Rework Potential of Soy and Pea Protein Isolates in High-Moisture Extrusion
Abstract
1. Introduction
2. Materials and Methods
2.1. Materials
2.2. Design of Experiments
2.3. High Moisture Extrusion
2.4. Freeze-Drying of the Extrudates
2.5. Texture Analysis
2.5.1. Texture Profile Analysis
2.5.2. Cutting Test
2.6. Solubility and Water-Holding Capacity
2.7. Rheological Properties
2.8. Lissajous Plots
2.9. Standardization of Results
2.10. Statistical Analysis
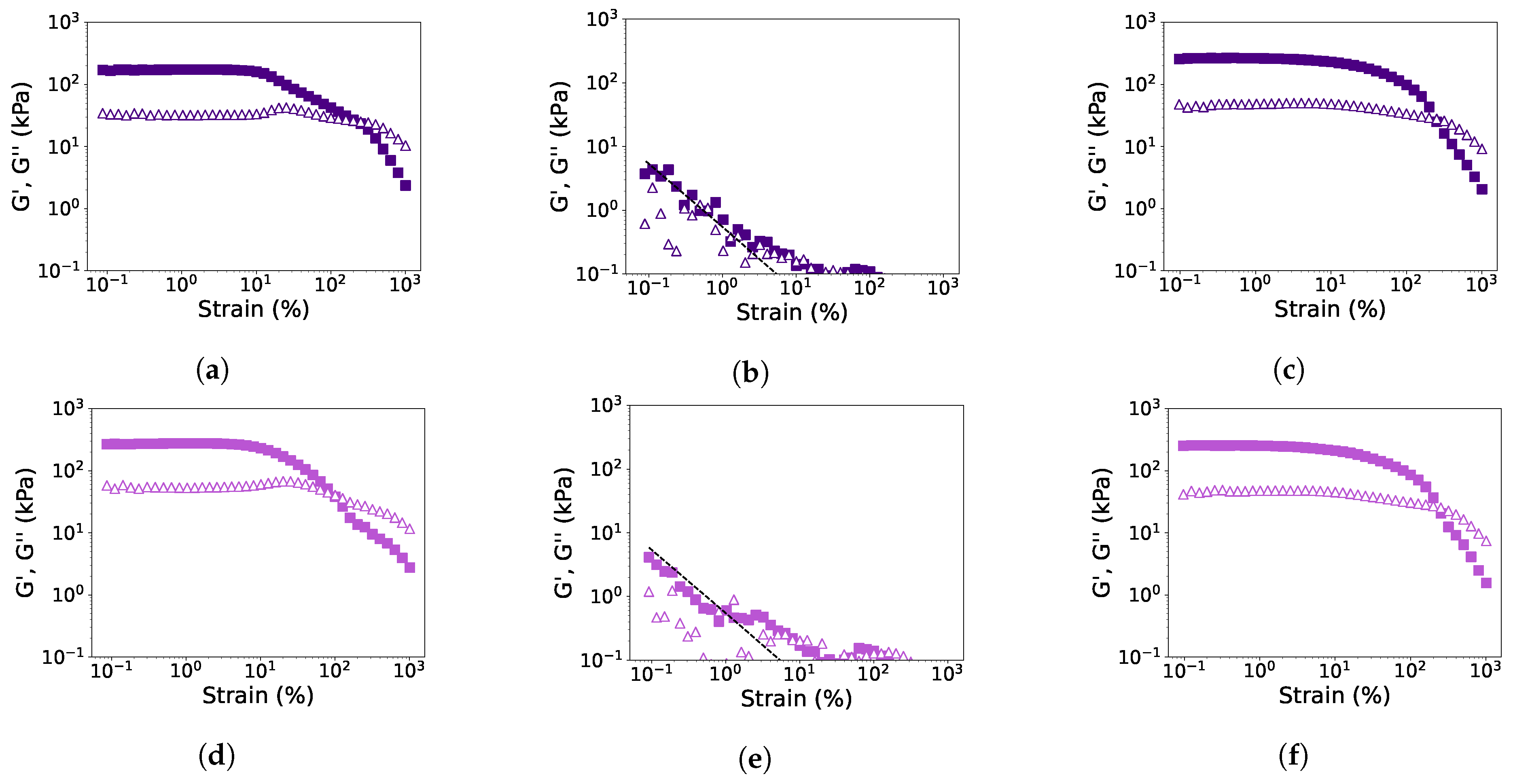
3. Results
3.1. Extrudate Properties after Second Step HME
3.2. Effect of HME on Protein Properties
4. Discussion
5. Conclusions
Author Contributions
Funding
Data Availability Statement
Acknowledgments
Conflicts of Interest
Appendix A




References
- Cheftel, J.C.; Kitagawa, M.; Queguiner, C. New Protein Texturization Processes by Extrusion Cooking at High Moisture Levels. Food Rev. Int. 1992, 8, 235–275. [Google Scholar] [CrossRef]
- Pietsch, V.L.; Bühler, J.M.; Karbstein, H.P.; Emin, M.A. High moisture extrusion of soy protein concentrate: Influence of thermomechanical treatment on protein-protein interactions and rheological properties. J. Food Eng. 2019, 251, 11–18. [Google Scholar] [CrossRef]
- Osen, R.; Toelstede, S.; Wild, F.; Eisner, P.; Schweiggert-Weisz, U. High moisture extrusion cooking of pea protein isolates: Raw material characteristics, extruder responses, and texture properties. J. Food Eng. 2014, 127, 67–74. [Google Scholar] [CrossRef]
- Ishangulyyev, R.; Kim, S.; Lee, S.H. Understanding food loss and waste-why are we losing and wasting food? Foods 2019, 8, 297. [Google Scholar] [CrossRef]
- Cornet, S.H.V.; Snel, S.J.E.; Schreuders, F.K.G.; Van der Sman, R.G.M.; Beyrer, M.; Van der Goot, A.J. Thermo-mechanical processing of plant proteins using shear cell and high-moisture extrusion cooking. Crit. Rev. Food Sci. Nutr. 2022, 62, 3264–3280. [Google Scholar] [CrossRef]
- Akdogan, H. High moisture food extrusion. Int. J. Food Sci. Technol. 1999, 34, 195–207. [Google Scholar] [CrossRef]
- Tolstoguzov, V.B. Thermoplastic extrusion—The mechanism of the formation of extrudate structure and properties. J. Am. Oil Chem. Soc. 1993, 70, 417–424. [Google Scholar] [CrossRef]
