Determination, Quality, and Health Assessment of Pesticide Residues in Kumquat in China
Abstract
:1. Introduction
2. Materials and Methods
2.1. Chemicals and Standards
2.2. Apparatuses
2.3. Design of Sampling Plan
2.4. Sampling
2.5. Sample Treatment
2.6. Instrumental Analysis
2.7. Quality Control and Assurance
2.8. Index of Quality for Residues (IqR)
2.9. Dietary Risk Evaluation
2.9.1. Chronic Intake Risk
2.9.2. Acute Intake Risk
3. Results
3.1. Detection of Pesticide Residues
3.2. Pesticide Residues Over-Standardness, and Detection of Banned and Restricted Pesticides
3.3. Multi-Residue Pesticide Residues
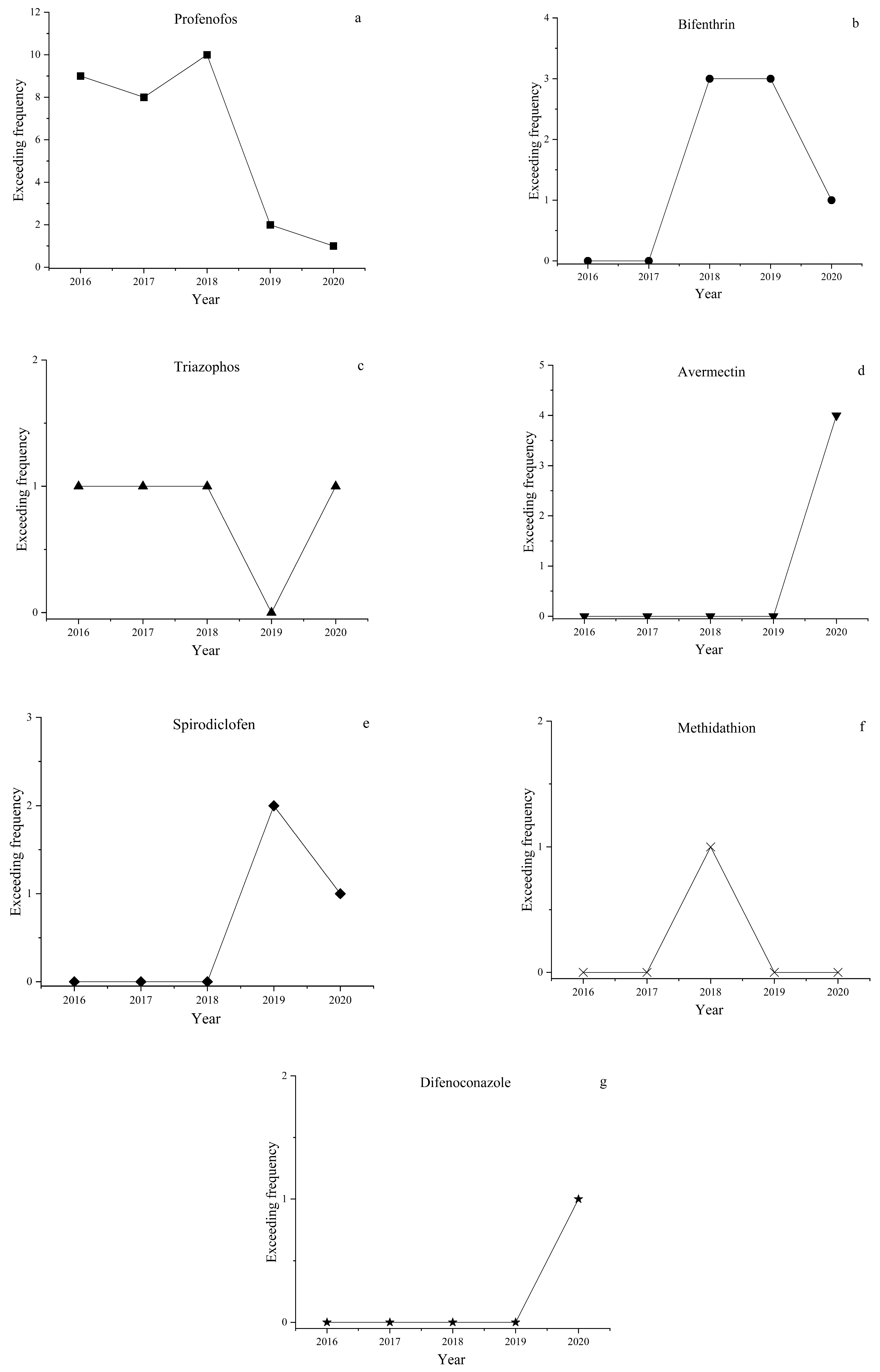
3.4. Changes of Over-Standard Pesticide Residues in Five Years
3.5. Quality Assessment of Kumquat Fruits
3.6. Health Risks of Pesticide Residues
4. Conclusions
Author Contributions
Funding
Data Availability Statement
Conflicts of Interest
References
- Wu, H.J. The situation and outlook of citrus processing industry in China. In Proceedings of the China/FAO Citrus Symposium, Beijing, China, 14–17 May 2001. [Google Scholar]
- Xu, J.G.; Lin, D.S. A Study on the history of Ningbo Jingan’s eastern expedition to Japan. Chin. Agric. Hist. 1999, 18, 97–101. [Google Scholar]
- Lin, D.S.; Wu, F.C. Distribution and species of kumquat in China. Chin. Citrus 1987, 3–5. [Google Scholar] [CrossRef]
- Wang, Y.C. Research of Kumquat Cultivation History, Cultivars Resources and the Present Situation of the Industry Development of Rongan Kumquat in Guangxi Province. Master’s Thesis, Guangxi University, Nanning, China, 2016. [Google Scholar]
- Ogawa, K.; Kawasaki, A.; Omura, M.; Yoshida, T. 3′,5′-Di-C-β-glucopyranosylphloretin, a flavonoid characteristic of the genus Fortunella. Phytochemistry 2011, 57, 737–742. [Google Scholar] [CrossRef]
- Barreca, D.; Bellocco, E.; Caristi, C.; Leuzzi, U.; Gattuso, G. Kumquat (Fortunella japonica Swingle) juice: Flavonoid distribution and antioxidant properties. Food Res. Int. 2011, 44, 2190–2197. [Google Scholar] [CrossRef]
- Roowi, S.; Crozier, A. Flavonoids in tropical citrus species. J. Agric. Food Chem. 2011, 59, 12217–12225. [Google Scholar] [CrossRef]
- Osman, K.A.; Al-Humaid, A.M.; Al-Rehiayani, S.M.; Al-Redhaiman, K.N. Monitoring of pesticide residues in vegetables marketed in Al-Qassim region, Saudi Arabia. Ecotoxicol. Environ. Saf. 2010, 73, 1433–1439. [Google Scholar] [CrossRef]
- Melo, A.; Cunha, S.C.; Mansilha, C.; Aguiar, A.; Pinho, O.; Ferreira, I.M.P.L.V.O. Monitoring pesticide residues in greenhouse tomato by combining acetonitrile based extraction with dispersive liquid-liquid microextraction followed by gas chromatography-mass spectrometry. Food Chem. 2012, 135, 1071–1077. [Google Scholar] [CrossRef]
