Characterization of Taste Compounds and Sensory Evaluation of Soup Cooked with Sheep Tail Fat and Prickly Ash
Abstract
:1. Introduction
2. Materials and Methods
2.1. Materials and Chemicals
2.2. Sample Preparation
2.3. Sensory Analysis
2.4. Electronic Tongue
2.5. HPLC Analysis
2.6. Calculation of EUC
2.7. Additional Experiments
2.8. Statistical Analysis
3. Results and Discussion
3.1. Spices Addition Results
3.2. Quantification of Taste Compounds
3.3. Analysis of EUC
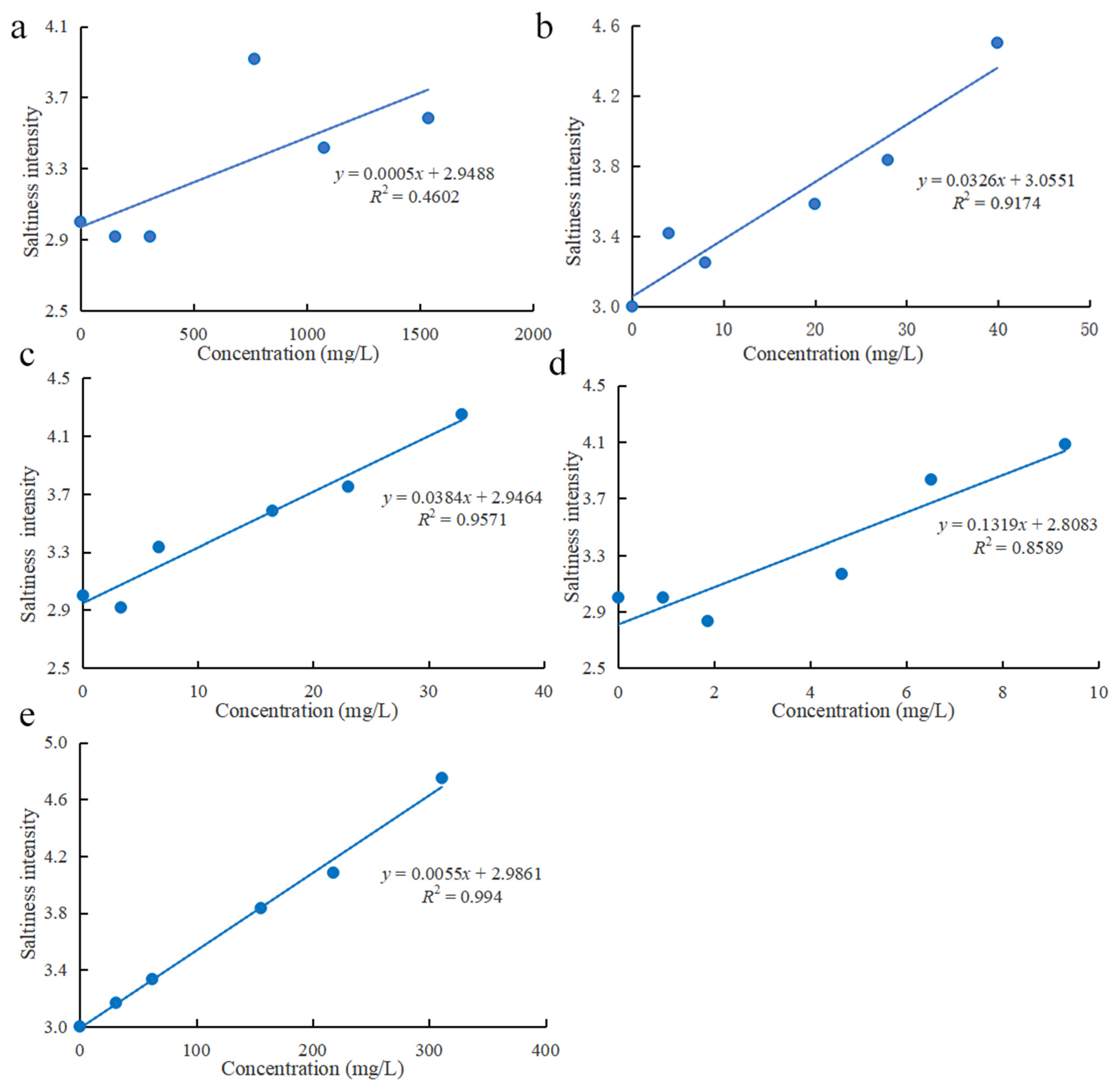
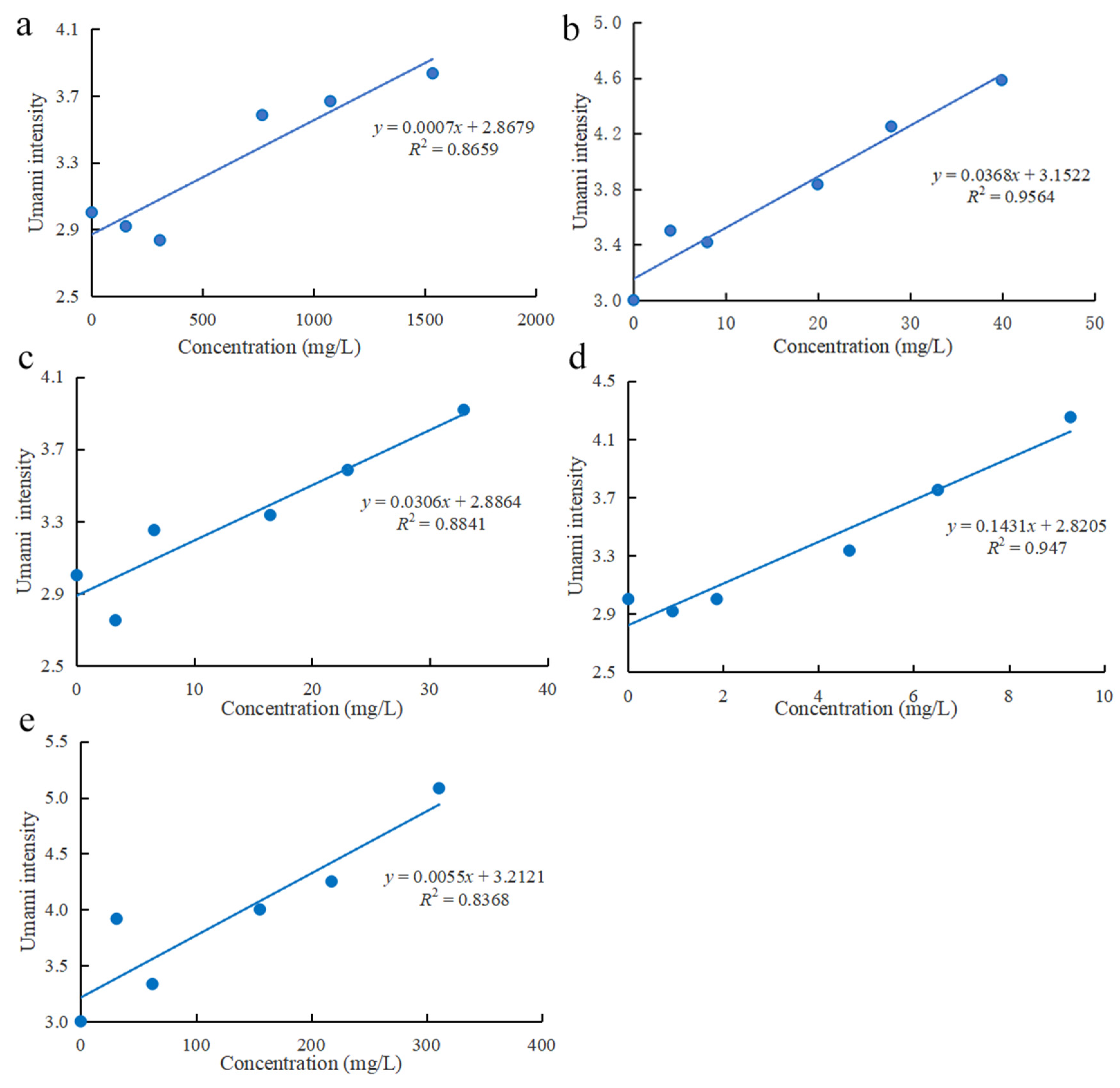
3.4. Correlation Analysis
3.5. Electronic Tongue Analysis
3.6. Additional Experiments
3.7. Taste Evaluation of Compounds
4. Conclusions
Supplementary Materials
Author Contributions
Funding
Institutional Review Board Statement
Informed Consent Statement
Data Availability Statement
Conflicts of Interest
References
- Shuang, J.; Ligerima, A.O.; Changjin, A.O. Study on composition of Sunit sheep body fatty acid. J. Chin. Animal. Vet. Sci. 2015, 46, 1363–1374. [Google Scholar]
- Tian, H.L.; Zhan, P.; Li, W.G.; Zhang, X.M.; He, X.Y.; Ma, Y.G.; Guo, Z.L.; Zhang, D.Q. Contribution to the aroma character-istics of mutton process flavor from oxidized suet evaluated by descriptive sensory analysis, gas chromatography, and elec-tronic nose through partial least squares regression. Eur. J. Lipid Sci. Tech. 2014, 116, 1522–1533. [Google Scholar] [CrossRef]
- Chang, C.; Wu, G.C.; Zhang, H.; Jin, Q.Z.; Wang, X.G. Deep-fried flavor: Characteristics, formation mechanisms, and influencing factors. Crit. Rev. Food Sci. Nutr. 2019, 60, 1496–1514. [Google Scholar] [CrossRef] [PubMed]
- Schreurs, N.M.; Tavendale, M.H.; A Lane, G.; Barry, T.N.; McNabb, W.C.; Cummings, T.; Fraser, K.; López-Villalobos, N. The effect of supplementation of a white clover or perennial ryegrass diet with grape seed extract on indole and skatole metabolism and the sensory characteristics of lamb. J. Sci. Food Agric. 2007, 87, 1030–1041. [Google Scholar] [CrossRef]
- Zhao, J.; Wang, T.Z.; Xie, J.C.; Xiao, Q.F.; Du, W.B.; Wang, Y.X. Meat flavor generation from different composition patterns of initial Maillard stage intermediates formed in heated cysteine-xylose-glycine reaction systems. Food Chem. 2018, 274, 79–88. [Google Scholar] [CrossRef]
