Identification and Characterization of Novel ACE Inhibitory and Antioxidant Peptides from Sardina pilchardus Hydrolysate
Abstract
1. Introduction
2. Materials and Methods
2.1. Materials
2.2. Preparation and Isolation of S. pilchardus Protein Hydrolysate
2.2.1. Preparation of S. pilchardus Protein Hydrolysate
2.2.2. Ultrafiltration Separation
2.3. Peptide Sequence Analysis Based on LC-MS/MS
2.3.1. Sample Preparation
2.3.2. Nano LC-MS/MS Analysis
2.4. Physicochemical Properties and Toxicity Prediction of Peptides in SPH (<3 kDa)
2.5. Molecular Docking Predicts ACE Inhibitory Activity of S. pilchardus Peptides
2.6. In Vitro ACE Inhibitory Activity Assay
2.7. Synthetic Peptides
2.8. Measurement of the ACE Inhibition Pattern of the Screened Peptides
2.9. Determination of Zinc-Chelating Capacity
2.10. Stability of Synthetic Peptides
2.10.1. HPLC for Synthetic Peptides
2.10.2. Measurement of Digestive Stability
2.11. Antioxidant Activity
2.11.1. DPPH Radical Scavenging Activity
2.11.2. ABTS+ Scavenging Activity
2.11.3. Hydroxyl Radical Scavenging Activity
2.11.4. Fe2+-Chelating Ability
2.12. Statistical Analysis
3. Results and Discussion
3.1. Biological Activities of Bioactive Peptides from SPH and Ultrafiltered Fractions
3.1.1. ACE Inhibitory Activity of SPH and Ultrafiltration Fraction
3.1.2. Identification (LC-MS/MS) and Screening (Online Databases and Molecular Docking) Were Performed to Identify ACE Inhibitory Peptides from S. pilchardus
3.1.3. ACE Inhibition Activities and Zinc Chelating Capacity of Synthetic Peptide
3.1.4. Inhibition Mechanism of Peptides in Molecular Docking
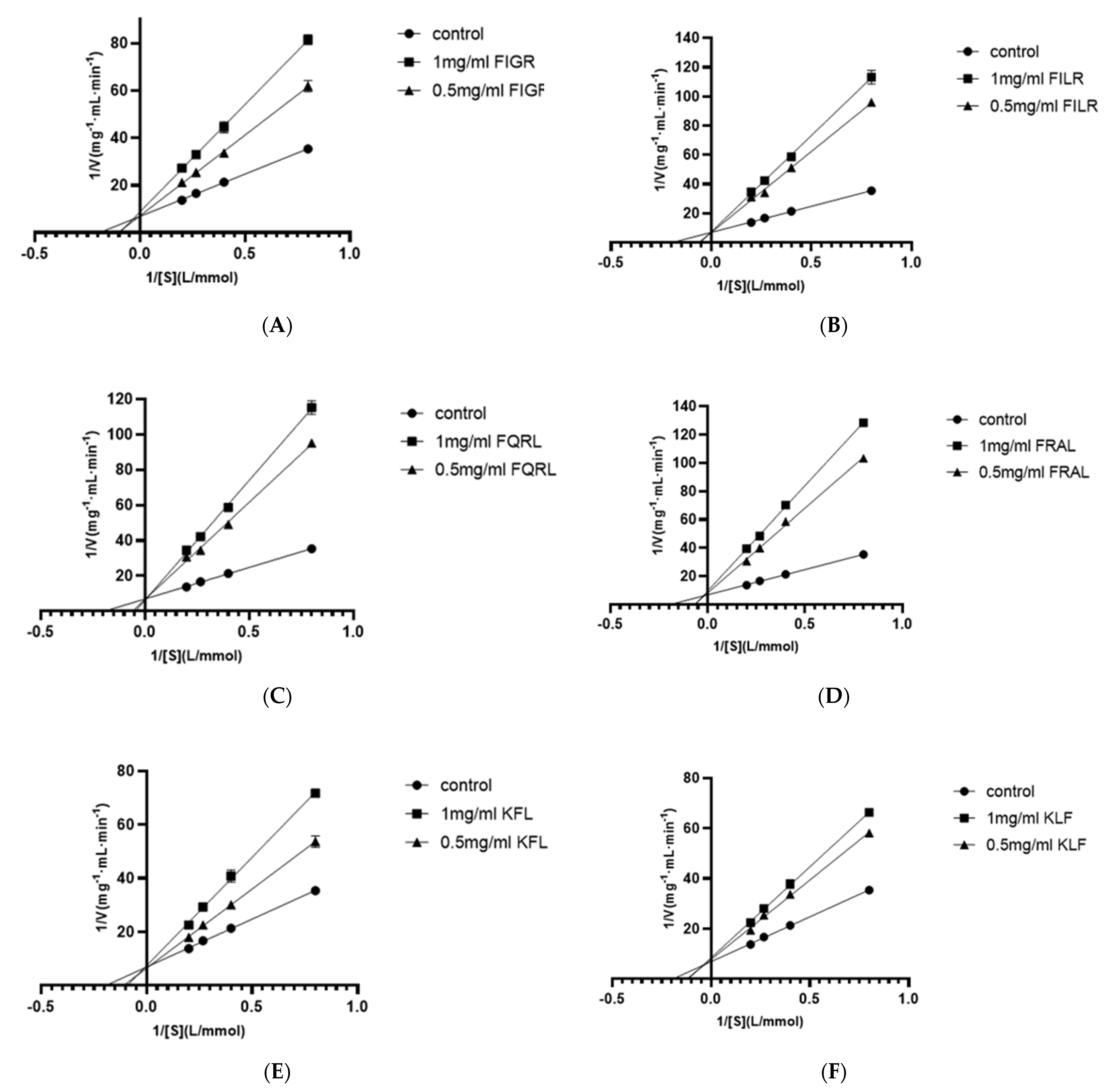
3.1.5. Inhibition Pattern of Peptides
3.1.6. Antioxidant Activities of Synthetic Peptide, SPH, and Ultrafiltration Fraction
3.1.7. Analysis of Digestive Stability by Synthetic Peptides
4. Conclusions
Author Contributions
Funding
Data Availability Statement
Conflicts of Interest
References
- Mills, K.T.; Stefanescu, A.; He, J. The global epidemiology of hypertension. Nat. Rev. Nephrol. 2020, 16, 223–237. [Google Scholar] [CrossRef] [PubMed]
- Andone, S.; Bajko, Z.; Motataianu, A.; Maier, S.; Barcutean, L.; Balasa, R. Neuroprotection in Stroke-Focus on the Renin-Angiotensin System: A Systematic Review. Int. J. Mol. Sci. 2022, 23, 3876. [Google Scholar] [CrossRef] [PubMed]
- Shariat-Madar, Z.; Schmaier, A.H. The plasma kallikrein/kinin and renin angiotensin systems in blood pressure regulation in sepsis. J. Endotoxin Res. 2004, 10, 3–13. [Google Scholar] [CrossRef] [PubMed]