- Islam, M.N.; Bint, E.; Naser, S.F.; Khan, M.S. Pesticide food laws and regulations. In Pesticide Residue in Foods: Sources, Management, and Control; Khan, M.S., Rahman, M.S., Eds.; Springer International Publishing: Cham, Swizerland, 2017; pp. 37–51. [Google Scholar]
- Duan, Y.; Guan, N.; Li, P.P.; Li, J.G.; Luo, J.H. Monitoring and dietary exposure assessment of pesticide residues in cowpea (Vigna unguiculata L. Walp) in Hainan, China. Food Control 2016, 59, 250–255. [Google Scholar] [CrossRef]
- Liu, Y.H.; Shen, D.Y.; Li, S.L.; Ni, Z.L.; Ding, M.; Ye, C.F.; Tang, F.B. Residue levels and risk assessment of pesticides in nuts of China. Chemosphere 2016, 144, 645–651. [Google Scholar] [CrossRef]
- Li, Z.X.; Nie, J.Y.; Yan, Z.; Cheng, Y.; Lan, F.; Huang, Y.N.; Chen, Q.S.; Zhao, X.B.; Li, A. A monitoring survey and dietary risk assessment for pesticide residues on peaches in China. Regul. Toxicol. Pharmacol. 2018, 97, 152–162. [Google Scholar] [CrossRef]
- WHO. Consultations and Workshops: Dietary Exposure Assessment of Chemicals in Food: Report of a Joint FAO/WHO Consultation Accessed. 2005. Available online: http://apps.who.int/iris/bitstream/10665/44027/1/9789241597470_eng.pdf (accessed on 2 March 2020).
- Akoto, O.; Andoh, H.; Darko, G.; Eshun, K.; Osei-Fosu, P. Health risk assessment of pesticides residue in maize and cowpea from ejura, Ghana. Chemosphere 2013, 92, 67–73. [Google Scholar] [CrossRef]
- MOA. GB 2763-2021; National Food Safety Standard Maximum Residue Limits for Pesticides in Food. Standards Press of China: Beijing, China, 2021. (In Chinese)
- Li, Z.X.; Zhang, Y.H.; Zhao, Q.Y.; Wang, C.Q.; Cui, Y.L.; Li, J.; Chen, A.H.; Liang, G.L.; Jiao, B.N. Occurrence, temporal variation, quality and safety assessment of pesticide residues on citrus fruits in China. Chemosphere 2020, 258, 127381. [Google Scholar] [CrossRef]
- Li, Z.X.; Zhang, Y.H.; Zhao, Q.Y.; Cui, Y.L.; He, Y.; Li, J.; Yang Qin Lin, Z.H.; Wang, C.Q.; Liang, G.L.; Jiao, B.N. Determination, distribution and potential health risk assessment of insecticides and acaricides in citrus fruits of China. J. Food Compos. Anal. 2022, 111, 104645. [Google Scholar] [CrossRef]
- Mac Loughlin, T.M.; Peluso, M.L.; Etchegoyen, M.A.; Alonso, L.L.; de Castro, M.C.; Percudani, M.C.; Marino, D.J.G. Pesticide residues in fruits and vegetables of the argentine domestic market: Occurrence and quality. Food Control 2018, 93, 129–138. [Google Scholar] [CrossRef]
- WHO. Global Environment Monitoring System (GEMS)/Food Contamination Monitoring and Assessment Programme. 2021. Available online: https://www.who.int/teams/nutrition-and-food-safety/databases/global-environment-monitoring-system-food-contamination (accessed on 30 September 2021).
