Abstract
For thousands of years, edible insects have been used as food to alleviate hunger and improve malnutrition. Some insects have also been used as medicines because of their therapeutic properties. This is not only due to the high nutritional value of edible insects, but more importantly, the active substances from edible insects have a variety of biofunctional activities. In this paper, we described and summarized the nutritional composition of edible insects and discussed the biological functions of edible insects and their potential benefits for human health. A summary analysis of the findings for each active function confirms that edible insects have the potential to develop functional foods and medicines that are beneficial to humans. In addition, we analyzed the issues that need to be considered in the application of edible insects and the current status of edible insects in food and pharmaceutical applications. We concluded with a discussion of regulations related to edible insects and an outlook on future research and applications of edible insects. By analyzing the current state of research on edible insects, we aim to raise awareness of the use of edible insects to improve human health and thus promote their better use and development.
1. Introduction
The beginning of human consumption of insects dates back 7000 years [1]. More than 2300 species of edible insects exist worldwide, primarily in Africa, Asia, and the Americas, according to statistics [2]. Beetles, caterpillars, bees, wasps, ants, grasshoppers, locusts, crickets, real bugs, dragonflies, termites, flies, cockroaches, and other orders are the most popular food insects [3,4,5]. The most consumed insect species globally are those of the orders Isoptera, Lepidoptera, Orthoptera, and Hymenoptera [6]. These edible insects live largely on land, although some can also be found in the biotic environment. Natural sources of edible insects have traditionally been used. In recent years, several insect species, such as yellow mealworms, locusts, and crickets, have been farmed on a huge scale [7].
Food that is both healthy and sustainable is becoming increasingly scarce in modern society. As a result, finding new food alternatives to traditional food sources is critical for humanity’s long-term development. Insects could be a nice option. Numerous studies have shown that proteins, lipids, and other elements from edible insects can be used to replace traditional sources of nutrition [8]. Insects, when consumed as food or feed, reduce human demand for animal protein and, as a result, natural resource usage [9]. At any stage of growth, edible insects can be used as a highly nutritious food source since they are packed with nutrients. Because of their high protein and fat content, consumers are particularly fond of immature insects like larvae and pupae [10]. In comparison to other food sources, edible insects are not only nutritious, but also delicious, healthy, environmentally beneficial, and sustainable [11].
In addition to being used as food, edible insects are also utilized in pharmaceuticals to cure human illnesses [12,13]. Numerous amino acids, peptides, functional lipids, minerals, vitamins, fiber, and secondary metabolites are among the functional active compounds found in insects. The majority of these active ingredients are found in insects’ bodies, eggs, and secretions [14]. Certain edible insects have long been used as medications to maintain human health because they contain these useful compounds. Functional ingredients from edible insects have been demonstrated in numerous in vivo and in vitro studies to possess gastrointestinal protection, antioxidant and anti-inflammatory activity, antibacterial activity, immunomodulatory effects, blood glucose and lipid regulation, hypotensive effects, and a decreased risk of cardiovascular disease [15,16].
Even though edible insects are incredibly nutritious and healthy, they are not widely accepted or used. The good news is that the edible insect sector has gained a lot of attention from firms and governments in recent years, and edible insect rules are being created and passed all around the world [17]. The downside is that most laws concentrate on the nutrition and safety of edible insects as food, rather than on the functional compounds found in edible insects [18]. Scientific studies have also concentrated on nutritional composition, insect processing, and food development, while the exploration and application of edible insects’ biological functions need to be further explored and studied [19].
We described and summarized the nutritional composition of edible insects in this paper, emphasizing their feasibility and necessity as a source of high nutrient content. Following that, we concentrated on the biological activities of edible insects and their potential advantages to human health. By aggregating the results of the investigations for each of the active functions, it was established that edible insects have the potential to generate functional food and pharmaceutical items that are helpful to humans. Furthermore, we investigated many challenges that must be addressed in the use of edible insects, as well as the current state of edible insects in food and pharmaceutical applications. We closed with a discussion of edible insect restrictions and suggested many topics to be considered in future edible insect research and implementation. The purpose of this study is to investigate the therapeutic potential of edible insects by reviewing existing research on edible insects; raising concerns about the use of edible insects to enhance human health and promoting the better use and development of edible insects.
