]
- Bentley, D.S.; Reagan, J.O.; Killer, M.F. Effects of gas atmosphere, storage time on the shelf-life and sensory attributes of vacuum packaged ground beef patties. Korean J. Food Sci. Technol. 1989, 54, 284–286. [Google Scholar]
- Kim, Y.H. Freezing and defrosting in the food refrigeration. Sarek Mag. 1987, 16, 34–43. [Google Scholar]
- Jung, I.C. Effect of freezing temperature on the quality of beef loin aged after thawing. J. Korean Soc. Food Sci. Nutr. 1999, 28, 871–875. [Google Scholar]
- Williams, K.R.; Pierce, R.E. The analysis of orange oil and the aqueous solubility of d-limonene—Two complementary gas chromatography experiments. J. Chem. Educ. 1998, 75, 223–226. [Google Scholar] [CrossRef]
- Bailey, A.J.; Light, N.D. The role of connective tissue in determining the textural quality of meat, in connective tissue in meat products. Appl. Sci. 1989, 19, 170–194. [Google Scholar]
- Huff-Lonergan, E.; Lonergan, S.M. Mechanism of water holding capacity of meat: The role of postmortem biochemical and structural changes. Meat Sci. 2005, 71, 194–204. [Google Scholar] [CrossRef]
- Xanthakis, E.; Le-Bail, A.; Ramaswamy, H. Development of an innovative microwave assisted food freezing process. Innov. Food Sci. Emerg. Technol. 2014, 26, 176–181. [Google Scholar] [CrossRef]
- Hong, G.P.; Min, S.G.; Ko, S.H.; Shim, K.B.; Seo, E.J.; Choi, M.J. Effects of brine immersion and electrode contact type low voltage ohmic thawing on the physico-chemical properties of pork meat. Food Sci. Anim. Resour. 2007, 27, 416–423. [Google Scholar] [CrossRef]
- Zhu, S.; Ramaswamy, H.S.; Simpson, B.K. Effect of high-pressure versus conventional thawing on color, drip loss and texture of Atlantic salmon frozen by different methods. LWT-Food Sci. Technol. 2004, 37, 291–299. [Google Scholar] [CrossRef]
- Sakata, R.; Oshida, T.; Morita, H.; Nagata, Y. Physico-chemical and processing quality of porcine M. longissimus dorsi frozen at different temperatures. Meat Sci. 1995, 39, 277–284. [Google Scholar]
- Zhang, Q.Q.; Li, W.; Li, H.K.; Chen, X.H.; Jiang, M.; Dong, M.S. Low-field nuclear magnetic resonance for online determination of water content during sausage fermentation. J. Food Eng. 2017, 212, 291–297. [Google Scholar] [CrossRef]
- Kim, S.Y.; Kim, H.S.; Kim, J.S.; Han, G.J. Changes in quality of welsh onion (Allium fistulosum L.) during the freezing storage period under different freezing conditions. Korean J. Food Cook. Sci. 2016, 32, 665–676. [Google Scholar] [CrossRef]
- Heo, K.N.; Kim, J.H.; Kim, S.H.; Kang, B.S.; Kim, C.D.; Cha, J.B.; Hong, E.C. Effect of freezing and thawing methods on duck meat characteristics. Korean J. Poult. Sci. 2016, 43, 197–206. [Google Scholar] [CrossRef]
- Tirado-Kulieva, V.A.; Miranda-Zamora, W.R.; Hernandez, E.; Pantoja-Tirado, L.R.; Bazan-Tantalean, D.L.; Camacho-Orbegoso, E.W. Effect of antifreeze proteins on the freeze-thaw cycle of foods: Fundamentals, mechanisms of action, current challenges and recommendations for future work. Heliyon 2022, 8, e10973. [Google Scholar] [CrossRef]
- Choi, O.J.; Jung, H.N. Effects of fats and oils on the quality characteristics of rice scone. Korean J. Food Preserv. 2019, 26, 539–544. [Google Scholar] [CrossRef]
- Kim, Y.J.; Cheong, J.H. Effect of packaging methods on the shelf-life of chilled Korean cattle beef. J. Agric. Sci. Technol. 1999, 34, 75–81. [Google Scholar]
- Shanks, B.C.; Wulf, D.M.; Maddock, R.J. Technical note: The effect of freezing on Warner-Bartzler shear force values of beef longissimus steaks across several post-mortem aging pork. Czech J. Anim. Sci. 2002, 80, 2122–2125. [Google Scholar]
- Lagerstedt, A.; Enfalt, L.; Johansson, L.; Lundstrom, K. Effect of freezing on sensory quality, shear force and water loss in beef M. longissimus dorsi. Meat Sci. 2008, 80, 457–461. [Google Scholar] [CrossRef] [PubMed]
- Leygoniea, C.; Britz, T.J.; Hoffman, L.C. Impact of freezing and thawing on the quality of meat: Review. Meat Sci. 2012, 91, 93–98. [Google Scholar] [CrossRef]
- Shin, D.B.; Lee, Y.C.; Kim, J.H. Changes in quality of garlic during frozen storage. Korean J. Food Sci. Technol. 2000, 32, 102–110. [Google Scholar]
- Park, Y.H.; Park, S.J.; Han, G.J.; Choe, J.S.; Lee, J.Y.; Kang, M.S. Quality characteristics of pre-processed garlic during storage according to storage temperature. J. Korean Soc. Food Sci. Nutr. 2012, 41, 994–1001. [Google Scholar] [CrossRef]
- Park, J.C.; Jeong, J.Y.; Lee, E.S.; Choi, J.H.; Choi, Y.S.; Yu, L.H.; Paik, H.D.; Kim, C.J. Effects of replaced plant oils on the quality properties in low-fat hamburger patties. Korean J. Food Sci. Technol. 2005, 37, 412–417. [Google Scholar]
- KFI13-DA-V07; Professional Partner of Food Industry. Korea Food Information Institute: Daejeon, Republic of Korea, 2013; p. 21.
- Lee, H.J.; Sul, M.S.; Cha, B.S.; Yook, H.S. Tofu qualities as influenced by soybeans storage temperature. J. Korean Soc. Food Sci. Nutr. 1998, 27, 833–839. [Google Scholar]
- Jin, S.Y.; Sim, K.H.; Lee, E.J.; Gu, H.J.; Kim, M.H.; Han, Y.S.; Park, J.S.; Kim, Y.H. Changes in quality characteristics and antioxidant activity of apples during storage. J. Korean Soc. Food Sci. Nutr. 2014, 27, 999–1005. [Google Scholar] [CrossRef]
- Vanamala, J.; Reddivari, L.; Yoo, K.S.; Pike, L.M.; Patil, B.S. Variation in the content of bioactive flavonoids in different brands of orange and grapefruit juices. J. Food Compos. Anal. 2006, 19, 157–166. [Google Scholar] [CrossRef]
- Yang, S.J.; Koh, S.M.; Yang, T.I.; Jung, I.C.; Moon, Y.H. Feeding effect of citrus by product on the quality of cross-bred black pig in Jeju Island. J. Korean Soc. Food Sci. Nutr. 2006, 35, 897–902. [Google Scholar]
- Burton, G.W.; Ingold, K.U. Beta carotene: Unusual type of lipid antioxidant. Science 1985, 224, 569–572. [Google Scholar] [CrossRef] [PubMed]
- Cha, J.Y.; Cho, Y.S. Biofunctional activities of citrus flavonoids. Appl. Biol. Chem. 2001, 44, 122–128. [Google Scholar]
- Kim, E.J.; Jung, J.I.; Lee, H.S.; Kang, I.J.; Khachik, F.; Youn, J.H. Effect of carotenoids on the growth of HT-29 human colon cancer cells. J. Korean Soc. Food Sci. Nutr. 2003, 32, 428–436. [Google Scholar]
- MFDS (Ministry of Food and Drug Safety). Korean Food Standards Codex. 2016. Available online: http://www.foodsafetykorea.go.kr/foodcode/01_01.jsp (accessed on 23 September 2023).