- WHO. Inventory of Evaluations Performed by the Joint Meeting on Pesticide Residues (JMPR). 2012. Available online: http://apps.who.int/pesticideresidues-jmpr-database/Home/Range/All (accessed on 12 August 2021).
- MOA. GB/T 6379.1-2004; Accuracy (Trueness and Precision) of Measurement Methods and Results-Prat 1: General Principles and Definitions. Standards Press of China: Beijing, China, 2004. (In Chinese)
- MOA. GB/T 6379.2-2004; Accuracy (Trueness and Precision) of Measurement Methods and Results-Prat 2: Basic Method for the Determination of Repeatability and Reproducibility of a Standard Measure Method. Standards Press of China: Beijing, China, 2004. (In Chinese)
- Hao, W.N.; Li, H.; Hu, M.Y.; Yang, L.; Rizwan-ul-Haq, M. Integrated control of citrus green and blue mold and sour rot by Bacillus amyloliquefaciens in combination with tea saponin. Postharvest Biol. Technol. 2011, 59, 316–323. [Google Scholar] [CrossRef]
- Livingston, G.; Hack, L.; Steinmann, K.P.; Graftoncardwell, E.E.; Rosenheim, J.A. An ecoinformatics approach to field-scale evaluation of insecticide effects in California citrus: Are citrus thrips and citrus red mite induced pests? J. Econ. Entomol. 2018, 111, 1290–1297. [Google Scholar] [CrossRef]
- Bakırcı, G.T.; Acay, D.B.Y.; Bakırcı, F.; Otles, S. Pesticide residues in fruits and vegetables from the Aegean region, Turkey. Food Chem. 2014, 160, 379–392. [Google Scholar] [CrossRef]
- Li, Z.X.; Nie, J.Y.; Lu, Z.Q.; Xie, H.Z.; Kang, L.; Chen, Q.S.; Li, A.; Zhao, X.B.; Xu, G.F.; Yan, Z. Cumulative risk assessment of the exposure to pyrethroids through fruits consumption in China-Based on a 3-year investigation. Food Chem. Toxicol. 2016, 96, 234–243. [Google Scholar] [CrossRef]
- Mutengwe, M.T.; Chidamba, L.; Korsten, L. Monitoring pesticide residues in fruits and vegetables at two of the biggest fresh produce markets in Africa. J. Food Prot. 2016, 79, 1938–1945. [Google Scholar] [CrossRef]
- Li, M.M.; Dai, C.; Wang, F.Z.; Kong, Z.Q.; He, Y.; Huang, Y.T.; Fan, B. Chemometric-assisted QuEChERS extraction method for post-harvest pesticide determination in fruits and vegetables. Sci. Rep. 2017, 7, 42489. [Google Scholar] [CrossRef]
- MOA. GB 2763-2014; National Food Safety Standard Maximum Residue Limits for Pesticides in Food. Standards Press of China: Beijing, China, 2014. (In Chinese)
- Li, Z.X.; Nie, J.Y.; Yan, Z.; Xu, G.F.; Li, H.F.; Kuang, L.X.; Pan, L.G.; Xie, H.Z.; Wang, C.; Liu, C.D. Risk assessment and ranking of pesticide residues in Chinese pears. J. Integr. Agric. 2015, 14, 2328–2339. [Google Scholar] [CrossRef]
- Suarez-Jacobo, A.; Alcantar-Rosales, V.M.; Alonso-Segura, D.; Heras-Ramírez, M.; Elizarragaz-De La Rosa, D.; Lugo-Melchor, O.; Gaspar-Ramirez, O. Pesticide residues in orange fruit from citrus orchards in Nuevo Leon State, Mexico. Food Addit. Contam. Part B 2017, 10, 192–199. [Google Scholar] [CrossRef]
- EFSA. The 2017 European Union report on pesticide residues in food. EFSA J. 2019, 17, e05743. [Google Scholar]
- Poulsen, M.E.; Andersen, J.H.; Petersen, A.; Jensen, B.H. Results from the Danish monitoring programme for pesticide residues from the period 2004–2011. Food Control 2017, 74, 25–33. [Google Scholar] [CrossRef]