- Zhang, B.Y.; Liu, J.B.; Liu, C.; Liu, B.Q.; Yu, Y.D.; Zhang, T. Bifunctional peptides with antioxidant and angiotensin-converting enzyme inhibitory activity in vitro from egg white hydrolysates. J. Food Biochem. 2020, 44, e13347. [Google Scholar] [CrossRef] [PubMed]
- Jayaprakash, R.; Perera, C.O. Partial Purification and Characterization of Bioactive Peptides from Cooked New Zealand Green-Lipped Mussel (Perna canaliculus) Protein Hydrolyzates. Foods 2020, 9, 879. [Google Scholar] [CrossRef]
- Choe, J.; Park, B.; Lee, H.J.; Jo, C. Potential Antioxidant and Angiotensin I-converting Enzyme Inhibitory Activity in Crust of Dry-aged Beef. Sci. Rep. 2020, 10, 7883. [Google Scholar] [CrossRef]
- Torres-Fuentes, C.; Contreras, M.D.M.; Recio, I.; Alaiz, M.; Vioque, J. Identification and characterization of antioxidant peptides from chickpea protein hydrolysates. Food Chem. 2015, 180, 194–202. [Google Scholar] [CrossRef]
- Song, G.; Kim, J.Y.; Yoon, H.Y.; Yee, J.; Gwak, H.S. A systematic review and meta-analysis of angiotensin-converting enzyme inhibitor use and psoriasis incidence. Sci. Rep. 2021, 11, 10037. [Google Scholar] [CrossRef]
- Dang, Y.L.; Zhou, T.Y.; Hao, L.; Cao, J.X.; Sun, Y.Y.; Pan, D.D. In Vitro and in Vivo Studies on the Angiotensin-Converting Enzyme Inhibitory Activity Peptides Isolated from Broccoli Protein Hydrolysate. J. Agric. Food Chem. 2019, 67, 6757–6764. [Google Scholar] [CrossRef]
- Wu, J.; Ding, X. Hypotensive and physiological effect of angiotensin converting enzyme inhibitory peptides derived from soy protein on spontaneously hypertensive rats. J. Agric. Food Chem. 2001, 49, 501–506. [Google Scholar] [CrossRef]
- Wu, Q.; Jia, J.; Yan, H.; Du, J.; Gui, Z. A novel angiotensin-I converting enzyme (ACE) inhibitory peptide from gastrointestinal protease hydrolysate of silkworm pupa (Bombyx mori) protein: Biochemical characterization and molecular docking study. Peptides 2015, 68, 17–24. [Google Scholar] [CrossRef]
- Ma, F.-F.; Wang, H.; Wei, C.-K.; Thakur, K.; Wei, Z.-J.; Jiang, L. Three Novel ACE Inhibitory Peptides Isolated From Ginkgo biloba Seeds: Purification, Inhibitory Kinetic and Mechanism. Front. Pharmacol. 2019, 9, 1579. [Google Scholar] [CrossRef]
- Fu, Y.; Young, J.F.; Lokke, M.M.; Lametsch, R.; Aluko, R.E.; Therkildsen, M. Revalorisation of bovine collagen as a potential precursor of angiotensin 1-converting enzyme (ACE) inhibitory peptides based on in silico and in vitro protein digestions. J. Funct. Foods 2016, 24, 196–206. [Google Scholar] [CrossRef]
- Yu, Z.; Chen, Y.; Zhao, W.; Zheng, F.; Ding, L.; Liu, J. Novel ACE inhibitory tripeptides from ovotransferrin using bioinformatics and peptidomics approaches. Sci. Rep. 2019, 9, 17434. [Google Scholar] [CrossRef]