- Lee, M.S.; Park, S.K.; Bae, D.H.; Ha, S.D.; Song, K.B. Effect of soy protein film packaging on the qualities and the microbial growth of beef during storage. Korean J. Food Preserv. 2004, 11, 565–568. [Google Scholar]
- Shin, H.Y.; Ku, K.J.; Park, S.K.; Song, K.B. Use of freshness indicator for determination of freshness and quality change of beef and pork during storage. Korean J. Food Sci. Technol. 2006, 38, 325–330. [Google Scholar]
- Choi, C.H.; Kim, J.H.; Kim, Y.J. Evaluation of beef freshness using visible-near infrared reflectance spectra. Food Sci. Anim. Resour. 2011, 31, 115–121. [Google Scholar] [CrossRef][Green Version]
- Roh, W.S. Microbial analysis of processing and evaluation of shelf life of fried bean curd. J. Food Hyg. Saf. 1998, 13, 62–67. [Google Scholar]
- Torres-Alvarez, C.; Núñez González, A.; Rodríguez, J.; Castillo, S.; Leos-Rivas, C.; Báez-González, J.G. Chemical composition, antimicrobial, and antioxidant activities of orange essential oil and its concentrated oils. CyTA–J. Food 2017, 15, 129–135. [Google Scholar] [CrossRef]


| ST (1) | Oil | Storage Period (Months) | ||||||
|---|---|---|---|---|---|---|---|---|
| 0 | 1 | 2 | 3 | 4 | 5 | 6 | ||
| −18 | Castor oil | 8.54 ± 0.65 Dcd | 8.17 ± 0.92 Ed | 8.46 ± 1.19 Dcd | 9.10 ± 0.86 Dbc | 9.44 ± 0.98 Dab | 9.64 ± 1.15 Dab | 10.24 ± 0.90 Da |
| Orange oil | 13.15 ± 0.74 Cc | 13.04 ± 1.12 Cc | 13.67 ± 0.86 Cbc | 14.45 ± 0.81 Cab | 14.55 ± 1.01 Ca | 14.83 ± 1.20 Ca | 14.96 ± 0.80 Ca | |
| Palm oil | 8.03 ± 0.68 Db | 9.18 ± 1.40 Da | 9.17 ± 1.27 Da | 9.74 ± 1.23 Da | 9.67 ± 0.90 Da | 9.92 ± 0.97 Da | 10.16 ± 1.11 Da | |
| Shortening | 16.71 ± 0.66 Ad | 16.91 ± 1.47 Acd | 17.05 ± 0.99 Abcd | 17.91 ± 1.17 Aab | 17.84 ± 0.83 Aabc | 17.96 ± 1.14 Aab | 18.24 ± 0.88 Aa | |
| Margarine | 14.51 ± 0.85 Bc | 15.66 ± 0.87 Bb | 15.59 ± 0.86 Bb | 16.12 ± 1.44 Bab | 16.50 ± 1.16 Bab | 16.82 ± 1.31 Ba | 17.11 ± 0.98 Ba | |
| −60 | Castor oil | 8.54 ± 0.65 Da | 7.50 ± 0.80 Eb | 7.70 ± 1.35 Eb | 8.61 ± 0.95 Da | 8.97 ± 0.89 Da | 8.83 ± 1.16 Da | 9.11 ± 0.64 Da |
| Orange oil | 13.15 ± 0.74 Cd | 13.28 ± 1.22 Ccd | 13.61 ± 0.72 Cbcd | 14.13 ± 1.11 Cabc | 13.88 ± 1.16 Cabcd | 14.31 ± 0.81 Cab | 14.72 ± 1.17 Ca | |
| Palm oil | 8.03 ± 0.68 Dc | 8.36 ± 0.72 Dc | 8.72 ± 1.07 Dbc | 9.29 ± 1.02 Dab | 9.51 ± 1.07 Dab | 9.35 ± 1.19 Dab | 9.69 ± 0.84 Da | |
| Shortening | 16.71 ± 0.66 Ab | 17.17 ± 0.94 Aab | 16.70 ± 0.94 Ab | 17.49 ± 0.86 Aab | 17.63 ± 0.85 Aa | 17.55 ± 1.16 Aab | 17.89 ± 0.96 Aa | |
| Margarine | 14.51 ± 0.85 Bc | 14.67 ± 0.93 Bc | 14.86 ± 0.85 Bbc | 15.42 ± 0.90 Bab | 15.58 ± 0.70 Bab | 15.87 ± 0.96 Ba | 16.05 ± 0.57 Ba | |
| ST (1) | Oil | Storage Period (Months) | |||||
|---|---|---|---|---|---|---|---|
| 1 | 2 | 3 | 4 | 5 | 6 | ||
| −18 | Castor oil | 0.66 ± 0.15 Aa | 0.69 ± 0.20 Aa | 0.62 ± 0.19 Aa | 0.65 ± 0.34 Aa | 0.68 ± 0.32 Aa | 0.71 ± 0.26 Aa |
| Orange oil | 0.57 ± 0.27 ABa | 0.61 ± 0.36 ABa | 0.58 ± 0.24 Aa | 0.64 ± 0.36 Aa | 0.67 ± 0.38 Aa | 0.64 ± 0.34 Aa | |
| Palm oil | 0.45 ± 0.19 BCa | 0.40 ± 0.17 Ba | 0.47 ± 0.17 Aa | 0.52 ± 0.18 Aa | 0.51 ± 0.21 Aa | 0.54 ± 0.26 Aa | |
| Shortening | 0.42 ± 0.12 Ca | 0.49 ± 0.23 ABa | 0.48 ± 0.22 Aa | 0.53 ± 0.22 Aa | 0.50 ± 0.36 Aa | 0.58 ± 0.39 Aa | |
| Margarine | 0.44 ± 0.08 BCa | 0.42 ± 0.27 Ba | 0.51 ± 0.24 Aa | 0.56 ± 0.27 Aa | 0.53 ± 0.26 Aa | 0.51 ± 0.20 Aa | |
| −60 | Castor oil | 0.56 ± 0.19 Aa | 0.61 ± 0.25 Aa | 0.62 ± 0.15 Aa | 0.66 ± 0.41 Aa | 0.62 ± 0.32 Aa | 0.65 ± 0.24 Aa |
| Orange oil | 0.53 ± 0.20 ABa | 0.59 ± 0.14 Aa | 0.60 ± 0.26 ABa | 0.64 ± 0.35 Aa | 0.63 ± 0.38 Aa | 0.62 ± 0.29 Aa | |