- MOA. GB 2763-2020; National Food Safety Standard Maximum Residue Limits for Pesticides in Food. Standards Press of China: Beijing, China, 2020. (In Chinese)
- Jardim, A.N.O.; Mello, D.C.; Goes, F.C.S.; Junior, E.F.F.; Caldas, E.D. Pesticide residues in cashew apple, guava, kaki and peach: GC-mECD, GC-FPD and LC-MS/MS multiresidue method validation, analysis and cumulative acute risk assessment. Food Chem. 2014, 164, 195–204. [Google Scholar] [CrossRef]
- Szpyrka, E.; Kurdziel, A.; Matyaszek, A.; Podbielska, M.; Rupar, J.; Słowik-Borowiec, M. Evaluation of pesticide residues in fruits and vegetables from the region of south-eastern Poland. Food Control 2015, 48, 137–142. [Google Scholar] [CrossRef]
- Jensen, B.H.; Petersen, A.; Nielsen, E.; Christensen, T.; Poulsen, M.; Andersen, J.H. Cumulative dietary exposure of the population of Denmark to pesticides. Food Chem. Toxicol. 2015, 83, 300–307. [Google Scholar] [CrossRef]
- Chung, S.W. How effective are common household preparations on removing pesticide residues from fruit and vegetables? A review. J. Sci. Food Agric. 2018, 98, 2857–2870. [Google Scholar] [CrossRef]
- Jankowska, M.; Łozowicka, B.; Kaczynski, P. Comprehensive toxicological study over 160 processing factors of pesticides in selected fruit and vegetables after water, mechanical and thermal processing treatments and their application to human health risk assessment. Sci. Total Environ. 2019, 652, 1156–1167. [Google Scholar] [CrossRef]





| Analyte | Method | Quantitative Ion (m/z) | Qualitative Ion (m/z) | CE (eV) |
|---|---|---|---|---|
| bifenthrin | GC-MS/MS | 181.1 > 166.1 | 181.1 > 179.1 | 12; 12 |
| bromopropylate | GC-MS/MS | 340.9 > 182.9 | 340.9 > 184.9 | 18; 20 |
| buprofezin | GC-MS/MS | 172.1 > 57.0 | 175.1 > 132.1 | 14; 12 |
| chlordimeform | GC-MS/MS | 196.0 > 181.0 | 181.0 > 140.0 | 10; 15 |
| chlorothalonil | GC-MS/MS | 263.9 > 168.0 | 263.9 > 228.8 | 24; 18 |
| chlorpyrifos | GC-MS/MS | 196.9 > 168.9 | 313.9 > 257.9 | 14; 14 |
| coumaphos | GC-MS/MS | 362.0 > 109.0 | 362.0 > 226.0 | 16; 14 |
| cyhalothrin | GC-MS/MS | 181.1 > 152.1 | 163.1 > 91.0 | 24; 22 |
| cypermethrin | GC-MS/MS | 163.1 > 127.1 | 163.1 > 91.0 | 6; 14 |
| deltamethrin | GC-MS/MS | 180.9 > 151.9 | 252.9 > 93.0 | 22; 20 |
| dicofol | GC-MS/MS | 139.0 > 111.0 | 139.0 > 75.0 | 16; 28 |
| difenoconazole | GC-MS/MS | 323.0 > 265.0 | 265.0 > 202.0 | 14; 20 |
| dimethoate | GC-MS/MS | 125.0 > 47.0 | 125.0 > 79.0 | 14; 8 |
| o,p’-DDT | GC-MS/MS | 235.0 > 165.0 | 237.0 > 165.0 | 24; 28 |
| p,p’-DDD | GC-MS/MS | 235.0 > 165.0 | 237.0 > 165.0 | 24; 28 |
| p,p’-DDE | GC-MS/MS | 246.0 > 176.0 | 317.9 > 248.0 | 30; 24 |
| p,p’-DDT | GC-MS/MS | 235.0 > 165.0 | 237.0 > 165.0 | 24; 28 |
| fenamiphos | GC-MS/MS | 303.1 > 195.1 | 288.1 > 260.1 | 8; 6 |
| fenitrothion | GC-MS/MS | 277.0 > 260.0 | 277.0 > 109.1 | 6; 14 |
| fenpropathrin | GC-MS/MS | 181.1 > 152.1 | 265.1 > 210.1 | 22; 12 |
| fenpyroximate | GC-MS/MS | 213.0 > 77.1 | 213.0 > 168.5 | 24; 24 |
| fenthion | GC-MS/MS | 278.0 > 109.0 | 278.0 > 169.0 | 20; 14 |
