Combination of Solid State and Submerged Fermentation Strategies to Produce a New Jellyfish-Based Food
Abstract
1. Introduction
2. Materials and Methods
2.1. Sample Collection
2.2. Microbiological Analyses
2.3. Molecular Identification of Bacterial and Yeast Isolates
2.4. Jellyfish Puree Preparation
2.5. Fermentation Procedure for Jelly Paste Preparation
2.5.1. First Step: Koji Preparation
2.5.2. Second Step: Solid-State Fermentation of Jellyfish Puree by Koji to Obtain the Jelly Paste
2.5.3. Third Step: Jelly Paste Fermentation with Selected Yeasts and Bacteria Strains
2.6. Nutritional Analyses
2.6.1. Protein Content
2.6.2. Antioxidant Activity
2.6.3. Lipid Extraction and Determination
2.6.4. Total Phenolic Content
2.6.5. Glucose and Sucrose Content
2.7. Enzymatic Activity Assays of Jellyfish Paste during Fermentation
2.7.1. Preparation of Crude Enzyme Solution from Jellyfish Fermented Paste
2.7.2. α-Amylase Activity Assay
2.7.3. Protease Activity Assay
2.7.4. Esterase Activity Assay
2.7.5. Lipase Activity Assay
2.8. Descriptive Sensory Analysis of the Fermented Products
2.9. Statistical Analysis
3. Results
3.1. Selection of Lactic Acid Bacteria and Yeast Strains as Candidates for Jellyfish Fermentation
3.2. Set Up of Fermentation Conditions
3.3. Chemical–Physical, Nutritional and Sensorial Characterization of the Fermented Products
3.3.1. Compositional Analyses
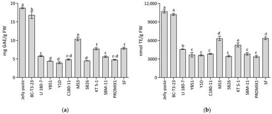
3.3.2. Nutritional Analyses
3.3.3. Enzymatic Activity Assays
3.3.4. Descriptive Analysis of the Odor Sensory Profile
3.3.5. Principal Component Analysis
4. Discussion
5. Conclusions
Supplementary Materials
Author Contributions
Funding
Data Availability Statement
Acknowledgments
Conflicts of Interest
References
- Elder, M. World Markets for Fermentation Ingredients; BCC Research, Market Research Reports: Wellesley, MA, USA, 2018; p. FOD020E. [Google Scholar]
- Şanlier, N.; Gökcen, B.B.; Sezgin, A.C. Health benefits of fermented foods. Crit. Rev. Food Sci. Nutr. 2019, 59, 506–527. [Google Scholar] [CrossRef] [PubMed]
- Lactic Acid Bacteria Fermented Jellyfish Product and Processing Method Thereof. China Patent CN102697104A, 19 June 2013. Available online: https://patents.google.com/patent/CN102697104A/en (accessed on 11 October 2022).
- Wang, H.; Chen, S.; Shi, Z. Study on the optimization of the fermentation process by lactic acid bacteria in jelly fish. In Proceedings of the 3rd Annual 2015 International Conference on Material Science and Engineering ICMSE2015, Guangzhou, China, 15–17 May 2015; pp. 369–375. [Google Scholar]
- Brotz, L.; Schiariti, A.; López-Martínez, J.; Álvarez-Tello, J.; Peggy Hsieh, Y.H.; Jones, R.P.; Quiñones, J.; Dong, Z.; Morandini, A.C.; Preciado, M.; et al. Jellyfish fisheries in the Americas: Origin, state of the art, and perspectives on new fishing grounds. Rev. Fish Biol. Fish. 2017, 27, 1–29. [Google Scholar] [CrossRef]
- Rajkovic, A.; Smigic, N.; Devlieghere, F. Contemporary strategies in combating microbial contamination in food chain. Int. J. Food Microbiol. 2010, 141, S29–S42. [Google Scholar] [CrossRef]
- Li, J.R.; Hsieh, Y.H.P. Traditional Chinese food technology and cuisine. Asia Pac. J. Clin. Nutr. 2004, 13, 147–155. [Google Scholar]
- Hsieh, Y.H.P.; Leong, F.M.; Rudloe, J. Jellyfish as food. In Jellyfish Blooms: Ecological and Societal Importance; Purcell, J.E., Graham, W.M., Dumont, H.J., Eds.; Springer: Dordrecht, The Netherlands, 2001; p. 155. [Google Scholar] [CrossRef]
- Bleve, G.; Ramires, F.A.; De Domenico, S.; Leone, A. An Alum-Free Jellyfish Treatment for Food Applications. Front. Nutr. 2021, 8, 559. [Google Scholar] [CrossRef]
- Bleve, G.; Ramires, F.A.; Gallo, A.; Leone, A. Identification of Safety and Quality Parameters for Preparation of Jellyfish Based Novel Food Products. Foods 2019, 8, 263. [Google Scholar] [CrossRef]
- Leone, A.; Lecci, R.M.; Milisenda, G.; Piraino, S. Mediterranean jellyfish as novel food: Effects of thermal processing on antioxidant, phenolic, and protein contents. Eur. Food Res. Technol. 2019, 245, 1611–1627. [Google Scholar] [CrossRef]
