Insights into Chemical Structure-Based Modeling for New Sweetener Discovery
Abstract
1. Introduction
2. Materials and Methods
2.1. Dataset Preparation
2.2. Calculation of Molecular Fingerprints and Descriptors
2.3. Clustering and Principal Component Analysis
2.4. Machine Learning Modeling
2.5. Homology Modeling and Molecular Docking
2.6. Interactions between the Investigated Chemical Compounds and VFT Domain of T1R2-T1R3
3. Results and Discussion
3.1. Similarity of the Sweet and Non-Sweet Chemical Compounds
3.2. Principal Components Analysis (PCA) and Receiver Operating Curve (ROC) Analysis
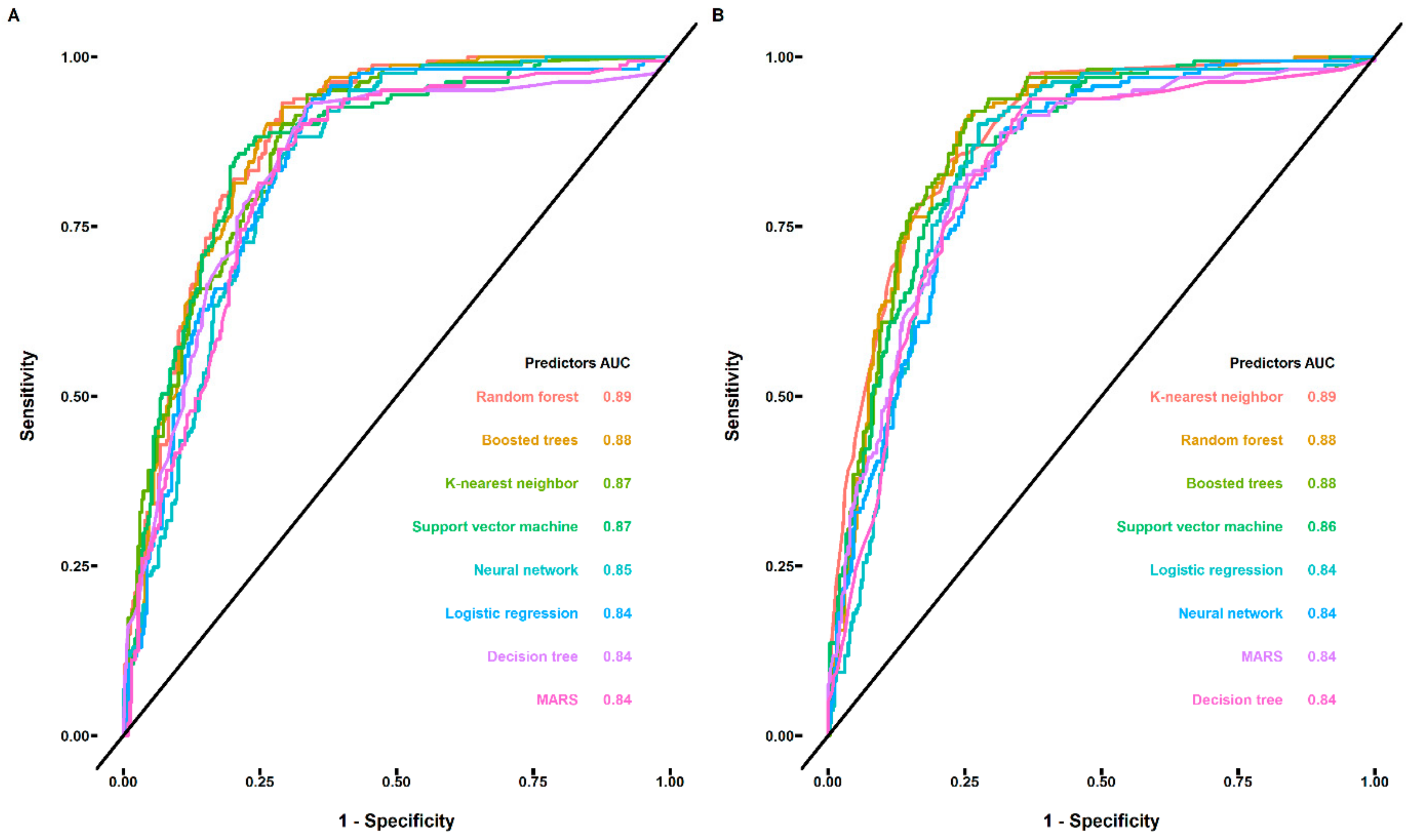
3.3. Machine Learning Models
3.4. Interactions between Sweet/Non-Sweet Compounds and Sweet Taste Receptor
4. Conclusions
Supplementary Materials
Funding
Data Availability Statement
Conflicts of Interest
References
- Loper, H.B.; La Sala, M.; Dotson, C.; Steinle, N. Taste Perception, Associated Hormonal Modulation, and Nutrient Intake. Nutr. Rev. 2015, 73, 83–91. [Google Scholar] [CrossRef] [PubMed]
- Yang, X.; Chong, Y.; Yan, A.; Chen, J. In-Silico Prediction of Sweetness of Sugars and Sweeteners. Food Chem. 2011, 128, 653–658. [Google Scholar] [CrossRef]
- Lustig, R.H.; Schmidt, L.A.; Brindis, C.D. The Toxic Truth about Sugar. Nature 2012, 482, 27–29. [Google Scholar] [CrossRef] [PubMed]
- Acevedo, W.; Ramírez-Sarmiento, C.A.; Agosin, E. Identifying the Interactions between Natural, Non-Caloric Sweeteners and the Human Sweet Receptor by Molecular Docking. Food Chem. 2018, 264, 164–171. [Google Scholar] [CrossRef]
- Ben Shoshan-Galeczki, Y.; Niv, M.Y. Structure-Based Screening for Discovery of Sweet Compounds. Food Chem. 2020, 315, 126286. [Google Scholar] [CrossRef]
- Bouysset, C.; Belloir, C.; Antonczak, S.; Briand, L.; Fiorucci, S. Novel Scaffold of Natural Compound Eliciting Sweet Taste Revealed by Machine Learning. Food Chem. 2020, 324, 126864. [Google Scholar] [CrossRef]
- Belloir, C.; Neiers, F.; Briand, L. Sweeteners and Sweetness Enhancers. Curr. Opin. Clin. Nutr. Metab. Care 2017, 20, 279–285. [Google Scholar] [CrossRef]
- Di Pizio, A.; Ben Shoshan-Galeczki, Y.; Hayes, J.E.; Niv, M.Y. Bitter and Sweet Tasting Molecules: It’s Complicated. Neurosci. Lett. 2019, 700, 56–63. [Google Scholar] [CrossRef]