2. Nutritional Value of Insects
The nutritional value of insects is extremely high, and the main nutrients include proteins, oils, vitamins, minerals, and sugars, all of which are essential for human growth and development [20]. Insects are essentially animals, and their consumption is an act of ingesting food of animal origin, where the higher levels of nutrients are protein and fat. In comparison, edible insects have higher energy, protein, fat, polyunsaturated fatty acids, and cholesterol than animal flesh and a higher variety and content of trace elements than meat [4]. Some studies have shown that red meat consumption may increase the risk of stroke, diabetes, colon cancer, and lung cancer [21]. When compared with meat, insects seem to be more nutritious and healthier than food. Not only that, but insects are also still very diverse in terms of their nutritional content. Some statistics showed that insects are healthier than meat [22]. For this reason, insects are considered to be a meat substitute. For people who are over-nourished, eating insects may exacerbate the over-nutrition, but in cases of malnutrition, eating insects may be a good source of supplementary nutrients [22]. As an example, palm weevil larvae, which is one of the most famous edible insects in Asia and Africa. Studies have found that palm weevil (Rhychophorus phoenicis) larvae contain up to 66.3% total protein and 37.1% oil in dry weight. In addition, palm weevil larvae is a good source of potassium and phosphorus at 1025 and 658 mg/100 g, respectively [23]. The nutritional value of different varieties of palm weevil larvae can vary due to the different morphological types and growth conditions of palm weevil larvae [24]. However, there is no denying that palm weevil larvae are a high-quality source of protein, oil and trace elements. Some nutritionists have added fish oil and perilla seed to the diet of palm weevil larvae in order to improve the nutritional value of palm weevil larvae [25,26]. This resulted in elevated lipid and protein content, increased long-chain omega-3 polyunsaturated fatty acids, and increased essential amino acid and mineral content in palm weevil larvae. Undoubtedly, this has led to a substantial increase in the nutritional value of palm weevil larvae. According to recent reports, the palm weevil larvae have been used as a snack ingredient to enhance the protein and mineral content of snacks due to its high nutritional value [27]. In addition, the cookies with palm weevil larvae are more nutritious and at the same time have high sensory evaluation scores and acceptability [28]. The high nutritional properties of edible insects are gaining attention.
Recent studies on the nutritional composition of insects have shown that insects have attracted a great deal of attention from food scientists [29], nutritionists [4], and medical scientists [30,31] as a nutrient-rich food. Here, we summarized the nutritional value classification of edible insects. The nutritional composition of edible insects is depicted in Figure 1.
Figure 1.
Nutrient composition of edible insects.
2.1. Proximate Composition of Matter of Selected Insects
The approximate composition of the substances of 40 edible insects is given in Table 1. Different units are used for representation due to the different reference sources and the fact that unit conversions affect the completeness of the data. As can be seen from Table 1, the material composition of insects varies considerably between species. In dry matter, protein and fat are the more abundant substances. The protein content in the dry matter ranged from 6.25% to 80.26% and the fat content ranged from 2.2% to 43.0%. Moisture content is highest in the fresh weight of insects, while insects with less moisture content have a higher fat content [32]. It can also be seen from Table 1 that most insects contain less ash since they do not have the calcified skeleton that vertebrates have. The exception to this is Musca autumnalis, which has a high ash content of 63% by dry weight, compared to 1.2% in Oxya chinensis [33]. Figure 2 depicts the protein composition of different edible insect orders.
Table 1.
Proximate composition of insect matter.
Figure 2.
The protein content of edible insects of several common orders [10].