- Torri, L.; Tuccillo, F.; Bonelli, S.; Piraino, S.; Leone, A. The attitudes of Italian consumers towards jellyfish as novel food. Food Qual. Prefer. 2020, 79, 103782. [Google Scholar] [CrossRef]
- Raposo, A.; Coimbra, A.; Amaral, L.; Gonçalves, A.; Morais, Z. Eating jellyfish: Safety, chemical and sensory properties. J. Sci. Food Agric. 2018, 98, 3973–3981. [Google Scholar] [CrossRef]
- De Rinaldis, G.; Leone, A.; De Domenico, S.; Bosch-Belmar, M.; Slizyte, R.; Milisenda, G.; Santucci, A.; Albano, C.; Piraino, S. Biochemical Characterization of Cassiopea andromeda (Forsskål, 1775), Another Red Sea Jellyfish in the Western Mediterranean Sea. Mar. Drugs 2021, 19, 498. [Google Scholar] [CrossRef]
- De Domenico, S.; De Rinaldis, G.; Paulmery, M.; Piraino, S.; Leone, A. Barrel Jellyfish (Rhizostoma pulmo) as Source of Antioxidant Peptides. Mar. Drugs 2019, 17, 134. [Google Scholar] [CrossRef] [PubMed]
- Leone, A.; Lecci, R.M.; Durante, M.; Meli, F.; Piraino, S. The Bright Side of Gelatinous Blooms: Nutraceutical Value and Antioxidant Properties of Three Mediterranean Jellyfish (Scyphozoa). Mar. Drugs 2015, 13, 4654–4681. [Google Scholar] [CrossRef] [PubMed]
- Terefe, N.S. Food Fermentation. In Reference Module in Food Science; Elsevier: Werribee, Australia, 2016. [Google Scholar]
- Hubot, N.; Giering, S.L.; Lucas, C.H. Similarities between the biochemical composition of jellyfish body and mucus. J. Plankton Res. 2022, 44, 337–344. [Google Scholar] [CrossRef]
- Wilson, L. Soyfoods. In Practical Handbook of Soybean Processing and Utilization; AOCS Press, Erickson DR: Champaign, IL, USA, 1995. [Google Scholar]
- Allwood, J.G.; Wakeling, L.T.; Bean, D.C. Fermentation and the microbial community of Japanese koji and miso: A review. J. Food Sci. 2021, 86, 2194–2207. [Google Scholar] [CrossRef]
- Pandey, A. Solid-state fermentation. Biochem. Eng. J. 2003, 13, 81–84. [Google Scholar] [CrossRef]
- Couto, S.R.; Sanromaán, M.Á. Application of solid-state fermentation to food industry—A review. J. Food Eng. 2006, 76, 291–302. [Google Scholar] [CrossRef]
- Johnson, E. Integrated enzyme production lowers the cost of cellulosic ethanol. Biofuels Bioprod. Biorefining 2016, 10, 164–174. [Google Scholar] [CrossRef]
- Devanthi, P.V.P.; Gkatzionis, K. Soy sauce fermentation: Microorganisms, aroma formation, and process modification. Food Res. Int. 2019, 120, 364–374. [Google Scholar] [CrossRef]
- Hui, W.; Hu, Q.; Cao, C.; Xu, H.; Zhen, Y.; Kwok, L.Y.; Sun, T.; Zhang, H.; Zhang, W. Identification of Microbial Profile of Koji Using Single Molecule, Real-Time Sequencing Technology. J. Food Sci. 2017, 82, 1193–1199. [Google Scholar] [CrossRef]
- Onda, T.; Yanagida, F.; Uchimura, T.; Tsuji, M.; Ogino, S.; Shinohara, T.; Yokotsuka, K. Analysis of Lactic Acid Bacterial Flora during Miso Fermentation. Food Sci. Technol. Res. 2003, 9, 17–24. [Google Scholar] [CrossRef]
- Lee, D.H.; Kim, M.J.; Park, S.H.; Song, E.J.; Nam, Y.D.; Ahn, J.; Jang, Y.J.; Ha, T.H.; Jung, C.H. Bioavailability of Isoflavone Metabolites After Korean Fermented Soybean Paste (Doenjang) Ingestion in Estrogen-Deficient Rats. J. Food Sci. 2018, 83, 2212–2221. [Google Scholar] [CrossRef] [PubMed]
- Park, N.Y.; Rico, C.W.; Lee, S.C.; Kang, M.Y. Comparative effects of doenjang prepared from soybean and brown rice on the body weight and lipid metabolism in high fat-fed mice. J. Clin. Biochem. Nutr. 2012, 51, 12–24. [Google Scholar] [CrossRef] [PubMed][Green Version]
- Cunha, F.M.; Esperança, M.N.; Zangirolami, T.C.; Badino, A.C.; Farinas, C.S. Sequential solid-state and submerged cultivation of Aspergillus niger on sugarcane bagasse for the production of cellulase. Bioresour. Technol. 2012, 112, 270–274. [Google Scholar] [CrossRef] [PubMed]
- López-Gómez, J.P.; Venus, J. Potential Role of Sequential Solid-State and Submerged-Liquid Fermentations in a Circular Bioeconomy. Fermentation 2021, 7, 76. [Google Scholar] [CrossRef]
- Murray, M.J. Euthanasia. In Invertebrate Medicine, 3rd ed.; Lewbart, G., Ed.; Wiley-Blackwell: Hoboken, NJ, USA, 2022. [Google Scholar]
- Bleve, G.; Tufariello, M.; Durante, M.; Perbellini, E.; Ramires, F.A.; Grieco, F.; Cappello, M.S.; De Domenico, S.; Mita, G.; Tasioula-Margari, M.; et al. Physico-chemical and microbiological characterization of spontaneous fermentation of Cellina di Nardò and Leccino table olives. Front. Microbiol. 2014, 5, 570. [Google Scholar] [CrossRef]
