In Vitro Determination of Inhibitory Effects of Humic Substances Complexing Zn and Se on SARS-CoV-2 Virus Replication
Abstract
1. Introduction
2. Materials and Methods
2.1. Preparation of Dilutions
2.2. Cell Culture
2.3. Test for the Inhibition of SARS-CoV-2 Replication
2.4. Test Protocol
2.5. Calculations
3. Results
4. Discussion
5. Conclusions
Author Contributions
Funding
Institutional Review Board Statement
Informed Consent Statement
Data Availability Statement
Conflicts of Interest
References
- Erdtman, H.G.H. Studies on the formation of complex oxidation and condensation products of phenols. A contribution to the investigation of the origin and nature of humic acid. Part I.—Studies of the reactivity of simple monocyclic quinones. Proc. R. Soc. London. Ser. A Contain. Pap. A Math. Phys. Character 1933, 143, 177–191. [Google Scholar]
- Waksman, S.A. Húmus Origin, Chemical Composition, and Importance in Nature; The Williams & Wilkins Company: Baltimore, MA, USA, 1936. [Google Scholar]
- Stevenson, F.J. Humus Chemistry: Genesis, Composition, Reactions; John Wiley & Sons: Hoboken, NJ, USA, 1994. [Google Scholar]
- Steinberg, C.E.W.; Meinelt, T.; Timofeyev, M.A.; Bittner, M.; Menzel, R. Humic substances. Environ. Sci. Pollut. Res. 2008, 15, 128–135. [Google Scholar] [CrossRef]
- Schnitzer, M. Humic Substances: Chemistry and Reactions. In Soil Organic Matter; Elsevier: Amsterdam, The Netherlands, 1978; pp. 1–64. [Google Scholar]
- Nieder, R.; Benbi, D.K.; Reichl, F.X. Soil Components and Human Health; Springer Science + Business Media B.V.: Dordrecht, The Netherlands, 2018. [Google Scholar]
- Lag, J.; Hadas, A.; Fairbridge, R.W.; Muñoz, J.C.N.; Pombal, X.P.; Cortizas, A.M.; Almendros, G. Humic Substances. In Encyclopedia of Soil Science; Chesworth, W., Ed.; Springer: Dordrecht, The Netherlands, 2008; pp. 315–323. [Google Scholar]
- Alvarez-Puebla, R.A.; Valenzuela-Calahorro, C.; Garrido, J.J. Theoretical study on fulvic acid structure, conformation and aggregation. A molecular modelling approach. Sci. Total Environ. 2006, 358, 243–254. [Google Scholar] [CrossRef] [PubMed]
- Alvarez-Puebla, A.R.; Garrido, J.J.; Aroca, R.F. Surface-Enhanced Vibrational Microspectroscopy of Fulvic Acid Micelles. Anal. Chem. 2004, 76, 7118–7125. [Google Scholar] [CrossRef]
- Lieke, T.; Steinberg, C.E.W.; Pan, B.; Perminova, I.V.; Meinelt, T.; Knopf, K.; Kloas, W. Phenol-rich fulvic acid as a water additive enhances growth, reduces stress, and stimulates the immune system of fish in aquaculture. Sci. Rep. 2021, 11, 174. [Google Scholar] [CrossRef]
- Chon, K.; Cho, J.; Shon, H.K. Advanced characterization of algogenic organic matter, bacterial organic matter, humic acids and fulvic acids. Water Sci. Technol. 2013, 67, 2228–2235. [Google Scholar] [CrossRef]
- Chin, Y.-P.; Aiken, G.; O’Loughlin, E. Molecular weight, polydispersity, and spectroscopic properties of aquatic humic substances. Environ. Sci. Technol. 1994, 28, 1853–1858. [Google Scholar] [CrossRef] [PubMed]