- Whitfield, F.B.; Mottram, D.S. Volatiles from interactions of Maillard reactions and lipids. Crit. Rev. Food Sci. Nutr. 1992, 31, 1–58. [Google Scholar] [CrossRef]
- Dang, Y.L.; Wang, Z.; Xu, S.Y. Methods for extracting the taste compounds from water soluble extract of Jinhua ham. Eur. Food Res. Technol. 2008, 228, 93–102. [Google Scholar] [CrossRef]
- Qi, J.; Wang, H.-H.; Zhou, G.-H.; Xu, X.-L.; Li, X.; Bai, Y.; Yu, X.-B. Evaluation of the taste-active and volatile compounds in stewed meat from the Chinese yellow-feather chicken breed. Int. J. Food Prop. 2017, 20, S2579–S2595. [Google Scholar] [CrossRef]
- Zhang, L.L.; Duan, W.; Huang, Y.; Zhang, Y.Y.; Sun, B.G.; Pu, D.D.; Tang, Y.Z.; Liu, C. Sensory taste properties of chicken (Hy-Line brown) soup as prepared with five different parts of the chicken. Int. J. Food Prop. 2020, 23, 1804–1824. [Google Scholar] [CrossRef]
- Zhao, C.J.; Schieber, A.; Gänzle, M.G. Formation of taste-active amino acids, amino acid derivatives and peptides in food fermentations—A review. Food Res. Int. 2016, 89, 39–47. [Google Scholar] [CrossRef]
- Kang, M.-W.; Chung, S.; Lee, H.-S.; Kim, Y.; Kim, K.-O. The sensory interactions of organic acids and various flavors in ramen soup systems. J. Food Sci. 2007, 72, S639–S647. [Google Scholar] [CrossRef] [PubMed]
- Yoko, K.; Naoko, Y.; Shigeru, O.; Hiroki, A. Taste-active components in the mantle muscle of the oval squid sepioteuthis lessoniana and their effects on squid taste. Food Res. Int. 2008, 41, 371–379. [Google Scholar]
- Suryatia, T.; Astawanb, M.; Lioe, H.N.; Wresdiyatic, T.; Usmiatid, S. Nitrite residue and malonaldehyde reduction in dendeng-Indonesian dried meat-influenced by spices, curing methods and precooking preparation. Meat. Sci. 2014, 96, 1403–1408. [Google Scholar] [CrossRef]
- Ma, Y.; Li, X.; Hou, L.X.; Wei, A.Z. Extraction solvent affects the antioxidant, antimicrobial, cholinesterase and HepG2 human hepatocellular carcinoma cell inhibitory activities of Zanthoxylum bungeanum pericarps and the major chemical components. Ind. Crop. Prod. 2019, 142, 111872. [Google Scholar] [CrossRef]