- Bleve, G.; Tufariello, M.; Durante, M.; Grieco, F.; Ramires, F.A.; Mita, G.; Tasioula-Margari, M.; Logrieco, A.F. Physico-chemical characterization of natural fermentation process of Conservolea and Kalamàta table olives and development of a protocol for the pre-selection of fermentation starters. Food Microbiol. 2015, 46, 368–382. [Google Scholar] [CrossRef]
- Ramires, F.A.; Durante, M.; Maiorano, G.; Migoni, D.; Rampino, P.; Fanizzi, F.P.; Perrotta, C.; Mita, G.; Grieco, F.; Bleve, G. Industrial scale bio-detoxification of raw olive mill wastewaters by the use of selected microbial yeast and bacterial strains to obtain a new source for fertigation. J. Environ. Manag. 2020, 265, 110574. [Google Scholar] [CrossRef]
- Tufariello, M.; Durante, M.; Veneziani, G.; Taticchi, A.; Servili, M.; Bleve, G.; Mita, G. Patè Olive Cake: Possible Exploitation of a By-Product for Food Applications. Front. Nutr. 2019, 6, 3. [Google Scholar] [CrossRef]
- Maiorano, G.; Ramires, F.A.; Durante, M.; Palamà, I.E.; Blando, F.; De Rinaldis, G.; Perbellini, E.; Patruno, V.; Gadaleta Caldarola, C.; Vitucci, S.; et al. The Controlled Semi-Solid Fermentation of Seaweeds as a Strategy for Their Stabilization and New Food Applications. Foods 2022, 11, 2811. [Google Scholar] [CrossRef]
- Bradford, M.M. A rapid and sensitive method for the quantitation of microgram quantities of protein utilizing the principle of protein-dye binding. Anal. Biochem. 1976, 72, 248–254. [Google Scholar] [CrossRef]
- Re, R.; Pellegrini, N.; Proteggente, A.; Pannala, A.; Yang, M.; Rice-Evans, C. Antioxidant activity applying an improved ABTS radical cation decolorization assay. Free Radic. Biol. Med. 1999, 26, 1231–1237. [Google Scholar] [CrossRef] [PubMed]
- Rice-evans, C.A.; Miller, N.J.; Bolwell, P.G.; Bramley, P.M.; Pridham, J.B. The Relative Antioxidant Activities of Plant-Derived Polyphenolic Flavonoids. Free Radic. Res. 1995, 22, 375–383. [Google Scholar] [CrossRef]
- Bligh, E.G.; Dyer, W.J. A rapid method of total lipid extraction and purification. Can. J. Biochem. Physiol. 1959, 37, 911–917. [Google Scholar] [CrossRef] [PubMed]
- Magalhães, L.M.; Santos, F.; Segundo, M.A.; Reis, S.; Lima, J.L.F.C. Rapid microplate high-throughput methodology for assessment of Folin-Ciocalteu reducing capacity. Talanta 2010, 83, 441–447. [Google Scholar] [CrossRef] [PubMed]
- Lee, J.; Kwon, S.; Choi, Y.; Chung, S.; Chung, D.; Yoo, J. Changes of microorganisms, enzyme activities and major components during the fermentation of Korean traditional Doenjang and Kochujang. Korean J. Appl. Microbiol. Biotechnol. 1996. [Google Scholar]
- Walter, H. Proteinases: Methods with Hemoglobin; Casein and Azocoll as Substrates; Verlag Chemie: Weinheim, Germany, 1984. [Google Scholar]
- Moyano, F.J.; Díaz, M.; Alarcón, F.J.; Sarasquete, M.C. Characterization of digestive enzyme activity during larval development of gilthead seabream (Sparus aurata). Fish Physiol. Biochem. 1996, 15, 121–130. [Google Scholar] [CrossRef]
- Lopes, D.B.; Fraga, L.P.; Fleuri, L.F.; Macedo, G.A. Lipase and esterase: To what extent can this classification be applied accurately? Food Sci. Technol. 2011, 31, 603–613. [Google Scholar] [CrossRef]
- Park, S.Y.; Kim, J.T.; Kang, S.G.; Woo, J.H.; Lee, J.H.; Choi, H.T.; Kim, S.J. A new esterase showing similarity to putative dienelactone hydrolase from a strict marine bacterium, Vibrio sp. GMD509. Appl. Microbiol. Biotechnol. 2007, 77, 107–115. [Google Scholar] [CrossRef]
- Commission Regulation (EU) No 1441/2007 of 5 December 2007 amending Regulation (EC) N. 2073/2005 on microbiological criteria for foodstuffs. Off. J. Eur. Union 2007, 1441, 322.
- Commission Regulation (EU) No 2073/2005 of 15 November 2005 on microbiological criteria for foodstuffs. Off. J. Eur. Union 2005, 2073, 338.
- Critères Microbiologiques Applicables à Partir de 2010 aux Marques de Distributeurs, Marques Premiers prix et Matières Premières dans leur Conditionnement Initial Industriel; FCD: Paris, France, 2009.