- Montmayeur, J.P.; Liberles, S.D.; Matsunami, H.; Buck, L.B. A Candidate Taste Receptor Gene near a Sweet Taste Locus. Nat. Neurosci. 2001, 4, 492–498. [Google Scholar] [CrossRef]
- Zhao, G.Q.; Zhang, Y.; Hoon, M.A.; Chandrashekar, J.; Erlenbach, I.; Ryba, N.J.P.; Zuker, C.S. The Receptors for Mammalian Sweet and Umami Taste. Cell 2003, 115, 255–266. [Google Scholar] [CrossRef]
- Møller, T.C.; Moreno-Delgado, D.; Pin, J.-P.; Kniazeff, J. Class C G Protein-Coupled Receptors: Reviving Old Couples with New Partners. Biophys. Rep. 2017, 3, 57–63. [Google Scholar] [CrossRef]
- Matsunami, H.; Montmayeur, J.P.; Buck, L.B. A Family of Candidate Taste Receptors in Human and Mouse. Nature 2000, 404, 601–604. [Google Scholar] [CrossRef] [PubMed]
- Zheng, S.; Chang, W.; Xu, W.; Xu, Y.; Lin, F. E-Sweet: A Machine-Learning Based Platform for the Prediction of Sweetener and Its Relative Sweetness. Front. Chem. 2019, 7, 35. [Google Scholar] [CrossRef] [PubMed]
- Chéron, J.B.; Casciuc, I.; Golebiowski, J.; Antonczak, S.; Fiorucci, S. Sweetness Prediction of Natural Compounds. Food Chem. 2017, 221, 1421–1425. [Google Scholar] [CrossRef] [PubMed]
- Guha, R. Chemical Informatics Functionality in R. J. Stat. Softw. 2007, 18, 1–16. [Google Scholar] [CrossRef]
- Naveja, J.J.; Rico-Hidalgo, M.P.; Medina-Franco, J.L. Analysis of a Large Food Chemical Database: Chemical Space, Diversity, and Complexity. F1000Research 2018, 7, 993. [Google Scholar] [CrossRef]
- Tang, N.; Liu, J.; Cheng, Y. Potential Improvement of the Thermal Stability of Sweet-Tasting Proteins by Structural Calculations. Food Chem. 2021, 345, 128750. [Google Scholar] [CrossRef]
- Nuemket, N.; Yasui, N.; Kusakabe, Y.; Nomura, Y.; Atsumi, N.; Akiyama, S.; Nango, E.; Kato, Y.; Kaneko, M.K.; Takagi, J.; et al. Structural Basis for Perception of Diverse Chemical Substances by T1r Taste Receptors. Nat. Commun. 2017, 8, 15530. [Google Scholar] [CrossRef]
- Trott, O.; Olson, A.J. AutoDock Vina: Improving the Speed and Accuracy of Docking with a New Scoring Function, Efficient Optimization, and Multithreading. J. Comput. Chem. 2010, 31, 455–461. [Google Scholar] [CrossRef]
