A Data Driven Approach to Identify Safe and Adequate Schemes for Vitamin D Fortification
Abstract
1. Introduction
2. Materials and Methods
- A maximum of fortification per 10 MJ for all food groups can be set. As the recommended energy intake is roughly 10 MJ for most population groups, the upper limit pr 10 MJ secures a safe vitamin D intake even if individuals only eat fortified foods.
- The calculation of contributions at any given combination of sex, age, and food group will be based on the median energy intake and median food group intake for the data point.
- Any population group has a median intake of the nutrient subject for fortification.
- Any population group has a target for intake of the nutrient subject for fortification.
Testing the Scenarios
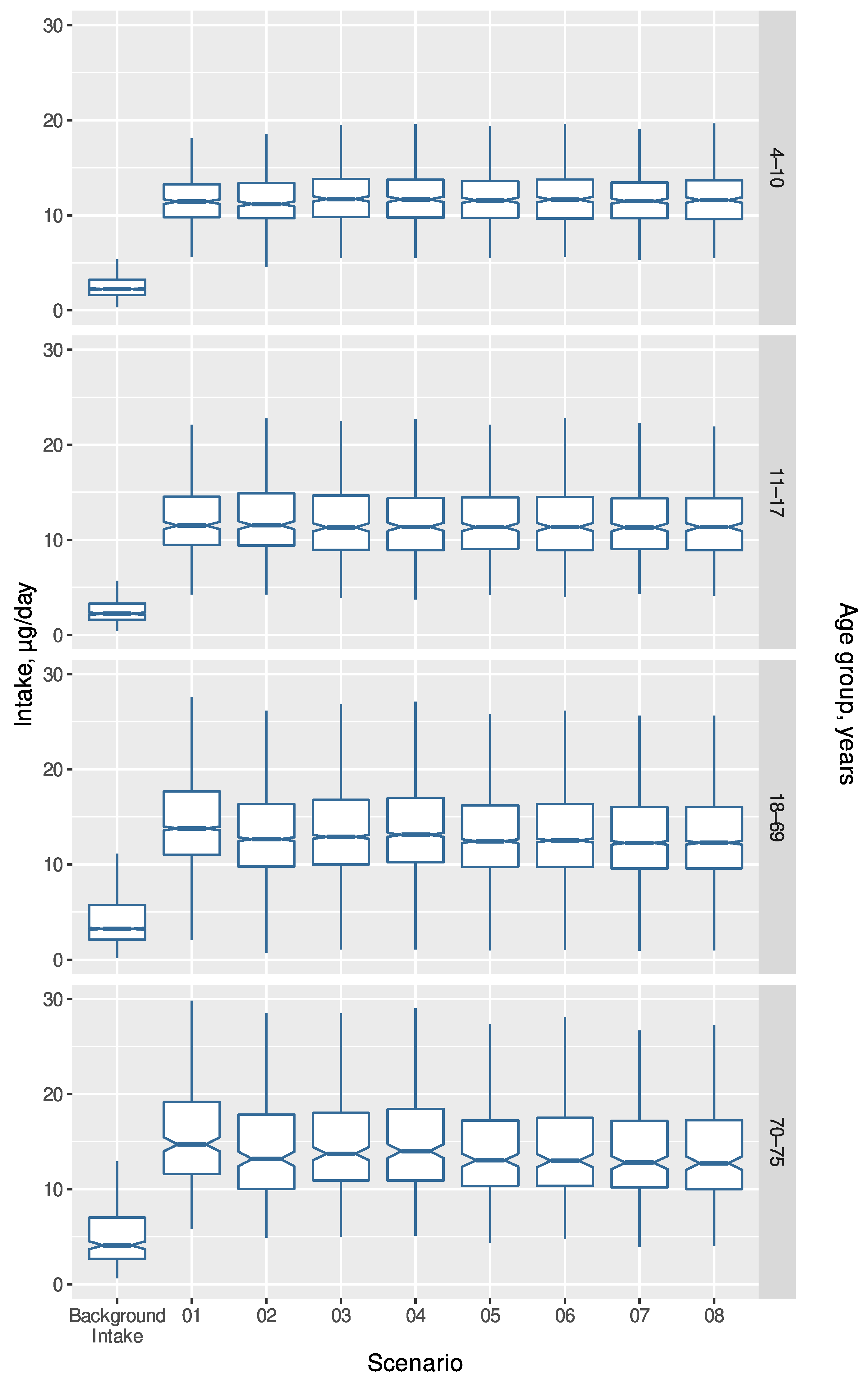
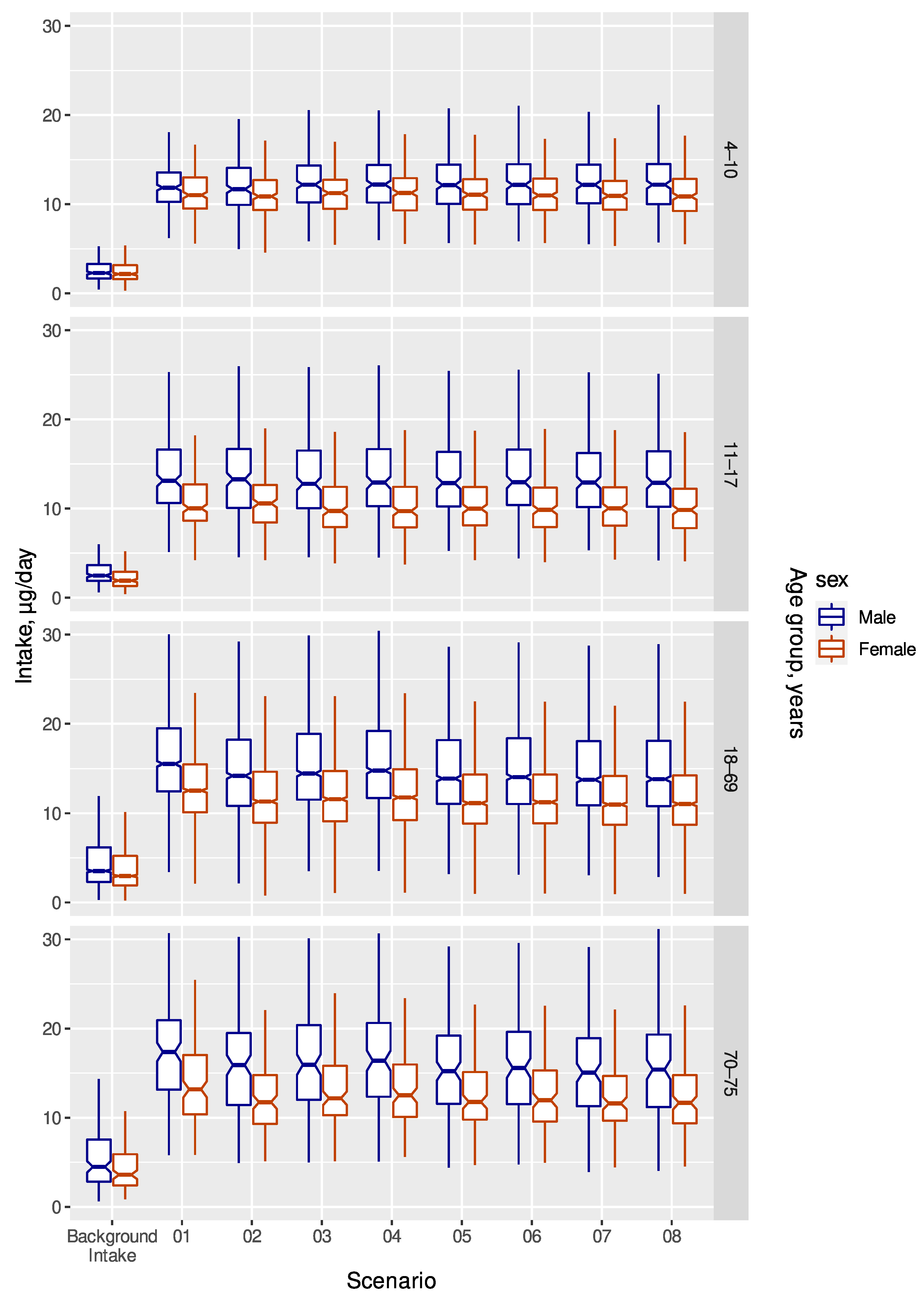
3. Results
Optimization Schemes
4. Discussion
Supplementary Materials
Author Contributions
Funding
Data Availability Statement
Acknowledgments
Conflicts of Interest
References
- Bresson, J.L.; Burlingame, B.; Dean, T.; Fairweather-Tait, S.; Heinonen, M.; Hirsch-Ernst, K.I.; Mangelsdorf, I.; McArdle, H.; Naska, A.; Neuhäuser-Berthold, M.; et al. Dietary Reference Values for Vitamin D. EFSA J. 2016, 14, 1–145. [Google Scholar] [CrossRef]