- Legislative Decree No. 131 of the Italian Parliament of 10 May, 2007 Agreement, Pursuant to Article 8, Paragraph 6, of the Law of 5 June 2003, n. 131, between the Government, the Regions and the Autonomous Provinces of Trento and Bolzano on << Guidelines Relating to the Application of the EC Regulation. Official Gazette of the Italian Republic, No. 126, General Series of 30 May, 2007. Available online: https://www.gazzettau_ciale.it/eli/gu/2007/05/30/124/so/126/sg/pdf (accessed on 11 October 2022).
- ANZFA Safe Food Australia: A Guide to the Food Safety Standards; Commonwealth of Australia, Australia New Zealand Food Authority Publication: Canberra, Australia, 2001.
- Spano, L.A.; Medeiros, J.; Mandels, M. Enzymatic hydrolysis of cellulosic wastes to glucose. Resour. Conserv. Recycl. 1976, 1, 279–294. [Google Scholar] [CrossRef]
- Mahamud, M.R.; Gomes, D.J. Enzymatic Saccharification of Sugar Cane Bagasse by the Crude Enzyme from Indigenous Fungi. J. Sci. Res. 2011, 4, 227. [Google Scholar] [CrossRef]
- Khong, M.H.N.; Yusoff, F.M.D.; Jamilah, B.; Basri, M.; Maznah, I.; Chan, K.W.; Nishikawad, J. Nutritional composition and total collagen content of three commercially important edible jellyfish. J. Food Chem. 2016, 196, 953–960. [Google Scholar] [CrossRef] [PubMed]
- Maisont, S.; Samutsri, W.; Phae-ngam, W.; Limsuwan, P. Development and Characterization of Crackers Substitution of Wheat Flour With Jellyfish. Front. Nutr. 2021, 8, 772220. [Google Scholar] [CrossRef] [PubMed]
- Del Sol Villalba-Urquidy, B.; Velazquez-Valdez, L.P.; Bracamontes-Picos, S.J.; Del Toro-Sánchez, C.L.; Chan-Higuera, J.E.; Ezquerra-Brauer, J.M. Conversion of Dry-Salted Cannonball Jellyfish (Stomolophus meleagris) Umbrella and Oral Arms to Cornmeal Snacks and Gelatin with Antioxidant Properties. Fishes 2022, 7, 277. [Google Scholar] [CrossRef]
- Sun, S.Y.; Jiang, W.G.; Zhao, Y.P. Profile of Volatile Compounds in 12 Chinese Soy Sauces Produced by a High-Salt-Diluted State Fermentation. J. Inst. Brew. 2010, 116, 316–328. [Google Scholar] [CrossRef]
- Kos Kramar, M.; Tinta, T.; Lučić, D.; Malej, A.; Turk, V. Bacteria associated with moon jellyfish during bloom and post-bloom periods in the Gulf of Trieste (northern Adriatic). PLoS ONE 2019, 14, e0198056. [Google Scholar] [CrossRef]
- Yue, Y.; Yu, H.; Li, R.; Xing, R.; Liu, S.; Li, P. Exploring the Antibacterial and Antifungal Potential of Jellyfish-Associated Marine Fungi by Cultivation-Dependent Approaches. PLoS ONE 2015, 10, e0144394. [Google Scholar] [CrossRef]
- Stavropoulou, D.A.; De Vuyst, L.; Leroy, F. Nonconventional starter cultures of coagulase-negative staphylococci to produce animal-derived fermented foods, a SWOT analysis. J. Appl. Microbiol. 2018, 125, 1570–1586. [Google Scholar] [CrossRef]
- Lee, S.H.; Jung, J.Y.; Jeon, C.O. Bacterial community dynamics and metabolite changes in myeolchi-aekjeot, a Korean traditional fermented fish sauce, during fermentation. Int. J. Food Microbiol. 2015, 203, 15–22. [Google Scholar] [CrossRef]
- Sulaiman, J.; Gan, H.M.; Yin, W.F.; Chan, K.G. Microbial succession and the functional potential during the fermentation of Chinese soy sauce brine. Front. Microbiol. 2014, 5, 1–9. [Google Scholar] [CrossRef] [PubMed]
- Koutsoumanis, K.; Allende, A.; Alvarez-Ordóñez, A.; Bolton, D.; Bover-Cid, S.; Chemaly, M.; Davies, R.; De Cesare, A.; Hilbert, F.; Lindqvist, R.; et al. Update of the list of QPS-recommended biological agents intentionally added to food or feed as notified to EFSA 11: Suitability of taxonomic units notified to EFSA until September 2020. EFSA J. 2020, 18, e05965. [Google Scholar] [CrossRef]