- Tran, H.-B.; Shimizu, K. Potent angiotensin-converting enzyme inhibitory tripeptides identified by a computer-based approach. J. Mol. Graph. Model. 2014, 53, 206–211. [Google Scholar]
- Wu, H.; Liu, Y.; Guo, M.; Xie, J.; Jiang, X. A Virtual Screening Method for Inhibitory Peptides of Angiotensin I-Converting Enzyme. J. Food Sci. 2014, 79, C1635–C1642. [Google Scholar] [CrossRef]
- Kristinsson, H.G.; Rasco, B.A. Fish protein hydrolysates: Production, biochemical, and functional properties. Crit. Rev. Food Sci. Nutr. 2000, 40, 43–81. [Google Scholar] [CrossRef]
- Matsufuji, H.; Matsui, T.; Seki, E.; Osajima, K.; Nakashima, M.; Osajima, Y. Angiotensin I-converting enzyme inhibitory peptides in an alkaline protease hydrolyzate derived from sardine muscle. Biosci. Biotechnol. Biochem. 1994, 58, 2244–2245. [Google Scholar] [CrossRef]
- Matsui, T.; Matsufuji, H.; Seki, E.; Osajima, K.; Nakashima, M.; Osajima, Y. Inhibition of angiotensin I-converting enzyme by Bacillus licheniformis alkaline protease hydrolyzates derived from sardine muscle. Biosci. Biotechnol. Biochem. 1993, 57, 922–925. [Google Scholar] [CrossRef]
- Jemil, I.; Abdelhedi, O.; Nasri, R.; Mora, L.; Jridi, M.; Aristoy, M.-C.; Toldra, F.; Nasri, M. Novel bioactive peptides from enzymatic hydrolysate of Sardinelle (Sardinella aurita) muscle proteins hydrolysed by Bacillus subtilis A26. Food Res. Int. 2017, 100, 121–133. [Google Scholar] [CrossRef]
- Jemil, I.; Mora, L.; Nasri, R.; Abdelhedi, O.; Aristoy, M.-C.; Hajji, M.; Nasri, M.; Toldra, F. A peptidomic approach for the identification of antioxidant and ACE-inhibitory peptides in sardinelle protein hydrolysates fermented by Bacillus subtilis A26 and Bacillus amyloliquefaciens An6. Food Res. Int. 2016, 89, 347–358. [Google Scholar] [CrossRef] [PubMed]
- Garcia-Moreno, P.J.; Javier Espejo-Carpio, F.; Guadix, A.; Guadix, E.M. Production and identification of angiotensin I-converting enzyme (ACE) inhibitory peptides from Mediterranean fish discards. J. Funct. Foods 2015, 18, 95–105. [Google Scholar] [CrossRef]
- Huang, J.; Liu, Q.; Xue, B.; Chen, L.; Wang, Y.; Ou, S.; Peng, X. Angiotensin-I-Converting Enzyme Inhibitory Activities and In Vivo Antihypertensive Effects of Sardine Protein Hydrolysate. J. Food Sci. 2016, 81, H2831–H2840. [Google Scholar] [CrossRef] [PubMed]