- Asakawa, D.; Kiyota, T.; Yanagi, Y.; Fujitake, N. Optimization of Conditions for High-Performance Size-Exclusion Chromatography of Different Soil Humic Acids. Anal. Sci. 2008, 24, 607–613. [Google Scholar] [CrossRef] [PubMed]
- Schellekens, J.; Buurman, P.; Kalbitz, K.; Zomeren, A.V.; Vidal-Torrado, P.; Cerli, C.; Comans, R.N.J. Molecular Features of Humic Acids and Fulvic Acids from Contrasting Environments. Environ. Sci. Technol. 2017, 51, 1330–1339. [Google Scholar] [CrossRef]
- Sutton, R.; Sposito, G. Molecular structure in soil humic substances: The new view. Environ. Sci. Technol. 2005, 39, 9009–9015. [Google Scholar] [CrossRef]
- Nebbioso, A.; Piccolo, A. Molecular characterization of dissolved organic matter (DOM): A critical review. Anal. Bioanal. Chem. 2013, 405, 109–124. [Google Scholar] [CrossRef] [PubMed]
- Ghosal, S.; Lal, J.; Singh, S.K.; Goel, R.K.; Jaiswal, A.K.; Bhattacharya, S.K. The need for formulation of Shilajit by its isolated active constituents. Phytother. Res. 1991, 5, 211–216. [Google Scholar] [CrossRef]
- Ghosal, S.; Baumik, S.; Chattopadhyay, S. Shilajit induced morphometric and functional changes in mouse peritoneal macrophages. Phytother. Res. 1995, 9, 194–198. [Google Scholar] [CrossRef]
- Pant, K.; Singh, B.; Thakur, N. Shilajit: A Humic Matter Panacea for Cancer. Int. J. Toxicol. Pharmacol. Res. 2012, 4, 17–25. [Google Scholar]
- Mishra, T.; Dhaliwal, H.S.; Singh, K.; Singh, N. Shilajit (Mumie): Current Status of Biochemical, Therapeutic and Clinical Advances. Curr. Nutr. Food Sci. 2019, 15, 104–120. [Google Scholar] [CrossRef]
- Kumar Gautam, R.; Navaratna, D.; Muthukumaran, S.; Singh, A.; Islamuddin; More, N. Humic Substances: Its Toxicology, Chemistry and Biology Associated with Soil, Plants and Environment; IntechOpen: London, UK, 2021. [Google Scholar]
- Béres, T.; Kabdebó, S.; Ferenc, K.; Nemeséri, L.; Szélsy, A.; Visy, L. Studies on therapeutic application of fulvic acids, with special regard to their liver protecting function. Magy Állatorv. Lapja 1957, 12, 351–352. (In Hungarian) [Google Scholar]
- Béres, T.; Király, I.; Bóna, E.; Lővei, E.; Róbert, S. Tőzeg-fulvósavval szerzett therapiás tapasztalataink. Orvosi Hetilap 1958, 17, 567. [Google Scholar]
- Klöcking, R.; Björn, H. Medical aspects and applications of humic substances. In Biopolymers for Medical and Pharmaceutical Applications; Wiley-VCH Verlag GmbH & Co. KGaA: Weinheim, Germany, 2005; pp. 3–16. [Google Scholar]
- De Melo, B.A.; Motta, F.L.; Santana, M.H.A. Humic acids: Structural properties and multiple functionalities for novel technological developments. Mater. Sci. Eng. C Mater. Biol. Appl. 2016, 62, 967–974. [Google Scholar] [CrossRef]
- Murbach, T.S.; Glavits, R.; Endres, J.R.; Clewell, A.E.; Hirka, G.; Vertesi, A.; Beres, E.; Pasics Szakonyine, I. A toxicological evaluation of a fulvic and humic acids preparation. Toxicol. Rep. 2020, 7, 1242–1254. [Google Scholar] [CrossRef]
- Mosa, A.; Taha, A.; Elsaeid, M. Agro-environmental applications of humic substances: A critical review. Egypt. J. Soil Sci. 2020, 60, 211–229. [Google Scholar] [CrossRef]