| Palm oil | 0.41 ± 0.16 Ba | 0.49 ± 0.20 ABa | 0.44 ± 0.13 Ba | 0.53 ± 0.40 Aa | 0.49 ± 0.18 Aa | 0.54 ± 0.14 Aa | |
| Shortening | 0.43 ± 0.12 ABa | 0.45 ± 0.15 ABa | 0.49 ± 0.21 ABa | 0.54 ± 0.25 Aa | 0.51 ± 0.38 Aa | 0.50 ± 0.31 Aa | |
| Margarine | 0.39 ± 0.18 Ba | 0.37 ± 0.12 Ba | 0.48 ± 0.18 ABa | 0.50 ± 0.20 Aa | 0.47 ± 0.21 Aa | 0.51 ± 0.29 Aa | |
| Cooking Status | ST (1) | Oil | Storage Period (Months) | ||||||
|---|---|---|---|---|---|---|---|---|---|
| 0 | 1 | 2 | 3 | 4 | 5 | 6 | |||
| Cooking | −18 | Castor oil | 49.81 ± 0.31 Ca | 51.14 ± 0.97 BCa | 50.55 ± 0.29 Ba | 48.85 ± 0.40 Bb | 48.67 ± 0.40 Bb | 49.91 ± 0.45 Bb | 47.11 ± 0.62 Bb |
| Orange oil | 67.70 ± 0.30 Abc | 69.10 ± 0.39 Aa | 68.54 ± 0.58 Aab | 66.71 ± 1.02 Acd | 66.81 ± 0.45 Acd | 65.52 ± 0.33 Acd | 64.85 ± 0.91 Ad | ||
| Palm oil | 50.07 ± 0.54 Ca | 52.91 ± 0.92 Ba | 50.82 ± 0.62 Bab | 49.25 ± 0.94 Bab | 49.42 ± 0.55 Bab | 48.34 ± 0.78 Cab | 47.81 ± 0.85 Bb | ||
| Shortening | 51.26 ± 0.80 Ba | 50.04 ± 1.59 Cb | 49.10 ± 0.65 Cb | 50.42 ± 0.97 Bb | 49.33 ± 0.35 Bb | 48.84 ± 0.54 BCb | 48.26 ± 0.72 Bb | ||
| Margarine | 51.12 ± 0.46 Ba | 51.26 ± 1.15 BCb | 49.51 ± 0.39 Cbc | 49.04 ± 0.50 Bbc | 48.76 ± 0.93 Bbc | 48.37 ± 0.76 Cbc | 47.85 ± 0.86 Bc | ||
| −60 | Castor oil | 49.81 ± 0.31 Cab | 51.90 ± 1.62 Ba | 50.77 ± 0.98 Bab | 49.47 ± 0.68 Babc | 49.53 ± 0.49 Babc | 49.32 ± 0.80 Bbc | 48.92 ± 0.90 Bc | |
| Orange oil | 67.70 ± 0.30 Aabc | 68.42 ± 1.02 Aa | 68.72 ± 0.52 Aab | 67.20 ± 0.61 Abc | 66.70 ± 0.44 Abc | 66.58 ± 0.55 Ac | 66.07 ± 0.74 Ac | ||
| Palm oil | 50.07 ± 0.54 Ca | 50.23 ± 1.05 Bab | 50.51 ± 0.78 Babc | 49.64 ± 0.41 Babc | 49.26 ± 0.80 Babc | 48.83 ± 0.27 Bbc | 48.55 ± 0.53 Bc | ||
| Shortening | 51.26 ± 0.80 Ba | 50.79 ± 1.33 Ba | 49.73 ± 0.96 Bb | 49.88 ± 0.90 Bb | 49.60 ± 0.59 Bb | 49.24 ± 0.54 Bb | 48.94 ± 0.78 Bb | ||
| Margarine | 51.12 ± 0.46 Ba | 51.37 ± 0.98 Bab | 50.64 ± 0.43 Bbc | 49.25 ± 0.58 Bbc | 49.50 ± 0.50 Bbc | 49.09 ± 0.24 Bbc | 48.74 ± 0.41 Bc | ||
| Non-cooking | −18 | Castor oil | 50.17 ± 0.34 Bb | 51.18 ± 1.13 Ba | 50.18 ± 0.60 Bab | 48.21 ± 0.67 Cc | 48.30 ± 0.67 Bc | 48.16 ± 0.86 Bb | 47.61 ± 1.01 Bd |
| Orange oil | 67.66 ± 1.43 Abc | 69.24 ± 0.88 Aa | 68.63 ± 0.32 Aab | 66.47 ± 0.57 Ac | 66.95 ± 0.32 Ac | 66.26 ± 0.63 Ad | 65.76 ± 0.74 Ad | ||
| Palm oil | 50.49 ± 0.80 Bbc | 50.43 ± 1.99 Ba | 49.53 ± 0.49 Bb | 49.86 ± 0.54 Bcd | 49.32 ± 0.85 Bcd | 49.06 ± 0.45 Bde | 48.45 ± 0.31 Be | ||
| Shortening | 51.45 ± 1.17 Ba | 49.18 ± 1.07 Bab | 49.36 ± 0.80 Bbc | 49.75 ± 0.72 Bab | 49.24 ± 0.98 Bbc | 48.91 ± 0.74 Bbc | 48.44 ± 0.85 Bc | ||
| Margarine | 52.35 ± 1.52 Ba | 50.10 ± 0.92 Ba | 49.75 ± 0.39 Bb | 49.47 ± 0.51 Bbc | 49.16 ± 0.28 Bbc | 48.59 ± 0.98 Bbc | 48.14 ± 1.08 Bc | ||
| −60 | Castor oil | 50.17 ± 0.34 Bbc | 50.60 ± 1.23 Ba | 50.23 ± 0.85 Bab | 49.19 ± 0.65 Bbc | 49.58 ± 0.46 Bbc | 48.86 ± 0.65 Bbc | 48.49 ± 0.75 Bc | |
| Orange oil | 67.66 ± 1.43 Aab | 69.38 ± 1.44 Aa | 68.81 ± 0.68 Aa | 67.51 ± 0.80 Abc | 67.10 ± 0.33 Abc | 66.91 ± 0.71 Abc | 66.58 ± 0.95 Ac | ||
| Palm oil | 50.49 ± 0.80 Bab | 50.35 ± 1.12 Ba | 49.72 ± 0.56 Ba | 49.92 ± 0.21 Babc | 49.84 ± 0.67 Babc | 49.15 ± 0.42 Bbc | 48.85 ± 0.67 Bc | ||
| Shortening | 51.45 ± 1.17 Ba | 51.22 ± 0.88 Bab | 49.28 ± 0.84 Babc | 49.41 ± 0.67 Babc | 49.28 ± 0.63 Babc | 49.10 ± 0.55 Bbc | 48.69 ± 0.64 Bc | ||
| Margarine | 52.35 ± 1.52 Ba | 51.16 ± 1.23 Ba | 50.15 ± 0.41 Ba | 49.59 ± 0.91 Bb | 49.63 ± 0.95 Bb | 49.40 ± 0.73 Bb | 48.98 ± 0.78 Bb | ||