- Duan, W.; Huang, Y.; Xiao, J.F.; Zhang, Y.Y.; Zhang, H.Y. Comparison of nonvolatile taste components in 18 strong fra-grance spices. Int. J. Food Prop. 2020, 23, 340–353. [Google Scholar] [CrossRef] [Green Version]
- Huang, Y.; Duan, W.; Xiao, J.F.; Liu, H.; Zhou, C.C.; Zhang, Y.Y.; Tang, Y.Z.; Sun, B.G.; Li, Z.M. Characterization of the taste compounds in 20 pungent spices by high-performance liquid chromatography. J. Food Meas. Charact. 2020, 15, 1680–1692. [Google Scholar] [CrossRef]
- Paulos, K.; Rodrigues, S.S.Q.; Oliveira, A.F.; Leite, A.; Pereira, E.; Teixeira, A. Sensory characterization and consumer preference mapping of fresh sausages manufactured with goat and sheep meat. J. Food Sci. 2015, 80, S1568–S1573. [Google Scholar] [CrossRef] [PubMed] [Green Version]
- Wang, L.H.; Qiao, K.N.; Duan, W.; Zhang, Y.Y.; Xiao, J.F.; Huang, Y. Comparison of taste components in stewed beef broth under different conditions by means of chemical analyzed. Food Sci. Nutr. 2020, 8, 955–964. [Google Scholar] [CrossRef]
- Xi, J.P.; Zhan, P.; Tian, H.L.; Wang, P. Effect of spices on the formation of VOCs in roasted mutton based on GC-MS and principal component analysis. J. Food Qual. 2019, 2019, 8568920. [Google Scholar] [CrossRef]
- Yang, Q.Q.; Mei, X.F.; Wang, Z.R.; Chen, X.H.; Zhang, R.; Chen, Q.L.; Kan, J.Q. Comprehensive identification of non-volatile bitter-tasting compounds in Zanthoxylum bungeanum Maxim. by untargeted metabolomics combined with sensory-guided fractionation technique. Food Chem. 2021, 347, 129085. [Google Scholar] [CrossRef]
- Chen, K.X.; Xue, L.L.; Li, Q.Y.; Li, Y.Y.; Mao, Y.F.; Fan, S.W.; Zhang, L.L.; Zhao, L. Quantitative struc-ture-pungency landscape of sanshool dietary components from Zanthoxylum species. Food Chem. 2021, 363, 130286. [Google Scholar] [CrossRef] [PubMed]
- Pu, D.D.; Zhang, Y.Y.; Sun, B.G.; Ren, F.Z.; Zhang, H.Y.; Chen, H.T.; Tang, Y.Z. Characterization of the key taste com-pounds during bread oral processing by instrumental analysis and dynamic sensory evaluation. LWT Food Sci. Technol. 2021, 138, 110641. [Google Scholar] [CrossRef]
- Sun, Y.; Zhang, L.-L.; Zhang, H.; Zhang, Y.-Y.; Sun, B.-G. Effects of two sterilization methods on the taste compositions of sweet and sour spare ribs flavor. J. Food Compos. Anal. 2021, 104, 104143. [Google Scholar] [CrossRef]