- Szabo, J.; Vucskits, A.V.; Berta, E.; Andrasofszky, E.; Bersenyi, A.; Hullar, I. Effect of fulvic and humic acids on iron and manganese homeostasis in rats. Acta Vet. Hung. 2017, 65, 66–80. [Google Scholar] [CrossRef][Green Version]
- Molnar, D. The beneficial effects of humic acid on gastric ulcers in pigs. Int. Pig Top. 2021, 34, 9. [Google Scholar]
- Li, Y.-M.; Li, B.-C.; Li, P.; Liu, J.-Z.; Cui, J.-L.; Mei, Z.-Q. Effects of Na-FA on gastrointestinal movement and gastric ulcer in mice. J. Chin. Med. Mater. 2011, 34, 1565–1569. [Google Scholar]
- Kunavue, N.; Lien, T.F. Effects of Fulvic Acid and Probiotic on Growth Prerformance, Nutrient Digestibility, Blood Parameters and immunity of Pigs. J. Anim. Sci. Adv. 2012, 2, 711–721. [Google Scholar]
- Hullar, I.; Vucskits, A.V.; Berta, E.; Andrasofszky, E.; Bersenyi, A.; Szabo, J. Effect of fulvic and humic acids on copper and zinc homeostasis in rats. Acta Vet. Hung. 2018, 66, 40–51. [Google Scholar] [CrossRef] [PubMed]
- Kim, M.J.; Rehman, S.U.; Amin, F.U.; Kim, M.O. Enhanced neuroprotection of anthocyanin-loaded PEG-gold nanoparticles against Abeta1–42-induced neuroinflammation and neurodegeneration via the NF-KB /JNK/GSK3beta signaling pathway. Nanomedicine 2017, 13, 2533–2544. [Google Scholar] [CrossRef]
- Cornejo, A.; Jiménez, J.M.; Caballero, L.; Melo, F.; Maccioni, R.B. Fulvic acid inhibits aggregation and promotes disassembly of tau fibrils associated with Alzheimer’s disease. J. Alzheimer’s Dis. 2011, 27, 143–153. [Google Scholar] [CrossRef] [PubMed]
- Gnananath, K.; Nataraj, K.S.; Rao, B.G.; Kumar, K.P.; Mahnashi, M.H.; Anwer, M.K.; Umar, A.; Iqbal, Z.; Mirza, M.A. Exploration of fulvic acid as a functional excipient in line with the regulatory requirement. Environ. Res. 2020, 187, 109642. [Google Scholar] [CrossRef]
- Jacob, K.K.; Prashob, P.K.J.; Chandramohanakumar, N. Humic Substances as a Potent Biomaterials for Therapeutic and Drug Delivery System—A Review. Int. J. Appl. Pharm. 2019, 11, 1–4. [Google Scholar] [CrossRef]
- Schepetkin, I.; Khlebnikov, A.; Kwon, B.S. Medical drugs from humus matter: Focus on mumie. Drug Dev. Res. 2002, 57, 140–159. [Google Scholar] [CrossRef]
- Vetvicka, V.; Vashishta, A.; Fuentes, M.; Baigorri, R.; Garcia-Mina, J.M.; Yvin, J.-C. The Relative Abundance of Oxygen Alkyl-Related Groups in Aliphatic Domains Is Involved in the Main Pharmacological-Pleiotropic Effects of Humic Acids. J. Med. Food 2013, 16, 625–632. [Google Scholar] [CrossRef] [PubMed]
- Winkler, J.; Ghosh, S. Therapeutic Potential of Fulvic Acid in Chronic Inflammatory Diseases and Diabetes. J. Diabetes Res. 2018, 2018, 5391014. [Google Scholar] [CrossRef] [PubMed]
- Vucskits, A.; Hullár, I.; Bersenyi, A.; Andrásofszky, E.; Tuboly, T.; Szabó, J. Effect of fulvic acid and humic acid. Part 1. Economic indexes, immunostimulant effect. Magyar Állatorvosok. Lapja 2010, 132, 278–284. [Google Scholar]
- Vucskits, A.V.; Hullár, I.; Bersényi, A.; Andrásofszky, E.; Kulcsár, M.; Szabó, J. Effect of fulvic and humic acids on performance, immune response and thyroid function in rats. J. Anim. Physiol. Anim. Nutr. 2010, 94, 721–728. [Google Scholar] [CrossRef] [PubMed]