| Cooking Status | ST (1) | Oil | Storage Period (Months) | ||||||
|---|---|---|---|---|---|---|---|---|---|
| 0 | 1 | 2 | 3 | 4 | 5 | 6 | |||
| Cooking | −18 | Castor oil | 92.99 ± 0.57 Ca | 91.11 ± 0.83 Db | 90.97 ± 0.62 Cbc | 90.27 ± 0.73 Cbcd | 89.74 ± 0.82 Bcd | 89.05 ± 0.55 Bde | 87.98 ± 0.84 Be |
| Orange oil | 96.79 ± 0.61 Aa | 96.01 ± 0.29 Aab | 95.66 ± 0.89 Abc | 94.89 ± 0.75 Ac | 93.46 ± 0.44 Ad | 92.91 ± 0.46 Ade | 92.09 ± 0.27 Ae | ||
| Palm oil | 95.33 ± 0.47 Ba | 94.12 ± 0.57 Cab | 93.81 ± 0.97 Bbc | 92.82 ± 0.65 Bcd | 92.52 ± 0.91 Ad | 91.87 ± 0.28 Ade | 91.08 ± 0.75 Ae | ||
| Shortening | 95.62 ± 0.41 Ba | 94.46 ± 0.48 BCb | 94.10 ± 0.89 ABbc | 93.27 ± 0.72 Bcd | 93.17 ± 0.73 Acde | 92.82 ± 0.56 Ade | 92.03 ± 0.51 Ae | ||
| Margarine | 96.11 ± 0.82 ABa | 95.19 ± 0.32 ABab | 94.52 ± 0.98 ABbc | 93.70 ± 0.58 ABcd | 93.39 ± 0.49 Acd | 92.55 ± 0.90 Ad | 91.01 ± 0.43 Ae | ||
| −60 | Castor oil | 92.99 ± 0.57 Ca | 91.61 ± 0.68 Cb | 91.28 ± 0.96 Bb | 90.57 ± 0.85 Bbc | 89.67 ± 1.06 Bcd | 88.84 ± 0.71 Bde | 87.95 ± 0.49 Ce | |
| Orange oil | 96.79 ± 0.61 Aa | 96.56 ± 0.42 Aa | 96.24 ± 0.94 Aab | 95.58 ± 0.86 Aab | 94.83 ± 0.95 Abc | 94.14 ± 0.93 Acd | 93.03 ± 0.44 Ad | ||
| Palm oil | 95.33 ± 0.47 Ba | 95.18 ± 0.42 Ba | 94.92 ± 0.83 Aa | 94.21 ± 0.80 Aab | 93.49 ± 0.67 Abc | 92.93 ± 0.68 Acd | 91.98 ± 0.34 Bd | ||
| Shortening | 95.62 ± 0.41 Ba | 95.54 ± 0.48 Ba | 95.12 ± 0.82 Aa | 94.42 ± 0.50 Aab | 93.83 ± 0.93 Ab | 93.23 ± 0.85 Ab | 92.03 ± 0.59 Bc | ||
| Margarine | 96.11 ± 0.82 ABa | 96.03 ± 0.36 ABa | 95.57 ± 0.75 Aab | 94.86 ± 0.52 Aabc | 94.35 ± 0.81 Abc | 93.98 ± 0.79 Acd | 92.99 ± 0.47 Ad | ||
| Non-cooking | −18 | Castor oil | 91.39 ± 0.86 Ca | 91.82 ± 1.18 Ca | 91.31 ± 0.69 Ba | 90.49 ± 0.57 Cab | 89.40 ± 0.90 Cbc | 88.78 ± 0.69 Ccd | 87.90 ± 0.53 Cd |
| Orange oil | 97.21 ± 0.13 Aa | 96.85 ± 0.60 Aab | 96.63 ± 0.97 Aab | 95.86 ± 0.66 Abc | 95.30 ± 0.82 Ac | 94.87 ± 0.35 Acd | 94.02 ± 0.60 Ad | ||
| Palm oil | 95.94 ± 0.31 Ba | 95.04 ± 0.58 Bab | 94.81 ± 0.93 Aabc | 94.39 ± 0.70 Bbcd | 93.67 ± 0.68 Bcd | 93.27 ± 0.68 Bd | 91.97 ± 0.85 Be | ||
| Shortening | 96.58 ± 0.24 ABa | 96.26 ± 0.97 ABab | 95.89 ± 0.88 Aab | 95.08 ± 0.95 ABbc | 94.47 ± 0.59 ABc | 93.95 ± 0.44 ABcd | 92.92 ± 0.61 ABd | ||
| Margarine | 95.70 ± 0.97 Bab | 95.94 ± 0.78 ABa | 95.66 ± 1.28 Aab | 94.92 ± 0.51 ABabc | 94.14 ± 1.02 ABbc | 93.61 ± 0.79 Bc | 92.05 ± 0.53 Bd | ||
| −60 | Castor oil | 91.39 ± 0.86 Ca | 91.61 ± 0.91 Ca | 91.31 ± 0.94 Ca | 90.74 ± 0.48 Cab | 90.38 ± 0.58 Cabc | 89.76 ± 0.84 Cbc | 89.03 ± 0.34 Cc | |
| Orange oil | 97.21 ± 0.13 Aa | 97.17 ± 0.20 Aa | 96.96 ± 0.51 Aab | 96.35 ± 0.56 Aabc | 95.88 ± 0.99 Abc | 95.32 ± 0.52 Ac | 94.05 ± 0.93 Ad | ||
| Palm oil | 95.94 ± 0.31 Ba | 95.55 ± 0.38 Bab | 95.22 ± 0.96 Bab | 94.53 ± 0.80 Bbc | 93.85 ± 0.66 Bc | 93.53 ± 0.38 Bc | 91.95 ± 0.53 Bd | ||
| Shortening | 96.58 ± 0.24 ABa | 96.06 ± 0.71 ABab | 95.68 ± 0.96 ABabc | 95.23 ± 0.42 Bbcd | 94.58 ± 0.54 ABcd | 94.12 ± 0.72 ABd | 92.99 ± 0.47 ABe | ||
| Margarine | 95.70 ± 0.97 Bab | 96.20 ± 0.62 ABa | 95.91 ± 0.92 ABab | 95.01 ± 0.59 Babc | 94.64 ± 0.64 ABbc | 93.86 ± 0.96 Bc | 92.02 ± 0.61 Bd | ||
| Cooking Status | ST (1) | Oil | Storage Period (Months) | ||||||
|---|---|---|---|---|---|---|---|---|---|
| 0 | 1 | 2 | 3 | 4 | 5 | 6 | |||
| Cooking | −18 | Castor oil | 91.56 ± 0.86 Ba | 89.84 ± 0.98 Bb | 89.34 ± 1.11 Bb | 87.83 ± 0.84 Bc | 87.34 ± 0.64 Bcd | 86.90 ± 0.59 Bcd | 86.12 ± 0.53 Bd |
| Orange oil | 96.32 ± 1.01 Aa | 95.74 ± 0.94 Aa | 95.37 ± 0.76 Aa | 93.89 ± 0.63 Ab | 93.67 ± 0.84 Ab | 93.19 ± 0.62 Abc | 92.06 ± 0.56 Ac | ||