- Nordic Nutrition Recommendations 2012. Integrating Nutrition and Physical Activity; Nordic Council of Ministers: Copenhagen, Denmark, 2014. [CrossRef]
- Webb, A.R.; Engelsen, O. Calculated Ultraviolet Exposure Levels for a Healthy Vitamin D Status. Photochem. Photobiol. 2006, 82, 1697–1698. [Google Scholar] [CrossRef] [PubMed]
- Thuesen, B.; Husemoen, L.; Fenger, M.; Jakobsen, J.; Schwarz, P.; Toft, U.; Ovesen, L.; Jørgensen, T.; Linneberg, A. Determinants of Vitamin D Status in a General Population of Danish Adults. Bone 2012, 50, 605–610. [Google Scholar] [CrossRef] [PubMed]
- Pedersen, A.N.; Christensen, T.; Matthiessen, J.; Knudsen, V.K.; Rosenlund-Sørensen, M.; Biltoft-Jensen, A.; Hinsch, H.; Ygil, K.H.; Kørup, K.; Saxholt, E.; et al. Afdeling for Ernæring Danskernes Kostvaner 2011–2013: Hovedresultater; DTU Fødevareinstituttet: Kongens Lyngby, Denmark, 2015; ISBN 9788793109391. [Google Scholar]
- Biltoft-Jensen, A.; Hindborg, H.; Christensen, T.; Saxholt, E.; Bredsdorff, L.; Knudsen, V.K.; Ravn-Haren, G. De Fleste Får Nok Vitaminer Og Mineraler Fra Kosten Alene. E-Artik. Fra DTU Fødevareinst. 2016, 2, 1–13. [Google Scholar]
- Scientific Opinion on the Tolerable Upper Intake Level of Vitamin D. EFSA J. 2012, 10, 2813. [CrossRef]