- Bougatef, A.; Nedjar-Arroume, N.; Ravallec-Ple, R.; Leroy, Y.; Guillochon, D.; Barkia, A.; Nasri, M. Angiotensin I-converting enzyme (ACE) inhibitory activities of sardinelle (Sardinella aurita) by-products protein hydrolysates obtained by treatment with microbial and visceral fish serine proteases. Food Chem. 2008, 111, 350–356. [Google Scholar] [CrossRef] [PubMed]
- Martinez-Alvarez, O.; Batista, I.; Ramos, C.; Montero, P. Enhancement of ACE and prolyl oligopeptidase inhibitory potency of protein hydrolysates from sardine and tuna by-products by simulated gastrointestinal digestion. Food Funct. 2016, 7, 2066–2073. [Google Scholar] [CrossRef] [PubMed]
- Vieira, E.F.; Pinho, O.; Ferreira, I.M.P.L.V.O. Bio-functional properties of sardine protein hydrolysates obtained by brewer’s spent yeast and commercial proteases. J. Sci. Food Agric. 2017, 97, 5414–5422. [Google Scholar] [CrossRef] [PubMed]
- Stella, V.J.; Nti-Addae, K.W. Prodrug strategies to overcome poor water solubility. Adv. Drug Deliv. Rev. 2007, 59, 677–694. [Google Scholar] [CrossRef]
- Regulska, K.; Stanisz, B.; Regulski, M.; Murias, M. How to design a potent, specific, and stable angiotensin-converting enzyme inhibitor. Drug Discov. Today 2014, 19, 1731–1743. [Google Scholar] [CrossRef]
- Cushman, D.W.; Cheung, H.S. Spectrophotometric assay and properties of the angiotensin-converting enzyme of rabbit lung. Biochem. Pharmacol. 1971, 20, 1637–1648. [Google Scholar] [CrossRef]
- Li, X.; Feng, C.; Hong, H.; Zhang, Y.; Luo, Z.; Wang, Q.; Luo, Y.; Tan, Y. Novel ACE inhibitory peptides derived from whey protein hydrolysates: Identification and molecular docking analysis. Food Biosci. 2022, 48, 101737. [Google Scholar] [CrossRef]
- Sanchez-Lopez, F.; Robles-Olvera, V.J.; Hidalgo-Morales, M.; Tsopmo, A. Angiotensin-I converting enzyme inhibitory activity of Amaranthus hypochondriacus seed protein hydrolysates produced with lactic bacteria and their peptidomic profiles. Food Chem. 2021, 363, 130320. [Google Scholar] [CrossRef]
- Sonklin, C.; Alashi, M.A.; Laohakunjit, N.; Kerdchoechuen, O.; Aluko, R.E. Identification of antihypertensive peptides from mung bean protein hydrolysate and their effects in spontaneously hypertensive rats. J. Funct. Foods 2020, 64, 103635. [Google Scholar] [CrossRef]
- Wang, R.; Yun, J.; Wu, S.; Bi, Y.; Zhao, F. Optimisation and Characterisation of Novel Angiotensin-Converting Enzyme Inhibitory Peptides Prepared by Double Enzymatic Hydrolysis from Agaricus bisporus Scraps. Foods 2022, 11, 394. [Google Scholar] [CrossRef]
- Suo, S.-K.; Zheng, S.-L.; Chi, C.-F.; Luo, H.-Y.; Wang, B. Novel angiotensin-converting enzyme inhibitory peptides from tuna byproducts-milts: Preparation, characterization, molecular docking study, and antioxidant function on H2O2-damaged human umbilical vein endothelial cells. Front. Nutr. 2022, 9, 957778. [Google Scholar] [CrossRef]