- Tufariello, M.; Durante, M.; Ramires, F.A.; Grieco, F.; Tommasi, L.; Perbellini, E.; Falco, V.; Tasioula-Margari, M.; Logrieco, A.F.; Mita, G.; et al. New process for production of fermented black table olives using selected autochthonous microbial resources. Front. Microbiol. 2015, 6, 1007. [Google Scholar] [CrossRef] [PubMed]
- Chytiri, A.; Tasioula-Margari, M.; Bleve, G.; Kontogianni, V.G.; Kallimanis, A.; Kontominas, M.G. Effect of different inoculation strategies of selected yeast and LAB cultures on Conservolea and Kalamàta table olives considering phenol content, texture, and sensory attributes. J. Sci. Food Agric. 2020, 100, 926–935. [Google Scholar] [CrossRef]
- Zhang, J.; Du, G.; Chen, J.; Fang, F. Characterization of a Bacillus amyloliquefaciens strain for reduction of citrulline accumulation during soy sauce fermentation. Biotechnol. Lett. 2016, 38, 1723–1731. [Google Scholar] [CrossRef] [PubMed]
- Evangelista, S.R.; da Cruz Pedrozo, M.G.; de Souza Cordeiro, C.; Silva, C.F.; Marques Pinheiro, A.C.; Schwan, R.F. Inoculation of starter cultures in a semi-dry coffee (Coffea arabica) fermentation process. Food Microbiol. 2014, 44, 87–95. [Google Scholar] [CrossRef] [PubMed]
- Jiang, X.; Peng, D.; Zhang, W.; Duan, M.; Ruan, Z.; Huang, S.; Zhou, S.; Fang, Q. Effect of aroma-producing yeasts in high-salt liquid-state fermentation soy sauce and the biosynthesis pathways of the dominant esters. Food Chem. 2021, 344, 128681. [Google Scholar] [CrossRef]
- Koutsoumanis, K.; Allende, A.; Alvarez-Ordóñez, A.; Bolton, D.; Bover-Cid, S.; Chemaly, M.; Davies, R.; De Cesare, A.; Hilbert, F.; Lindqvist, R.; et al. Scientific Opinion on the update of the list of QPS-recommended biological agents intentionally added to food or feed as notified to EFSA (2017–2019). EFSA J. 2020, 18, e05966. [Google Scholar] [CrossRef]
- Zeng, A.; Peng, M.; Liu, H.; Guo, Z.; Xu, J.; Wang, S.; He, L.; Tan, Z. Effects of Debaryomyces hansenii treatment on intestinal mucosa microecology in mice with antibiotic-associated diarrhea. PLoS ONE 2019, 14, e0224730. [Google Scholar] [CrossRef]
- He, L.; Long, C.; Liu, Y.; Guo, Y.; Xiao, N.; Tan, Z. Effects of Debaryomyces hansenii treatment on intestinal microorganisms in mice with antibiotics-induced diarrhea. 3 Biotech. 2017, 7, 347. [Google Scholar] [CrossRef]
- Angulo, M.; Reyes-Becerril, M.; Medina-Córdova, N.; Tovar-Ramírez, D.; Angulo, C. Probiotic and nutritional effects of Debaryomyces hansenii on animals. Appl. Microbiol. Biotechnol. 2020, 104, 7689–7699. [Google Scholar] [CrossRef] [PubMed]
- Chun, B.H.; Han, D.M.; Kim, H.M.; Park, D.; Jeong, D.M.; Kang, H.A.; Jeon, C.O. Metabolic Features of Ganjang (a Korean Traditional Soy Sauce) Fermentation Revealed by Genome-Centered Metatranscriptomics. Msystems 2021, 6, e00441-21. [Google Scholar] [CrossRef] [PubMed]
- Jeong, D.M.; Yoo, S.J.; Jeon, M.S.; Chun, B.H.; Han, D.M.; Jeon, C.O.; Eyun, S.-i.; Seo, Y.-J.; Kang, H.A. Genomic features, aroma profiles, and probiotic potential of the Debaryomyces hansenii species complex strains isolated from Korean soybean fermented food. Food Microbiol. 2022, 105, 104011. [Google Scholar] [CrossRef] [PubMed]
- Jolly, N.P.; Varela, C.; Pretorius, I.S. Not your ordinary yeast: Non-Saccharomyces yeasts in wine production uncovered. FEMS Yeast Res. 2014, 14, 215–237. [Google Scholar] [CrossRef] [PubMed]
- Jo, Y.; Bang, W.; Kim, M.K. Changes of Physiochemical and Enzymatic Activities of doenjang Prepared with Different Amount of Rice koji during 30 Days of Fermentation. Foods 2021, 10, 372. [Google Scholar] [CrossRef] [PubMed]
- Lee, J.Y.; Mok, C. Changes in physicochemical properties of low salt soybean paste (Doenjang) during fermentation. Food Eng. Prog. 2010, 14, 153–158. [Google Scholar]
- Jung, S.W.; Kwon, D.J.; Koo, M.S.; Kim, Y.S. Quality characteristics and acceptance for Doenjang prepared with rice. Appl. Biol. Chem. 1994, 37, 266–271. [Google Scholar]
