Effect of Sour Cherry or Plum Juice Marinades on Quality Characteristics and Oxidative Stability of Pork Loin
Abstract
:1. Introduction
2. Materials and Methods
2.1. Materials
2.2. Preparation of Fruit Juices and Marinades
2.3. Marinating Procedure
2.4. Marinating Loss
2.5. Drip Loss
2.6. Cooking Loss
2.7. Proximate Composition
2.8. Water-Holding Capacity
2.9. Color Measurement
2.10. pH Measurement
2.11. Total Phenolic Content
2.12. DPPH Radical Scavenging Activity
2.13. Thiobarbituric Acid Reactive Substances (TBARS) Value
2.14. Ammonia Content
2.15. Sensory Evaluation
2.16. Statistical Analysis
3. Results
3.1. Soluble Solid Content, pH, Titratable Acidity, Total Phenolic Content, and Antioxidant Activity of Fruit Juices and Marinades
3.2. Proximate Composition, Marinating Loss and Cooking Loss
3.3. Evolution of pH Values
3.4. Water-Holding Capacity, Drip Loss, and Cooking Loss
3.5. Evolution of Ammonia Content
3.6. Lipid Oxidation
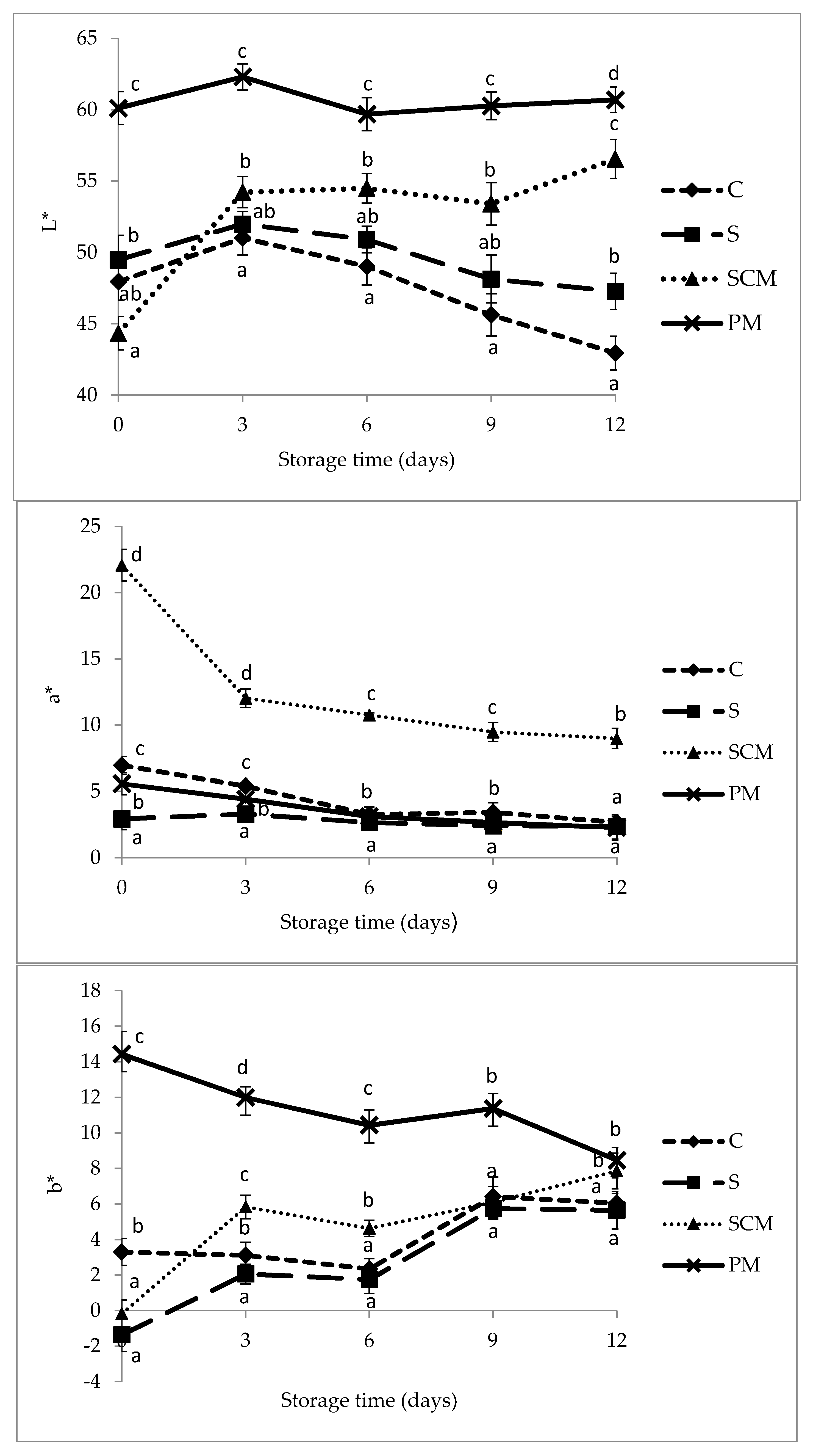
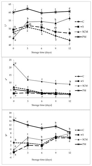
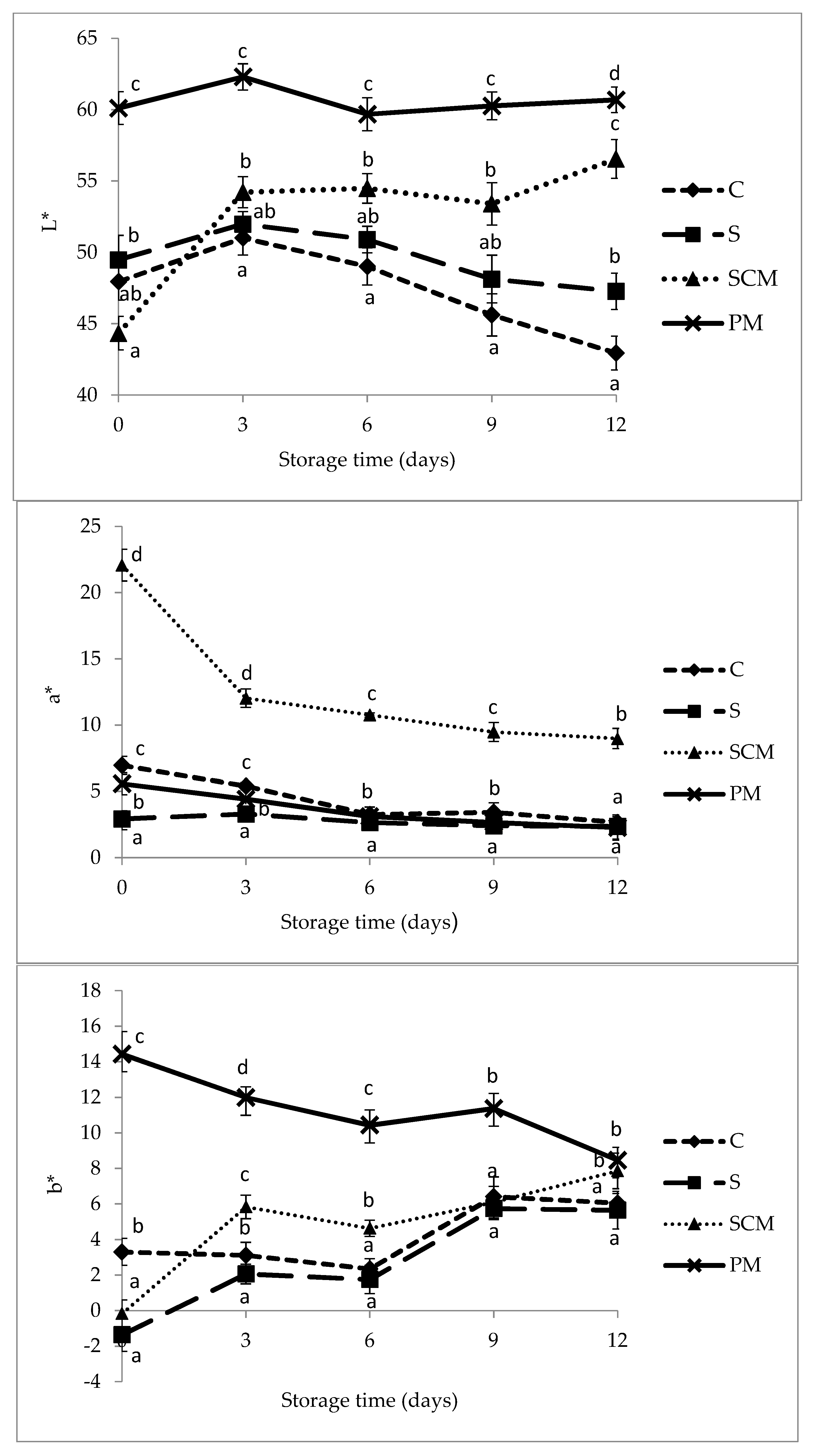
3.7. Color
3.8. Sensory Evaluation
4. Conclusions
Funding
Institutional Review Board Statement
Informed Consent Statement
Data Availability Statement
Conflicts of Interest
References
- Komoltri, P.; Pakdeechanuan, P. Effects of marinating ingredients on physicochemical, microstructural and sensory properties of golek chicken. Int. Food Res. J. 2012, 19, 1449–1455. [Google Scholar]
- Bunruk, B.; Siripongvutikorn, S.; Sutthirak, P. Combined effect of garlic juice and sa-tay marinade on quality changes of oyster meat during chilled storage. Food Nutr. Sci. 2013, 4, 690–700. [Google Scholar] [CrossRef] [Green Version]
- Lyon, B.G.; Smith, D.P.; Savage, E.M. Descriptive sensory analysis of broiler breast fillets marinated in phosphate, salt, and acid solutions. Poultry Sci. 2005, 84, 345–349. [Google Scholar] [CrossRef] [PubMed]
- Latoch, A.; Libera, J.; Stasiak, D.M. Physicochemical properties of pork loin marinated in kefir, yoghurt or buttermilk and cooked sous vide. Acta Sci. Pol. Technol. Aliment. 2019, 18, 163–171. [Google Scholar] [CrossRef] [PubMed]
- Fellenberg, M.A.; Espinoza, A.; Alarcón, J.; Peña, I. Antioxidant and bacteriostatic effects of the addition of extract of quillay polyphenols (Quillaja saponaria) in the marinade of broiler chicken. Braz. J. Poultry Sci. 2011, 13, 71–79. [Google Scholar] [CrossRef]