- Hirvonen, T.; Sinkko, H.; Valsta, L.; Hannila, M.L.; Pietinen, P. Development of a Model for Optimal Food Fortification: Vitamin D among Adults in Finland. Eur. J. Nutr. 2007, 46, 264–270. [Google Scholar] [CrossRef] [PubMed]
- Clark, B.; Hill, T.; Hubbard, C. Consumers’ Perception of Vitamin D and Fortified Foods. Br. Food J. 2019, 121, 2205–2218. [Google Scholar] [CrossRef]
- Jääskeläinen, T.; Itkonen, S.T.; Lundqvist, A.; Erkkola, M.; Koskela, T.; Lakkala, K.; Dowling, K.G.; Hull, G.L.J.; Kröger, H.; Karppinen, J.; et al. The Positive Impact of General Vitamin D Food Fortification Policy on Vitamin D Status in a Representative Adult Finnish Population. Evidence from an 11-y Follow-up Based on Standardized 25-Hydroxyvitamin D Data. Am. J. Clin. Nutr. 2017, 105, 1512–1520. [Google Scholar] [CrossRef] [PubMed]
- Itkonen, S.T.; Andersen, R.; Björk, A.K.; Brugård Konde, Å.; Eneroth, H.; Erkkola, M.; Holvik, K.; Madar, A.A.; Meyer, H.E.; Tetens, I.; et al. Vitamin D Status and Current Policies to Achieve Adequate Vitamin D Intake in the Nordic Countries. Scand. J. Public Health 2021, 49, 616–627. [Google Scholar] [CrossRef] [PubMed]
- Ministeriet for Fødevarer, L. og F. Bekendtgørelse Om Tilsætning Af Vitaminer Og Mineraler Til Fødevarer. (BEK nr 633 af 17/05/2022). Danish Adaption of EC Regulation. Available online: https://www.retsinformation.dk/eli/lta/2022/633 (accessed on 10 October 2022).