- Namgung, H.J.; Park, H.J.; Cho, I.H.; Choi, H.K.; Kwon, D.Y.; Shim, S.M.; Kim, Y.S. Metabolite profiling of doenjang, fermented soybean paste, during fermentation. J. Sci. Food Agric. 2010, 90, 1926–1935. [Google Scholar] [CrossRef]
- Liu, S.X.; Yang, H.Y.; Li, S.Y.; Zhang, J.Y.; Li, T.; Zhu, B.Q.; Zhang, B.L. Polyphenolic Compositions and Chromatic Characteristics of Bog Bilberry Syrup Wines. Molecules 2015, 20, 19865–19877. [Google Scholar] [CrossRef]
- Kim, A.J.; Choi, J.N.; Kim, J.; Yeo, S.H.; Choi, J.H.; Lee, C.H. Metabolomics-Based Optimal Koji Fermentation for Tyrosinase Inhibition Supplemented with Astragalus radix. Biosci. Biotechnol. Biochem. 2012, 76, 863–869. [Google Scholar] [CrossRef]
- Wu, Q.; Xu, Y. Transcriptome Profiling of Heat-Resistant Strain Bacillus licheniformis CGMCC3962 Producing Maotai Flavor. J. Agric. Food Chem. 2012, 60, 2033–2038. [Google Scholar] [CrossRef] [PubMed]
- Lee, S.; Lee, J.; Jin, Y.I.; Jeong, J.C.; Chang, Y.H.; Lee, Y.; Jeonga, Y.; Kima, M. Probiotic characteristics of Bacillus strains isolated from Korean traditional soy sauce. LWT 2017, 79, 518–524. [Google Scholar] [CrossRef]
- Zaky, A.A.; Simal-Gandara, J.; Eun, J.-B.; Shim, J.-H.; Abd El-Aty, A.M. Bioactivities, Applications, Safety, and Health Benefits of Bioactive Peptides From Food and By-Products: A Review. Front. Nutr. 2022, 8, 815640. [Google Scholar] [CrossRef] [PubMed]
- Halvorsen, B.L.; Carlsen, M.H.; Phillips, K.M.; Bøhn, S.K.; Holte, K.; Jacobs, D.R., Jr.; Blomhoff, R. Content of redox-active compounds (ie, antioxidants) in foods consumed in the United States. Am. J. Clin. Nutr. 2006, 84, 95–135. [Google Scholar] [CrossRef]
- Carlsen, M.H.; Halvorsen, B.L.; Holte, K.; Bøhn, S.K.; Dragland, S.; Sampson, L.; Willey, C.; Senoo, H.; Umezono, Y.; Sanada, C.; et al. The total antioxidant content of more than 3100 foods, beverages, spices, herbs and supplements used worldwide. Nutr. J. 2010, 9, 3. [Google Scholar] [CrossRef]
- Awong, H.; Ibrahim, S.; Ambak, M.A.; Samo, K. Jellyfish (semi-china type) processing for human consumptions in Darvel Bay, Sabah, Malaysia. Borneo Res. J. 2010, 4, 59–70. [Google Scholar]
- Poole, S.; Naidoo, R.; Edwards, J. Creating a shelf stable marinated jellyfish product from the underutilised species Catostylus mosaicus; AFFS–Food Technology, Queensland Department of Primary Industries: Brisbane, Australia, 2002.
- Hong, Y.; Jung, H.J.; Kim, H.Y. Aroma characteristics of fermented Korean soybean paste (Doenjang) produced by Bacillus amyloliquefaciens. Food Sci. Biotechnol. 2012, 21, 1163–1172. [Google Scholar] [CrossRef]
- Jung, W.Y.; Jung, J.Y.; Lee, H.J.; Jeon, C.O. Functional Characterization of Bacterial Communities Responsible for Fermentation of Doenjang: A Traditional Korean Fermented Soybean Paste. Front. Microbiol. 2016, 7. [Google Scholar] [CrossRef]







| Strain Code (GenBank Accession Number) | Identification * | Identity | Closest Match Accession Number |
|---|---|---|---|
| FB6 (OP555308) FB11 (OP555310) LB13 (OP555314) LB17 (OP555313) LB18 (OP555312) LB24 (OP555311) | Staphylococcus pasteuri | 100.00% | MG757632.1 |
| LB11 (OP555309) LA52 (OP555315) | Bacillus simplex | 100.00%, 99.82% | MT310831.1, LT547805.1 |
| LA30 (OP555316) | Bacillus amyloliquefaciens | 100.00% | CP054479.1 |
| LA2 (OP555320) LA35 (OP555317) | Enterobacter cloacae | 99.78%, 99.65% | MT367828.1, KP226569.1 |
| LA6 (OP555319) LA27 (OP555318) | Leclercia adecarboxylata | 99.79% | MT180610.1 |
| LA7 (OP555292) | Enterobacter hormaechei subsp. xiangfangensis | 99.66% | CP030007.1 |
| FB1 (OP555302) FB4 (OP555295) FB5 (OP555294) FB14 (OP555293) GB2 (OP555300) GB4 (OP555299) GB7 (OP555298) GB9 (OP555297) GB10 (OP555296) | Staphylococcus pasteuri | 100.00% | CP031280.1 |
| GB1 (OP555301) | Staphylococcus epidermidis | 100.00% | CP040883.1 |
