The “Hygiene Package”: Analysis of Fraud Rates in Italy in the Period before and after Its Entry into Force
Abstract
:1. Introduction
2. Materials and Methods
2.1. Data Collection
2.2. Statistical Analysis
3. Results
4. Discussion
5. Conclusions
Author Contributions
Funding
Institutional Review Board Statement
Informed Consent Statement
Data Availability Statement
Conflicts of Interest
References
- Spink, J.; Moyer, D.C. Understanding and combating food fraud. Food Technol. 2013, 67, 30–35. [Google Scholar]
- Moore, J.C.; Spink, J.; Lipp, M. Development and Application of a Database of Food Ingredient Fraud and Economically Motivated Adulteration from 1980 to 2010. J. Food Sci. 2012, 77, R118–R126. [Google Scholar] [CrossRef] [PubMed]
- Robson, K.; Dean, M.; Haughey, S.; Elliott, C. A comprehensive review of food fraud terminologies and food fraud mitigation guides. Food Control 2021, 120, 107516. [Google Scholar] [CrossRef]
- Tibola, C.S.; da Silva, S.A.; Dossa, A.A.; Patrício, D.I. Economically Motivated Food Fraud and Adulteration in Brazil: Incidents and Alternatives to Minimize Occurrence. J. Food Sci. 2018, 83, 2028–2038. [Google Scholar] [CrossRef] [Green Version]
- Peng, G.J.; Chang, M.H.; Fang, M.; Liao, C.D.; Tsai, C.F.; Tseng, S.H.; Cheng, H.F. Incidents of major food adulteration in Taiwan between 2011 and 2015. Food Control 2017, 72, 145–152. [Google Scholar] [CrossRef]
- Zhang, W.; Xue, J. Economically motivated food fraud and adulteration in China: An analysis based on 1553 media reports. Food Control 2016, 67, 192–198. [Google Scholar] [CrossRef]
- Food Fraud. Available online: https://knowledge4policy.ec.europa.eu/food-fraud-quality/topic/food-fraud_en (accessed on 10 February 2022).
- Regulation (EC) No 178/2002 of the European Parliament and of the Council of 28 January2002 laying down the general principles and requirements of food law, establishing the European Food Safety Authority and laying down procedures in matters of food safety. Off. J. Eur. Communities 2002, 45, L31.
- Regulation (EU) No 1169/2011 of the European Parliament and of the Council of 25 October 2011 on the provision of food information to consumers, amending Regulations (EC) No 1924/2006 and (EC) No 1925/2006 of the European Parliament and of the Council, and repealing Commission Directive 87/250/EEC, Council Directive 90/496/EEC, Commission Directive 1999/10/EC, Directive 2000/13/EC of the European Parliament and of the Council, Commission Directives 2002/67/EC and 2008/5/EC and Commission Regulation (EC) No 608/2004. Off. J. Eur. Communities 2011, 54, L304.
- Regulation (EU) 2017/625 of the European Parliament and of the Council of 15 March 2017 on official controls and other official activities performed to ensure the application of food and feed law, rules on animal health and welfare, plant health and plant protection products, amending Regulations (EC) No 999/2001, (EC) No 396/2005, (EC) No 1069/2009, (EC) No 1107/2009, (EU) No 1151/2012, (EU) No 652/2014, (EU) 2016/429 and (EU) 2016/2031 of the European Parliament and of the Council, Council Regulations (EC) No 1/2005 and (EC) No 1099/2009 and Council Directives 98/58/EC, 1999/74/EC, 2007/43/EC, 2008/119/EC and 2008/120/EC, and repealing Regulations (EC) No 854/2004 and (EC) No 882/2004 of the European Parliament and of the Council, Council Directives 89/608/EEC, 89/662/EEC, 90/425/EEC, 91/496/EEC, 96/23/EC, 96/93/EC and 97/78/EC and Council Decision 92/438/EEC (Official Controls Regulation). Off. J. Eur. Communities 2017, 60, L95.
