Study on the Stability Mechanism of Peanut OBs Extracted with the Aqueous Enzymatic Method
Abstract
:1. Introduction
2. Materials and Methods
2.1. Materials
2.2. Samples Preparation
2.2.1. Extraction of Peanut OBs
2.2.2. Extraction and Characterization of OB Proteins
2.2.3. Extraction and Characterization of Phospholipids
2.2.4. Purification of Peanut Oil
2.3. Interaction Analysis between OB Proteins and Phospholipids in the Aqueous Phase
2.3.1. Preparation of OB Proteins, Phospholipids, and OB Protein–Phospholipid Complex Solutions
2.3.2. Endogenous Fluorescence Spectrum Analysis
2.3.3. Isothermal Titration Calorimetry (ITC)
2.3.4. Determination of Zeta Potential
2.4. Interface Characteristic Analysis
2.4.1. Dynamic Interfacial Tension Measurement
2.4.2. Interface Rheological Properties Analysis
2.5. Preparation of Reconstituted OBs
2.6. Determination of Particle Size and Zeta Potential of Reconstituted OBs
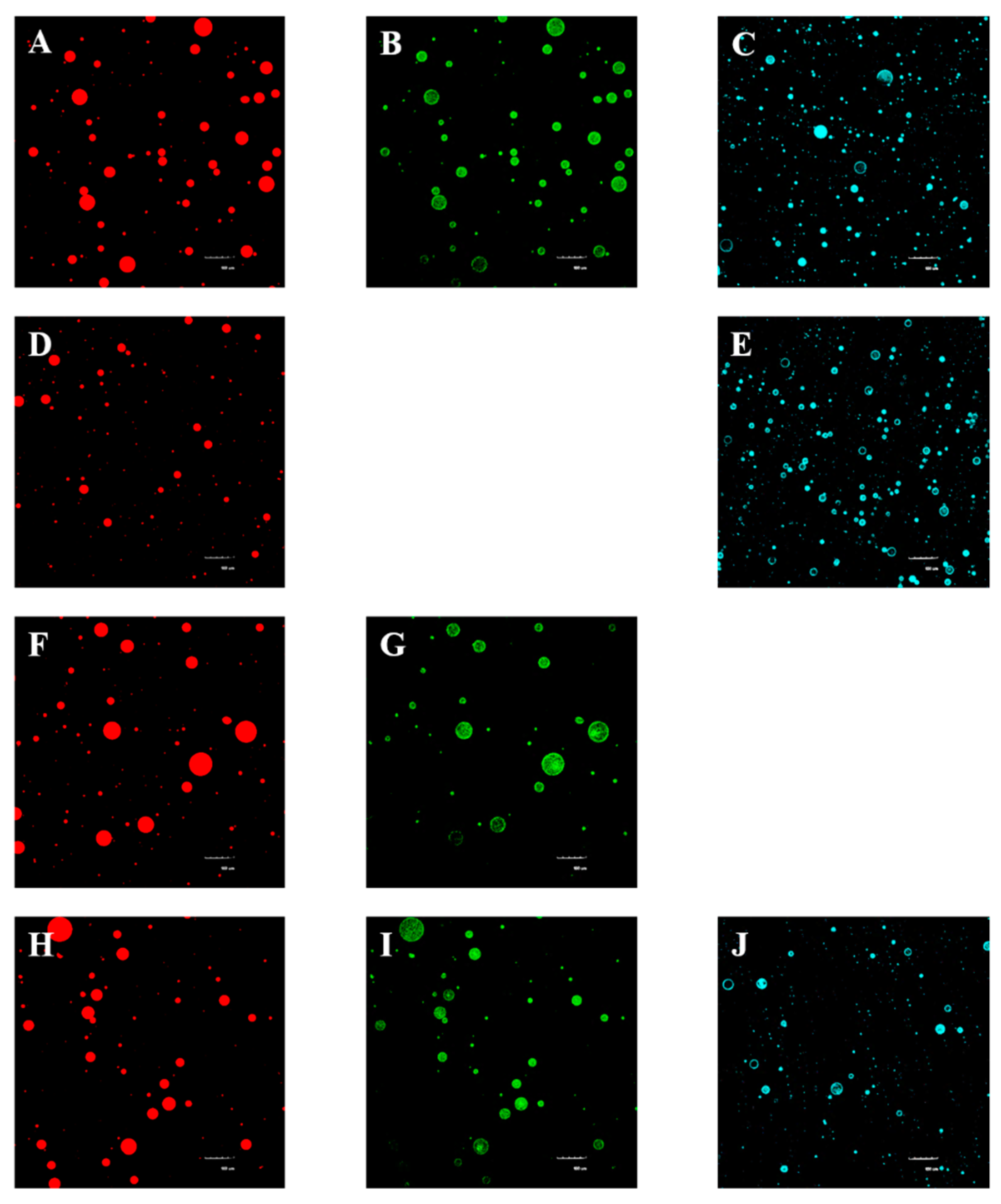
2.7. Microstructure of Reconstituted OBs
2.8. Statistical Analysis
3. Results and Discussion
3.1. Characterization of OB Proteins and Phospholipids
3.2. Effect of Phospholipids on the Endogenous Fluorescence Spectrum of OB Proteins
3.3. Interaction between OB Proteins and Phospholipids
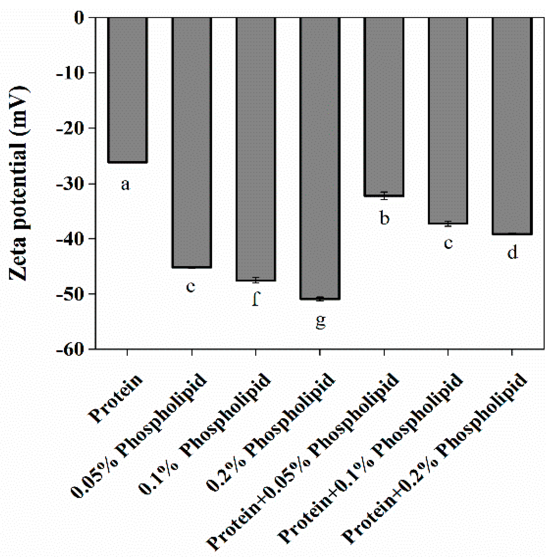
3.4. Effect of Phospholipids on the Zeta Potential of OB Proteins
3.5. Adsorption Behavior of OB Proteins and Phospholipids at Oil–Water Interface
3.6. Rheological Properties of OB Proteins and Phospholipids at Oil–Water Interface
3.7. Stability and Microstructure of Reconstituted OBs
3.8. Exploration of Stability Mechanism of Peanut OBs
4. Conclusions
Author Contributions
Funding
Institutional Review Board Statement
Informed Consent Statement
Data Availability Statement
Conflicts of Interest
References
- Hu, Q.; Guo, S.; Lv, Y.; Shi, X.; Guo, S. Review of research on components, structure and proteins of oil body. Food Sci. 2015, 36, 230–235. [Google Scholar] [CrossRef]
- Huang, A.H.C. Plant lipid droplets and their associated proteins: Potential for rapidadvances. Plant Physiol. 2018, 176, 1894–1918. [Google Scholar] [CrossRef]
- Maurer, S.; Waschatko, G.; Schach, D.; Zielbauer, B.; Dahl, J.; Weidner, T.; Bonn, M.; Vilgis, T.A. The role of intact oleosin for stabilization and function of oleosomes. J. Phys. Chem. 2013, 117, 13872–13883. [Google Scholar] [CrossRef] [PubMed]
- Huang, A.H.C. Oil bodies and oleosins in seeds. Annu. Rev. Plant Biol. 1992, 43, 177–200. [Google Scholar] [CrossRef]
