Effects of Microbial Transformation on the Biological Activities of Prenylated Chalcones from Angelica keiskei
Abstract
:1. Introduction
2. Materials and Methods
2.1. Materials and Reagents
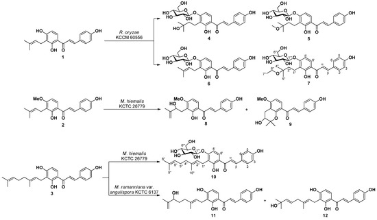
2.2. Isolation and Identification of Chalcones 1–3 from the Aerial Parts of A. keiskei
2.3. Preparation and Analysis of Screening Samples for Microbial Transformation
2.4. Preparation and Isolation of Scale-Up Samples to Obtain Metabolites 4–11
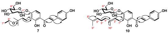
2.5. Structural Characterization of New Metabolites 4, 5, 7, and 10
2.5.1. 3′-(3-Hydroxy-3-methylbutyl)-4′-O-β-d-glucopyranosyl-4,2′-dihydroxychalcone (4)
2.5.2. 3′-(3-O-Methyl-3-methylbutyl)-4′-O-β-d-glucopyranosyl-4,2′-dihydroxychalcone (5)
2.5.3. 3′-(3-O-Ethyl-3-methylbutyl)-4′-O-β-d-glucopyranosyl-4,2′-dihydroxychalcone (7)
2.5.4. 4′-O-β-d-Glucopyranosyl xanthoangelol (10)
2.6. Acid Hydrolysis of 4, 5, 7, and 10
2.7. Cytotoxic Activity Evaluation
2.8. Tyrosinase Inhibitory Activity
3. Results
4. Discussion
5. Conclusions
Supplementary Materials
Author Contributions
Funding
Institutional Review Board Statement
Informed Consent Statement
Data Availability Statement
Acknowledgments
Conflicts of Interest
References
- Kil, Y.-S.; Pham, S.T.; Seo, E.K.; Jafari, M. Angelica keiskei, an emerging medicinal herb with various bioactive constituents and biological activities. Arch. Pharm. Res. 2017, 40, 655–675. [Google Scholar] [CrossRef] [PubMed]
- Zhang, L.; Jiang, Y.; Pang, X.; Hua, P.; Gao, X.; Li, Q.; Li, Z. Simultaneous optimization of ultrasound-assisted extraction for flavonoids and antioxidant activity of Angelica keiskei using response surface methodology (RSM). Molecules 2019, 24, 3461. [Google Scholar] [CrossRef] [PubMed] [Green Version]
- Caesar, L.K.; Cech, N.B. A review of the medicinal uses and pharmacology of ashitaba. Planta Med. 2016, 82, 1236–1245. [Google Scholar] [CrossRef] [PubMed] [Green Version]
- Akihisa, T.; Tokuda, H.; Hasegawa, D.; Ukiya, M.; Kimura, Y.; Enjo, F.; Suzuki, T.; Nishino, H. Chalcones and other compounds from the exudates of Angelica keiskei and their cancer chemopreventive effects. J. Nat. Prod. 2006, 69, 38–42. [Google Scholar] [CrossRef] [PubMed]
- Aoki, N.; Muko, M.; Ohta, E.; Ohta, S. C-geranylated chalcones from the stems of Angelica keiskei with superoxide-scavenging activity. J. Nat. Prod. 2008, 71, 1308–1310. [Google Scholar] [CrossRef] [PubMed]
- Inamori, Y.; BABA, K.; Tsujibo, H.; Taniguchi, M.; Nakata, K.; KOZAWA, M. Antibacterial activity of two chalcones, xanthoangelol and 4-hydroxyderricin, isolated from the root of Angelica keiskei KOIDZUMI. Chem. Pharm. Bull. 1991, 39, 1604–1605. [Google Scholar] [CrossRef] [Green Version]
- Enoki, T.; Ohnogi, H.; Nagamine, K.; Kudo, Y.; Sugiyama, K.; Tanabe, M.; Kobayashi, E.; Sagawa, H.; Kato, I. Antidiabetic activities of chalcones isolated from a Japanese herb, Angelica keiskei. J. Agric. Food Chem. 2007, 55, 6013–6017. [Google Scholar] [CrossRef]