- Jurica, K.; Brcic Karaconji, I.; Lasic, D.; Bursac Kovacevic, D.; Putnik, P. Unauthorized Food Manipulation as a Criminal Offense: Food Authenticity, Legal Frameworks, Analytical Tools and Cases. Foods 2021, 10, 2570. [Google Scholar] [CrossRef]
- Manning, L.; Soon, J.M. Food safety, food fraud, and food defense: A fast evolving literature. J. Food Sci. 2016, 81, R823–R834. [Google Scholar] [CrossRef] [PubMed] [Green Version]
- Spink, J.; Bedard, B.; Keogh, J.; Moyer, D.C.; Scimeca, J.; Vasan, A. International survey of food fraud and related terminology: Preliminary results and discussion. J. Food Sci. 2019, 84, 2705–2718. [Google Scholar] [CrossRef] [PubMed]
- Ulberth, F. Tools to combat food fraud. A gap analysis. Food Chem. 2020, 330, 127044. [Google Scholar] [CrossRef] [PubMed]
- The EU Food Fraud Network. Available online: https://ec.europa.eu/food/safety/agri-food-fraud/eu-food-fraud-network_en (accessed on 8 February 2021).
- Spink, J.; Moyer, D.C. Defining the Public Health Threat of Food Fraud. J. Food Sci. 2011, 76, 157–163. [Google Scholar] [CrossRef] [PubMed]
- Pesarin, F. Multivariate Permutation Test; Wiley & Sons: Chichester, UK, 2001. [Google Scholar]
- Pesarin, F.; Lago, A. Nonparametric combination of dependent rankings with applications to the quality assessment of industrial products. Metron 2000, LVIII, 39–52. [Google Scholar]
- Robson, K.; Dean, M.; Brooks, S.; Haughey, S.; Elliott, C. A 20-year analysis of reported food fraud in the global beef supply chain. Food Control 2020, 116, 107310. [Google Scholar] [CrossRef]
- Commission Recommendation of 27 March 2014 on a second coordinated control plan with a view to establishing the prevalence of fraudulent practices in the marketing of certain foods. Off. J. Eur. Union 2014, L95, 64–68.
- Montanari, F.; Varallo, C.; Pisanello, D. Food Fraud in the EU. Eur. J. Risk Reg. 2016, 7, 197–205. [Google Scholar] [CrossRef]
- Moreira, M.J.; García-Díez, J.; de Almeida, J.M.M.M.; Saraiva, C. Consumer Knowledge about Food Labeling and Fraud. Foods 2021, 10, 1095. [Google Scholar] [CrossRef]
- United States Pharmacopeia. Food Fraud Mitigation Guidance. Appendix XVII. General Tests and Assay. Available online: https://www.usp.org/sites/default/files/usp/document/our-work/Foods/food-fraud-mitigation-guidance.pdf (accessed on 8 March 2021).
- Spink, J.; Moyer, D.C.; Whelan, P. The role of the public private partnership in food fraud prevention-includes implementing the strategy. Curr. Opin. Food Sci. 2016, 10, 68–75. [Google Scholar] [CrossRef]
- Moyer, D.C.; DeVries, J.W.; Spink, J. The economics of a food fraud incident–case studies and examples including melamine in wheat gluten. Food Control 2017, 71, 358–364. [Google Scholar] [CrossRef]
- Spink, J.; Moyer, D.C.; Speier-Pero, C. Introducing the food fraud initial screening model (FFIS). Food Control 2016, 69, 306–314. [Google Scholar] [CrossRef]
- Capatti, A.; De Bernardi, A.; Varni, A. Storia d’Italia. Annali 13. L’alimentazione; Einaudi, T., Ed.; 1998; Available online: https://www.einaudi.it/catalogo-libri/storia/storia-ditalia-annali-13-lalimentazione-9788806147860/ (accessed on 12 March 2022).