- Liang, L.; Duan, W.; Zhang, J.C.; Huang, Y.; Zhang, Y.Y.; Sun, B.G. Characterization and molecular docking study of taste peptides from chicken soup by sensory analysis combined with nano-LC-Q-TOF-MS/MS. Food Chem. 2022, 383, 132455. [Google Scholar] [CrossRef] [PubMed]
- Wang, J.; Zhang, B.; Wu, Q.; Jiang, X.Y.; Liu, H.J.; Wang, C.Z.; Huang, M.Q.; Wu, J.H.; Zhang, J.L.; Yu, Y.G. Sensomics-assisted flavor decoding of coarse cereal Huangjiu. Food Chem. 2022, 381, 132296. [Google Scholar] [CrossRef]
- Pu, D.D.; Duan, W.; Huang, Y.; Zhang, L.L.; Zhang, Y.Y.; Sun, B.G.; Ren, F.Z.; Zhang, H.Y.; Tang, Y.Z. Characterization of the dynamic texture perception and the impact factors on the bolus texture changes during oral processing. Food Chem. 2020, 339, 128078. [Google Scholar] [CrossRef]
- Van, H.T.; Ho, P.L.; Goethals, S.; De, S. The potential of herbs and spices to reduce lipid oxidation during heating and gas-trointestinal digestion of a beef product. Food Res. Int. 2017, 102, 785–792. [Google Scholar]
- Yu, Y.R.; Wang, G.Y.; Luo, Y.T.; Pu, Y.H.; Ge, C.R.; Liao, G.Z. Effect of natural spices on precursor substances and volatile flavor compounds of bfated Wuding chicken during processing. Flavour. Frag. J. 2020, 35, 570–583. [Google Scholar] [CrossRef]
- Huang, Y.; Pu, D.D.; Hao, Z.L.; Yang, X.; Zhang, Y.Y. The effect of prickly ash (Zanthoxylum bungeanum Maxim) on the taste perception of stewed sheep tail fat by LC-QTOF-MS/MS and a chemometrics analysis. Foods 2021, 10, 2709. [Google Scholar] [CrossRef]
- Nishimura, T.; Kato, H. Taste of free amino acids and peptides. Food Rev. Int. 1988, 4, 175–194. [Google Scholar] [CrossRef]
- Kato, H.; Rhue, M.R.; Nishimura, T. Role of free amino acids and peptides in food taste. Am. Chem. Soc. 1989, 158–174. [Google Scholar] [CrossRef]
- Wang, K.; Zhuang, H.N.; Bing, F.L.; Chen, D.; Feng, T.; Xu, Z.M. Evaluation of eight kinds of flavor enhancer of umami taste by an electronic tongue. Food Sci. Nutr. 2021, 9, 2095–2104. [Google Scholar] [CrossRef] [PubMed]
- Rietberg, M.R.; Rousseau, D.; Duizer, L. Sensory evaluation of sodium chloride-containing water-in-fat emulsions. J. Agric. Food Chem. 2012, 60, 4005–4011. [Google Scholar] [CrossRef]