- Madsen, K.H.; Rasmussen, L.B.; Andersen, R.; Mølgaard, C.; Jakobsen, J.; Bjerrum, P.J.; Andersen, E.W.; Mejborn, H.; Tetens, I. Randomized Controlled Trial of the Effects of Vitamin D–Fortified Milk and Bread on Serum 25-Hydroxyvitamin D Concentrations in Families in Denmark during Winter: The VitmaD Study. Am. J. Clin. Nutr. 2013, 98, 374–382. [Google Scholar] [CrossRef] [PubMed]
- Grønborg, I.M.; Tetens, I.; Christensen, T.; Andersen, E.W.; Jakobsen, J.; Kiely, M.; Cashman, K.D.; Andersen, R. Vitamin D-Fortified Foods Improve Wintertime Vitamin D Status in Women of Danish and Pakistani Origin Living in Denmark: A Randomized Controlled Trial. Eur. J. Nutr. 2020, 59, 741–753. [Google Scholar] [CrossRef] [PubMed]
- Nikooyeh, B.; Neyestani, T. The Effects of Vitamin D-Fortified Foods on Circulating 25(OH)D Concentrations in Adults: A Systematic Review and Meta-Analysis. Br. J. Nutr. 2021, 127, 1821–1838. [Google Scholar] [CrossRef] [PubMed]
- Black, L.J.; Seamans, K.M.; Cashman, K.D.; Kiely, M. An Updated Systematic Review and Meta-Analysis of the Efficacy of Vitamin D Food Fortification. J. Nutr. 2012, 142, 1102–1108. [Google Scholar] [CrossRef] [PubMed]
- National Food Institute Technical University of Denmark Food Composition Data. Available online: https://frida.fooddata.dk/?lang=en (accessed on 10 October 2022).
- Microsoft Corporation, USA. Microsoft Excel, version 2210; Microsoft Corporation: Redmond, WA, USA, 2022.
- Regulation (EC) No 1925/2006 of the European Parliament and of the Council of 20 December 2006 on the Addition of Vitamins and Minerals and of Certain Other Substances to Foods. Available online: https://eur-lex.europa.eu/legal-content/EN/ALL/?uri=CELEX%3A32006R1925 (accessed on 10 October 2022).
- R Core Team (2022). R: A Language and Environment for Statistical Computing. R Foundation for Statistical Computing, Vienna, Austria. Available online: https://www.R-project.org/ (accessed on 10 October 2022).