- McGrath, T.F.; Haughey, S.A.; Islam, M.; Elliott, C.T. The potential of handheld near infrared spectroscopy to detect food adulteration: Results of a global, multi-instrument inter-laboratory study. Food Chem. 2021, 353, 128718. [Google Scholar] [CrossRef] [PubMed]
- Panghal, A.; Mor, R.S.; Kamble, S.S.; Khan, S.A.R.; Kumar, D.; Soni, G. Global food security post COVID-19: Dearth or dwell in the developing world? Agron. J. 2021, 22, 878–884. [Google Scholar] [CrossRef]
- Cavin, C.; Cottenet, G.; Cooper, K.M.; Zbinden, P. Meat vulnerabilities to economic food adulteration require new analytical solutions. CHIMIA Int. J. Chem. 2018, 72, 697–703. [Google Scholar] [CrossRef]
- Aries, E.; Burton, J.; Carrasco, L.; De Rudder, O.; Maquet, A. Scientific Support to the Implementation of A Coordinated Control Plan with A View to Establishing the Prevalence of Fraudulent Practices in the Marketing of Honey; N° SANTE/2015/E3/JCRSI2.706828; European Union: Geel, Belgium, 2016. [Google Scholar]
- Conte, L.; Bendini, A.; Valli, E.; Lucci, P.; Moret, S.; Maquet, A.; Lacoste, F.; Brereton, D.; García-González, L.; Moreda, W.; et al. Olive oil quality and authenticity: A review of current EU legislation, standards, relevant methods of analyses, their drawbacks and recommendations for the future. Trends Food Sci. Technol. 2019, 105, 483–493. [Google Scholar] [CrossRef]
- Richter, W.; Jansen, C.; Venzke, T.S.L.; Mendonca, C.R.B.; Borges, C.D. Physical-chemical quality evaluation of honey produced in the municipality of Pelotas/RS. Braz. J. Food Nutr. 2011, 22, 547–554. [Google Scholar]





| EU Law | Articles | Previsions |
|---|---|---|
| Regulation (EC) 178/2002 [8] | Art. 8 (Protection of consumers’ interests) | Food law shall aim at the protection of the interests of consumers and shall provide a basis for consumers to make informed choices as to the foods they consume. It shall aim at the prevention of: (a) fraudulent or deceptive practices; (b) the adulteration of food; and (c) any other practices which may mislead the consumer. |