- Li, P.; Gasmalla, M.; Liu, J.; Zhang, W.; Yang, R.; Aboagarib, E. Characterization and demulsification of cream emulsion from aqueous extraction of peanut. J. Food Eng. 2016, 185, 62–71. [Google Scholar] [CrossRef]
- Zhou, L.; Chen, F.; Liu, K.; Zhu, T.; Jiang, L. Combination of Alcalase 2.4 L and CaCl2 for aqueous extraction of peanut oil. J. Food Sci. 2020, 85, 1772–1780. [Google Scholar] [CrossRef]
- Ying, Y.; Zhao, L.; Kong, L.; Kong, X.; Hua, Y.; Chen, Y. Solubilization of proteins in extracted oil bodies by SDS: A simple and efficient protein sample preparation method for Tricine-SDS-PAGE. Food Chem. 2015, 181, 179–185. [Google Scholar] [CrossRef]
- Sun, J.; Liu, W.; Feng, M.; Xu, X.; Zhou, G. Characterization of olive oil emulsions stabilized by flaxseed gum. J. Food Eng. 2019, 247, 74–79. [Google Scholar] [CrossRef]
- Li, Y.; Li, H.; Qi, B.; Xie, F.; Tan, Z. Effects of different enzyme treatments on structure and stability of proteins extracted from soybean emulsion. Trans. Chin. Soc. Agric. Eng. 2018, 49, 318–325. [Google Scholar] [CrossRef]
- Wang, M.; Chen, X.; Guo, J.; Yang, G.; Wang, J.; Yang, X. Stabilization of Foam and Emulsion by Subcritical Water-Treated Soy Protein: Effect of Aggregation State. Food Hydrocoll. 2018, 87, 619–628. [Google Scholar] [CrossRef]
- Prozeller, D.; Morsbach, S.; Landfester, K. Isothermal titration calorimetry as a complementary method for investigating nanoparticle-protein interactions. Nanoscale 2019, 11, 19265–19273. [Google Scholar] [CrossRef] [PubMed]
- Le Bourvellec, C.; Renard, C.M.G.C. Interactions between polyphenols and macromolecules: Quantification methods and mechanisms. Crit. Rev. Food Sci. Nutr. 2012, 52, 213–248. [Google Scholar] [CrossRef] [PubMed]
- Wang, S.; Yang, J.; Shao, G.; Qu, D.; Zhao, H.; Zhu, L.; Yang, L.; Li, R.; Li, J.; Liu, H. Dilatational rheological and nuclear magnetic resonance characterization of oil-water interface: Impact of pH on interaction of soy protein isolated and soy hull polysaccharides. Food Hydrocoll. 2020, 99, 105366. [Google Scholar] [CrossRef]
- Ward, A.F.H.; Tordai, L. Time-dependence of boundary tensions of solutions I. The role of diffusion in time-effects. J. Chem. Phys. 1946, 14, 453–461. [Google Scholar] [CrossRef]
- Liu, L.; Zhao, Q.; Liu, T.; Zhao, M. Dynamic surface pressure and dilatational viscoelasticity of sodium caseinate/xanthan gum mixtures at the oil-water interface. Food Hydrocoll. 2011, 25, 921–927. [Google Scholar] [CrossRef]
- Xiong, W.; Ren, C.; Li, J.; Li, B. Characterization and interfacial rheological properties of nanoparticles prepared by heat treatment of ovalbumin-carboxymethylcellulose complexes. Food Hydrocoll. 2018, 82, 355–362. [Google Scholar] [CrossRef]