- Augustyńska-Prejsnar, A.; Hanus, P.; Sokołowicz, Z.; Kačániová, M. Assessment of technological characteristics and microbiological quality of marinated turkey meat with the use of dairy products and lemon juice. Anim. Biosci. 2021, 34, 2003–2011. [Google Scholar] [CrossRef]
- Rupasinghe, R.A.; Alahakoon, A.U.; Alakolanga, A.W.; Jayasena, D.D.; Jo, C. Oxidative stability of vacuum-packed chicken wings marinated with fruit juices during frozen storage. Food Sci. Anim. Resour. 2022, 42, 61–72. [Google Scholar] [CrossRef]
- Medyński, A.; Pospiech, E.; Kniat, R. Effect of various concentrations of lactic acid and sodium chloride on selected physicochemical meat traits. Meat Sci. 2000, 55, 285–290. [Google Scholar] [CrossRef]
- Kim, T.-K.; Yong, H.-I.; Jung, S.; Kim, H.-W.; Choi, Y.-S. Technologies for the production of meat products with a low sodium chloride content and improved quality characteristics—A Review. Foods 2021, 10, 957. [Google Scholar] [CrossRef]
- Gonzalez-Fandos, E.; Herrera, B. Efficacy of acetic acid against Listeria monocytogenes attached to poultry skin during refrigerated storage. Foods 2014, 3, 527–540. [Google Scholar] [CrossRef] [Green Version]
- Scott, B.R.; Yang, X.; Geornaras, I.; Delmore, R.J.; Woerner, D.R.; Adler, J.M.; Belk, K.E. Antimicrobial efficacy of a lactic acid and citric acid blend against Shiga toxin producing Escherichia coli, Salmonella, and nonpathogenic Escherichia coli Biotype I on inoculated prerigor beef carcass surface tissue. J. Food Prot. 2015, 78, 2136–2142. [Google Scholar] [CrossRef] [PubMed]
- Aktaş, N.; Aksu, M.I.; Kaya, M. The effect of organic acid marination on tenderness, cooking loss and bound water content of beef. J. Muscle Foods 2003, 14, 181–194. [Google Scholar] [CrossRef]
- Gómez, I.; Janardhanan, R.; Ibañez, F.C.; Beriain, M.J. The effects of processing and preservation technologies on meat quality: Sensory and nutritional aspects. Foods 2020, 9, 1416. [Google Scholar] [CrossRef] [PubMed]
- Gök, V.; Bor, Y. Effect of marination with fruit and vegetable juice on the some quality characteristics of turkey breast meat. Rev. Bras. Ciênc. Avíc. 2016, 18, 481–488. [Google Scholar] [CrossRef] [Green Version]
- Unal, K.; Alagöz, E.; Çelik, İ.; Sarıçoban, C. Marination with citric acid, lemon, and grapefruit affects the sensory, textural, and microstructure characteristics of poultry meat. Brit. Poultry Sci. 2022, 63, 31–38. [Google Scholar] [CrossRef] [PubMed]
- Demir, H.; Çelik, S.; Yasemin, C.; Sezer, Y.Ç. Effect of ultrasonication and vacuum impregnation pretreatments on the quality of beef marinated in onion juice a natural meat tenderizer. Food Sci. Technol. Int. 2021, 2021, 10820132211012919. [Google Scholar] [CrossRef] [PubMed]