| Regulation (EU) 1169/2011 [9] | Art. 7, point 1 (Fair information practices) | Food information shall not be misleading, particularly: (a) as to the characteristics of the food and, in particular, as to its nature, identity, properties, composition, quantity, durability, country of origin or place of provenance, method of manufacture or production (b) by attributing to the food effects or properties which it does not possess; (c) by suggesting that the food possesses special characteristics when in fact all similar foods possess such characteristics, in particular, by specifically emphasizing the presence or absence of certain ingredients and/or nutrients; (d) by suggesting, using the appearance, the description or pictorial representations, the presence of a particular food or an ingredient, while in reality a component naturally present or an ingredient normally used in that food has been substituted with a different component or a different ingredient. |
| Regulation (EU) 2017/625 [10] | Art. 9, points 1 and 2 (General rules on official controls) | 1. Competent authorities shall perform official controls on all operators regularly, on a risk basis and with appropriate frequency, taking account of: […] any information indicating the likelihood that consumers might be misled, in particular as to the nature, identity, properties, composition, quantity, durability, country of origin or place of provenance, method of manufacture or production of food. […] 2. Competent authorities shall perform official controls regularly, with appropriate frequencies determined on a risk basis, to identify possible intentional violations of the rules […] perpetrated through fraudulent or deceptive practices, and taking into account information regarding such violations shared through the mechanisms of administrative assistance. |