| Palm oil | 87.18 ± 0.88 Da | 86.93 ± 0.71 Ca | 86.52 ± 1.05 Ca | 84.34 ± 0.71 Cb | 83.87 ± 0.76 Db | 83.23 ± 0.34 Dbc | 82.05 ± 0.83 Ec | ||
| Shortening | 90.09 ± 0.68 BCa | 89.86 ± 0.77 Ba | 88.62 ± 0.62 Bb | 86.78 ± 0.80 Bc | 86.42 ± 0.70 BCc | 85.91 ± 0.52 BCcd | 85.07 ± 0.48 Cd | ||
| Margarine | 89.30 ± 0.92 Ca | 88.67 ± 1.09 Ba | 88.34 ± 0.49 Ba | 86.48 ± 0.67 Bb | 85.82 ± 0.56 Cb | 85.22 ± 0.65 Cbc | 84.02 ± 0.23 Dc | ||
| −60 | Castor oil | 91.56 ± 0.86 Ba | 90.08 ± 0.59 Bb | 89.71 ± 0.81 Bb | 88.19 ± 0.46 Bc | 87.70 ± 0.89 Bc | 86.92 ± 0.89 Bcd | 86.05 ± 0.47 Bd | |
| Orange oil | 96.32 ± 1.01 Aa | 96.08 ± 0.20 Aa | 95.79 ± 0.66 Aa | 94.11 ± 0.76 Ab | 94.19 ± 0.94 Ab | 93.84 ± 0.95 Ab | 93.06 ± 0.33 Ab | ||
| Palm oil | 87.18 ± 0.88 Da | 87.51 ± 0.95 Ca | 87.18 ± 0.79 Ca | 85.42 ± 0.80 Cb | 84.71 ± 0.80 Cb | 84.22 ± 0.55 Cbc | 83.15 ± 0.31 Dc | ||
| Shortening | 90.09 ± 0.68 BCa | 90.04 ± 0.40 Ba | 89.29 ± 0.77 Ba | 86.98 ± 0.77 Bb | 86.35 ± 0.52 Bb | 85.93 ± 0.72 Bbc | 84.98 ± 0.47 Cc | ||
| Margarine | 89.30 ± 0.92 Ca | 89.74 ± 0.85 Ba | 89.22 ± 1.16 Ba | 87.19 ± 0.94 Bb | 86.55 ± 0.66 Bbc | 85.59 ± 0.67 BCcd | 84.11 ± 0.77 Cd | ||
| Non-cooking | −18 | Castor oil | 91.33 ± 0.31 Ba | 90.32 ± 0.97 Bab | 90.03 ± 0.89 Bab | 88.95 ± 0.75 Bbc | 88.27 ± 0.77 Bcd | 87.88 ± 0.63 Bcd | 87.02 ± 0.78 Be |
| Orange oil | 96.71 ± 0.41 Aa | 97.02 ± 0.55 Aa | 96.39 ± 1.09 Aab | 95.35 ± 0.47 Abc | 94.94 ± 0.67 Acd | 94.19 ± 0.45 Ad | 93.05 ± 0.40 Ae | ||
| Palm oil | 90.21 ± 0.94 Ba | 90.15 ± 0.75 Ba | 90.01 ± 0.94 Bab | 88.72 ± 0.44 Bbc | 88.35 ± 0.81 Bc | 87.54 ± 0.73 BCc | 86.07 ± 0.45 BCd | ||
| Shortening | 90.22 ± 0.78 Ba | 90.05 ± 0.80 Ba | 89.36 ± 0.87 Bab | 87.95 ± 0.82 Bbc | 87.22 ± 0.79 Bc | 86.58 ± 0.79 CDc | 85.03 ± 0.97 Cd | ||
| Margarine | 90.69 ± 0.37 Ba | 89.97 ± 0.30 Ba | 89.68 ± 1.29 Ba | 88.38 ± 0.88 Bb | 87.61 ± 0.57 Bb | 85.55 ± 0.56 Dc | 84.97 ± 0.71 Cc | ||
| −60 | Castor oil | 91.33 ± 0.31 Ba | 91.47 ± 0.43 Ba | 91.10 ± 0.73 Ba | 90.03 ± 0.62 Bb | 89.70 ± 0.47 Bbc | 88.80 ± 0.46 Bcd | 87.95 ± 0.76 Bd | |
| Orange oil | 96.71 ± 0.41 Aab | 97.18 ± 0.49 Aa | 96.97 ± 0.78 Aa | 95.70 ± 0.71 Abc | 95.46 ± 0.77 Ac | 94.80 ± 0.82 Acd | 93.98 ± 0.34 Ad | ||
| Palm oil | 90.21 ± 0.94 Bab | 90.70 ± 0.51 Ba | 90.19 ± 0.96 BCab | 88.93 ± 0.75 BCbc | 88.25 ± 0.90 BCc | 87.58 ± 0.62 BCc | 86.03 ± 0.75 Cd | ||
| Shortening | 90.22 ± 0.78 Ba | 89.56 ± 0.77 Ca | 89.17 ± 0.93 Cab | 88.03 ± 0.66 Cbc | 87.42 ± 1.02 Ccd | 86.96 ± 0.73 Ccd | 85.97 ± 0.81 Cd | ||
| Margarine | 90.69 ± 0.37 Bab | 91.26 ± 0.79 Ba | 90.67 ± 1.02 BCab | 89.32 ± 0.78 BCbc | 88.90 ± 0.75 BCc | 88.23 ± 0.94 BCcd | 86.96 ± 0.46 BCd | ||
| Cooking Status | ST (1) | Oil | Storage Period (Months) | ||||||
|---|---|---|---|---|---|---|---|---|---|
| 0 | 1 | 2 | 3 | 4 | 5 | 6 | |||
| Cooking | −18 | Castor oil | 90.99 ± 0.54 Ba | 90.65 ± 0.60 Ba | 90.27 ± 0.91 Ba | 88.29 ± 0.91 Bb | 87.52 ± 0.62 Bbc | 86.87 ± 0.91 Bcd | 85.96 ± 0.31 Bd |
| Orange oil | 95.26 ± 0.76 Aa | 94.74 ± 0.86 Aa | 94.48 ± 1.04 Aa | 92.66 ± 0.54 Ab | 91.94 ± 0.65 Ab | 91.29 ± 0.76 Abc | 89.97 ± 0.92 Ac | ||
| Palm oil | 88.39 ± 0.44 Ca | 87.82 ± 0.61 Ca | 87.41 ± 0.92 Ca | 85.61 ± 0.84 Cb | 84.92 ± 0.36 Cbc | 84.12 ± 0.98 Ccd | 82.99 ± 0.27 Cd | ||
| Shortening | 87.24 ± 0.49 Ca | 86.28 ± 0.53 Da | 86.04 ± 1.07 Ca | 84.21 ± 0.78 Db | 83.77 ± 0.53 Dbc | 82.88 ± 0.88 Ccd | 82.03 ± 0.50 CDd | ||
| Margarine | 88.09 ± 0.81 Ca | 87.21 ± 0.59 CDa | 85.94 ± 1.08 Cb | 83.88 ± 0.68 Dc | 83.24 ± 0.39 Dc | 82.64 ± 0.43 Cc | 81.03 ± 0.73 Dd | ||