- Van Rensburg, C.E.J. The Antiinflammatory Properties of Humic Substances: A Mini Review. Phytother. Res. 2015, 29, 791–795. [Google Scholar] [CrossRef] [PubMed]
- Kotwal, G.J.; Kaczmarek, J.N.; Leivers, S.; Ghebremariam, Y.T.; Kulkarni, A.P.; Bauer, G.; De Beer, C.; Preiser, W.; Mohamed, A.R. Anti-HIV, anti-poxvirus, and anti-SARS activity of a nontoxic, acidic plant extract from the Trifollium species Secomet-V/anti-vac suggests that it contains a novel broad-spectrum antiviral. Ann. N. Y. Acad. Sci. 2005, 1056, 293–302. [Google Scholar] [CrossRef]
- Klöcking, R.; Sprössig, M. Antiviral properties of humic acids. Experientia 1972, 28, 607–608. [Google Scholar] [CrossRef]
- Helbig, B.; Klöckinq, R.; Wutzler, P. Anti-herpes simplex virus type 1 activity of humic acid-like polymers and their o-diphenolic starting compounds. Antivir. Chem. Chemother. 1997, 8, 265–273. [Google Scholar] [CrossRef]
- Klöcking, R.; Helbig, B.; Schötz, G.; Schacke, M.; Wutzler, P. Anti-HSV-1 Activity of Synthetic Humic Acid-Like Polymers Derived from p -Diphenolic Starting Compounds. Antivir. Chem. Chemother. 2002, 13, 241–249. [Google Scholar] [CrossRef]
- Humic Acid Inhibition of HSV Infection; Laub BioChemicals Corporation: Newport Beach, CA, USA, 1998.
- Lu, F.J.; Tseng, S.N.; Li, M.L.; Shih, S.R. In vitro anti-influenza virus activity of synthetic humate analogues derived from protocatechuic acid. Arch. Virol. 2002, 147, 273–284. [Google Scholar] [CrossRef]
- Jooné, G.K.; Dekker, J.; Jansen Van Rensburg, C.E. Investigation of the Immunostimulatory Properties of Oxihumate. Z. Für Nat. C 2003, 58, 263–267. [Google Scholar] [CrossRef]
- Van Rensburg, C.E.J.; Dekker, J.; Weis, R.; Smith, T.L.; Janse Van Rensburg, E.; Schneider, J. Investigation of the Anti-HIV Properties of Oxihumate. Chemotherapy 2002, 48, 138–143. [Google Scholar] [CrossRef]
- Kornilaeva, G.; Becovich, A. New Humic Acid Derivative as Potent Inhibitor of HIV-1 Replication. Med. Gen. Med. 2004, 6, A10360. [Google Scholar]
- Orlov, A.A.; Zherebker, A.; Eletskaya, A.A.; Chernikov, V.S.; Kozlovskaya, L.I.; Zhernov, Y.V.; Kostyukevich, Y.; Palyulin, V.A.; Nikolaev, E.N.; Osolodkin, D.I.; et al. Examination of molecular space and feasible structures of bioactive components of humic substances by FTICR MS data mining in ChEMBL database. Sci. Rep. 2019, 9, 12066. [Google Scholar] [CrossRef]
- Zhernov, Y.V.; Konstantinov, A.I.; Zherebker, A.; Nikolaev, E.; Orlov, A.; Savinykh, M.I.; Kornilaeva, G.V.; Karamov, E.V.; Perminova, I.V. Antiviral activity of natural humic substances and shilajit materials against HIV-1: Relation to structure. Environ. Res. 2021, 193, 110312. [Google Scholar] [CrossRef]
- Kotwal, G.J. Genetic diversity-independent neutralization of pandemic viruses (e.g., HIV), potentially pandemic (e.g., H5N1 strain of influenza) and carcinogenic (e.g., HBV and HCV) viruses and possible agents of bioterrorism (variola) by enveloped virus neutralizing com. Vaccine 2008, 26, 3055–3058. [Google Scholar]