| fenvalerate | GC-MS/MS | 225.1 > 119.1 | 225.1 > 147.1 | 20; 10 |
| fludioxonil | GC-MS/MS | 248.0 > 127.0 | 248.0 > 154.0 | 26; 20 |
| fonofos | GC-MS/MS | 137.1 > 109.1 | 246.0 > 137.1 | 8; 6 |
| α-HCB | GC-MS/MS | 180.9 > 144.9 | 218.9 > 182. | 16; 8 |
| β-HCB | GC-MS/MS | 180.9 > 144.9 | 218.9 > 182. | 16; 8 |
| γ-HCB | GC-MS/MS | 180.9 > 144.9 | 218.9 > 182. | 16; 8 |
| δ-HCB | GC-MS/MS | 180.9 > 144.9 | 218.9 > 182. | 16; 8 |
| hexythiazox | GC-MS/MS | 184.0 > 149.0 | 156.0 > 112.0 | 10; 15 |
| imazalil | GC-MS/MS | 215.0 > 173.0 | 215.0 > 159.0 | 6; 6 |
| isazofos | GC-MS/MS | 257.0 > 162.0 | 257.0 > 119.0 | 8; 18 |
| isocarbophos | GC-MS/MS | 289.1 > 136.0 | 230.0 > 212.0 | 14; 10 |
| isofenphos-methyl | GC-MS/MS | 199.0 > 121.0 | 241.1 > 121.1 | 14; 22 |
| malathion | GC-MS/MS | 173.1 > 99.0 | 173.1 > 127.0 | 14; 6 |
| methidathion | GC-MS/MS | 145.0 > 85.0 | 145.0 > 58.0 | 8; 14 |
| monocrotophos | GC-MS/MS | 127.1 > 109.0 | 127.1 > 95.0 | 12; 16 |
| omethoate | GC-MS/MS | 156.0 > 110.0 | 110.0 > 79.0 | 8; 10 |
| parathion | GC-MS/MS | 139.0 > 109.0 | 291.1 > 109.0 | 8; 14 |
| parathion-methyl | GC-MS/MS | 263.0 > 109.0 | 125.0 > 47.0 | 14; 12 |
| permethrin | GC-MS/MS | 183.1 > 153.1 | 183.1 > 168.1 | 14; 14 |
| phenothiocarb | GC-MS/MS | 160.1 > 72.0 | 160.1 > 106.1 | 10; 12 |
| phenthoate | GC-MS/MS | 273.9 > 125.0 | 273.9 > 246.0 | 20; 6 |
| phorate | GC-MS/MS | 260.0 > 75.0 | 231.0 > 129.0 | 8; 24 |
| phosmet | GC-MS/MS | 160.0 > 77.0 | 160.0 > 133.0 | 24; 14 |
| phosphamidon | GC-MS/MS | 127.1 > 109.1 | 127.1 > 95.1 | 12; 18 |
| pirimicarb | GC-MS/MS | 238.1 > 166.1 | 166.1 > 55.0 | 12; 20 |
| posfolan-methyl | GC-MS/MS | 168.0 > 109.0 | 168.0 > 136.0 | 15; 15 |
| posfolan-methyl | GC-MS/MS | 255.0 > 227.0 | 255.0 > 140.0 | 6; 22 |
| profenofos | GC-MS/MS | 338.9 > 268.9 | 336.9 > 266.9 | 18; 14 |
| propargite | GC-MS/MS | 135.1 > 107.1 | 135.1 > 77.0 | 16; 24 |
| pyridaben | GC-MS/MS | 147.1 > 117.1 | 147.1 > 132.1 | 22; 14 |
| pyrimethanil | GC-MS/MS | 198.1 > 183.1 | 198.1 > 118.1 | 14; 28 |
| quinalphos | GC-MS/MS | 146.1 > 118.0 | 146.1 > 91.0 | 10; 24 |
| sulfotep | GC-MS/MS | 322.0 > 202.0 | 322.0 > 174.0 | 10; 18 |
| terbufos | GC-MS/MS | 231.0 > 128.9 | 231.0 > 174.9 | 26; 14 |
| triadimefon | GC-MS/MS | 208.1 > 181.0 | 208.1 > 111.0 | 10; 22 |
| triazophos | GC-MS/MS | 161.0 > 134.0 | 161.0 > 106.0 | 8; 14 |
| acephate | LC-MS/MS | 184.0 > 143.0 | 184.0 > 49.0 | 20; 20 |
| acetamiprid | LC-MS/MS | 223.1 > 126.0 | 223.1 > 90.0 | 27; 45 |
| aldicarb | LC-MS/MS | 213.2 > 115.9 | 213.2 > 88.6 | 30; 25 |
| amitraz | LC-MS/MS | 294.2 > 163.1 | 294.2 > 122.1 | 30; 35 |
| avermectin | LC-MS/MS | 896.6 > 752.5 | 896.6 > 449.4 | 50; 55 |
| azoxystrobin | LC-MS/MS | 404.1 > 372.1 | 404.1 > 329.1 | 8; 32 |
| boscalid | LC-MS/MS | 343.0 > 307.0 | 343.0 > 272.0 | 16; 32 |
| carbendazim | LC-MS/MS | 192.1 > 160.1 | 192.1 > 132.1 | 16; 32 |
| carbofuran | LC-MS/MS | 222.1 > 165.1 | 222.1 > 123.1 | 20; 30 |
| carbosulfan | LC-MS/MS | 381.2 > 160.2 | 381.2 > 118.1 | 12; 36 |
| chlorfluazuron | LC-MS/MS | 539.9 > 383.0 | 539.9 > 158.0 | 44; 36 |