- Flynn, A.; Moreiras, O.; Stehle, P.; Fletcher, R.J.; Müller, D.J.G.; Rolland, V. Vitamins and Minerals: A Model for Safe Addition to Foods. Eur. J. Nutr. 2003, 42, 118–130. [Google Scholar] [CrossRef] [PubMed]
- Rasmussen, S.E.; Andersen, N.L.; Dragsted, L.O.; Larsen, J.C. A Safe Strategy for Addition of Vitamins and Minerals to Foods. Eur. J. Nutr. 2006, 45, 123–135. [Google Scholar] [CrossRef] [PubMed]
- Bruins, M.J.; Létinois, U. Adequate Vitamin D Intake Cannot Be Achieved within Carbon Emission Limits Unless Food Is Fortified: A Simulation Study. Nutrients 2021, 13, 592. [Google Scholar] [CrossRef] [PubMed]


| Scenario | Upper Level for Fortification, µg/10 MJ | Allowed Food Groups |
|---|---|---|
| Scenario 1 | 12 * | All (15) 1 |
| Scenario 2 | 25 | All (15) 1 |
| Scenario 3 | 20 | 5 2 |
| Scenario 4 | 20 | 4 3 |
| Scenario 5 | 25 | 5 2 |
| Scenario 6 | 25 | 4 3 |
| Scenario 7 | 30 | 5 2 |
| Scenario 8 | 30 | 4 3 |
| Fortification | Scenarios | ||||||||
|---|---|---|---|---|---|---|---|---|---|
| Food Group | Unit | 1 | 2 | 3 | 4 | 5 | 6 | 7 | 8 |
| Milk and milk products | µg/10 MJ | 2 | 25 | 20 | 20 | 25 | 25 | 24 | 25 |
| µg/100 g | 0.274 | 0.571 | 0.457 | 0.457 | 0.571 | 0.571 | 0.548 | 0.571 | |
| Cheese and cheese products | µg/10 MJ | 12 | 0 | 8 | 16 | 3 | 3 | 0 | 0 |
| µg/100 g | 1.464 | 0.000 | 0.976 | 1.952 | 0.366 | 0.366 | 0.000 | 0.000 | |
| Ice cream, fruit ice, and other edible ices | µg/10 MJ | 12 | 25 | 0 | 0 | 0 | 0 | 0 | 0 |
| µg/100 g | 1.037 | 2.161 | 0.000 | 0.000 | 0.000 | 0.000 | 0.000 | 0.000 | |
| Cereals and cereal products | µg/10 MJ | 12 | 15 | 20 | 20 | 25 | 25 | 27 | 28 |
| µg/100 g | 1.418 | 1.773 | 2.364 | 2.364 | 2.955 | 2.955 | 3.191 | 3.309 | |
| Vegetables and veg. products | µg/10 MJ | 12 | 0 | 0 | 0 | 0 | 0 | 0 | 0 |
| µg/100 g | 0.435 | 0.000 | 0.000 | 0.000 | 0.000 | 0.000 | 0.000 | 0.000 | |
| Fruit and fruit products | µg/10 MJ | 12 | 0 | 0 | 0 | 0 | 0 | 0 | 0 |
| µg/100 g | 0.435 | 0.000 | 0.000 | 0.000 | 0.000 | 0.000 | 0.000 | 0.000 | |
| Meat and meat products | µg/10 MJ | 12 | 0 | 0 | 0 | 0 | 0 | 0 | 0 |
| µg/100 g | 1.055 | 0.000 | 0.000 | 0.000 | 0.000 | 0.000 | 0.000 | 0.000 | |
| Fish and fish products | µg/10 MJ | 0 | 0 | 0 | 0 | 0 | 0 | 0 | 0 |
| µg/100 g | 0.000 | 0.000 | 0.000 | 0.000 | 0.000 | 0.000 | 0.000 | 0.000 | |
| Poultry and poultry products | µg/10 MJ | 12 | 25 | 0 | 0 | 0 | 0 | 0 | 0 |
| µg/100 g | 0.733 | 1.528 | 0.000 | 0.000 | 0.000 | 0.000 | 0.000 | 0.000 | |
| Egg and egg products | µg/10 MJ | 12 | 0 | 0 | 0 | 0 | 0 | 0 | 0 |