- Tiwari, S.K.; Dicks, L.M.T.; Popov, I.V.; Karaseva, A.; Ermakov, A.M.; Suvorov, A.; Tagg, J.R.; Weeks, R.; Chikindas, M.L. Probiotics at War Against Viruses: What Is Missing from the Picture? Front. Microbiol. 2020, 11, 1877. [Google Scholar] [CrossRef] [PubMed]
- Köntös, Z. Efficacy of “Essential Iodine Drops” against Severe Acute Respiratory Syndrome-Coronavirus 2 (SARS-CoV-2). PLoS ONE 2021, 16, e0254341. [Google Scholar] [CrossRef]
- Uspenskaya, E.V.; Syroeshkin, A.V.; Pleteneva, T.V.; Kazimova, I.V.; Grebennikova, T.V.; Fedyakina, I.T.; Lebedeva, V.V.; Latyshev, O.E.; Eliseeva, O.V.; Larichev, V.F.; et al. Nanodispersions of Polyelectrolytes Based on Humic Substances: Isolation, Physico-Chemical Characterization and Evaluation of Biological Activity. Pharmaceutics 2021, 13, 1954. [Google Scholar] [CrossRef]
- Larenas-Linnemann, D.; Rodriguez-Perez, N.; Arias-Cruz, A.; Blandon-Vijil, M.V.; Del Rio-Navarro, B.E.; Estrada-Cardona, A.; Gereda, J.E.; Luna-Pech, J.A.; Navarrete-Rodriguez, E.M.; Onuma-Takane, E.; et al. Enhancing innate immunity against virus in times of COVID-19: Trying to untangle facts from fictions. World Allergy Organ. J. 2020, 13, 100476. [Google Scholar] [CrossRef] [PubMed]
- Grant, W.B.; Lahore, H.; McDonnell, S.L.; Baggerly, C.A.; French, C.B.; Aliano, J.L.; Bhattoa, H.P. Evidence that Vitamin D Supplementation Could Reduce Risk of Influenza and COVID-19 Infections and Deaths. Nutrients 2020, 12, 988. [Google Scholar] [CrossRef]
- Bae, M.; Kim, H. The role of vitamin C, vitamin D, and selenium in immune system against COVID-19. Molecules 2020, 25, 5346. [Google Scholar] [CrossRef] [PubMed]
- He, L.; Zhao, J.; Wang, L.; Liu, Q.; Fan, Y.; Li, B.; Yu, Y.-L.; Chen, C.; Li, Y.-F. Using nano-selenium to combat Coronavirus Disease 2019 (COVID-19)? Nano Today 2021, 36, 101037. [Google Scholar] [CrossRef]
- Quiles, J.L.; Rivas-Garcia, L.; Varela-Lopez, A.; Llopis, J.; Battino, M.; Sanchez-Gonzalez, C. Do nutrients and other bioactive molecules from foods have anything to say in the treatment against COVID-19? Environ. Res. 2020, 191, 110053. [Google Scholar] [CrossRef]
- Te Velthuis, A.J.; van den Worm, S.H.; Sims, A.C.; Baric, R.S.; Snijder, E.J.; van Hemert, M.J. Zn(2+) inhibits coronavirus and arterivirus RNA polymerase activity in vitro and zinc ionophores block the replication of these viruses in cell culture. PLoS Pathog. 2010, 6, e1001176. [Google Scholar] [CrossRef] [PubMed]
- Ash, M. Nutritional Support for Immunity Against Viruses Including the Coronavirus. In Clinical Educatuion; Nutrition House: Hatfield, UK, 2021. [Google Scholar]
- Saar, R.A.; Weber, J.H. Fulvic acid: Modifier of metal-ion chemistry. Environ. Sci. Technol. 1982, 16, 510A–517A. [Google Scholar] [CrossRef] [PubMed]
- Kretzschmar, R.; Christl, I. Proton and metal cation binding to humic substances in relation to chemical composition and molecular size. Spec. Publ. R. Soc. Chem. 2001, 273, 153–164. [Google Scholar]
- Bertoli, A.C.; Garcia, J.S.; Trevisan, M.G.; Ramalho, T.C.; Freitas, M.P. Interactions fulvate-metal (Zn(2)(+), Cu(2)(+) and Fe(2)(+)): Theoretical investigation of thermodynamic, structural and spectroscopic properties. Biometals 2016, 29, 275–285. [Google Scholar] [CrossRef]