- Kadıoğlu, P.; Karakaya, M.; Unal, K.; Babaoğlu, A.S. Technological and textural properties of spent chicken breast, drumstick and thigh meats as affected by marinating with pineapple fruit juice. Brit. Poultry Sci. 2019, 60, 381–387. [Google Scholar] [CrossRef] [PubMed]
- Augustyńska-Prejsnar, A.; Ormian, M.; Hanus, P.; Kluz, M.; Sokołowicz, Z.; Rudy, M. Effects of marinating breast muscles of slaughter pheasants with acid whey, buttermilk, and lemon juice on quality parameters and product safety. J. Food Qual. 2019, 1, 1–8. [Google Scholar] [CrossRef]
- Will, F.; Hilsendegen, P.; Bonerz, D.; Patz, C.-D.; Dietrich, H. Analytical composition of fruit juices from different sour cherry cultivar. J. Appl. Bot. Food Qual. 2005, 79, 12–16. [Google Scholar] [CrossRef]
- Repajić, M.; Kovačević, D.B.; Putnik, P.; Dragović-Uzelac, V.; Kušt, J.; Čošić, Z.; Levaj, B. Influence of cultivar and industrial processing on polyphenols in concentrated sour cherry (Prunus cerasus L.) juice. Food Technol. Biotechnol. 2015, 53, 215. [Google Scholar] [CrossRef]
- Chaovanalikit, A.; Wrolstad, R. Total anthocyanins and total phenolics of fresh and processed cherries and their antioxidant properties. J Food Sci. 2004, 69, FCT67–FCT72. [Google Scholar] [CrossRef]
- Casedas, G.; Les, F.; Gomez-Serranillos, M.P.; Smith, C.; Lopez, V. Bioactive and functional properties of sour cherry juice (Prunus cerasus). Food Funct. 2016, 7, 4675–4682. [Google Scholar] [CrossRef] [PubMed] [Green Version]
- Pedisić, S.; Dragović-Uzelac, V.; Levaj, B.; Škevin, D. Effect of maturity and geographical region on anthocyanin content of sour cherries (Prunus cerasus var. Marasca). Food Technol. Biotechnol. 2010, 48, 86–93. [Google Scholar]
- Elez Garofulić, I.; Dragović-Uzelac, V.; Jambrak, A.R.; Jukić, M. The effect of microwave assisted extraction on the isolation of anthocyanins and phenolic acids from sour cherry Marasca (Prunus cerasus var. Marasca). J. Food Eng. 2013, 117, 437–442. [Google Scholar] [CrossRef]
- Michalska, A.; Wojdyło, A.; Łysiak, G.P.; Figiel, A. Chemical composition and antioxidant properties of powders obtained from different plum juice formulations. Int. J. Mol. Sci. 2017, 18, 176. [Google Scholar] [CrossRef] [PubMed] [Green Version]