| clothianidin | LC-MS/MS | 250.0 > 169.0 | 250.0 > 132.0 | 12; 20 |
| 2,4-dichlorophenoxyacetic acid | LC-MS/MS | 219.0 > 161.0 | 221.0 > 163.0 | 15; 15 |
| dichlorvos | LC-MS/MS | 221.0 > 127.0 | 221.0 > 109.0 | 27; 23 |
| diflubenzuron | LC-MS/MS | 311.0 > 158.0 | 311.0 > 141.0 | 8; 32 |
| dipterex | LC-MS/MS | 256.9 > 220.9 | 256.9 > 108.9 | 4; 15 |
| emamectin | LC-MS/MS | 886.5 > 158.0 | 886.5 > 82.1 | 40; 60 |
| fipronil | LC-MS/MS | 435.0 > 330.0 | 435.0 > 250.0 | 12; 28 |
| flusilazole | LC-MS/MS | 316.1 > 165.0 | 316.1 > 247.0 | 24; 12 |
| forchlorfenuron | LC-MS/MS | 248.1 > 129.0 | 248.1 > 93.0 | 22; 44 |
| imibenconazole | LC-MS/MS | 413.2 > 125.9 | 413.2 > 170.9 | 30; 20 |
| imidacloprid | LC-MS/MS | 256.0 > 208.9 | 256.0 > 175.0 | 12; 12 |
| kresoxim-methyl | LC-MS/MS | 314.2 > 222.1 | 314.2 > 267.0 | 10; 0 |
| metalaxyl | LC-MS/MS | 280.2 > 160.1 | 280.2 > 220.1 | 20; 10 |
| methamidophos | LC-MS/MS | 142.1 > 125.0 | 142.1 > 107.1 | 4; 3 |
| methomyl | LC-MS/MS | 163.1 > 106.0 | 163.1 > 88.0 | 4; 0 |
| myclobutanil | LC-MS/MS | 289.1 > 125.1 | 289.1 > 70.1 | 32; 16 |
| 1-naphthaleneacetic acid | LC-MS/MS | 185.0 > 141.1 | 185.0 > 141.1 | 4; 4 |
| paclobutrazol | LC-MS/MS | 294.1 > 125.2 | 294.1 > 70.1 | 36; 16 |
| phoxim | LC-MS/MS | 299.0 > 129.1 | 299.0 > 77.1 | 4; 24 |
| prochloraz | LC-MS/MS | 376.0 > 265.9 | 376.0 > 308.0 | 12; 4 |
| propiconazole | LC-MS/MS | 342.1 > 159.0 | 342.1 > 69.1 | 32; 16 |
| spirodiclofen | LC-MS/MS | 411.1 > 313.0 | 411.1 > 71.2 | 5; 15 |
| tebuconazole | LC-MS/MS | 308.1 > 125.0 | 308.1 > 70.0 | 47; 40 |
| thiabendazole | LC-MS/MS | 202.0 > 175.0 | 202.0 > 131.0 | 24; 36 |
| thiophanate-Methyl | LC-MS/MS | 343.0 > 151.0 | 343.0 > 93.0 | 20; 56 |
| trifloxystrobin | LC-MS/MS | 409.1 > 145.0 | 409.1 > 186.0 | 52; 12 |
| Pesticide | Type | No. (%) of Positive Samples | Concentration Range (mg·kg−1) | Mean Valve (mg·kg−1) | No. (%) of Exceedance | MRL (mg·kg−1) |
|---|---|---|---|---|---|---|
| 2,4-D | P | 67 (11.7) | 0.010–0.096 | 0.033 | 1 | |
| acetamiprid | I | 69 (12.0) | 0.010–0.194 | 0.042 | 2 | |
| avermectin | I | 4 (0.7) | 0.016–0.132 | 0.058 | 4 (0.70) | 0.01 |
| azoxystrobin | F | 61 (10.6) | 0.011–0.751 | 0.098 | 1 | |
| bifenthrin | I | 35 (6.1) | 0.011–0.324 | 0.051 | 7 (1.22) | 0.05 |
| buprofezin | I | 43 (7.5) | 0.010–0.538 | 0.087 | 1 | |
| carbendazim | F | 88 (15.4) | 0.010–0.665 | 0.068 | 5 | |
| carbofuran | I | 2 (0.3) | 0.011–0.015 | 0.013 | 0.02 | |
| carbosulfan | I | 5 (0.9) | 0.011–0.041 | 0.023 | 1 | |
| chlorpyrifos | I | 122 (21.3) | 0.010–0.340 | 0.051 | 1 | |
| cyhalothrin | I | 184 (32.1) | 0.010–0.185 | 0.052 | 0.2 | |
| cypermethrin | I | 55 (9.6) | 0.011–0.273 | 0.042 | 1 | |
| difenoconazole | F | 144 (25.1) | 0.010–1.092 | 0.077 | 1 (0.17) | 0.6 |
| fenpermethrin | I | 49 (8.6) | 0.011–0.474 | 0.093 | 5 | |
| fenpyroximate | A | 11 (1.9) | 0.018–0.256 | 0.086 | 0.5 | |
| fenvalerate | I | 8 (1.4) | 0.011–0.183 | 0.055 | 0.2 | |
| hexythiazox | A | 87 (15.2) | 0.010–0.055 | 0.020 | 0.5 | |
| imidacloprid | I | 142 (24.8) | 0.010–0.423 | 0.040 | 1 | |
| malathion | I | 24 (4.2) | 0.012–0.416 | 0.071 | 2 | |