- Arung, E.T.; Furuta, S.; Sugamoto, K.; Shimizu, K.; Ishikawa, H.; Matsushita, Y.-I.; Kondo, R. The inhibitory effects of representative chalcones contained in Angelica keiskei on melanin biosynthesis in B16 melanoma cells. Nat. Prod. Commun. 2012, 7, 1007–1010. [Google Scholar] [CrossRef] [Green Version]
- Zhang, C.; Wu, W.; Li, X.; Xin, X.; Liu, D. Daily supplementation with fresh Angelica keiskei juice alleviates high-fat diet-induced obesity in mice by modulating gut microbiota composition. Mol. Nutr. Food Res. 2019, 63, 1900248. [Google Scholar] [CrossRef]
- Kim, D.W.; Curtis-Long, M.J.; Yuk, H.J.; Wang, Y.; Song, Y.H.; Jeong, S.H.; Park, K.H. Quantitative analysis of phenolic metabolites from different parts of Angelica keiskei by HPLC–ESI MS/MS and their xanthine oxidase inhibition. Food Chem. 2014, 153, 20–27. [Google Scholar] [CrossRef]
- Sumiyoshi, M.; Taniguchi, M.; Baba, K.; Kimura, Y. Antitumor and antimetastatic actions of xanthoangelol and 4-hydroxyderricin isolated from Angelica keiskei roots through the inhibited activation and differentiation of M2 macrophages. Phytomedicine 2015, 22, 759–767. [Google Scholar] [CrossRef]
- Kimura, Y.; Taniguchi, M.; Baba, K. Antitumor and antimetastatic activities of 4-hydroxyderricin isolated from Angelica keiskei roots. Planta Med. 2004, 70, 211–219. [Google Scholar]
- Zhang, T.; Wang, Q.; Fredimoses, M.; Gao, G.; Wang, K.; Chen, H.; Wang, T.; Oi, N.; Zykova, T.A.; Reddy, K. The ashitaba (Angelica keiskei) chalcones 4-hydroxyderricin and xanthoangelol suppress melanomagenesis by targeting BRAF and PI3K. Cancer Prev. Res. 2018, 11, 607–620. [Google Scholar] [CrossRef] [Green Version]
- Lee, H.; Li, H.; Kweon, M.; Choi, Y.; Kim, M.J.; Ryu, J.-H. Isobavachalcone from Angelica keiskei inhibits adipogenesis and prevents lipid accumulation. Int. J. Mol. Sci. 2018, 19, 1693. [Google Scholar] [CrossRef] [Green Version]
- Wang, M.; Lin, L.; Lu, J.-J.; Chen, X. Pharmacological review of isobavachalcone, a naturally occurring chalcone. Pharmacol. Res. Commun. 2021, 165, 105483. [Google Scholar] [CrossRef]
- Wu, D.; Wang, W.; Chen, W.; Lian, F.; Lang, L.; Huang, Y.; Xu, Y.; Zhang, N.; Chen, Y.; Liu, M. Pharmacological inhibition of dihydroorotate dehydrogenase induces apoptosis and differentiation in acute myeloid leukemia cells. Haematologica 2018, 103, 1472. [Google Scholar] [CrossRef]
- Cao, H.; Chen, X.; Jassbi, A.R.; Xiao, J. Microbial biotransformation of bioactive flavonoids. Biotechnol. Adv. 2015, 33, 214–223. [Google Scholar] [CrossRef]
- Chen, G.; Yang, M.; Nong, S.; Yang, X.; Ling, Y.; Wang, D.; Wang, X.; Zhang, W. Microbial transformation of 20 (S)-protopanaxadiol by Absidia corymbifera. Cytotoxic activity of the metabolites against human prostate cancer cells. Fitoterapia 2013, 84, 6–10. [Google Scholar] [CrossRef]
- Farooq, R.; Hussain, N.; Yousuf, S.; Ahmad, M.S.; Choudhary, M.I. Microbial transformation of mestanolone by Macrophomina phaseolina and Cunninghamella blakesleeana and anticancer activities of the transformed products. RSC Adv. 2018, 8, 21985–21992. [Google Scholar] [CrossRef] [Green Version]