- McCall, K.A.; Huang, C.; Fierke, C.A. Function and mechanism of zinc metalloenzymes. J. Nutr. 2000, 130 (Suppl. 5), 1437S–1446S. [Google Scholar] [CrossRef]
- Alcaide-Hidalgo, J.M.; Romero, M.; Duarte, J.; Lopez-Huertas, E. Antihypertensive Effects of Virgin Olive Oil (Unfiltered) Low Molecular Weight Peptides with ACE Inhibitory Activity in Spontaneously Hypertensive Rats. Nutrients 2020, 12, 271. [Google Scholar] [CrossRef]
- Qi, C.Y.; Lin, G.M.; Zhang, R.; Wu, W.J. Studies on the Bioactivities of ACE-inhibitory Peptides with Phenylalanine C-terminus Using 3D-QSAR, Molecular Docking and in vitro Evaluation. Mol. Inform. 2017, 36, 1600157. [Google Scholar] [CrossRef]
- Hu, J.F.; Wang, H.Y.; Weng, N.H.; Wei, T.; Tian, X.Q.; Lu, J.; Lyu, M.; Wang, S.J. Novel angiotensin-converting enzyme and pancreatic lipase oligopeptide inhibitors from fermented rice bran. Front. Nutr. 2022, 9, 2187. [Google Scholar] [CrossRef]
- Chen, H.; Chen, Y.; Zheng, H.Z.; Xiang, X.W.; Xu, L. A novel angiotensin-I-converting enzyme inhibitory peptide from oyster: Simulated gastro-intestinal digestion, molecular docking, inhibition kinetics and antihypertensive effects in rats. Front. Nutr. 2022, 9, 981163. [Google Scholar] [CrossRef]
- Cao, S.; Wang, Y.; Hao, Y.; Zhang, W.; Zhou, G. Antihypertensive Effects in Vitro and in Vivo of Novel Angiotensin-Converting Enzyme Inhibitory Peptides from Bovine Bone Gelatin Hydrolysate. J. Agric. Food Chem. 2020, 68, 759–768. [Google Scholar] [CrossRef]
- Chaudhary, S.; Vats, I.D.; Chopra, M.; Biswas, P.; Pasha, S. Effect of varying chain length between P-1 and P-1’ position of tripeptidomimics on activity of angiotensin-converting enzyme inhibitors. Bioorganic Med. Chem. Lett. 2009, 19, 4364–4366. [Google Scholar] [CrossRef]
- Yu, F.; Zhang, Z.; Luo, L.; Zhu, J.; Huang, F.; Yang, Z.; Tang, Y.; Ding, G. Identification and Molecular Docking Study of a Novel Angiotensin-I Converting Enzyme Inhibitory Peptide Derived from Enzymatic Hydrolysates of Cyclina sinensis. Mar. Drugs 2018, 16, 411. [Google Scholar] [CrossRef] [PubMed]
- Balti, R.; Bougatef, A.; Sila, A.; Guillochon, D.; Dhulster, P.; Nedjar-Arroume, N. Nine novel angiotensin I-converting enzyme (ACE) inhibitory peptides from cuttlefish (Sepia officinalis) muscle protein hydrolysates and antihypertensive effect of the potent active peptide in spontaneously hypertensive rats. Food Chem. 2015, 170, 519–525. [Google Scholar] [CrossRef]