- Silvan, J.M.; Michalska-Ciechanowska, A.; Martinez-Rodriguez, A.J. Modulation of antibacterial, antioxidant, and antiinflammatory properties by drying of Prunus domestica L. plum juice extracts. Microorganisms 2020, 8, 119. [Google Scholar] [CrossRef] [PubMed] [Green Version]
- Tomás-Barberán, F.A.; Gil, M.I.; Cremin, P.; Waterhouse, A.L.; Hess-Pierce, B.; Kader, A.A. HPLC−DAD−ESIMS analysis of phenolic compounds in nectarines, peaches and plums. J. Agric. Food Chem. 2001, 49, 4748–4760. [Google Scholar] [CrossRef]
- Nile, S.H.; Park, S.W. Edible berries: Bioactive components and their effect on human health. Nutrition 2014, 30, 134–144. [Google Scholar] [CrossRef]
- Will, F.; Dietrich, H. Optimised processing technique for colour and cloud-stable plum juices and stability of bioactive substances. Eur. Food Res. Technol. 2006, 223, 419–425. [Google Scholar] [CrossRef]
- Johnson, J.B.; Collins, T.; Mani, J.S.; Naiker, M. Nutritional quality and bioactive constituents of six australian plum varieties. Int. J. Fruit Sci. 2021, 21, 115–132. [Google Scholar] [CrossRef]
- Honikel, K.O. Reference methods for the assessment of physical characteristics of meat. Meat Sci. 1998, 49, 447–457. [Google Scholar] [CrossRef]
- Hamm, R. Biochemistry of meat hydration. In Advances in Food Research; Chichester, C.O., Mrak, E.M., Eds.; Academic Press: New York, NY, USA, 1961; pp. 355–463. [Google Scholar]
- Singleton, V.L.; Orthofer, R.; Lamuela-Raventós, R.M. Analysis of total phenols and other oxidation substrates and antioxidants by means of Folin-Ciocalteu reagent. Methods Enzymol. 1999, 299, 152–178. [Google Scholar] [CrossRef]
- Hatano, T.; Kagawa, H.; Yasuhara, T.; Okuda, T. Two new flavonoids and other constituents in licorice root: Their relative astringency and radical scavenging effects. Chem. Pharm. Bull. 1988, 36, 2090–2097. [Google Scholar] [CrossRef] [PubMed] [Green Version]
- Witte, V.C.; Krauze, G.F.; Bailey, M.E. A new extraction method for determining 2-thiobarbituric acid values of pork and beef during storage. J. Food Sci. 1970, 35, 582–585. [Google Scholar] [CrossRef]
- Parris, N.; Foglia, T.A. Simplified alcoholic extraction for ammonia in meat tissue. J. Agric. Food Chem. 1983, 31, 887–889. [Google Scholar] [CrossRef]
- Khoo, G.M.; Clausen, M.R.; Pedersen, B.H.; Larsen, E. Bioactivity and total phenolic content of 34 sour cherry cultivars. J. Food Compos. Anal. 2011, 24, 772–776. [Google Scholar] [CrossRef]