- Zhu, L.; Xu, Q.; Liu, X.; Xu, Y.; Yang, L.; Wang, S.; Li, J.; Ma, T.; Liu, H. Oil-water interfacial behavior of soy β-conglycinin–soyasaponin mixtures and their effect on emulsion stability. Food Hydrocoll. 2019, 101, 105531. [Google Scholar] [CrossRef]
- Cai, Y.; Deng, X.; Liu, T.; Zhao, M.; Zhao, Q. Effect of xanthan gum on walnut protein/xanthan gum mixtures, interfacial adsorption, and emulsion properties. Food Hydrocoll. 2018, 79, 391–398. [Google Scholar] [CrossRef]
- Sui, X.; Bi, S.; Qi, B.; Wang, Z.; Zhang, M.; Li, Y.; Jiang, L. Impact of ultrasonic treatment on an emulsion system stabilized with soybean protein isolate and lecithin: Its emulsifying property and emulsion stability. Food Hydrocoll. 2016, 63, 727–734. [Google Scholar] [CrossRef]
- Dave, A.C.; Ye, A.; Singh, H. Structural and interfacial characteristics of oil bodies in coconuts (Cocos nucifera L.). Food Chem. 2019, 276, 129–139. [Google Scholar] [CrossRef]
- Liu, C.; Chen, F.; Xia, Y. Composition and structural characterization of peanut crude oil bodies extracted by aqueous enzymatic method. J. Food Compos. Anal. 2022, 105, 104238. [Google Scholar] [CrossRef]
- Pimentel, L.; Fontes, A.L.; Salsinha, S.; Machado, M.; Correia, I.; Gomes, A.M.; Pintado, M.; Rodríguez-Alcalá, L.M. Suitable simple and fast methods for selective isolation of phospholipids as a tool for their analysis. Electrophoresis 2018, 39, 1835–1845. [Google Scholar] [CrossRef] [PubMed]
- Zhao, Q.; Yang, R.; Liu, J. Determination of phospholipids in peanut by direct-injection HPLC-ELSD. China Oils Fats 2018, 43, 131–135. [Google Scholar] [CrossRef]
- Schiller, J.; Süss, R.; Arnhold, J. Matrix-assisted laser desorption and ionization time-of-flight (MALDI-TOF) mass spectrometry in lipid and phospholipid research. Prog. Lipid Res. 2004, 43, 449–488. [Google Scholar] [CrossRef]
- Wu, W.; Cai, Y.; Wu, X.; Meng, Q.; Ye, J. Effect of rice bran storage time on the structure of rice bran protein. Mod. Food Sci. Technol. 2017, 33, 173–178. [Google Scholar] [CrossRef]
- Matemu, A.; Kayahara, H.; Murasawa, H.; Katayama, S.; Nakamura, S. Improved emulsifying properties of soy proteins by acylation with satu rated fatty acids. Food Chem. 2011, 124, 596–602. [Google Scholar] [CrossRef]
- Zhan, F.; Yang, J.; Li, J.; Wang, Y.; Li, B. Characteristics of the interaction mechanism between tannic acid and sodium caseinate using multispectroscopic and thermodynamics. Food Hydrocoll. 2018, 75, 81–87. [Google Scholar] [CrossRef]