- Akihisa, T.; Motoi, T.; Seki, A.; Kikuchi, T.; Fukatsu, M.; Tokuda, H.; Suzuki, N.; Kimura, Y. Cytotoxic activities and anti-tumor-promoting effects of microbial transformation products of prenylated chalcones from Angelica keiskei. Chem. Biodivers. 2012, 9, 318–330. [Google Scholar] [CrossRef]
- Kozłowska, J.; Potaniec, B.; Żarowska, B.; Anioł, M. Microbial transformations of 4′-methylchalcones as an efficient method of obtaining novel alcohol and dihydrochalcone derivatives with antimicrobial activity. RSC Adv. 2018, 8, 30379–30386. [Google Scholar] [CrossRef] [Green Version]
- Kim, H.J.; Yim, S.-H.; Han, F.; Kang, B.Y.; Choi, H.J.; Jung, D.-W.; Williams, D.R.; Gustafson, K.R.; Kennelly, E.J.; Lee, I.-S. Biotransformed metabolites of the hop prenylflavanone isoxanthohumol. Molecules 2019, 24, 394. [Google Scholar] [CrossRef] [PubMed] [Green Version]
- Rong, Y.; Wu, J.; Liu, X.; Zhao, B.; Wang, Z. Study on structural and spectral properties of isobavachalcone and 4-hydroxyderricin by computational method. Spectrochim. Acta A Mol. Biomol. Spectrosc. 2014, 126, 254–259. [Google Scholar] [CrossRef] [PubMed]
- Kim, J.H.; Son, Y.K.; Kim, G.H.; Hwang, K.H. Xanthoangelol and 4-hydroxyderricin are the major active principles of the inhibitory activities against monoamine oxidases on Angelica keiskei K. Biomol. Ther. 2013, 21, 234. [Google Scholar] [CrossRef] [PubMed] [Green Version]
- Shin, J.E.; Choi, E.J.; Jin, Q.; Jin, H.-G.; Woo, E.-R. Chalcones isolated from Angelica keiskei and their inhibition of IL-6 production in TNF-α-stimulated MG-63 cell. Arch. Pharm. Res. 2011, 34, 437–442. [Google Scholar] [CrossRef] [PubMed]
- Clark, A.M.; McChesney, J.D.; Hufford, C.D. The use of microorganisms for the study of drug metabolism. Med. Res. Rev. 1985, 5, 231–253. [Google Scholar] [CrossRef] [PubMed]
- Mosmann, T. Rapid colorimetric assay for cellular growth and survival: Application to proliferation and cytotoxicity assays. J. Immunol. Methods 1983, 65, 55–63. [Google Scholar] [CrossRef]
- Vincent, J.; Hearing, J. Mammalian monophenol monooxygenase (tyrosinase): Purification, properties, and reactions catalyzed. Methods Enzymol. 1987, 142, 154–165. [Google Scholar]
- Deering, R.W.; Chen, J.; Sun, J.; Ma, H.; Dubert, J.; Barja, J.L.; Seeram, N.P.; Wang, H.; Rowley, D.C. N-acyl dehydrotyrosines, tyrosinase inhibitors from the marine bacterium Thalassotalea sp. PP2-459. J. Nat. Prod. 2016, 79, 447–450. [Google Scholar] [CrossRef] [Green Version]
- Kaennakam, S.; Sukandar, E.R.; Rassamee, K.; Siripong, P.; Tip-pyang, S. Cytotoxic chalcones and isoflavones from the stems of Dalbergia velutina. Phytochem. Lett. 2019, 31, 187–191. [Google Scholar] [CrossRef]
- Roslund, M.U.; Tähtinen, P.; Niemitz, M.; Sjöholm, R. Complete assignments of the 1H and 13C chemical shifts and JH,H coupling constants in NMR spectra of d-glucopyranose and all d-glucopyranosyl-d-glucopyranosides. Carbohydr. Res. 2008, 343, 101–112. [Google Scholar] [CrossRef]
- Ninomiya, M.; Efdi, M.; Inuzuka, T.; Koketsu, M. Chalcone glycosides from aerial parts of Brassica rapa L. ‘hidabeni’, turnip. Phytochem. Lett. 2010, 3, 96–99. [Google Scholar] [CrossRef]