- Jaiswal, R.; Karaköse, H.; Rühmann, S.; Goldner, K.; Neumüller, M.; Treutter, D.; Kuhnert, N. Identification of phenolic compounds in plum fruits (Prunus salicina L. and Prunus domestica L.) by high-performance liquid chromatography/tandem mass spectrometry and characterization of varieties by quantitative phenolic fingerprints. J. Agric. Food Chem. 2013, 61, 12020–12031. [Google Scholar] [CrossRef]
- Olawuyi, I.F.; Akbarovich, S.A.; Kim, C.K.; Lee, W.Y. Effect of combined ultrasound-enzyme treatment on recovery of phenolic compounds, antioxidant capacity, and quality of plum (Prunus salicina L.) juice. J. Food Process. Pres. 2021, 45, e15074. [Google Scholar] [CrossRef]
- Rupasinghe, H.P.V.; Jayasankar, S.; Lay, W. Variation in total phenolics and antioxidant capacity among European plum genotypes. Sci. Hortic. 2006, 108, 243–246. [Google Scholar] [CrossRef]
- Slimestad, R.; Vangdal, E.; Brede, C. Analysis of phenolic compounds in six Norwegian plum cultivars (Prunus domestica L.). J. Agric. Food Chem. 2009, 57, 11370–11375. [Google Scholar] [CrossRef]
- Filipović, I.; Ćurčić, B.; Filipović, V.; Nićetin, M.; Filipović, J.; Knežević, V. The effects of technological parameters on chicken meat osmotic dehydration process efficiency. J. Food Process. Pres. 2017, 41, e13116. [Google Scholar] [CrossRef]
- Goli, T.; Bohuon, P.; Ricci, J.; Trystram, G.; Collignan, A. Mass transfer dynamics during the acidic marination of turkey meat. J. Food Eng. 2011, 104, 161–168. [Google Scholar] [CrossRef]
- Sharedeh, D.; Gatellier, P.; Astruc, T.; Daudin, J.-D. Effects of pH and NaCl levels in a beef marinade on physicochemical states of lipids and proteins and on tissue microstructure. Meat Sci. 2015, 110, 24–31. [Google Scholar] [CrossRef] [PubMed]
- Katiyo, W.; de Kock, H.L.; Coorey, R.; Buys, E.M. Sensory implications of chicken meat spoilage in relation to microbial and physicochemical characteristics during refrigerated storage. LWT 2020, 128, 109468. [Google Scholar] [CrossRef]
- Choe, J.; Kim, H.Y. Comparison of three commercial collagen mixtures: Quality characteristics of marinated pork loin ham. Food Sci. Anim. Resour. 2019, 39, 345–353. [Google Scholar] [CrossRef] [Green Version]
- Serdaroğlu, M.; Abdraimov, K.; Önec, A. The effects of marinating with citric acid solutions and grapefruit juice on cooking and eating quality of turkey breast. J. Muscle Foods 2007, 18, 162–172. [Google Scholar] [CrossRef]
- Saelin, S.; Wattanachant, S.; Youravong, W. Evaluation of water holding capacity in broiler breast meat by electrical conductivity. Int. Food Res. J. 2017, 24, 2593–2598. [Google Scholar]