| SB18 (OP555307) SB19 (OP555306) SB20 (OP555305) SB24 (OP555304) SB26 (OP555303) | Staphylococcus pasteuri | 100.00% | MT072161.1 |
| Strain Code (GenBank Accession Number) | Identification * | Identity | Closest Match Accession Number |
|---|---|---|---|
| YD19 (OP554736) | Metschnikowia sp. | 98.25% | NR_166218.1 |
| Y1D (OP554737) | Metschnikowia sp. | 96.20% | MK394155.1 |
| YC18 (OP554738) | Metschnikowia sp. | 95.99% | KY495746.1 |
| YB51 (OP554739) | Candida parapsilosis | 99% | MH545914.1 |
| YLq1 (OP554740) | Aureobasidium pullulans | 100.00% | MT035961.1 |
| YB1 (OP554741) | Rhodotorula diobovata | 100.00% | KY104778.1 |
| Assays | Limits | Analytical Reference Method | Reference |
|---|---|---|---|
| Aerobic colony count (total bacterial count, TBC) | <104 CFU/g (for salami, cured meats, ham, etc.) 105 < X < 107 CFU/g (for fish-based products) | UNI EN ISO 4833-1:2013 [47,48] | [49,50] |
| β-glucuronidase-positive Escherichia coli | <10 CFU/g | ISO 16649-2:2001 | [47,48] |
| Enterobacteriaceae | <102 CFU/g | [51] | |
| Presumptive Bacillus cereus | <102 CFU/g | [51] | |
| Coliforms | <10 CFU/g <=70MPN/100 mL | ISO 4382:2006 | [50] |
| Coagulase-positive staphylococci | <102 CFU/g, 102 < X < 103 CFU/g | UNI EN ISO 6888-2:1999 | [47,48] |
| Molds and yeasts | <102 CFU/g (marinated octopus, seafood cocktail) | ISO 21527-1:2008 | [49] |
| Sample | Moisture mg/g | Fat mg/g FW | Glucose mg/g FW | Sucrose mg/g FW | Protein mg/g FW |
|---|---|---|---|---|---|
| Jelly paste | 713.74 ± 31.08 (a) | 128.53 ± 10.33 (a) | 3.20 ± 0.02 (a) | 0.22 ± 0.02 (a) | 10.58 ± 0.33 (a) |
| Jelly fermented paste with yeast starter | |||||
| BC T3-23 | 877.57 ± 44.48 (b) | 85.22 ± 5.96 (b) | 2.93 ± 0.013 (b) | ND | 1.42 ± 0.02 (b) |
| LI 180-7 | 923.44 ± 6.81 (b) | 40.97 ± 3.06 (c) | 0.57 ± 0.002 (c) | 0.012 ± 0.001 (b) | 0.75 ± 0.09 (c) |
| YB51 | 928.80 ± 54.42 (b) | 79.05 ± 5.05 (b) | 0.52 ± 0.01 (d) | ND | 0.51 ± 0.06 (c) |
| Y1D | 858.58 ± 1.47 (b) | 112.13 ± 9.57 (a) | 0.53 ± 0.004 (d) | 0.006 ± 0.001(b) | 0.55 ± 0.02 (c) |
| Jelly fermented paste with bacterial starter | |||||
| C180-11 | 825.66 ± 12.33 (b) | 75.98 ± 6.05 (b) | 0.51 ± 0.01 (d) | 0.01 ± 0.002 (b) | 0.91 ± 0.18 (b, c) |
| MS3 | 934.43 ± 46.89 (b) | 19.89 ± 2.10 (d, c) | 1.54 ± 0.002 (e) | ND | 0.72 ± 0.06 (b) |
| SB26 | 803.45 ± 21.49 (b) | 169.48 ± 9.88 (e) | 0.75 ± 0.004 (f) | 0.19 ± 0.002 (c) | 0.74 ± 0.11 (c) |
| KT 5-1 | 834.27 ± 33.67 (b) | 62.57 ± 4.44 (f, b) | 0.59 ± 0.004 (c) | 0.01 ± 0.002 (b) | 1.42 ± 0.07 (c) |
| Jelly fermented paste with bacterial commercial starter | |||||
| SMB-11 | 953.51 ± 41.93 (b) | 37.92 ± 1.38 (c) | 0.50 ± 0.004 (d) | 0.03 ± 0.005 (d) | 0.63 ± 0.09 (c) |
| PROMIX-1 | 863.45 ± 22.85 (b) | 42.55 ± 4.54 (c) | 0.51 ± 0.001 (d) | 0.01 ± 0.004 (b) | 0.26 ± 0.04 (c) |
| Jelly fermented paste without starter | |||||
| SF | 832.59 ± 8.97 (b) | 142.06 ± 2.03 (a) | 0.94 ± 0.02 (g) | 0.11 ± 0.004 (e) | 1.52 ± 0.04 (b) |
| Sample | pH | Temperature | Salinity (%) | |||||||||
|---|---|---|---|---|---|---|---|---|---|---|---|---|
| Time (Days) | Time (Days) | Time (Days) | ||||||||||
| 5 | 10 | 15 | 20 | 5 | 10 | 15 | 20 | 5 | 10 | 15 | 20 | |
| BC T3-23 | 5.26 | 5.4 | 5.19 | 5.39 | 28 | 24.2 | 20 | 23.5 | 15 | 16 | 16 | 16 |
| LI 180-7 | 4.85 | 4.905 | 4.68 | 4.9 | 26.1 | 24.1 | 22.7 | 22.7 | 15 | 16 | 16.6 | 16 |
| YB51 | 5.05 | 5.195 | 5.01 | 5.06 | 27.6 | 24.4 | 23.1 | 23.2 | 14 | 15 | 15 | 14 |
| Y1D | 5.06 | 4.645 | 4.61 | 4.77 | 28.1 | 23.6 | 22.3 | 22.5 | 14 | 15 | 15 | 14 |
| C 180-11 | 3.4 | 3.505 | 3.18 | 3.23 | 27.7 | 23.7 | 22.1 | 23 | 17 | 18 | 19 | 18 |
| MS3 | 5.3 | 5.1 | 5.88 | 5.17 | 28.3 | 23.6 | 23.3 | 23.3 | 14 | 15 | 14.4 | 14 |
| SB26 | 5.12 | 4.985 | 4.71 | 4.69 | 27.6 | 24.1 | 22 | 22.3 | 16 | 16 | 17 | 17 |