| −60 | Castor oil | 90.99 ± 0.54 Ba | 91.09 ± 0.97 Ba | 90.22 ± 1.07 Ba | 88.62 ± 0.99 Bb | 88.34 ± 0.63 Bbc | 87.94 ± 0.89 Bbc | 87.02 ± 0.68 Bc | |
| Orange oil | 95.26 ± 0.76 Aa | 95.10 ± 0.71 Aa | 94.72 ± 0.83 Aa | 93.33 ± 0.46 Ab | 92.78 ± 0.29 Ab | 92.17 ± 0.65 Abc | 91.25 ± 0.53 Ac | ||
| Palm oil | 88.39 ± 0.44 Ca | 88.02 ± 0.49 Ca | 87.33 ± 1.09 Ca | 85.81 ± 0.50 Cb | 85.21 ± 0.70 Cb | 84.91 ± 0.47 Cbc | 83.84 ± 0.77 Cc | ||
| Shortening | 87.24 ± 0.49 Ca | 87.18 ± 0.99 Ca | 86.56 ± 0.55 Ca | 84.74 ± 0.77 Cb | 84.33 ± 0.64 Cb | 83.84 ± 0.58 CDbc | 82.96 ± 0.76 CDc | ||
| Margarine | 88.09 ± 0.81 Ca | 87.67 ± 0.87 Ca | 86.93 ± 0.89 Ca | 85.12 ± 0.66 Cb | 84.44 ± 0.28 Cbc | 83.61 ± 0.32 Dc | 81.95 ± 0.73 Dd | ||
| Non-cooking | −18 | Castor oil | 90.93 ± 0.29 Ba | 90.03 ± 0.69 Ba | 89.89 ± 0.86 Ba | 88.28 ± 0.48 Bb | 87.54 ± 0.86 Bbc | 86.80 ± 0.36 Bcd | 85.92 ± 0.89 Bd |
| Orange oil | 96.74 ± 0.52 Aa | 96.05 ± 0.37 Aa | 95.74 ± 0.80 Aab | 94.76 ± 0.67 Abc | 93.95 ± 0.75 Acd | 93.22 ± 0.61 Ad | 92.08 ± 0.27 Ae | ||
| Palm oil | 89.63 ± 0.72 BCa | 88.16 ± 0.45 Cb | 87.97 ± 0.67 Cb | 86.74 ± 0.74 Cc | 86.44 ± 0.90 BCcd | 85.53 ± 0.25 Cd | 84.01 ± 0.44 Ce | ||
| Shortening | 89.04 ± 0.89 Ca | 88.36 ± 0.14 Ca | 88.04 ± 0.67 Ca | 86.65 ± 0.47 Cb | 85.92 ± 0.62 Cbc | 85.15 ± 0.71 Cc | 83.99 ± 0.40 Cd | ||
| Margarine | 90.94 ± 0.99 Ba | 90.39 ± 0.52 Ba | 88.36 ± 0.88 Cb | 87.38 ± 0.95 BCbc | 86.59 ± 0.54 BCc | 85.96 ± 0.99 BCcd | 85.05 ± 0.83 BCd | ||
| −60 | Castor oil | 90.93 ± 0.29 Ba | 90.46 ± 0.86 Ba | 90.14 ± 0.69 Ba | 88.59 ± 0.91 Bb | 87.88 ± 0.68 Bbc | 87.18 ± 0.84 Bcd | 86.05 ± 0.62 Bd | |
| Orange oil | 96.74 ± 0.52 Aa | 96.45 ± 0.54 Aa | 96.16 ± 0.96 Aa | 94.63 ± 0.69 Ab | 93.86 ± 0.61 Abc | 93.11 ± 0.67 Ac | 91.97 ± 0.35 Ad | ||
| Palm oil | 89.63 ± 0.72 BCa | 89.36 ± 0.24 Ca | 88.94 ± 0.81 BCa | 87.85 ± 0.54 BCb | 86.94 ± 0.85 BCbc | 86.17 ± 0.49 BCc | 85.04 ± 0.39 Cd | ||
| Shortening | 89.04 ± 0.89 Ca | 88.84 ± 0.27 Ca | 88.38 ± 1.08 Ca | 86.99 ± 0.54 Cb | 86.27 ± 0.48 Cbc | 85.53 ± 0.94 Cc | 84.04 ± 0.42 Dd | ||
| Margarine | 90.94 ± 0.99 Ba | 90.64 ± 0.48 Ba | 90.22 ± 0.82 Ba | 87.84 ± 0.84 BCb | 87.32 ± 0.62 BCbc | 86.39 ± 0.76 BCc | 85.02 ± 0.65 Cd | ||
| ST (1) | Oil | Storage Period (Months) | |||||||
|---|---|---|---|---|---|---|---|---|---|
| 0 | 1 | 2 | 3 | 4 | 5 | 6 | |||
| L* | −18 | Castor oil | 63.75 ± 0.18 Ca | 63.94 ± 0.66 Ba | 63.48 ± 0.48 BCa | 62.40 ± 0.62 Cb | 61.71 ± 0.99 BCbc | 60.87 ± 0.80 BCcd | 60.35 ± 0.94 Bd |
| Orange oil | 65.91 ± 0.18 Aa | 66.24 ± 0.64 Aa | 65.90 ± 0.41 Aa | 64.65 ± 0.75 Ab | 63.98 ± 0.48 Abc | 63.28 ± 0.75 Acd | 62.96 ± 1.04 Ad | ||
| Palm oil | 64.63 ± 0.37 Ba | 64.34 ± 0.91 Ba | 64.13 ± 0.67 Ba | 63.73 ± 0.73 Ba | 62.61 ± 0.56 Bb | 61.59 ± 0.79 Bc | 60.89 ± 0.83 Bc | ||
| Shortening | 62.81 ± 0.15 Da | 62.71 ± 0.85 Ca | 62.37 ± 0.88 Da | 62.18 ± 0.42 Cab | 61.12 ± 1.13 Cbc | 60.40 ± 0.82 Ccd | 59.70 ± 1.04 Bd | ||
| Margarine | 63.85 ± 0.13 Ca | 63.42 ± 1.06 BCa | 63.05 ± 0.87 CDa | 62.97 ± 0.71 BCa | 61.88 ± 0.98 BCb | 60.84 ± 0.87 BCc | 59.69 ± 0.56 Bd | ||
| −60 | Castor oil | 63.75 ± 0.18 Ca | 63.64 ± 0.37 Bab | 63.36 ± 0.40 Babc | 62.82 ± 0.89 Babc | 62.69 ± 1.03 Bbcd | 62.49 ± 0.79 Bcd | 61.77 ± 0.66 Bd | |
| Orange oil | 65.91 ± 0.18 Aa | 66.03 ± 0.57 Aa | 65.74 ± 0.60 Aa | 65.08 ± 0.88 Aab | 65.17 ± 0.80 Aab | 64.49 ± 0.70 Abc | 63.75 ± 0.96 Ac | ||
| Palm oil | 64.63 ± 0.37 Ba | 63.66 ± 1.20 Bab | 63.43 ± 1.29 Babc | 62.87 ± 0.92 Bbcd | 62.79 ± 1.15 Bbcd | 62.21 ± 0.74 Bcd | 61.65 ± 0.82 Bd | ||