- Jones, M.N.; Bryan, N.D. Colloidal properties of humic substances. Adv. Colloid Interface Sci. 1998, 78, 1–48. [Google Scholar] [CrossRef]
- Chen, L.; Liang, J. An overview of functional nanoparticles as novel emerging antiviral therapeutic agents. Mater. Sci. Eng. C Mater. Biol. Appl. 2020, 112, 110924. [Google Scholar] [CrossRef]
- Smirnova, O.V.; Efimova, I.V.; Khil’ko, S.L. Antioxidant and pro-oxidant activity of ascorbic and humic acids in radical-chain oxidation processes. Russ. J. Appl. Chem. 2012, 85, 252–255. [Google Scholar] [CrossRef]
- Krezel, A.; Maret, W. The biological inorganic chemistry of zinc ions. Arch. Biochem. Biophys. 2016, 611, 3–19. [Google Scholar] [CrossRef]
- Marreiro, D.D.N.; Cruz, K.J.C.; Oliveira, A.R.S.D.; Morais, J.B.S.; Freitas, B.D.J.E.S.D.A.; Melo, S.R.D.S.; Dos Santos, L.R.; Cardoso, B.E.P.; Dias, T.M.D.S. Antiviral and immunological activity of zinc and possible role in COVID-19. Br. J. Nutr. 2021, 1–8. [Google Scholar] [CrossRef]
- Zhang, J.; Saad, R.; Taylor, E.W.; Rayman, M.P. Selenium and selenoproteins in viral infection with potential relevance to COVID-19. Redox Biol. 2020, 37, 101715. [Google Scholar] [CrossRef]
- Rakib, A.; Nain, Z.; Sami, S.A.; Mahmud, S.; Islam, A.; Ahmed, S.; Siddiqui, A.B.F.; Babu, S.M.O.F.; Hossain, P.; Shahriar, A.; et al. A molecular modelling approach for identifying antiviral selenium-containing heterocyclic compounds that inhibit the main protease of SARS-CoV-2: An in silico investigation. Brief. Bioinform. 2021, 22, 1476–1498. [Google Scholar] [CrossRef]
- Hafez, M.; Popov, A.I.; Zelenkov, V.N.; Teplyakova, T.V.; Rashad, M. Humic substances as an environmental- friendly organic wastes potentially help as natural anti-virus to inhibit COVID-19. Sci. Arch. 2020, 1, 53–60. [Google Scholar] [CrossRef]
- Boguta, P.; Sokołowska, Z. Interactions of Zn(II) Ions with Humic Acids Isolated from Various Type of Soils. Effect of pH, Zn Concentrations and Humic Acids Chemical Properties. PLoS ONE 2016, 11, e0153626. [Google Scholar] [CrossRef] [PubMed]
- Aguilar, F.; Charrondiere, U.R.; Dusemund, B.; Galtier, P.; Gilbert, J.; Gott, D.M.; Grilli, S.; Guertler, R.; Kass, G.E.N.; Koenig, J.; et al. Chromium(III)-, iron(II)- and selenium-humic acid/fulvic acid chelate and supplemented humifulvate added for nutritional purposes to food supplements. EFSA J. 2009, 7, 1147. [Google Scholar]
- Constantinescu-Aruxandei, D.; Frîncu, R.; Capră, L.; Oancea, F. Selenium Analysis and Speciation in Dietary Supplements Based on Next-Generation Selenium Ingredients. Nutrients 2018, 10, 1466. [Google Scholar] [CrossRef] [PubMed]
- Abobaker, A.; Alzwi, A.; Alraied, A.H.A. Overview of the possible role of vitamin C in management of COVID-19. Pharmacol. Rep. 2020, 72, 1517–1528. [Google Scholar] [CrossRef] [PubMed]
- ELSayed, E.S.M.; AME, A.; HA, S.; Deeb, K. The Effect of Humic Acid and Ascorbic Acid on Immunization of Chickens Against Infectious Bursal Disease. Assuit Venetrary Med. J. 2007, 53, 1–10. [Google Scholar]