| methidathion | I | 3 (0.5) | 0.010–0.420 | 0.160 | 1 (0.17) | 0.05 |
| paclobutrazol | P | 2 (0.3) | 0.013–0.116 | 0.064 | 0.5 | |
| prochloraz | F | 102 (17.8) | 0.011–1.104 | 0.099 | 10 | |
| profenofos | I | 201 (35.1) | 0.011–2.102 | 0.119 | 30 (5.24) | 0.2 |
| propargite | A | 97 (16.9) | 0.010–2.248 | 0.257 | 5 | |
| pyridaben | A | 20 (3.5) | 0.010–0.332 | 0.045 | 2 | |
| spirodiclofen | A | 217 (37.9) | 0.010–0.554 | 0.075 | 3 (0.52) | 0.4 |
| tebuconazole | F | 217 (37.9) | 0.010–0.570 | 0.101 | 2 | |
| thiophanate-methyl | F | 138 (24.1) | 0.010–1.493 | 0.178 | 3 | |
| triadimefon | F | 14 (2.4) | 0.066–0.617 | 0.254 | 1 | |
| triazophos | I | 37 (6.5) | 0.011–1.011 | 0.115 | 4 (0.70) | 0.2 |
| IqR | No. of Samples | % | Quality Categories |
|---|---|---|---|
| 0 | 56 | 9.8 | excellent |
| 0–0.6 | 337 | 58.8 | good |
| 0.6–1 | 71 | 12.4 | adequate |
| >1 | 109 | 19.0 | inadequate |
| Pesticide | ADI (mg·kg−1 bw) | NEDI (mg·kg−1 bw) | %ADI | ARfD (mg·kg−1 bw) | IESTI (mg·kg−1 bw) | %ARfD | ||||
|---|---|---|---|---|---|---|---|---|---|---|
| Gen Pop, >1 yrs | Children, 1–6 yrs | Gen Pop, >1 yrs | Children, 1–6 yrs | Gen Pop, >1 yrs | Children, 1–6 yrs | Gen Pop, >1 yrs | Children, 1–6 yrs | |||
| Chlorpyrifos | 0.01 | 1.26 × 10−6 | 4.15 × 10−6 | 0.0126 | 0.0415 | 0.1 | 7.67 × 10−4 | 7.16 × 10−4 | 0.77 | 0.72 |
| Malathion | 0.3 | 1.24 × 10−6 | 4.10 × 10−6 | 0.0004 | 0.0014 | 2 | 9.37 × 10−4 | 8.76 × 10−4 | 0.05 | 0.04 |
| Triazophos | 0.001 | 1.36 × 10−6 | 4.49 × 10−6 | 0.1362 | 0.4493 | 0.001 | 2.28 × 10−3 | 2.13 × 10−3 | 227.92 | 212.98 |
| Profenofos | 0.03 | 2.11 × 10−6 | 6.96 × 10−6 | 0.0070 | 0.0232 | 1 | 4.74 × 10−3 | 4.43 × 10−3 | 0.47 | 0.44 |
| Methidathion | 0.001 | 1.79 × 10−6 | 5.91 × 10−6 | 0.1791 | 0.5908 | 0.01 | 9.46 × 10−4 | 8.84 × 10−4 | 9.46 | 8.84 |
| Triadimefon | 0.03 | 6.96 × 10−6 | 2.30 × 10−5 | 0.0232 | 0.0765 | 0.08 | 1.39 × 10−3 | 1.30 × 10−3 | 1.74 | 1.62 |
| Cypermethrin | 0.02 | 8.83 × 10−7 | 2.91 × 10−6 | 0.0044 | 0.0146 | 0.04 | 6.16 × 10−4 | 5.76 × 10−4 | 1.54 | 1.44 |
| Fenvalerate | 0.02 | 6.17 × 10−7 | 2.03 × 10−6 | 0.0031 | 0.0102 | - | 4.13 × 10−4 | 3.86 × 10−4 | - | - |
| Bifenthrin | 0.01 | 1.37 × 10−6 | 4.51 × 10−6 | 0.0137 | 0.0451 | - | 7.30 × 10−4 | 6.83 × 10−4 | - | - |
| Cyhalothrin | 0.02 | 1.29 × 10−6 | 4.24 × 10−6 | 0.0064 | 0.0212 | 0.02 | 4.18 × 10−4 | 3.90 × 10−4 | 2.09 | 1.95 |
| Fenpermethrin | 0.03 | 2.38 × 10−6 | 7.86 × 10−6 | 0.0079 | 0.0262 | - | 1.07 × 10−3 | 9.99 × 10−4 | - | - |
| Propargite | 0.01 | 1.47 × 10−6 | 4.83 × 10−6 | 0.0147 | 0.0483 | - | 5.07 × 10−3 | 4.74 × 10−3 | - | - |
| Pyridaben | 0.01 | 8.34 × 10−7 | 2.75 × 10−6 | 0.0083 | 0.0275 | - | 7.49 × 10−4 | 6.99 × 10−4 | - | - |
| Difenoconazole | 0.01 | 1.78 × 10−6 | 5.87 × 10−6 | 0.0178 | 0.0587 | 0.3 | 2.46 × 10−3 | 2.30 × 10−3 | 0.82 | 0.77 |
| Fenpyroximate | 0.01 | 2.57 × 10−6 | 8.47 × 10−6 | 0.0257 | 0.0847 | 0.02 | 5.77 × 10−4 | 5.39 × 10−4 | 2.89 | 2.70 |
| Hexythiazox | 0.03 | 6.33 × 10−7 | 2.09 × 10−6 | 0.0021 | 0.0070 | - | 1.25 × 10−4 | 1.16 × 10−4 | - | - |