| Shortening | 62.81 ± 0.15 Da | 62.18 ± 1.25 Cab | 61.92 ± 1.11 Cab | 61.85 ± 0.55 Bab | 61.19 ± 0.77 Cbc | 60.84 ± 0.36 Cc | 60.24 ± 0.22 Cc | ||
| Margarine | 63.85 ± 0.13 Ca | 63.36 ± 0.39 Bab | 63.14 ± 0.57 Bab | 62.63 ± 0.67 Bbc | 62.37 ± 0.53 Bcd | 61.75 ± 0.76 BCde | 61.35 ± 0.52 Be | ||
| a* | −18 | Castor oil | 2.42 ± 0.07 Cab | 2.45 ± 0.21 BCa | 2.10 ± 0.07 ABCbc | 2.20 ± 0.20 ABabc | 1.87 ± 0.35 ABc | 2.03 ± 0.34 Bc | 1.92 ± 0.28 Bc |
| Orange oil | 1.68 ± 0.21 Ea | 2.01 ± 0.11 Da | 1.73 ± 0.35 Ca | 1.81 ± 0.36 Ba | 2.12 ± 0.64 Aa | 1.94 ± 0.44 Ba | 1.81 ± 0.53 Ba | ||
| Palm oil | 2.19 ± 0.18 Db | 2.24 ± 0.23 CDb | 1.94 ± 0.39 BCb | 2.00 ± 0.39 ABb | 2.30 ± 0.20 Aab | 2.69 ± 0.36 Aa | 2.65 ± 0.29 Aa | ||
| Shortening | 2.86 ± 0.07 Aa | 2.83 ± 0.20 Aab | 2.45 ± 0.40 Abc | 2.41 ± 0.38 Ac | 2.21 ± 0.18 Ac | 1.11 ± 0.08 Cbc | 2.52 ± 0.25 Aabc | ||
| Margarine | 2.64 ± 0.18 Ba | 2.61 ± 0.30 ABa | 2.26 ± 0.19 ABb | 2.17 ± 0.29 ABb | 1.59 ± 0.37 Bc | 1.18 ± 0.11 Cb | 2.80 ± 0.16 Aa | ||
| −60 | Castor oil | 2.42 ± 0.07 Ca | 2.32 ± 0.22 Aa | 2.12 ± 0.06 ABa | 2.06 ± 0.18 Aa | 2.11 ± 0.16 Ba | 2.00 ± 0.37 Aa | 2.16 ± 0.62 ABa | |
| Orange oil | 1.68 ± 0.21 Ebc | 1.71 ± 0.25 Bbc | 1.42 ± 0.13 Cc | 1.35 ± 0.13 Bc | 2.31 ± 0.10 Ba | 1.91 ± 0.37 Ab | 1.86 ± 0.46 Bb | ||
| Palm oil | 2.19 ± 0.18 Da | 2.31 ± 0.26 Aa | 2.08 ± 0.14 Bab | 2.17 ± 0.45 Aa | 2.29 ± 0.08 Ba | 1.78 ± 0.37 Ab | 1.97 ± 0.13 Bab | ||
| Shortening | 2.86 ± 0.07 Aa | 2.57 ± 0.23 Aa | 2.25 ± 0.11 Ab | 2.11 ± 0.12 Ab | 2.64 ± 0.48 Aa | 2.17 ± 0.09 Ab | 1.94 ± 0.18 Bb | ||
| Margarine | 2.64 ± 0.18 Ba | 2.47 ± 0.22 Aab | 2.24 ± 0.14 ABbc | 2.08 ± 0.13 Ac | 2.42 ± 0.15 ABab | 2.13 ± 0.20 Ac | 2.53 ± 0.31 Aa | ||
| ST (1) | Oil | Storage Period (Months) | |||||||
|---|---|---|---|---|---|---|---|---|---|
| 0 | 1 | 2 | 3 | 4 | 5 | 6 | |||
| b* | −18 | Castor oil | 16.75 ± 0.20 BCa | 16.56 ± 0.21 Ca | 16.18 ± 0.28 Cab | 15.34 ± 0.45 Cc | 15.52 ± 0.51 Bbc | 15.07 ± 1.07 Bc | 14.87 ± 0.85 BCc |
| Orange oil | 19.03 ± 0.47 Aa | 19.08 ± 0.37 Aa | 18.65 ± 0.50 Aab | 17.91 ± 0.54 Abcd | 18.21 ± 0.90 Aabc | 17.65 ± 1.03 Acd | 17.19 ± 0.82 Ad | ||
| Palm oil | 16.76 ± 0.18 BCa | 16.58 ± 0.17 Ca | 16.23 ± 0.19 Cab | 15.68 ± 0.39 BCbc | 15.30 ± 0.97 Bcd | 14.82 ± 0.86 Bde | 14.25 ± 0.60 Ce | ||
| Shortening | 16.60 ± 0.24 Ca | 16.60 ± 0.23 Ca | 16.40 ± 0.35 Cab | 15.70 ± 0.52 BCbcd | 15.87 ± 0.49 Babc | 15.33 ± 0.90 Bcd | 14.97 ± 0.81 BCd | ||
| Margarine | 17.09 ± 0.19 Ba | 17.11 ± 0.18 Ba | 16.99 ± 0.28 Ba | 16.11 ± 0.51 Bb | 16.37 ± 0.84 Bab | 15.95 ± 0.78 Bb | 15.53 ± 0.96 Bb | ||
| −60 | Castor oil | 16.75 ± 0.20 BCa | 16.62 ± 0.25 Bab | 16.33 ± 0.18 Cabc | 15.60 ± 0.43 Ccd | 15.85 ± 0.72 Bbcd | 15.37 ± 0.97 Bd | 15.19 ± 0.73 Bd | |
| Orange oil | 19.03 ± 0.47 Aab | 19.09 ± 0.60 Aa | 18.78 ± 0.49 Aab | 18.19 ± 0.25 Aabc | 18.04 ± 0.81 Abc | 17.72 ± 1.11 Ac | 17.44 ± 0.89 Ac | ||
| Palm oil | 16.76 ± 0.18 BCa | 16.61 ± 0.29 Ba | 16.35 ± 0.08 Cab | 15.93 ± 0.45 BCab | 15.50 ± 0.88 Bbc | 15.02 ± 1.19 Bc | 14.62 ± 0.77 Bc | ||
| Shortening | 16.60 ± 0.24 Ca | 16.59 ± 0.31 Ba | 16.38 ± 0.23 Ca | 16.10 ± 0.51 BCab | 15.77 ± 0.91 Bab | 15.19 ± 1.03 Bbc | 14.85 ± 0.87 Bc | ||
| Margarine | 17.09 ± 0.19 Ba | 16.99 ± 0.11 Bab | 16.80 ± 0.39 Bab | 16.31 ± 0.53 Bbc | 15.68 ± 0.77 Bcd | 15.06 ± 0.92 Bde | 14.72 ± 0.49 Be | ||
| ΔE | −18 | Castor oil | - | 0.62 ± 0.37 Cc | 0.86 ± 0.17 BCc | 2.04 ± 0.47 Bb | 2.48 ± 1.06 Ab | 3.55 ± 0.52 Aa | 4.06 ± 0.48 Aa |
| Orange oil | - | 0.79 ± 0.20 BCd | 0.73 ± 0.27 Cd | 1.73 ± 0.89 Bcd | 2.37 ± 0.42 Abc | 3.11 ± 0.93 ABab | 3.57 ± 1.14 Aa | ||