- Adasme, M.F.; Linnemann, K.L.; Bolz, S.N.; Kaiser, F.; Salentin, S.; Haupt, V.J.; Schroeder, M. PLIP 2021: Expanding the Scope of the Protein–Ligand Interaction Profiler to DNA and RNA. Nucleic Acids Res. 2021, 49, W530–W534. [Google Scholar] [CrossRef]
- Maggiora, G.; Vogt, M.; Stumpfe, D.; Bajorath, J. Molecular Similarity in Medicinal Chemistry. J. Med. Chem. 2013, 57, 3186–3204. [Google Scholar] [CrossRef] [PubMed]
- Godden, J.W.; Xue, L.; Bajorath, J. Combinatorial Preferences Affect Molecular Similarity/Diversity Calculations Using Binary Fingerprints and Tanimoto Coefficients. J. Chem. Inf. Comput. Sci. 1999, 40, 163–166. [Google Scholar] [CrossRef] [PubMed]
- Hughes, L.D.; Palmer, D.S.; Nigsch, F.; Mitchell, J.B.O. Why Are Some Properties More Difficult to Predict than Others? A Study of QSPR Models of Solubility, Melting Point, and Log P. J. Chem. Inf. Model. 2008, 48, 220–232. [Google Scholar] [CrossRef] [PubMed]







Disclaimer/Publisher’s Note: The statements, opinions and data contained in all publications are solely those of the individual author(s) and contributor(s) and not of MDPI and/or the editor(s). MDPI and/or the editor(s) disclaim responsibility for any injury to people or property resulting from any ideas, methods, instructions or products referred to in the content. |
© 2023 by the author. Licensee MDPI, Basel, Switzerland. This article is an open access article distributed under the terms and conditions of the Creative Commons Attribution (CC BY) license (https://creativecommons.org/licenses/by/4.0/).
Share and Cite
Tang, N. Insights into Chemical Structure-Based Modeling for New Sweetener Discovery. Foods 2023, 12, 2563. https://doi.org/10.3390/foods12132563
Tang N. Insights into Chemical Structure-Based Modeling for New Sweetener Discovery. Foods. 2023; 12(13):2563. https://doi.org/10.3390/foods12132563
Chicago/Turabian StyleTang, Ning. 2023. "Insights into Chemical Structure-Based Modeling for New Sweetener Discovery" Foods 12, no. 13: 2563. https://doi.org/10.3390/foods12132563
APA StyleTang, N. (2023). Insights into Chemical Structure-Based Modeling for New Sweetener Discovery. Foods, 12(13), 2563. https://doi.org/10.3390/foods12132563