- Kang, Y.K.; Choi, Y.M.; Lee, S.H.; Choe, J.H.; Hong, K.C.; Kim, B.C. Effects of myosin heavy chain isoforms on meat quality, fatty acid composition, and sensory evaluation in Berkshire pigs. Meat Sci. 2011, 89, 384–389. [Google Scholar] [CrossRef]
- Balamatsia, C.C.; Patsias, A.; Kontominas, M.G.; Savvaidis, I.N. Possible role of volatile amines as quality indicating metabolites in modified atmosphere packaged chicken fillets: Correlation with microbiological and sensory attributes. Food Chem. 2007, 104, 1622–1628. [Google Scholar] [CrossRef]
- Baeza, E. Measuring quality parameters. In Poultry Meat Processing and Quality; Mead, G.C., Ed.; CRC Press: Cambridge, UK, 2004; pp. 304–332. [Google Scholar]
- Siroli, L.; Baldi, G.; Soglia, F.; Bukvicki, D.; Patrignani, F.; Petracci, M.; Lanciotti, R. Use of essential oils to increase the safety and the quality of marinated pork loin. Foods 2020, 9, 987. [Google Scholar] [CrossRef]
- Choe, J.; Kim, G.W.; Kim, H.Y. Effects of green tea leaf, lotus leaf, and kimchi powders on quality characteristics of chicken liver sausages. J. Anim. Sci. Technol. 2019, 61, 28–34. [Google Scholar] [CrossRef] [PubMed] [Green Version]
- Naveena, B.M.; Sen, A.R.; Vaithiyanathan, S.; Babji, Y.; Kondaiah, N. Comparative efficacy of pomegranate juice, pomegranate rind powder extract and BHT as antioxidants in cooked chicken patties. Meat Sci. 2008, 80, 1304–1308. [Google Scholar] [CrossRef] [PubMed]
- Turgut, S.S.; Işıkçı, F.; Soyer, A. Antioxidant activity of pomegranate peel extract on lipid and protein oxidation in beef meatballs during frozen storage. Meat Sci. 2017, 129, 111–119. [Google Scholar] [CrossRef] [PubMed]
- Selani, M.M.; Contreras-Castillo, C.J.; Shirahigue, L.D.; Gallo, C.R.; Plata-Oviedo, M.; Montes-Villanueva, N.D. Wine industry residues extracts as natural antioxidants in raw and cooked chicken meat during frozen storage. Meat Sci. 2011, 88, 397–403. [Google Scholar] [CrossRef]
- Caine, W.R.; Aalhus, J.L.; Best, D.R.; Dugan, M.E.R.; Jeremiah, L.E. Relationship of texture profile analysis and Warner–Bratzler shear force with sensory characteristics of beef rib steaks. Meat Sci. 2003, 64, 333–339. [Google Scholar] [CrossRef]




| Samples | Soluble Solid Content | pH | Titratable Acidity | Total Phenolic Content | DPPH Antioxidant Activity |
|---|---|---|---|---|---|
| Sour cherry juice | 15.14 ± 0.34 a | 3.06 ± 0.02 a | 1.36 ± 0.16 b | 350.45 ± 12.23 b | 1.50 ± 0.09 b |
| Plum juice | 16.54 ± 0.28 b | 3.38 ± 0.03 b | 0.97 ± 0.08 a | 129.34 ± 7.09 a | 0.54 ± 0.02 a |