| Agri-Food Sectors | Number of Inspections | Number of Irregularities |
|---|---|---|
| Wine | 159,187 | 44,836 |
| Milk and dairy products | 67,413 | 6701 |
| Oils and fats | 81,790 | 7883 |
| Feed and supplements | 36,361 | 5576 |
| Eggs | 17,784 | 2582 |
| Honey | 12,224 | 1209 |
| Sowing seeds | 16,061 | 3738 |
| Vegetable preserves | 23,139 | 1764 |
| Meat | 30,049 | 4489 |
| 444,007 | 78,778 |
| Year | Wine | Milk and Dairy Products | Oils and Fats | Feed and Supplements | Eggs | Honey | Sowing Seeds | Vegetable Preserves | Meat |
|---|---|---|---|---|---|---|---|---|---|
| 1997 | 0.321 | 0.081 | 0.086 | 0.391 | 0.138 | 0.233 | 0.585 | 0.071 | 0.037 |
| 1998 | 0.346 | 0.058 | 0.073 | 0.499 | 0.166 | 0.188 | 0.461 | 0.055 | 0.024 |
| 1999 | 0.359 | 0.084 | 0.091 | 0.594 | 0.197 | 0.126 | 0.481 | 0.031 | 0.015 |
| 2000 | 0.341 | 0.068 | 0.128 | 0.322 | 0.084 | 0.233 | 0.502 | 0.061 | 0.010 |
| 2001 | 0.413 | 0.087 | 0.083 | 0.121 | 0.137 | 0.171 | 0.243 | 0.142 | 0.002 |
| 2002 | 0.496 | 0.114 | 0.084 | 0.061 | 0.131 | 0.123 | 0.271 | 0.050 | 0.028 |
| 2003 | 0.329 | 0.122 | 0.090 | 0.069 | 0.115 | 0.038 | 0.238 | 0.050 | 0.152 |
| 2004 | 0.378 | 0.090 | 0.192 | 0.044 | 0.189 | 0.093 | 0.347 | 0.059 | 0.112 |
| 2005 | 0.267 | 0.065 | 0.085 | 0.054 | 0.143 | 0.094 | 0.134 | 0.044 | 0.055 |
| 2006 | 0.191 | 0.086 | 0.072 | 0.045 | 0.116 | 0.065 | 0.109 | 0.039 | 0.052 |
| 2007 | 0.239 | 0.084 | 0.089 | 0.054 | 0.079 | 0.058 | 0.098 | 0.071 | 0.059 |
| 2008 | 0.330 | 0.123 | 0.084 | 0.066 | 0.106 | 0.121 | 0.139 | 0.135 | 0.113 |
| 2009 | 0.274 | 0.160 | 0.130 | 0.121 | 0.095 | 0.117 | 0.431 | 0.093 | 0.196 |
| 2010 | 0.277 | 0.165 | 0.094 | 0.148 | 0.207 | 0.078 | 0.275 | 0.136 | 0.268 |