- Ma, J.; Chen, Y.P.; Zhu, Y.W.; Ayed, C.; Fan, Y.X.; Chen, G.L.; Liu, Y. Quantitative analyses of the umami characteristics of disodium succinate in aqueous solution. Food Chem. 2020, 316, 126336. [Google Scholar] [CrossRef] [PubMed]
- Duncan, A.J.; Young, S.A. The effect of rumen adaptation to oxalic acid on selection of oxalic–acid–rich plants by goats. Br. J. Nutr. 2000, 83, 59–65. [Google Scholar] [CrossRef] [PubMed] [Green Version]
- Yang, W.X.; Shi, W.Z.; Zhou, S.N.; Qu, Y.H.; Wang, Z.H. Research on the changes of water-soluble flavor substances in grass carp during steaming. J. Food Biochem. 2019, 43, e12993. [Google Scholar] [CrossRef]
- Phat, C.; Moon, B.K.; Lee, C. Evaluation of umami taste in mushroom extracts by chemical analysis, sensory evaluation, and an electronic tongue system. Food Chem. 2016, 192, 1068–1077. [Google Scholar] [CrossRef]
- Nodake, K.; Numata, M.; Kosai, K.; Kim, Y.J.; Nishiumi, T. Evaluation of changes in the taste of cooked meat products dur-ing curing using an artificial taste sensor. Anim. Sci. J. 2013, 84, 613–621. [Google Scholar] [CrossRef]
- Miranda, A.M.; Ingram, M.; Nuessle, T.M.; Santorico, S.A.; Garneau, N.L. Factors affecting detection of a bimodal sour-savory mixture and inter individual umami taste perception. Food Qual. Prefer. 2021, 89, 104147. [Google Scholar] [CrossRef]
- Dotson, C.D.; Spector, A.C. Behavioral discrimination between sucrose and other natural sweeteners in mice: Implications for the neural coding of T1R ligands. J. Neurosci. 2007, 27, 11242–11253. [Google Scholar] [CrossRef]
- Hayabuchi, H.; Morita, R.; Ohta, M.; Nanri, A.; Matsumoto, H.; Fujitani, S.; Yoshida, S.; Ito, S.; Sakima, A.; Takase, H.; et al. Validation of preferred salt concentration in soup based on a randomized blinded experiment in multiple regions in Japan—influence of umami (l-glutamate) on saltiness and palatability of low-salt solutions. Hypertens. Res. 2020, 43, 525–533. [Google Scholar] [CrossRef] [PubMed] [Green Version]
- Tian, H.X.; Feng, T.; Xiao, Z.B.; Song, S.Q.; Li, Z.Y.; Liu, Q.; Mao, D.S.; Li, F.H. Comparison of intensities and binary interac-tions of four basic tastes between an electronic tongue and a human tongue. Food Sci. Biotechnol. 2015, 24, 1711–1715. [Google Scholar] [CrossRef]