- Wittek, P.; Ellwanger, F.; Karbstein, H.P.; Emin, M.A. Morphology development and flow characteristics during high moisture extrusion of a plant-based meat analogue. Foods 2021, 10, 1753. [Google Scholar] [CrossRef] [PubMed]
- Osen, R.; Toelstede, S.; Eisner, P.; Schweiggert-Weisz, U. Effect of high-moisture extrusion cooking on protein-protein interactions of pea (Pisum sativum L.) protein isolates. Int. J. Food Sci. Technol. 2015, 50, 1390–1396. [Google Scholar] [CrossRef]
- Fang, Y.; Zhang, B.; Wei, Y. Effects of the specific mechanical energy on the physicochemical properties of texturized soy protein during high-moisture extrusion cooking. J. Food Eng. 2014, 121, 32–38. [Google Scholar] [CrossRef]
- Liu, K.; Hsieh, F.H. Protein-protein interactions during high-moisture extrusion for fibrous meat analogues and comparison of protein solubility methods using different solvent systems. J. Agric. Food Chem. 2008, 56, 2681–2687. [Google Scholar] [CrossRef] [PubMed]
- van der Sman, R.G.; van der Goot, A.J. Hypotheses concerning structuring of extruded meat analogs. Curr. Res. Food Sci. 2023, 6, 100510. [Google Scholar] [CrossRef] [PubMed]
- Emin, M.A.; Quevedo, M.; Wilhelm, M.; Karbstein, H.P. Analysis of the reaction behavior of highly concentrated plant proteins in extrusion-like conditions. Innov. Food Sci. Emerg. Technol. 2017, 44, 15–20. [Google Scholar] [CrossRef]
- Schreuders, F.K.G.; Sagis, L.M.C.; Bodnár, I.; Erni, P.; Boom, R.M.; van der Goot, A.J. Small and large oscillatory shear properties of concentrated proteins. Food Hydrocoll. 2021, 110, 106172. [Google Scholar] [CrossRef]
- Schreuders, F.K.; Dekkers, B.L.; Bodnár, I.; Erni, P.; Boom, R.M.; van der Goot, A.J. Comparing structuring potential of pea and soy protein with gluten for meat analogue preparation. J. Food Eng. 2019, 261, 32–39. [Google Scholar] [CrossRef]
- Noguchi, A. Extrusion Cooking of High-Moisture Protein foods. In Extrusion Cooking, 1st ed.; Mercier, C., Linko, P., Harper, J.M., Eds.; American Association of Cereal Chemists: St. Paul, MO, USA, 1989; Chapter 11; pp. 343–370. [Google Scholar]
- Snel, S.J.; Bellwald, Y.; van der Goot, A.J.; Beyrer, M. Novel rotating die coupled to a twin-screw extruder as a new route to produce meat analogues with soy, pea and gluten. Innov. Food Sci. Emerg. Technol. 2022, 81, 103152. [Google Scholar] [CrossRef]