| 2011 | 0.335 | 0.148 | 0.128 | 0.198 | 0.323 | 0.149 | 0.255 | 0.114 | 0.296 |
| 2012 | 0.324 | 0.157 | 0.123 | 0.235 | 0.240 | 0.099 | 0.068 | 0.152 | 0.361 |
| 2013 | 0.305 | 0.137 | 0.121 | 0.284 | 0.163 | 0.124 | 0.066 | 0.135 | 0.300 |
| 2014 | 0.204 | 0.120 | 0.082 | 0.231 | 0.169 | 0.118 | 0.186 | 0.084 | 0.181 |
| 2015 | 0.218 | 0.168 | 0.084 | 0.262 | 0.207 | 0.132 | 0.167 | 0.089 | 0.174 |
| 2016 | 0.217 | 0.105 | 0.112 | 0.191 | 0.17 | 0.103 | 0.168 | 0.104 | 0.234 |
| 2017 | 0.254 | 0.072 | 0.089 | 0.162 | 0.112 | 0.087 | 0.123 | 0.076 | 0.105 |
| 2018 | 0.221 | 0.039 | 0.054 | 0.204 | 0.119 | 0.106 | 0.122 | 0.056 | 0.194 |
| 2019 | 0.264 | 0.078 | 0.152 | 0.179 | 0.101 | 0.1 | 0.207 | 0.041 | 0.134 |
| 2020 | 0.189 | 0.051 | 0.077 | 0.106 | 0.115 | 0.046 | 0.068 | 0.038 | 0.116 |
| Food Sector | Before 2004 | After 2004 | p-Value | ||
|---|---|---|---|---|---|
| Mean ± S.D. | Median | Mean ± S.D. | Median | ||
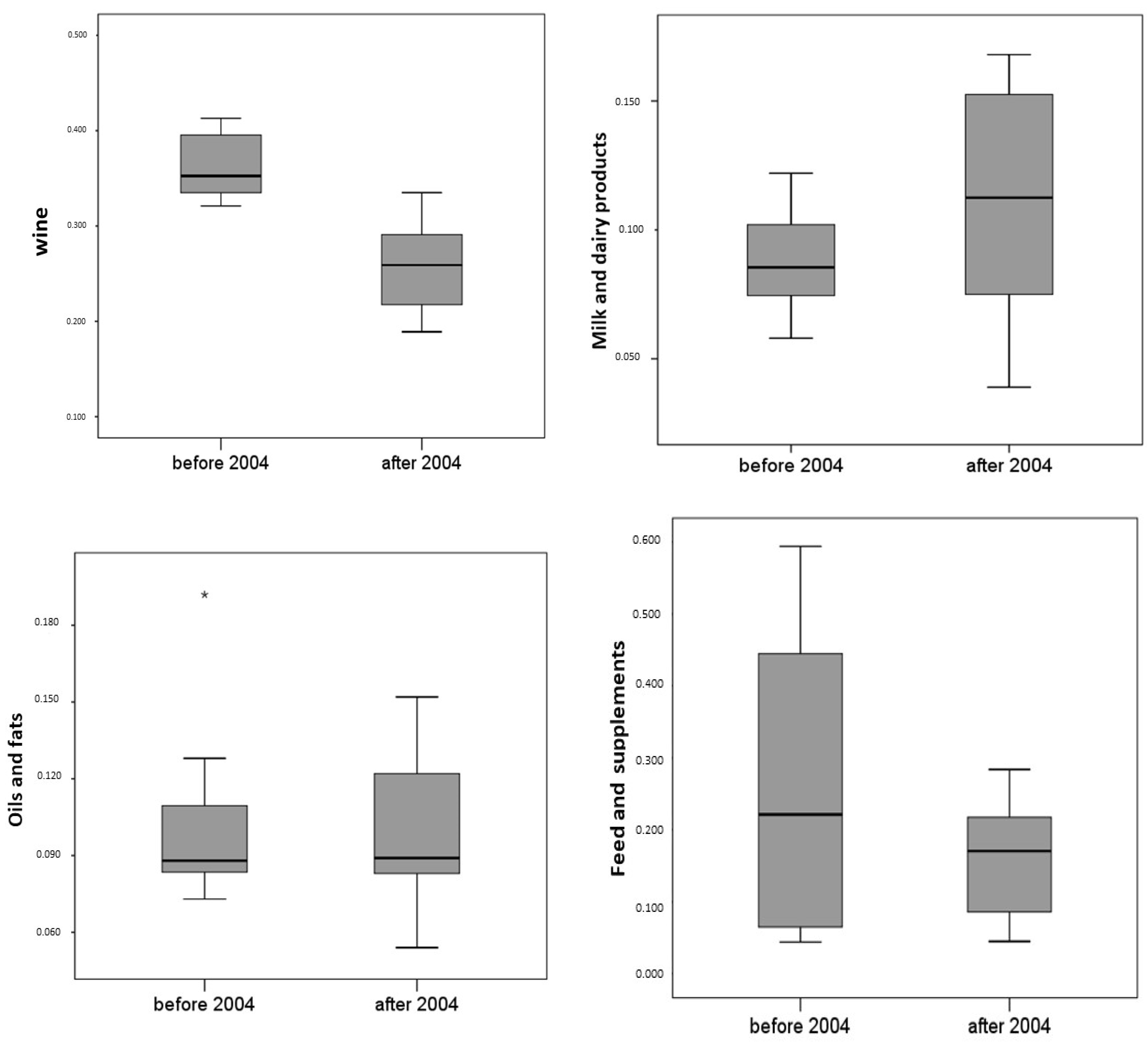
| Wine | 0.372 ± 0.057 | 0.352 | 0.257 ± 0.049 | 0.259 | 0.001 |
| Milk and dairy products | 0.088 ± 0.021 | 0.085 | 0.110 ± 0.043 | 0.112 | 0.284 |
| Oils and fats | 0.103 ± 0.039 | 0.088 | 0.098 ± 0.026 | 0.089 | 0.927 |
| Feed and supplements | 0.262 ± 0.217 | 0.221 | 0.159 ± 0.078 | 0.170 | 0.444 |
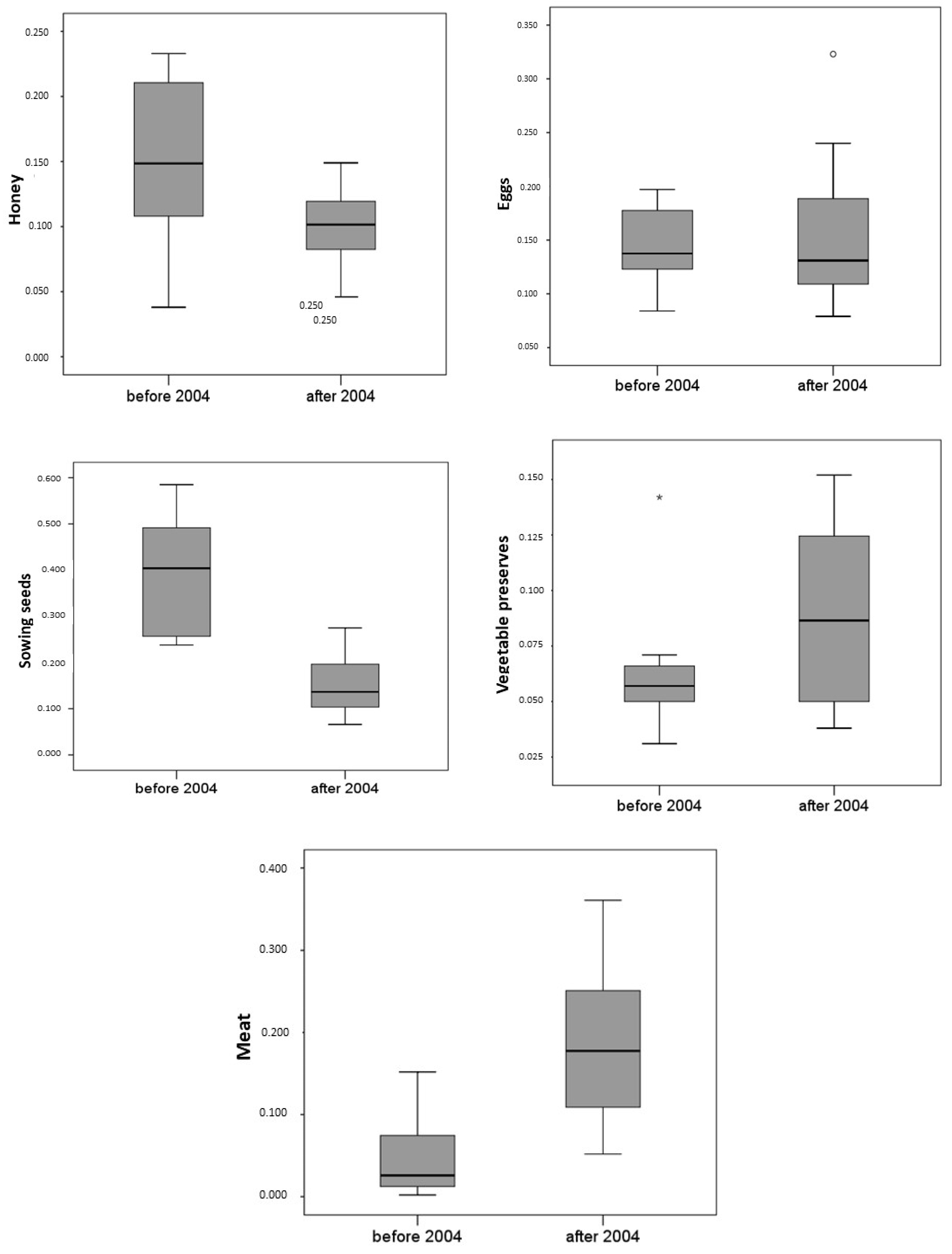
| Eggs | 0.144 ± 0.037 | 0.137 | 0.154 ± 0.065 | 0.131 | 0.976 |
| Honey | 0.150 ± 0.068 | 0.148 | 0.101 ± 0.028 | 0.102 | 0.047 |
| Sowing seeds | 0.391 ± 0.133 | 0.404 | 0.164 ± 0.095 | 0.137 | 0.001 |
| Vegetable preserves | 0.064 ± 0.033 | 0.057 | 0.088 ± 0.039 | 0.087 | 0.188 |
| Meat | 0.047 ± 0.054 | 0.026 | 0.177 ± 0.095 | 0.178 | 0.001 |
| Food Sectors | Before 2004 | After 2004 |
|---|---|---|
| Wine | 2 | 1 |
| Milk and dairy products | 7 | 6 |
| Oils and fats | 6 | 8 |
| Feed and supplements | 3 | 4 |
| Eggs | 5 | 5 |
| Honey | 4 | 7 |
| Sowing seeds | 1 | 3 |