- Watrelot, A.A.; Le Bourvellec, C.; Imberty, A.; Renard, C. Interactions between pectic compounds and procyanidins are influenced by methylation degree and chain length. Biomacromolecules 2013, 14, 709–718. [Google Scholar] [CrossRef]
- Ross, P.D.; Subramanian, S. Thermodynamics of protein association reactions: Forces contributing to stability. Biochemistry 1981, 20, 3096–3102. [Google Scholar] [CrossRef]
- Shi, H.; Chen, D. Isothermal Titration Calorimetry Studies on the Interaction of Riboswitch aac with Aminoglycosides. Acta Biophys. Sin. 2015, 31, 241–250. [Google Scholar]
- Jolivet, P.; Boulard, C.; Bellamy, A.; Larré, C.; Barre, M.; Rogniaux, H.; d’Andréa, S.; Chardot, T.; Nesi, N. Protein composition of oil bodies from mature Brassica napus seeds. Proteomics 2009, 9, 3268–3284. [Google Scholar] [CrossRef] [PubMed]
- Song, W.; Qin, Y.; Zhu, Y.; Yin, G.; Wu, N.; Li, Y.; Hu, Y. Delineation of plant caleosin residues critical for functional divergence, positive selection and coevolution. BMC Evol. Biol. 2014, 14, 124. [Google Scholar] [CrossRef] [PubMed]
- Bourgeois, C.; Gomaa, A.I.; Lefèvre, T.; Cansell, M.; Subirade, M. Interaction of oil bodies proteins with phospholipid bilayers: A molecular level elucidation as revealed by infrared spectroscopy. Int. J. Biol. Macromol. 2019, 122, 873–881. [Google Scholar] [CrossRef] [PubMed]
- Dickinson, E. Mixed biopolymers at interfaces: Competitive adsorption and multilayer structures. Food Hydrocoll. 2011, 25, 1966–1983. [Google Scholar] [CrossRef]
- Dickinson, E.; Vliet, T.V.; Benjamins, J.; Reynders, E. Static and dynamic properties of proteins adsorbed at liquid interfaces. Spec. Publ. R. Soc. Chem. 2000, 74, 392–395. [Google Scholar] [CrossRef]
- Macritchie, F. Proteins at interfaces. Adv. Protein Chem. 1978, 32, 283–326. [Google Scholar]
- Perez, A.; Carrara, C.; Sánchez, C.; Santiago, L.; Patino, J. Interfacial dynamic properties of whey protein concentrate/polysaccharide mixtures at neutral pH. Food Hydrocoll. 2009, 23, 1253–1262. [Google Scholar] [CrossRef]
- Croguennec, T.; Renault, A.; Beaufils, S.; Dubois, J.; Pezennec, S. Interfacial properties of heat-treated ovalbumin. J. Colloid Interface Sci. 2007, 315, 627–636. [Google Scholar] [CrossRef]
- Bos, M.A.; Van Vliet, T. Interfacial rheological properties of adsorbed protein layers and surfactants: A review. Adv. Colloid Interface Sci. 2001, 91, 437–471. [Google Scholar] [CrossRef]