| Sour cherry marinade | 12.72 ± 0.24 a | 3.28 ± 0.03 a | 0.82 ± 0.05 b | 203.41 ± 9.77 b | 0.87 ± 0.04 b |
| Plum marinade | 13.58 ± 0.18 b | 3.54 ± 0.02 b | 0.60 ± 0.04 a | 78.76 ± 4.11 a | 0.34 ± 0.02 a |
| Traits (%) | C | S | SCM | PM |
|---|---|---|---|---|
| Moisture | 72.22 ± 0.54 a | 74.56 ± 0.93 b | 71.58 ± 0.65 a | 71.60 ± 0.48 a |
| Protein | 21.86 ± 0.48 b | 20.93 ± 0.36 a | 21.28 ± 0.27 ab | 21.44 ± 0.45 ab |
| Fat | 3.96 ± 0.24 a | 3.83 ± 0.31 a | 4.08 ± 0.18 a | 4.26 ± 0.28 a |
| Marinating loss | 2.91 ± 0.35 b | −5.18 ± 0.54 a | 2.13 ± 0.34 b | 2.51 ± 0.41 b |
| Cooking loss | 33.72± 1.66 a | 32.68 ± 0.69 a | 32.34 ± 1.46 a | 34.31 ± 0.96 a |
| Traits (%) | C | S | SCM | PM |
|---|---|---|---|---|
| Water-holding capacity | 75.89 ± 1.95 ab | 77.60 ± 1.34 c | 74.57 ± 1.63 a | 75.29 ± 0.93 ab |
| Drip loss | 5.75 ± 0.22 b | 3.23 ± 0.18 a | 5.97 ± 0.34 b | 6.10 ± 0.36 b |
| Cooking loss | 33.72 ± 1.66 a | 32.68 ± 0.69 a | 34.34 ± 1.46 a | 34.81 ± 0.96 a |
| Traits | Parameter | C | S | SCM | PM |
|---|---|---|---|---|---|
| Raw | L * | 47.95 ± 1.30 abA | 49.48 ± 1.71 bA | 44.34 ± 1.18 aA | 60.11 ± 1.15 cA |
| a * | 6.95 ± 0.68 cB | 2.93 ± 0.62 aA | 22.08 ± 1.20 dB | 5.58 ± 0.82 bA | |
| b * | 3.30 ± 0.76 bA | −1.36 ± 0.94 aA | −0.17 ± 0.77 aA | 14.44 ± 1.26 cA | |
| Cooked | L * | 69.95 ± 3.26 cB | 63.53 ± 2.87 bB | 55.00 ± 2.42 aB | 62.31 ± 1.65 bA |
| a * | 5.22 ± 0.67 aA | 6.29 ± 0.49 bB | 10.06 ± 0.51 dA | 6.91 ± 0.24 cB | |
| b * | 9.67 ± 0.55 bB | 8.48 ± 0.50 aB | 9.33 ± 0.44 bB | 16.56 ± 0.53 cB |
| Traits (Attributes) | Treatment | Storage time (days) | ||||
|---|---|---|---|---|---|---|
| 0 | 3 | 6 | 9 | 12 | ||
| Color acceptability | C | 8.33 ± 0.49 c | 7.92 ± 0.29 b | 7.58 ± 0.51 b | 6.25 ± 0.45 a | 5.67 ± 0.49 a |
| S | 8.08 ± 0.51 bc | 7.83 ± 0.39 b | 7.42 ± 0.51 b | 6.58 ± 0.51 a | 5.83 ± 0.39 ab | |
| SCM | 7.25 ± 1.14 a | 6.92 ± 1.00 a | 6.67 ± 0.78 a | 6.42 ± 0.51 a | 6.25 ± 0.62 bc | |
| PM | 7.67 ± 0.49 ab | 7.50 ± 0.52 b | 7.33 ± 0.49 b | 7.08 ± 0.51 b | 6.42 ± 0.51 c | |
| Tenderness | C | 7.25 ± 0.45 a | 7.08 ± 0.29 a | 6.83 ± 0.39 a | 6.42 ± 0.51 a | 5.92 ± 0.67 a |
| S | 7.75 ± 0.45 b | 7.58 ± 0.51 b | 7.33 ± 0.49 b | 6.92 ± 0.51 b | 6.58 ± 0.51 b | |
| SCM | 7.67 ± 0.65 ab | 7.50 ± 0.52 b | 7.25 ± 0.45 ab | 6.75 ± 0.45 ab | 6.33 ± 0.49 ab | |
| PM | 7.33 ± 0.49 ab | 7.25 ± 0.45 ab | 7.08 ± 0.29 ab | 6.67 ± 0.49 ab | 6.25 ± 0.45 ab | |
| Juiciness | C | 6.75 ± 0.62 a | 6.42 ± 0.51 a | 6.17 ± 0.39 a | 5.58 ± 0.51 a | 4.92 ± 0.29 a |