- Shih, Y.-H.; Chen, F.-A.; Wang, L.-F.; Hsu, J.-L. Discovery and Study of Novel Antihypertensive Peptides Derived from Cassia obtusifolia Seeds. J. Agric. Food Chem. 2019, 67, 7810–7820. [Google Scholar] [CrossRef] [PubMed]
- Zheng, Y.; Zhang, Y.; San, S. Efficacy of a Novel ACE-Inhibitory Peptide from Sargassum maclurei in Hypertension and Reduction of Intracellular Endothelin-1. Nutrients 2020, 12, 653. [Google Scholar] [CrossRef] [PubMed]
- Xue, L.; Wang, X.; Hu, Z.; Wu, Z.; Wang, L.; Wang, H.; Yang, M. Identification and characterization of an angiotensin-converting enzyme inhibitory peptide derived from bovine casein. Peptides 2018, 99, 161–168. [Google Scholar] [CrossRef]
- Wei, D.; Fan, W.-l.; Xu, Y. Identification of water-soluble peptides in distilled spent grain and its angiotensin converting enzyme (ACE) inhibitory activity based on UPLC-Q-TOF-MS and proteomics analysis. Food Chem. 2021, 353, 129521. [Google Scholar] [CrossRef]
- Park, S.Y.; Lee, J.S.; Baek, H.H.; Lee, H.G. Purification and Characterization of Antioxidant Peptides from Soy Protein Hydrolysate. J. Food Biochem. 2010, 34, 120–132. [Google Scholar] [CrossRef]
- Kwak, S.Y.; Yang, J.K.; Choi, H.R.; Park, K.C.; Kim, Y.B.; Lee, Y.S. Synthesis and dual biological effects of hydroxycinnamoyl phenylalanyl/prolyl hydroxamic acid derivatives as tyrosinase inhibitor and antioxidant. Bioorganic Med. Chem. Lett. 2013, 23, 1136–1142. [Google Scholar] [CrossRef]
- Sheih, I.C.; Fang, T.J.; Wu, T.K. Isolation and characterisation of a novel angiotensin I-converting enzyme (ACE) inhibitory peptide from the algae protein waste. Food Chem. 2009, 115, 279–284. [Google Scholar] [CrossRef]








| Sequence | Toxicity | Solubility | Score | Sequence | Toxicity | Solubility | Score |
|---|---|---|---|---|---|---|---|
| KLF | Non-Toxic | Good | 0.81 | DLMF | Non-Toxic | Good | 0.94 |
| LDF | Non-Toxic | Good | 0.84 | FDRL | Non-Toxic | Good | 0.86 |
| FIR | Non-Toxic | Good | 0.89 | FIGR | Non-Toxic | Good | 0.88 |
| IFR | Non-Toxic | Good | 0.90 | IGRF | Non-Toxic | Good | 0.93 |
| RYF | Non-Toxic | Good | 0.94 | IRFL | Non-Toxic | Good | 0.88 |
| KFL | Non-Toxic | Good | 0.83 | LDGF | Non-Toxic | Good | 0.88 |
| FTDF | Non-Toxic | Good | 0.88 | SLRF | Non-Toxic | Good | 0.89 |
| LDLF | Non-Toxic | Good | 0.81 | WQFK | Non-Toxic | Good | 0.90 |
| DFLL | Non-Toxic | Good | 0.86 | LDPF | Non-Toxic | Good | 0.91 |
| FILR | Non-Toxic | Good | 0.82 | AFPR | Non-Toxic | Good | 0.92 |
| LFPK | Non-Toxic | Good | 0.82 | FDPL | Non-Toxic | Good | 0.92 |
| FEHF | Non-Toxic | Good | 0.83 | RLPF | Non-Toxic | Good | 0.95 |