| Palm oil | - | 0.79 ± 0.53 BCe | 1.01 ± 0.29 BCde | 1.54 ± 0.64 Bd | 2.65 ± 0.51 Ac | 3.76 ± 0.60 Ab | 4.60 ± 0.55 Aa | ||
| Shortening | - | 1.59 ± 0.83 Ba | 1.51 ± 0.60 Ba | 1.59 ± 0.14 Ba | 1.43 ± 0.46 Ba | 2.49 ± 0.55 BCa | 2.34 ± 1.03 Ba | ||
| Margarine | - | 3.20 ± 1.06 Aa | 2.87 ± 0.84 Aab | 2.99 ± 0.69 Aa | 2.32 ± 0.71 ABab | 2.19 ± 0.33 Cb | 1.80 ± 0.84 Bb | ||
| −60 | Castor oil | - | 0.44 ± 0.24 Bd | 0.75 ± 0.12 Bcd | 1.64 ± 0.72 Bbc | 1.62 ± 0.92 Abc | 2.09 ± 0.91 Aab | 2.69 ± 0.58 ABa | |
| Orange oil | - | 0.73 ± 0.34 Bc | 0.77 ± 0.27 Bc | 1.34 ± 0.71 Bbc | 1.50 ± 0.95 Abc | 2.04 ± 1.18 Aab | 2.73 ± 1.28 ABa | ||
| Palm oil | - | 1.30 ± 0.82 Bc | 1.54 ± 0.87 Bc | 2.01 ± 0.96 ABbc | 2.27 ± 1.38 Aabc | 3.08 ± 1.24 Aab | 3.70 ± 1.02 Aa | ||
| Shortening | - | 1.24 ± 1.10 Ba | 1.22 ± 0.83 Ba | 1.27 ± 0.45 Ba | 1.37 ± 0.48 Aa | 1.73 ± 0.81 Aa | 2.23 ± 0.76 Ba | ||
| Margarine | - | 3.14 ± 0.38 Aa | 2.98 ± 0.53 Aa | 2.64 ± 0.63 Aa | 2.62 ± 0.74 Aa | 2.66 ± 0.99 Aa | 2.67 ± 0.51 ABa | ||
| ST (1) | Oil | Storage Period (Months) | |||||
|---|---|---|---|---|---|---|---|
| 0 | 1 | 2 | 3 | 4 | |||
| Total cell counts (log CFU/g) | −18 | Castor oil | ND (2) | ND | 3.23 | 3.58 | 3.68 |
| Orange oil | ND | ND | 2.56 | 3.25 | 3.29 | ||
| Palm oil | ND | ND | 3.25 | 3.66 | 3.70 | ||
| Shortening | ND | ND | 3.37 | 3.78 | 3.84 | ||
| Margarine | ND | ND | 3.43 | 3.74 | 3.84 | ||
| −60 | Castor oil | ND | ND | 2.97 | 3.53 | 3.59 | |
| Orange oil | ND | ND | 2.43 | 2.97 | 3.18 | ||
| Palm oil | ND | ND | 2.99 | 3.45 | 3.56 | ||
| Shortening | ND | ND | 2.97 | 3.41 | 3.60 | ||
| Margarine | ND | ND | 3.00 | 3.51 | 3.64 | ||
| Total coliform group bacteria (log CFU/g) | −18 | Castor oil | ND | ND | ND | ND | ND |
| Orange oil | ND | ND | ND | ND | ND | ||
| Palm oil | ND | ND | ND | ND | ND | ||
| Shortening | ND | ND | ND | ND | ND | ||
| Margarine | ND | ND | ND | ND | ND | ||
| −60 | Castor oil | ND | ND | ND | ND | ND | |
| Orange oil | ND | ND | ND | ND | ND | ||
| Palm oil | ND | ND | ND | ND | ND | ||
| Shortening | ND | ND | ND | ND | ND | ||
| Margarine | ND | ND | ND | ND | ND | ||
Disclaimer/Publisher’s Note: The statements, opinions and data contained in all publications are solely those of the individual author(s) and contributor(s) and not of MDPI and/or the editor(s). MDPI and/or the editor(s) disclaim responsibility for any injury to people or property resulting from any ideas, methods, instructions or products referred to in the content. |
© 2023 by the authors. Licensee MDPI, Basel, Switzerland. This article is an open access article distributed under the terms and conditions of the Creative Commons Attribution (CC BY) license (https://creativecommons.org/licenses/by/4.0/).
Share and Cite
Cho, Y.; Bae, J.; Lee, J.; Choi, M.-J. Storage Stability of Meat Analogs Supplemented with Vegetable Oils. Foods 2023, 12, 3586. https://doi.org/10.3390/foods12193586
Cho Y, Bae J, Lee J, Choi M-J. Storage Stability of Meat Analogs Supplemented with Vegetable Oils. Foods. 2023; 12(19):3586. https://doi.org/10.3390/foods12193586
Chicago/Turabian StyleCho, Youngjae, Junhwan Bae, Jiseon Lee, and Mi-Jung Choi. 2023. "Storage Stability of Meat Analogs Supplemented with Vegetable Oils" Foods 12, no. 19: 3586. https://doi.org/10.3390/foods12193586
APA StyleCho, Y., Bae, J., Lee, J., & Choi, M.-J. (2023). Storage Stability of Meat Analogs Supplemented with Vegetable Oils. Foods, 12(19), 3586. https://doi.org/10.3390/foods12193586