- Mackie, A.; Wilde, P. The role of interactions in defining the structure of mixed protein–surfactant interfaces. Adv. Colloid Interface Sci. 2005, 117, 3–13. [Google Scholar] [CrossRef]
- Maldonado-Valderrama, J.; Patino, J. Interfacial rheology of protein-surfactant mixtures. Curr. Opin. Colloid Interface Sci. 2010, 15, 271–282. [Google Scholar] [CrossRef]
- Lucassen-Reynders, E.; Lucassen, J.; Garrett, P.; Giles, D.; Hollway, F. Dynamic Surface Measurements as a Tool to Obtain Equation-of-State Data for Soluble Monolayers. Adv. Chem. 1975, 144, 272–285. [Google Scholar]
- Rouimi, S.; Schorsch, C.; Valentini, C.; Vaslin, S. Foam stability and interfacial properties of milk protein–surfactant systems. Food Hydrocoll. 2005, 19, 467–478. [Google Scholar] [CrossRef]
- Ridout, M.; Paananen, A.; Mamode, A.; Linder, M.; Wilde, P. Interaction of transglutaminase with adsorbed and spread films of β-casein and к-casein. Colloids Surf. B Biointerfaces 2015, 128, 254–260. [Google Scholar] [CrossRef] [PubMed]
- Sui, X.; Guo, S. Effect of diluent type on analysis of zeta potential of colloid particles of soymilk protein. Trans. Chin. Soc. Agric. Eng. 2016, 32, 270–275. [Google Scholar] [CrossRef]
- Ding, J.; Zhang, Q.; Han, T.; Sui, X.; Dong, J.; Li, Y. Effects of Heat Treatment on Properties of Soybean Oil Body Emulsion. Food Sci. 2016, 8–14. [Google Scholar] [CrossRef]
- Zhang, S.; Wang, T. Destabilization of emulsion formed during aqueous extraction of peanut oil: Synergistic effect of Tween 20 and pH. J. Am. Oil Chem. Soc. 2016, 93, 1551–1561. [Google Scholar] [CrossRef]
- Deleu, M.; Vaca-Medina, G.; Fabre, J.; Roiz, J.; Valentin, R.; Mouloungui, Z. Interfacial properties of oleosins and phospholipids from rapeseed for the stability of oil bodies in aqueous medium. Colloids Surf. B Biointerfaces 2010, 80, 125–132. [Google Scholar] [CrossRef]
- Shimada, T.; Shimada, T.; Takahashi, H.; Fukao, Y.; Hara-Nishimura, L. A novel role for oleosins in freezing tolerance of oilseeds in Arabidopsis thaliana. Plant J. Cell Mol. Biol. 2008, 55, 798–809. [Google Scholar] [CrossRef]
- Shimada, T.L.; Hara-Nishimura, I. Oil-body-membrane proteins and their physiological functions in plants. Biol. Pharm. Bull. 2010, 33, 360–363. [Google Scholar] [CrossRef]
- Wilde, P.; Mackie, A.; Husband, F.; Gunning, P.; Morris, V. Proteins and emulsifiers at liquid interfaces. Adv. Colloid Interface Sci. 2004, 108, 63–71. [Google Scholar] [CrossRef] [PubMed]
- Murray, B.S. Rheological properties of protein films. Curr. Opin. Colloid Interface Sci. 2011, 16, 27–35. [Google Scholar] [CrossRef]