| KT 5-1 | 4.22 | 4.37 | 4.1 | 4.15 | 26 | 23.1 | 22.8 | 22.3 | 14 | 18 | 18 | 19 |
| SBM-11 | 3.5 | 3.46 | 3.47 | 3.38 | 23.5 | 24 | 21.9 | 23.2 | 16 | 16 | 16 | 17 |
| PROMIX-1 | 3.42 | 3.2 | 3.66 | 3.37 | 23.1 | 24.2 | 21.7 | 27 | 16 | 17 | 17 | 17 |
| SF | 5.23 | 5.195 | 4.77 | 5.08 | 29.2 | 23.9 | 22.1 | 22.04 | 13 | 18 | 17.5 | 15 |
| Lipase U/g | Esterase mU/g | Amylase U/g | Protease U/g | |
|---|---|---|---|---|
| Jelly paste * | 152.16 ± 3.50 (a) | 20.54 ± 0.62 (a) | 53.03 ± 0.68 (a) | 482.23 ± 4.11 (a) |
| Jelly fermented paste with yeast starter | ||||
| BC T3-23 | 418.31 ± 4.94 (b) | 7.63 ± 0.47 (b) | 73.94 ± 0.93 (b) | 481.02 ± 5.68 (a) |
| LI 180-7 | 220.32 ± 5.07 (c) | 20.83 ± 0.46 (a) | 5.88 ± 0.74 (c) | 165.06 ± 5.60 (b) |
| YB51 | 85.57 ± 4.64 (d) | 12.39 ± 0.48 (c) | 18.42 ± 0.69 (d) | 114.90 ± 2.42 (c) |
| Y1D | 207.91 ± 5.29 (e) | 19.47 ± 0.38 (d) | 25.34 ± 0.20 (d) | 162.09 ± 6.43 (b) |
| Jelly fermented paste with bacterial starter | ||||
| C 180-11 | 172.14 ± 2.19 (f) | 12.36 ± 0.52 (e) | 5.97 ± 0.70 (c) | 103.75 ± 1.72 (c) |
| MS3 | 185.06 ± 5.73 (g) | 10.40 ± 0.36 (f) | 17.14 ± 0.61 (d) | 148.49 ± 0.38 (b) |
| SB26 | 249.09 ± 4.38 (f) | 17.34 ± 0.16 (g) | 17.68 ± 0.43 (d) | 166.81 ± 6.26 (b) |
| KT 5-1 | 220.91 ± 4.61 (c) | 18.16 ± 0.38 (h) | 16.65 ± 0.60 (d) | 193.70 ± 6.21 (d) |
| Jelly fermented paste with bacterial commercial starter | ||||
| SBM-11 | 165.60 ± 5.75 (h) | 16.59 ± 0.03 (g) | 23.88 ± 0.74 (d) | 198.11 ± 4.66 (d) |
| PROMIX-1 | 273.88 ± 4.91 (i) | 9.44 ± 0.06 (f) | 24.29 ± 0.19 (d) | 107.27 ± 6.28 (c) |
| Jelly fermented paste without starter | ||||
| SF | 51.00 ± 0.29 (l) | 6.27 ± 0.54 (i) | 17.26 ± 0.35 (d) | 152.35 ± 3.98 (b) |
| Olfactory | Reference Odor |
|---|---|
| Desired perceptions | |
| Umami | miso, soy sauce, barbecue sauce, stock cube |
| Dried fruits | almond, dried fig, dry plum |
| Red fruits | blue raspberry, soft fruits, cherry |
| Spices | vanilla, liquorice, laurel, rosemary |
| Neutral perceptions | |
| Vegetables | pepper, eggplant, artichoke, tomato |
| Cooked fruit | baked apple, baked fruit, ripe fruit, quince jam |
| Undesired perceptions | |
| Baked | bread, bread crust, bran, legumes |
| Smoked | roast meat, speck, frankfurter |
| Fermented | beer, yeast, sourdough, must, wine, fermented fruit |
| Undergrowth | mushroom, herbal, pungent |
| Mold | moldy |
| Overall | |
| Odor intensity | global intensity of the odor |
Publisher’s Note: MDPI stays neutral with regard to jurisdictional claims in published maps and institutional affiliations. |
© 2022 by the authors. Licensee MDPI, Basel, Switzerland. This article is an open access article distributed under the terms and conditions of the Creative Commons Attribution (CC BY) license (https://creativecommons.org/licenses/by/4.0/).
Share and Cite
Ramires, F.A.; Bleve, G.; De Domenico, S.; Leone, A. Combination of Solid State and Submerged Fermentation Strategies to Produce a New Jellyfish-Based Food. Foods 2022, 11, 3974. https://doi.org/10.3390/foods11243974
Ramires FA, Bleve G, De Domenico S, Leone A. Combination of Solid State and Submerged Fermentation Strategies to Produce a New Jellyfish-Based Food. Foods. 2022; 11(24):3974. https://doi.org/10.3390/foods11243974
Chicago/Turabian StyleRamires, Francesca Anna, Gianluca Bleve, Stefania De Domenico, and Antonella Leone. 2022. "Combination of Solid State and Submerged Fermentation Strategies to Produce a New Jellyfish-Based Food" Foods 11, no. 24: 3974. https://doi.org/10.3390/foods11243974
APA StyleRamires, F. A., Bleve, G., De Domenico, S., & Leone, A. (2022). Combination of Solid State and Submerged Fermentation Strategies to Produce a New Jellyfish-Based Food. Foods, 11(24), 3974. https://doi.org/10.3390/foods11243974