| µg/100 g | 0.716 | 0.000 | 0.000 | 0.000 | 0.000 | 0.000 | 0.000 | 0.000 | |
| Fats, oils and their products | µg/10 MJ | 12 | 0 | 20 | 20 | 4 | 7 | 0 | 0 |
| µg/100 g | 3.508 | 0.000 | 5.847 | 5.847 | 1.169 | 2.047 | 0.000 | 0.000 | |
| Sugar, honey, and products thereof | µg/10 MJ | 12 | 25 | 0 | 0 | 0 | 0 | 0 | 0 |
| µg/100 g | 2.172 | 4.525 | 0.000 | 0.000 | 0.000 | 0.000 | 0.000 | 0.000 | |
| Beverages | µg/10 MJ | 0 | 0 | 0 | 0 | 0 | 0 | 0 | 0 |
| µg/100 g | 0.000 | 0.000 | 0.000 | 0.000 | 0.000 | 0.000 | 0.000 | 0.000 | |
| Spices and other ingredients | µg/10 MJ | 11 | 19 | 0 | 0 | 0 | 0 | 0 | 0 |
| µg/100 g | 0.091 | 0.157 | 0.000 | 0.000 | 0.000 | 0.000 | 0.000 | 0.000 | |
| Other foods | µg/10 MJ | 12 | 25 | 0 | 0 | 0 | 0 | 0 | 0 |
| µg/100 g | 2.717 | 5.660 | 0.000 | 0.000 | 0.000 | 0.000 | 0.000 | 0.000 | |
| Potato and products thereof | µg/10 MJ | 12 | 24 | 0 | 0 | 0 | 0 | 0 | 0 |
| µg/100 g | 0.469 | 0.938 | 0.000 | 0.000 | 0.000 | 0.000 | 0.000 | 0.000 | |
| Juice | µg/10 MJ | 12 | 25 | 19 | 0 | 25 | 0 | 29 | 0 |
| µg/100 g | 0.228 | 0.476 | 0.362 | 0.000 | 0.476 | 0.000 | 0.552 | 0.000 | |
| Scenarios | ||||||||||
|---|---|---|---|---|---|---|---|---|---|---|
| Sex | Age Group (n) | Background Intake | 1 | 2 | 3 | 4 | 5 | 6 | 7 | 8 |
| M | 4–10 (n = 251) | 2.3 | 11.9 (8, 19.2) | 11.7 (7.8, 20.6) | 12.2 (8.2, 19.7) | 12.2 (8.1, 19.8) | 12.1 (8.1, 19.6) | 12.2 (8.1, 19.4) | 12.2 (8, 19.9) | 12.2 (7.9, 19.8) |
| M | 11–17 (n = 216) | 2.5 | 13.1 (8, 22.9) | 13.3 (7.7, 22.9) | 12.8 (7.5, 22.7) | 12.9 (7.3, 23.2) | 12.9 (7.4, 22.4) | 13 (7.3, 23) | 12.9 (7.2, 22.5) | 12.9 (7.1, 23) |
| M | 18–69 (n = 1329) | 3.5 | 15.5 (8.7, 28.9) | 14.2 (7.2, 27.4) | 14.5 (7.7, 28.6) | 14.8 (7.7, 28.6) | 13.9 (7.3, 27.4) | 14 (7.4, 27.5) | 13.8 (7.2, 27.1) | 13.8 (7.2, 27.3) |
| M | 70–75 (n = 135) | 4.5 | 17.4 (8.1, 28.4) | 15.9 (7, 26.3) | 15.9 (7.3, 28.3) | 16.4 (7.6, 28.8) | 15.2 (7.3, 25.9) | 15.6 (7.2, 26.6) | 15 (7.3, 25.5) | 15.4 (7.2, 25.9) |
| M | all ages (n = 1931) | 3.2 | 14.7 (8.4, 27.7) | 13.8 (7.3, 26.2) | 13.9 (7.7, 27.3) | 14.1 (7.7, 27.7) | 13.6 (7.5, 26.5) | 13.7 (7.4, 26.7) | 13.4 (7.4, 26.2) | 13.5 (7.3, 26.3) |
| F | 4–10 (n = 248) | 2.2 | 11 (7.6, 15.6) | 10.9 (7.4, 16.3) | 11.2 (7.4, 16) | 11.3 (7.4, 16.4) | 11.1 (7.5, 16.4) | 11 (7.5, 16.7) | 10.9 (7.5, 16.5) | 10.9 (7.4, 16.8) |
| F | 11–17 (n = 215) | 1.9 | 10 (5.6, 17.2) | 10.6 (5.4, 18.8) | 9.7 (5.4, 17.3) | 9.7 (5.5, 17.3) | 10 (5.4, 17.9) | 9.9 (5.4, 17.7) | 10 (5.4, 17.8) | 9.8 (5.2, 17.8) |