- Brishti, F.H.; Chay, S.Y.; Muhammad, K.; Ismail-Fitry, M.R.; Zarei, M.; Karthikeyan, S.; Saari, N. Effects of drying techniques on the physicochemical, functional, thermal, structural and rheological properties of mung bean (Vigna radiata) protein isolate powder. Food Res. Int. 2020, 138, 109783. [Google Scholar] [CrossRef]
- Meulleneti, J. Relationship between sensory and instrumental texture profile attributes. J. Sens. Stud. 1998, 13, 77–93. [Google Scholar] [CrossRef]
- Bühler, J.M.; Dekkers, B.L.; Bruins, M.E.; Goot, A.J.V.D. Modifying Faba Bean Protein Concentrate Using Dry Heat to Increase Water Holding Capacity. Foods 2020, 9, 1077. [Google Scholar] [CrossRef]
- Schreuders, F.K.; Sagis, L.M.; Bodnár, I.; Erni, P.; Boom, R.M.; van der Goot, A.J. Mapping the texture of plant protein blends for meat analogues. Food Hydrocoll. 2021, 118, 106753. [Google Scholar] [CrossRef]
- Ewoldt, R.H.; Winter, P.; Maxey, J.; McKinley, G.H. Large amplitude oscillatory shear of pseudoplastic and elastoviscoplastic materials. Rheol. Acta 2010, 49, 191–212. [Google Scholar] [CrossRef]
- Peters, J.P.; Luyten, H.; Alting, A.C.; Boom, R.M.; Van der Goot, A.J. Effect of crosslink density on the water-binding capacity of whey protein microparticles. Food Hydrocoll. 2015, 44, 277–284. [Google Scholar] [CrossRef]
- Isobe, S.; Noguchi, A. High moisture extrusion with twin screw extruder—Fate of soy protein during the repetition of extrusion cooking. Nippon Shokuhin Kogyo Gakkaishi. 1987, 34, 456–461. [Google Scholar] [CrossRef] [PubMed]
- Pommet, M.; Redl, A.; Helene, M.; Morel, M.H.; Domenek, S.; Guilbert, S. Thermoplastic processing of protein-based bioplastics: Chemical engineering aspects of mixing, extrusion and hot molding Thermoplastic processing of protein-based bioplastics: Chemical engineering aspects of mixing, extru-sion and hot molding. Macromol. Symp. 2003, 197, 207–218. [Google Scholar] [CrossRef]
- O’Kane, F.E.; Happe, R.P.; Vereijken, J.M.; Gruppen, H.; Van Boekel, M.A. Heat-induced gelation of pea legumin: Comparison with soybean glycinin. J. Agric. Food Chem. 2004, 52, 5071–5078. [Google Scholar] [CrossRef] [PubMed]