- Tomo, S.; Saikiran, G.; Banerjee, M.; Paul, S. Selenium to selenoproteins—Role in COVID-19. EXCLI J. 2021, 20, 781–791. [Google Scholar] [PubMed]
- Kumar, A.; Kubota, Y.; Chernov, M.; Kasuya, H. Potential role of zinc supplementation in prophylaxis and treatment of COVID-19. Med. Hypotheses 2020, 144, 109848. [Google Scholar] [CrossRef] [PubMed]


| Component | Concentration | Performance Characteristics | |
|---|---|---|---|
| Lower Limit of Measurement | Uncertainty of Measurement, R% | ||
| Humidity | 8.5 m/m% | 0.01 m/m% | ±10.0 |
| Vitamin C | 39.6 g/100 g | 0.0001 g/100 g | ±10.0 |
| Humic acid | 0.5 m/m% | 0.1 m/m% | ±10.0 |
| Fulvic acid | 65.9 m/m% | 0.1 m/m% | ±10.0 |
| Zn2+ | 60,900 mg/kg | 0.5 mg/kg | ±10.0 |
| Se− | 23.2 mg/kg | 0.01 mg/kg | ±10.0 |
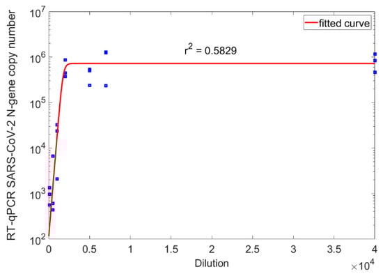
| Parameter | Fit Value | Confidence Interval at 95% |
|---|---|---|
| M | 7.23 × 104 | (51.52 × 104, 94.95 × 104) |
| a | 1739.98 | (621.80, 2858.00) |
| b | 4.84 × 10−3 | (−14.12 × 10−3, 23.80 × 10−3) |
| Active Ingredient in the Test Material (AI) Name | AI Quantity in the Test Material Solution mg | Molar Mass, Da | Calculated Molar Concentration Per Well (as Test Material Ingredient) at ID50, pM |
|---|---|---|---|
| Fulvic Acids, Peat Origin | 0.1137 | 2310 | 70.8 |
| Ascorbic Acid | 0.0747 | 176.12 | 610 |
| Humic Acids, Peat Origin | 0.0009 | 3160–26,400 | 0.049–0.409 |
| Zinc (++) ions | 0.0114 | 65.38 | 251 |
| Selenium (−) ions | 0.0004 | 78.97 | 7.28 |
Publisher’s Note: MDPI stays neutral with regard to jurisdictional claims in published maps and institutional affiliations. |
© 2022 by the authors. Licensee MDPI, Basel, Switzerland. This article is an open access article distributed under the terms and conditions of the Creative Commons Attribution (CC BY) license (https://creativecommons.org/licenses/by/4.0/).
Share and Cite
Hajdrik, P.; Pályi, B.; Kis, Z.; Kovács, N.; Veres, D.S.; Szigeti, K.; Budán, F.; Hegedüs, I.; Kovács, T.; Bergmann, R.; et al. In Vitro Determination of Inhibitory Effects of Humic Substances Complexing Zn and Se on SARS-CoV-2 Virus Replication. Foods 2022, 11, 694. https://doi.org/10.3390/foods11050694
Hajdrik P, Pályi B, Kis Z, Kovács N, Veres DS, Szigeti K, Budán F, Hegedüs I, Kovács T, Bergmann R, et al. In Vitro Determination of Inhibitory Effects of Humic Substances Complexing Zn and Se on SARS-CoV-2 Virus Replication. Foods. 2022; 11(5):694. https://doi.org/10.3390/foods11050694
Chicago/Turabian StyleHajdrik, Polett, Bernadett Pályi, Zoltán Kis, Noémi Kovács, Dániel Sándor Veres, Krisztián Szigeti, Ferenc Budán, Imre Hegedüs, Tibor Kovács, Ralf Bergmann, and et al. 2022. "In Vitro Determination of Inhibitory Effects of Humic Substances Complexing Zn and Se on SARS-CoV-2 Virus Replication" Foods 11, no. 5: 694. https://doi.org/10.3390/foods11050694
APA StyleHajdrik, P., Pályi, B., Kis, Z., Kovács, N., Veres, D. S., Szigeti, K., Budán, F., Hegedüs, I., Kovács, T., Bergmann, R., & Máthé, D. (2022). In Vitro Determination of Inhibitory Effects of Humic Substances Complexing Zn and Se on SARS-CoV-2 Virus Replication. Foods, 11(5), 694. https://doi.org/10.3390/foods11050694