| FQRL | Non-Toxic | Good | 0.84 | LRFP | Non-Toxic | Good | 0.93 |
| QYFR | Non-Toxic | Good | 0.83 | FMPK | Non-Toxic | Good | 0.94 |
| FGPR | Non-Toxic | Good | 0.96 | IFDF | Non-Toxic | Good | 0.95 |
| KDPF | Non-Toxic | Good | 0.84 | FLFR | Non-Toxic | Good | 0.98 |
| LDYF | Non-Toxic | Good | 0.84 | FDMF | Non-Toxic | Good | 0.99 |
| KYFP | Non-Toxic | Good | 0.85 | PWRAP | Non-Toxic | Good | 0.91 |
| FRAL | Non-Toxic | Good | 0.85 |
| Sequence | -CDOCKER ENERGY (kcal/mol) | -CDOCKER INTERACTION ENERGY (kcal/mol) |
|---|---|---|
| LDGF | 121.880 | 107.296 |
| FRAL | 103.881 | 101.421 |
| FQRL | 111.194 | 104.606 |
| LDPF | 100.851 | 107.304 |
| FMPK | 105.286 | 109.274 |
| FILR | 93.854 | 103.268 |
| FIGR | 106.429 | 96.410 |
| FDRL | 129.310 | 110.089 |
| DLMF | 113.891 | 100.233 |
| KLF | 99.030 | 104.047 |
| KFL | 99.863 | 96.555 |
| LPR | 93.753 | 95.979 |
Disclaimer/Publisher’s Note: The statements, opinions and data contained in all publications are solely those of the individual author(s) and contributor(s) and not of MDPI and/or the editor(s). MDPI and/or the editor(s) disclaim responsibility for any injury to people or property resulting from any ideas, methods, instructions or products referred to in the content. |
© 2023 by the authors. Licensee MDPI, Basel, Switzerland. This article is an open access article distributed under the terms and conditions of the Creative Commons Attribution (CC BY) license (https://creativecommons.org/licenses/by/4.0/).
Share and Cite
Shao, M.; Wu, H.; Wang, B.; Zhang, X.; Gao, X.; Jiang, M.; Su, R.; Shen, X. Identification and Characterization of Novel ACE Inhibitory and Antioxidant Peptides from Sardina pilchardus Hydrolysate. Foods 2023, 12, 2216. https://doi.org/10.3390/foods12112216
Shao M, Wu H, Wang B, Zhang X, Gao X, Jiang M, Su R, Shen X. Identification and Characterization of Novel ACE Inhibitory and Antioxidant Peptides from Sardina pilchardus Hydrolysate. Foods. 2023; 12(11):2216. https://doi.org/10.3390/foods12112216
Chicago/Turabian StyleShao, Mingyang, Haixing Wu, Bohui Wang, Xuan Zhang, Xia Gao, Mengqi Jiang, Ruiheng Su, and Xuanri Shen. 2023. "Identification and Characterization of Novel ACE Inhibitory and Antioxidant Peptides from Sardina pilchardus Hydrolysate" Foods 12, no. 11: 2216. https://doi.org/10.3390/foods12112216
APA StyleShao, M., Wu, H., Wang, B., Zhang, X., Gao, X., Jiang, M., Su, R., & Shen, X. (2023). Identification and Characterization of Novel ACE Inhibitory and Antioxidant Peptides from Sardina pilchardus Hydrolysate. Foods, 12(11), 2216. https://doi.org/10.3390/foods12112216