| Buprofezin | 0.009 | 1.19 × 10−6 | 3.92 × 10−6 | 0.0132 | 0.0436 | 0.5 | 1.21 × 10−3 | 1.13 × 10−3 | 0.24 | 0.23 |
| Tebuconazole | 0.03 | 1.82 × 10−6 | 5.99 × 10−6 | 0.0061 | 0.0200 | - | 1.28 × 10−3 | 1.20 × 10−3 | - | - |
| Acetamiprid | 0.07 | 9.43 × 10−7 | 3.11 × 10−6 | 0.0013 | 0.0044 | - | 4.38 × 10−4 | 4.09 × 10−4 | - | - |
| Carbendazim | 0.03 | 1.35 × 10−6 | 4.44 × 10−6 | 0.0045 | 0.0148 | 0.5 | 1.50 × 10−3 | 1.40 × 10−3 | 0.30 | - |
| Imidacloprid | 0.06 | 1.01 × 10−6 | 3.35 × 10−6 | 0.0017 | 0.0056 | 0.4 | 9.53 × 10−4 | 8.91 × 10−4 | 0.24 | 0.22 |
| Thiophanate-methyl | 0.09 | 3.12 × 10−6 | 1.03 × 10−5 | 0.0035 | 0.0114 | - | 3.37 × 10−3 | 3.15 × 10−3 | - | - |
| Spirodiclofen | 0.01 | 1.58 × 10−6 | 5.20 × 10−6 | 0.0158 | 0.0520 | - | 1.25 × 10−3 | 1.17 × 10−3 | - | - |
| Prochloraz | 0.01 | 2.27 × 10−6 | 7.48 × 10−6 | 0.0227 | 0.0748 | 0.1 | 2.49 × 10−3 | 2.32 × 10−3 | 2.49 | 2.32 |
| Azoxystrobin | 0.2 | 2.36 × 10−6 | 7.80 × 10−6 | 0.0012 | 0.0039 | - | 1.69 × 10−3 | 1.58 × 10−3 | - | - |
| 2,4-D | 0.01 | 9.91 × 10−7 | 3.27 × 10−6 | 0.0099 | 0.0327 | - | 2.17 × 10−4 | 2.03 × 10−4 | - | - |
| Carbofuran | 0.001 | 4.79 × 10−7 | 1.58 × 10−6 | 0.0479 | 0.1579 | 0.001 | 3.31 × 10−5 | 3.10 × 10−5 | 3.31 | 3.10 |
| Carbosulfan | 0.01 | 7.88 × 10−7 | 2.60 × 10−6 | 0.0079 | 0.0260 | 0.02 | 9.33 × 10−5 | 8.72 × 10−5 | 0.47 | 0.44 |
| Avermectin | 0.001 | 1.56 × 10−6 | 5.16 × 10−6 | 0.1564 | 0.5157 | - | 2.99 × 10−4 | 2.79 × 10−4 | - | - |
| Paclobutrazol | 0.1 | 2.37 × 10−6 | 7.82 × 10−6 | 0.0024 | 0.0078 | 0.05 | 2.62 × 10−4 | 2.45 × 10−4 | 0.52 | 0.49 |
Disclaimer/Publisher’s Note: The statements, opinions and data contained in all publications are solely those of the individual author(s) and contributor(s) and not of MDPI and/or the editor(s). MDPI and/or the editor(s) disclaim responsibility for any injury to people or property resulting from any ideas, methods, instructions or products referred to in the content. |
© 2023 by the authors. Licensee MDPI, Basel, Switzerland. This article is an open access article distributed under the terms and conditions of the Creative Commons Attribution (CC BY) license (https://creativecommons.org/licenses/by/4.0/).
Share and Cite
Zhang, Y.; Li, Z.; Jiao, B.; Zhao, Q.; Wang, C.; Cui, Y.; He, Y.; Li, J. Determination, Quality, and Health Assessment of Pesticide Residues in Kumquat in China. Foods 2023, 12, 3423. https://doi.org/10.3390/foods12183423
Zhang Y, Li Z, Jiao B, Zhao Q, Wang C, Cui Y, He Y, Li J. Determination, Quality, and Health Assessment of Pesticide Residues in Kumquat in China. Foods. 2023; 12(18):3423. https://doi.org/10.3390/foods12183423
Chicago/Turabian StyleZhang, Yaohai, Zhixia Li, Bining Jiao, Qiyang Zhao, Chengqiu Wang, Yongliang Cui, Yue He, and Jing Li. 2023. "Determination, Quality, and Health Assessment of Pesticide Residues in Kumquat in China" Foods 12, no. 18: 3423. https://doi.org/10.3390/foods12183423
APA StyleZhang, Y., Li, Z., Jiao, B., Zhao, Q., Wang, C., Cui, Y., He, Y., & Li, J. (2023). Determination, Quality, and Health Assessment of Pesticide Residues in Kumquat in China. Foods, 12(18), 3423. https://doi.org/10.3390/foods12183423