- Tcholakova, S.; Denkov, N.; Ivanov, I.; Campbell, B. Coalescence stability of emulsions containing globular milk proteins. Adv. Colloid Interface Sci. 2006, 123, 259–293. [Google Scholar] [CrossRef] [PubMed]
- Wang, S.; Shi, Y.; Tu, Z.; Zhang, L.; Wang, H.; Tian, M.; Zhang, N. Influence of soy lecithin concentration on the physical properties of whey protein isolate-stabilized emulsion and microcapsule formation. J. Food Eng. 2017, 207, 73–80. [Google Scholar] [CrossRef]
- Zhu, Q.; Wang, C.; Khalid, N.; Qiu, S.; Yin, L. Effect of protein molecules and MgCl2, in the water phase on the dilational rheology of polyglycerol polyricinoleate molecules adsorbed at the soy oil-water interface. Food Hydrocoll. 2017, 73, 194–202. [Google Scholar] [CrossRef]
Kdiff (mN/m/s1/2) (LR) | Kp × 104 (s−1) (LR) | Kr × 104 (s−1) (LR) | π10800 (mN/m) | |
---|---|---|---|---|
Protein | 0.2343 ± 0.01 c | 2.644 ± 0.05 a | 9.911 ± 0.05 a | 10.84 ± 0.05 c |
Protein + 0.05%Phospholipid | 0.3005 ± 0.04 a | 1.953 ± 0.04 b | 9.203 ± 0.03 b | 11.75 ± 0.01 b |
Protein + 0.1% Phospholipid | 0.2722 ± 0.04 b | 1.546 ± 0.03 c | 8.958 ± 0.07 c | 12.49 ± 0.01 a |
Protein + 0.2% Phospholipid | 0.1023 ± 0.01 d | 1.582 ± 0.02 c | 6.284 ± 0.07 d | 12.18 ± 0.03 a |
Disclaimer/Publisher’s Note: The statements, opinions and data contained in all publications are solely those of the individual author(s) and contributor(s) and not of MDPI and/or the editor(s). MDPI and/or the editor(s) disclaim responsibility for any injury to people or property resulting from any ideas, methods, instructions or products referred to in the content. |
© 2023 by the authors. Licensee MDPI, Basel, Switzerland. This article is an open access article distributed under the terms and conditions of the Creative Commons Attribution (CC BY) license (https://creativecommons.org/licenses/by/4.0/).
Share and Cite
Liu, C.; Chen, F. Study on the Stability Mechanism of Peanut OBs Extracted with the Aqueous Enzymatic Method. Foods 2023, 12, 3446. https://doi.org/10.3390/foods12183446
Liu C, Chen F. Study on the Stability Mechanism of Peanut OBs Extracted with the Aqueous Enzymatic Method. Foods. 2023; 12(18):3446. https://doi.org/10.3390/foods12183446
Chicago/Turabian StyleLiu, Chen, and Fusheng Chen. 2023. "Study on the Stability Mechanism of Peanut OBs Extracted with the Aqueous Enzymatic Method" Foods 12, no. 18: 3446. https://doi.org/10.3390/foods12183446
APA StyleLiu, C., & Chen, F. (2023). Study on the Stability Mechanism of Peanut OBs Extracted with the Aqueous Enzymatic Method. Foods, 12(18), 3446. https://doi.org/10.3390/foods12183446