| Extrudate | Hardness (N) | Cutting Force Par (N) | Cutting Force per (N) | AI (-) |
|---|---|---|---|---|
| PPI-E1 | 116 ± 3.5 | 14.3 ± 0.2 | 15.1 ± 0.3 | 1.1± 0.03 |
| SPI-E1 | 62.0 ± 2.5 | 13.6 ± 0.8 | 22.1 ± 0.4 | 1.6± 0.1 |
| Powder | Solubility (g g) | WHC (g g) |
|---|---|---|
| PPI | 0.30 ± 0.03 | 9.6 ± 0.8 |
| SPI | 0.47 ± 0.00 | 11 ± 0.2 |
| Powder | Temperature (°C) | G ( kPa) | G ( kPa) | (%) | (kPa) | (%) | (kPa) |
|---|---|---|---|---|---|---|---|
| PPI | 30 | 1.4 ± 0.3 | 0.3 ± 0.0 | 4.8 ± 0.5 | 6.9 ± 0.5 | 137 ± 19 | 48 ± 5.1 |
| 145-30 | 2.2 ± 0.4 | 0.5 ± 0.1 | 3.3 ± 0.6 | 7.1 ± 1.0 | 173 ± 24 | 62 ± 5.9 | |
| SPI | 30 | 1.7 ± 0.3 | 0.3 ± 0.1 | 8.0 ± 0.0 | 14 ± 2.1 | 200 ± 0.0 | 75 ± 11 |
| 145-30 | 2.5 ± 0.4 | 0.5 ± 0.1 | 6.5 ± 1.2 | 16 ± 1.1 | 200 ± 0.0 | 105 ± 13 |
Disclaimer/Publisher’s Note: The statements, opinions and data contained in all publications are solely those of the individual author(s) and contributor(s) and not of MDPI and/or the editor(s). MDPI and/or the editor(s) disclaim responsibility for any injury to people or property resulting from any ideas, methods, instructions or products referred to in the content. |
© 2023 by the authors. Licensee MDPI, Basel, Switzerland. This article is an open access article distributed under the terms and conditions of the Creative Commons Attribution (CC BY) license (https://creativecommons.org/licenses/by/4.0/).
Share and Cite
Snel, S.J.E.; Amroussi, Y.; van der Goot, A.J.; Beyrer, M. Rework Potential of Soy and Pea Protein Isolates in High-Moisture Extrusion. Foods 2023, 12, 2543. https://doi.org/10.3390/foods12132543
Snel SJE, Amroussi Y, van der Goot AJ, Beyrer M. Rework Potential of Soy and Pea Protein Isolates in High-Moisture Extrusion. Foods. 2023; 12(13):2543. https://doi.org/10.3390/foods12132543
Chicago/Turabian StyleSnel, Silvia J. E., Yasmine Amroussi, Atze Jan van der Goot, and Michael Beyrer. 2023. "Rework Potential of Soy and Pea Protein Isolates in High-Moisture Extrusion" Foods 12, no. 13: 2543. https://doi.org/10.3390/foods12132543
APA StyleSnel, S. J. E., Amroussi, Y., van der Goot, A. J., & Beyrer, M. (2023). Rework Potential of Soy and Pea Protein Isolates in High-Moisture Extrusion. Foods, 12(13), 2543. https://doi.org/10.3390/foods12132543