| S | 7.33 ± 0.65 b | 6.92 ± 0.51 b | 6.58 ± 0.51 b | 6.17 ± 0.72 b | 5.67 ± 0.49 b | |
| SCM | 7.17 ± 0.58 ab | 6.83 ± 0.39 ab | 6.50 ± 0.52 ab | 6.08 ± 0.67 ab | 5.42 ± 0.67 b | |
| PM | 6.83 ± 0.72 ab | 6.67 ± 0.65 ab | 6.42 ± 0.51 ab | 5.83 ± 0.58 ab | 5.25 ± 0.62 ab | |
| Taste | C | 7.75 ± 0.45 a | 7.58 ± 0.51 a | 7.17 ± 0.39 | 6.33 ± 0.49 a | 5.42 ± 0.51 a |
| S | 8.50 ± 0.52 bc | 8.33 ± 0.49 b | 7.83 ± 0.39 | 6.67 ± 0.65 bc | 6.25 ± 0.45 ab | |
| SCM | 8.25 ± 0.45 b | 7.92 ± 0.29 a | 7.67 ± 0.49 | 6.83 ± 0.58 b | 6.42 ± 0.51 b | |
| PM | 8.67 ± 0.49 c | 8.50 ± 0.52 b | 8.17 ± 0.39 | 7.33 ± 0.49 c | 6.58 ± 0.51 c | |
| Flavor | C | 7.83 ± 0.39 a | 7.58 ± 0.51 a | 7.17 ± 0.58 a | 6.17 ± 0.39 a | 4.75 ± 0.45 a |
| S | 8.33 ± 0.49 b | 8.08 ± 0.29 b | 7.58 ± 0.51 b | 6.67 ± 0.49 b | 5.42 ± 0.51 b | |
| SCM | 8.58 ± 0.51 b | 8.33 ± 0.49 b | 7.92 ± 0.29 bc | 7.50 ± 0.52 c | 6.75 ± 0.45 c | |
| PM | 8.67 ± 0.49 b | 8.42 ± 0.51 b | 8.25 ± 0.45 c | 7.67 ± 0.49 c | 6.92 ± 0.29 c | |
| General acceptability | C | 7.58 ± 0.51 a | 7.33 ± 0.49 a | 6.92 ± 0.67 a | 5.92 ± 0.29 a | 4.50 ± 0.52 a |
| S | 8.33 ± 0.49 b | 8.17 ± 0.39 b | 7.67 ± 0.49 b | 6.42 ± 0.51 b | 4.83 ± 0.39 a | |
| SCM | 8.08 ± 0.67 b | 7.92 ± 0.67 b | 7.58 ± 0.51 b | 6.83 ± 0.39 c | 6.42 ± 0.51 b | |
| PM | 8.42 ± 0.51 b | 8.33 ± 0.49 b | 7.83 ± 0.39 b | 7.25 ± 0.45 d | 6.75 ± 0.45 b | |
Publisher’s Note: MDPI stays neutral with regard to jurisdictional claims in published maps and institutional affiliations. |
© 2022 by the author. Licensee MDPI, Basel, Switzerland. This article is an open access article distributed under the terms and conditions of the Creative Commons Attribution (CC BY) license (https://creativecommons.org/licenses/by/4.0/).
Share and Cite
Nour, V. Effect of Sour Cherry or Plum Juice Marinades on Quality Characteristics and Oxidative Stability of Pork Loin. Foods 2022, 11, 1088. https://doi.org/10.3390/foods11081088
Nour V. Effect of Sour Cherry or Plum Juice Marinades on Quality Characteristics and Oxidative Stability of Pork Loin. Foods. 2022; 11(8):1088. https://doi.org/10.3390/foods11081088
Chicago/Turabian StyleNour, Violeta. 2022. "Effect of Sour Cherry or Plum Juice Marinades on Quality Characteristics and Oxidative Stability of Pork Loin" Foods 11, no. 8: 1088. https://doi.org/10.3390/foods11081088
APA StyleNour, V. (2022). Effect of Sour Cherry or Plum Juice Marinades on Quality Characteristics and Oxidative Stability of Pork Loin. Foods, 11(8), 1088. https://doi.org/10.3390/foods11081088