| Compounds | Content (mg/g) | |||||||
|---|---|---|---|---|---|---|---|---|
| SP | SS-S | SSP-S | SS-B | SSP-B | SS-O | SSP-O | ||
| Umami | Asp | 0.181 ± 0.002 a | 0.511 ± 0.013 b | 0.755 ± 0.045 c | nd | 1.011 ± 0.038 c | nd | 0.500 ± 0.019 b |
| Glu | 0.061 ± 0.001 a | 1.953 ± 0.029 d | 1.765 ± 0.075 c | 0.262 ± 0.001 b | 0.301 ± 0.025 b | nd | nd | |
| Total umami amino acids | 0.242 ± 0.003 | 2.464 ± 0.042 | 2.520 ± 0.120 | 0.262 ± 0.001 b | 1.312 ± 0.063 | nd | 0.500 ± 0.019 | |
| Sweetness | Ser | 0.153 ± 0.002 a | 7.236 ± 0.381 c | 7.494 ± 0.290 c | nd | nd | 0.891 ± 0.019 b | nd |
| Gly | nd | 8.606 ± 0.498 b | 7.771 ± 0.502 a | nd | nd | nd | nd | |
| Ala | nd | 14.887 ± 0.465 a | 14.828 ± 1.667 a | nd | nd | nd | nd | |
| Thr | nd | 2.558 ± 0.309 b | 12.466 ± 0.488 d | 4.161 ± 0.310 c | 1.019 ± 0.018 a | nd | nd | |
| Total sweetness amino acids | 0.153 ± 0.002 | 33.287 ± 1.653 | 42.559 ± 2.947 | 4.161 ± 0.310 | 1.019 ± 0.018 | 0.891 ± 0.019 | nd | |
| Bitterness | Phe | nd | 9.162 ± 0.180 b | 9.144 ± 0.214 b | nd | 1.984 ± 0.057 a | nd | nd |
| Arg | 0.392 ± 0.002 a | 2.5480 ± 0.204 c | 2.464 ± 0.193 c | 0.822 ± 0.011 b | 0.823 ± 0.017 b | nd | nd | |
| Val | 0.064 ± 0.001 a | 5.841 ± 0.199 c | 5.152 ± 0.230 b | nd | nd | nd | nd | |
| Tyr | nd | 3.414 ± 0.205 b | 3.236 ± 0.111 a | nd | nd | nd | nd | |
| Ile | nd | 9.394 ± 0.496 a | 10.702 ± 1.710 b | nd | nd | nd | nd | |
| Total bitterness amino acids | 0.456 ± 0.003 | 30.359 ± 1.284 | 30.698 ± 2.458 | 0.822 ± 0.011 | 2.807 ± 0.074 | nd | nd | |
| Tasteless | Cys-Cys | nd | 5.651 ± 0.127 e | 5.452 ± 0.222 d,e | 4.884 ± 0.188 c | 5.31 ± 0.177 d | 4.396 ± 0.152 b | 4.054 ± 0.129 a |
| Total amino acids | 0.851 ± 0.008 | 71.761 ± 3.106 | 81.229 ± 5.747 | 10.129 ± 0.510 | 10.448 ± 0.332 | 5.287 ± 0.171 | 4.554 ± 0.148 | |
| 5′-CMP | 0.010 ± 0.000 a | 0.188 ± 0.020 b | 0.177 ± 0.030 b | nd | nd | nd | nd | |
| 5′-GMP | nd | 0.074 ± 0.018 b | 0.044 ± 0.002 a | 0.031 ± 0.002 a | 0.033 ± 0.005 a | 0.025 ± 0.016 a | 0.036 ± 0.018 a | |
| 5′-IMP | nd | 0.142 ± 0.013 b | 0.090 ± 0.015 a | nd | nd | nd | nd | |