- Cioffi, G.; Escobar, L.M.; Braca, A.; De Tommasi, N. Antioxidant chalcone glycosides and flavanones from Maclura (Chlorophora) tinctoria. J. Nat. Prod. 2003, 66, 1061–1064. [Google Scholar] [CrossRef]
- Kumazawa, S.; Suzuki, S.; Ahn, M.-R.; Kamihira, M.; Udagawa, Y.; Bang, K.-S.; Nakayama, T. A new chalcone from propolis collected on Jeju island, Korea. Food Sci. Technol. 2006, 12, 67–69. [Google Scholar] [CrossRef]
- Sugamoto, K.; Matsusita, Y.-i.; Matsui, K.; Kurogi, C.; Matsui, T. Synthesis and antibacterial activity of chalcones bearing prenyl or geranyl groups from Angelica keiskei. Tetrahedron 2011, 67, 5346–5359. [Google Scholar] [CrossRef]
- Baba, K.; Nakata, K.; Taniguchi, M.; Kido, T.; Kozawa, M. Chalcones from Angelica keiskei. Phytochemistry 1990, 29, 3907–3910. [Google Scholar] [CrossRef]
- Shanu-Wilson, J.; Evans, L.; Wrigley, S.; Steele, J.; Atherton, J.; Boer, J. Biotransformation: Impact and application of metabolism in drug discovery. ACS Med. Chem. Lett. 2020, 11, 2087–2107. [Google Scholar] [CrossRef]
- Decker, H.; Schweikardt, T.; Tuczek, F. The first crystal structure of tyrosinase: All questions answered? Angew. Chem. Int. Ed. 2006, 45, 4546–4550. [Google Scholar] [CrossRef]
- Burestedt, E.; Narvaez, A.; Ruzgas, T.; Gorton, L.; Emnéus, J.; Domínguez, E.; Marko-Varga, G. Rate-limiting steps of tyrosinase-modified electrodes for the detection of catechol. Anal. Chem. 1996, 68, 1605–1611. [Google Scholar] [CrossRef]
- Chang, T.-S. An updated review of tyrosinase inhibitors. Int. J. Mol. Sci. 2009, 10, 2440–2475. [Google Scholar] [CrossRef] [Green Version]
- Nerya, O.; Musa, R.; Khatib, S.; Tamir, S.; Vaya, J. Chalcones as potent tyrosinase inhibitors: The effect of hydroxyl positions and numbers. Phytochemistry 2004, 65, 1389–1395. [Google Scholar] [CrossRef] [PubMed]




| 4 a | 5 a | 7 a | 10 b | |||||
|---|---|---|---|---|---|---|---|---|
| C/H | δH (J/Hz) | δC | δH (J/Hz) | δC | δH (J/Hz) | δC | δH (J/Hz) | δC | 
| α | 7.66 d (15.5) | 118.4 | 7.67 d (15.2) | 118.4 | 7.65 d (15.3) | 118.4 | 7.80 d (15.3) | 117.1 | 
| β | 7.82 d (15.5) | 146.4 | 7.84 d (15.2) | 146.4 | 7.83 d (15.3) | 146.4 | 7.84 d (15.3) | 145.0 | 
| C = O | 194.5 | 194.5 | 194.5 | 192.5 | ||||
| 1 | 127.9 | 127.9 | 127.9 | 125.6 | ||||
| 2,6 | 7.64 d (8.6) | 132.1 | 7.66 d (8.6) | 132.1 | 7.64 d (8.6) | 132.1 | 7.79 d (8.5) | 131.5 | 
| 3,5 | 6.85 d (8.6) | 117.1 | 6.87 d (8.6) | 117.1 | 6.85 d (8.6) | 117.1 | 6.85 d (8.5) | 115.9 | 
| 4 | 161.9 | 161.9 | 161.9 | 160.6 | ||||
| 1′ | 116.6 | 116.6 | 116.6 | 114.5 | ||||
| 2′ | 164.1 | 164.2 | 164.2 | 162.4 | ||||
| 3′ | 120.8 | 120.5 | 120.7 | 117.1 | ||||
| 4′ | 162.6 | 162.6 | 162.6 | 161.0 | ||||
| 5′ | 6.80 d (9.0) | 107.2 | 6.82 d (9.1) | 107.1 | 6.80 d (9.0) | 107.1 | 6.74 d (9.2) | 105.9 | 
| 6′ | 7.98 d (9.0) | 130.6 | 8.00 d (9.1) | 130.6 | 7.98 d (9.0) | 130.6 | 8.21 d (9.2) | 130.6 | 
| 1′′ | 2.81 m | 18.6 | 2.78 m | 18.2 | 2.77 m | 18.3 | 3.44 m, 3.24 m | 21.4 | 
| 2′’ | 1.66 m | 43.2 | 1.71 m | 39.2 | 1.69 m | 39.7 | 5.22 m | 121.9 | 