| F | 18–69 (n = 1421) | 3 | 12.5 (7.1, 22.8) | 11.3 (6, 21.7) | 11.6 (6, 21.9) | 11.8 (6.1, 22.1) | 11.1 (5.9, 21.5) | 11.2 (5.9, 21.6) | 11 (5.8, 21.3) | 11 (5.7, 21.4) |
| F | 70–75 (n = 131) | 3.6 | 13.2 (7.6, 23.4) | 11.7 (6.1, 20.7) | 12.2 (6.5, 21.4) | 12.5 (6.8, 22.1) | 11.8 (6.5, 19.7) | 11.9 (6.6, 20.2) | 11.6 (6.4, 19.3) | 11.7 (6.4, 19.4) |
| F | all ages (n = 2015) | 2.7 | 12 (7, 22.1) | 11.2 (6, 20.9) | 11.4 (6.2, 20.8) | 11.5 (6.2, 21.3) | 11 (6, 20.5) | 11.1 (6, 20.6) | 10.9 (6, 20.2) | 10.9 (5.9, 20.3) |
| M, F | 4–10 (n = 499) | 2.2 | 11.4 (7.7, 17.7) | 11.2 (7.5, 18) | 11.7 (7.8, 18.6) | 11.7 (7.5, 18.2) | 11.6 (7.8, 18.7) | 11.7 (7.7, 18.5) | 11.5 (7.7, 18.6) | 11.6 (7.6, 18.2) |
| M, F | 11–17 (n = 431) | 2.2 | 11.5 (6, 20.7) | 11.5 (5.9, 20.3) | 11.3 (6.2, 20.7) | 11.4 (6.1, 20.5) | 11.3 (6.1, 20.6) | 11.3 (5.9, 20.5) | 11.3 (6, 20.5) | 11.3 (5.7, 20.5) |
| M, F | 18–69 (n = 2750) | 3.2 | 13.8 (7.7, 26.4) | 12.6 (6.4, 24.8) | 12.9 (6.6, 25.5) | 13.1 (6.8, 26) | 12.4 (6.4, 24.6) | 12.5 (6.5, 24.9) | 12.3 (6.3, 24.6) | 12.3 (6.3, 24.5) |
| M, F | 70–75 (n = 266) | 4.1 | 14.7 (7.7, 27.4) | 13.2 (6.4, 24.3) | 13.7 (7.1, 26) | 14 (7.1, 26.2) | 13 (6.7, 25.2) | 13 (6.8, 25.2) | 12.8 (6.6, 24.8) | 12.7 (6.5, 24.8) |
| M, F | all ages (n = 3946) | 3 | 13.2 (7.5, 25.1) | 12.3 (6.5, 23.7) | 12.5 (6.7, 24.1) | 12.7 (6.8, 24.6) | 12.2 (6.6, 23.7) | 12.2 (6.5, 23.8) | 12.1 (6.4, 23.4) | 12.1 (6.4, 23.5) |
Publisher’s Note: MDPI stays neutral with regard to jurisdictional claims in published maps and institutional affiliations. |
© 2022 by the authors. Licensee MDPI, Basel, Switzerland. This article is an open access article distributed under the terms and conditions of the Creative Commons Attribution (CC BY) license (https://creativecommons.org/licenses/by/4.0/).
Share and Cite
Christensen, T.; Ravn-Haren, G.; Andersen, R. A Data Driven Approach to Identify Safe and Adequate Schemes for Vitamin D Fortification. Foods 2022, 11, 3981. https://doi.org/10.3390/foods11243981
Christensen T, Ravn-Haren G, Andersen R. A Data Driven Approach to Identify Safe and Adequate Schemes for Vitamin D Fortification. Foods. 2022; 11(24):3981. https://doi.org/10.3390/foods11243981
Chicago/Turabian StyleChristensen, Tue, Gitte Ravn-Haren, and Rikke Andersen. 2022. "A Data Driven Approach to Identify Safe and Adequate Schemes for Vitamin D Fortification" Foods 11, no. 24: 3981. https://doi.org/10.3390/foods11243981
APA StyleChristensen, T., Ravn-Haren, G., & Andersen, R. (2022). A Data Driven Approach to Identify Safe and Adequate Schemes for Vitamin D Fortification. Foods, 11(24), 3981. https://doi.org/10.3390/foods11243981