| Vegetable preserves | 8 | 9 |
| Meat | 9 | 2 |
| Food Sectors | 1997–2020 |
|---|---|
| Wine | −0.304 |
| Milk and dairy products | 2.734 |
| Oils and fats | 2.265 |
| Feed and supplements | −0.936 |
| Eggs | 2.394 |
| Honey | −0.994 |
| Sowing seeds | −4.266 |
| Vegetable preserves | 3.152 |
| Meat | 8.757 |
Publisher’s Note: MDPI stays neutral with regard to jurisdictional claims in published maps and institutional affiliations. |
© 2022 by the authors. Licensee MDPI, Basel, Switzerland. This article is an open access article distributed under the terms and conditions of the Creative Commons Attribution (CC BY) license (https://creativecommons.org/licenses/by/4.0/).
Share and Cite
Previti, A.; Vicari, D.; Conte, F.; Pugliese, M.; Gargano, V.; Alibrandi, A.; Zirilli, A.; Passantino, A. The “Hygiene Package”: Analysis of Fraud Rates in Italy in the Period before and after Its Entry into Force. Foods 2022, 11, 1244. https://doi.org/10.3390/foods11091244
Previti A, Vicari D, Conte F, Pugliese M, Gargano V, Alibrandi A, Zirilli A, Passantino A. The “Hygiene Package”: Analysis of Fraud Rates in Italy in the Period before and after Its Entry into Force. Foods. 2022; 11(9):1244. https://doi.org/10.3390/foods11091244
Chicago/Turabian StylePreviti, Annalisa, Domenico Vicari, Francesca Conte, Michela Pugliese, Valeria Gargano, Angela Alibrandi, Agata Zirilli, and Annamaria Passantino. 2022. "The “Hygiene Package”: Analysis of Fraud Rates in Italy in the Period before and after Its Entry into Force" Foods 11, no. 9: 1244. https://doi.org/10.3390/foods11091244
APA StylePreviti, A., Vicari, D., Conte, F., Pugliese, M., Gargano, V., Alibrandi, A., Zirilli, A., & Passantino, A. (2022). The “Hygiene Package”: Analysis of Fraud Rates in Italy in the Period before and after Its Entry into Force. Foods, 11(9), 1244. https://doi.org/10.3390/foods11091244