| 3′′ | 72.0 | 76.9 | 76.7 | 134.3 | ||||
| 4′′ | 1.28 s | 28.7 | 1.27 s | 25.1 | 1.26 s | 25.7 | 1.90 m | 39.3 | 
| 5′′ | 1.26 s | 29.8 | 1.25 s | 25.8 | 1.24 s | 26.6 | 1.99 m | 26.2 | 
| 6′′ | 3.31 s | 49.8 | 3.55 q (7.0) | 58.0 | 5.04 t (7.0) | 124.2 | ||
| 7′′ | 1.21 t (7.0) | 16.5 | 129.9 | |||||
| 8′′ | 1.59 s | 25.5 | ||||||
| 9′′ | 1.53 s | 17.5 | ||||||
| 10′′ | 1.75 s | 16.0 | ||||||
| 1′’’ | 5.01 d (7.5) | 102.0 | 5.06 d (7.3) | 101.9 | 5.04 d (7.3) | 102.0 | 5.00 d (7.3) | 100.1 | 
| 2′′′ | 3.53 m | 75.0 | 3.52 m | 75.1 | 3.51 m | 75.1 | 3.32 m | 73.4 | 
| 3′′′ | 3.49 m | 78.5 | 3.51 m | 78.5 | 3.49 m | 78.5 | 3.39 m | 77.3 | 
| 4′′′ | 3.41 m | 71.4 | 3.42 m | 78.4 | 3.41 m | 71.4 | 3.18 m | 69.8 | 
| 5′′′ | 3.49 m | 78.2 | 3.50 m | 71.4 | 3.49 m | 78.3 | 3.32 m | 76.8 | 
| 6′′′ | 3.92 dd (12.1, 2.0) 3.72 dd (12.1, 5.0) | 62.6 | 3.93 dd (12.1, 2.1) 3.74 dd (12.1, 5.9) | 62.7 | 3.92 dd (12.3, 2.1) 3.72 dd (12.3, 5.3) | 62.7 | 3.71 m 3.46 m | 60.7 | 
| Compound | IC50 ± SD (μM) | |||
|---|---|---|---|---|
| A375P | HT-29 | MCF-7 | Tyrosinase | |
| 1 | 9.78 ± 1.06 | 26.33 ± 2.42 | 24.02 ± 0.36 | >100 | 
| 2 | 25.34 ± 0.66 | 37.30 ± 4.86 | 29.71 ± 2.78 | >100 | 
| 3 | 13.00 ± 1.28 | 24.35 ± 1.27 | 21.92 ± 2.30 | >100 | 
| 4 | >80 | >80 | >80 | 78.47 ± 3.13 | 
| 5 | 77.96 ± 3.44 | >80 | >80 | 28.68 ± 1.24 | 
| 6 | >80 | >80 | >80 | 43.12 ± 6.74 | 
| 7 | >80 | >80 | >80 | 33.32 ± 1.16 | 
| 8 | 29.65 ± 2.09 | 54.36 ± 1.03 | 32.44 ± 0.55 | >100 | 
| 9 | 21.18 ± 0.20 | 58.55 ± 4.19 | 28.18 ± 1.34 | 52.65 ± 2.85 | 
| 10 | 29.03 ± 2.77 | >80 | >80 | 71.71 ± 9.22 | 
| 11 | 69.77 ± 3.88 | >80 | >80 | >100 | 
| 12 | 20.56 ± 2.17 | >80 | 59.01 ± 2.41 | >100 | 
| DZ | 2.52 ± 0.23 | 8.68 ± 0.90 | 2.87 ± 0.38 | |
| Kojic acid | 77.74 ± 2.55 | |||
| Publisher’s Note: MDPI stays neutral with regard to jurisdictional claims in published maps and institutional affiliations. | 
© 2022 by the authors. Licensee MDPI, Basel, Switzerland. This article is an open access article distributed under the terms and conditions of the Creative Commons Attribution (CC BY) license (https://creativecommons.org/licenses/by/4.0/).
Share and Cite
Xiao, Y.; Lee, I.-S. Effects of Microbial Transformation on the Biological Activities of Prenylated Chalcones from Angelica keiskei. Foods 2022, 11, 543. https://doi.org/10.3390/foods11040543
Xiao Y, Lee I-S. Effects of Microbial Transformation on the Biological Activities of Prenylated Chalcones from Angelica keiskei. Foods. 2022; 11(4):543. https://doi.org/10.3390/foods11040543
Chicago/Turabian StyleXiao, Yina, and Ik-Soo Lee. 2022. "Effects of Microbial Transformation on the Biological Activities of Prenylated Chalcones from Angelica keiskei" Foods 11, no. 4: 543. https://doi.org/10.3390/foods11040543
APA StyleXiao, Y., & Lee, I.-S. (2022). Effects of Microbial Transformation on the Biological Activities of Prenylated Chalcones from Angelica keiskei. Foods, 11(4), 543. https://doi.org/10.3390/foods11040543
 
         
                                                

 
                         
       