| Total 5′-nucleotides | 0.010 ± 0.000 | 0.404 ± 0.051 | 0.311 ± 0.047 | 0.031 ± 0.002 | 0.033 ± 0.005 | 0.025 ± 0.016 | 0.036 ± 0.018 | |
| oxalic acid | 0.320 ± 0.020 d | 0.727 ± 0.010 e | 0.883 ± 0.037 f | 0.144 ± 0.054 c | 0.107 ± 0.012 b,c | 0.076 ± 0.004 a,b | 0.054 ± 0.012 a | |
| ascorbic acid | nd | 0.003 ± 0.000 a | 0.020 ± 0.000 b | nd | nd | nd | nd | |
| lactic acid | nd | 0.607 ± 0.017 c | 0.803 ± 0.005 d | 0.020 ± 0.005 a | 0.198 ± 0.004 b | 0.017 ± 0.001 a | nd | |
| citric acid | 0.020 ± 0.000 b | 0.010 ± 0.002 a | 0.070 ± 0.004 d | 0.063 ± 0.006 c | nd | nd | nd | |
| succinic acid | 0.400 ± 0.070 bc | 2.637 ± 0.037 e | 4.580 ± 0.090 f | 0.388 ± 0.076 b | 0.679 ± 0.070 d | 0.475 ± 0.018 c | 0.132 ± 0.016 a | |
| Total organic acids | 0.740 ± 0.090 | 3.984 ± 0.066 | 6.356 ± 0.136 | 0.615 ± 0.141 | 0.984 ± 0.086 | 0.568 ± 0.023 | 0.186 ± 0.028 | |
Publisher’s Note: MDPI stays neutral with regard to jurisdictional claims in published maps and institutional affiliations. |
© 2022 by the authors. Licensee MDPI, Basel, Switzerland. This article is an open access article distributed under the terms and conditions of the Creative Commons Attribution (CC BY) license (https://creativecommons.org/licenses/by/4.0/).
Share and Cite
Huang, Y.; Pu, D.; Hao, Z.; Liang, L.; Zhao, J.; Tang, Y.; Zhang, Y. Characterization of Taste Compounds and Sensory Evaluation of Soup Cooked with Sheep Tail Fat and Prickly Ash. Foods 2022, 11, 896. https://doi.org/10.3390/foods11070896
Huang Y, Pu D, Hao Z, Liang L, Zhao J, Tang Y, Zhang Y. Characterization of Taste Compounds and Sensory Evaluation of Soup Cooked with Sheep Tail Fat and Prickly Ash. Foods. 2022; 11(7):896. https://doi.org/10.3390/foods11070896
Chicago/Turabian StyleHuang, Yan, Dandan Pu, Zhilin Hao, Li Liang, Jing Zhao, Yizhuang Tang, and Yuyu Zhang. 2022. "Characterization of Taste Compounds and Sensory Evaluation of Soup Cooked with Sheep Tail Fat and Prickly Ash" Foods 11, no. 7: 896. https://doi.org/10.3390/foods11070896
APA StyleHuang, Y., Pu, D., Hao, Z., Liang, L., Zhao, J., Tang, Y., & Zhang, Y. (2022). Characterization of Taste Compounds and Sensory Evaluation of Soup Cooked with Sheep Tail Fat and Prickly Ash. Foods, 11(7), 896. https://doi.org/10.3390/foods11070896