2.2. The Amino Acid Composition of Insect Proteins
Protein is an essential component of life and is in strong demand by humans. In the immune response, antibodies, which are essentially proteins, perform the immune function, and the majority of enzymes involved in biochemical reactions in animals are also proteins. Protein can even provide energy when the body needs it. The fact that insects are rich in protein has been widely reported [52,53]. The protein content of most insects ranges from about 35% to 60% dry weight or 10% to 25% fresh weight, which is already generally higher than that of cereals and legumes [54,55]. Species-wise, Orthoptera are generally higher in protein content, e.g., crickets, locusts, grasshoppers, etc. [56]. Therefore, insects are both feasible and necessary as a source of protein for humans [5]. Protein is made up of over 20 amino acids, but eight of them cannot be synthesized in the body and need to be taken in from outside to meet nutritional requirements. Interestingly, all of the essential amino acids can be found in insect proteins. The amino acid composition of 19 edible insects is listed in Table 2. It is clear that insect proteins contain not only a wide range of amino acids but also an abundance of essential amino acids.
Table 2.
Amino acid composition of insects.
2.3. Insect Fat
The fats in insects provide the body with a large amount of energy and essential fatty acids, and some specific fatty acids, such as linoleic acid and α-linolenic acid, play an important role in maintaining human health [59]. Therefore, insect fats are beneficial for human nutrition and health [60]. As the second most important nutrient in the body, insects can contain up to 43% of their dry weight in fat [43]. However, the fat content of insects varies greatly between species. For example, the average fat content of Coleoptera is 33.40%, while the average fat content of Orthoptera is only 13.41% [56]. In addition, studies have found that female insects are higher in fat, and that insect larvae and pupae have higher fat content in their periods [61]. The composition of fatty acids directly influences the nutritional quality of fats in food. In other words, the composition of saturated fat (SFA), monounsaturated fatty acids (MUFA), and polyunsaturated fatty acids (PUFA) in insect fat determines the nutritional quality of insect fat [62]. Unsaturated fatty acids are strongly associated with human health and disease, and the composition of fatty acids in the diet has been linked to diseases such as cancer, diabetes, and cardiovascular disease [63]. As can be seen from Table 3, most insect fats are rich in unsaturated fatty acids, which are very beneficial to humans [45]. It has been shown that insects contain a similar fatty acid composition to poultry and fish, but are higher in unsaturated fatty acids, especially polyunsaturated fatty acids [64,65]. However, there are exceptions. For example, in Imbrasia ertli catepillars, the saturated fatty acid arachidic is present up to 38% [55]. Nevertheless, the current research on insect-active substances is still on proteins, and more in-depth and extensive research is needed on insect fats [59].
Table 3.
Fatty acid composition of insect fats.
2.4. Vitamins and Minerals
Vitamins and minerals are commonly found in insects, but vitamins are not usually synthesized in insects; they are mostly derived from insects that are enriched in their bodies through ingestion. Vitamins and minerals are essential in the metabolic processes of humans and animals, and their deficiency may have adverse health effects [67]. For example, growth retardation, anemia, inflammatory bowel disease, and other diseases associated with micronutrient deficiencies [68,69]. According to statistics, micronutrient deficiencies cause approximately one million premature deaths each year, demonstrating the need to improve food nutrition and that humans should not only pursue food production but also give due consideration to the nutrition of food [70]. Research has already shown that human micronutrient deficiencies can be addressed through the use of fisheries resources [71]. As insects contain a wide range of vitamins and minerals, most of the insects available are good sources of the vitamins and minerals that the human body needs [67]. Thus, we can consider dietary insects for the purpose of micronutrient supplementation.
So far, vitamin A, vitamin D2, vitamin D3, vitamin C, vitamin E, vitamin K thiamin, riboflavin, pantothenic acid, niacin, pyridoxine, folic acid, D-biotin, and vitamin B12 have been found in insects [49,56,61]. Of these, vitamin B12 is synthesized by bacteria and algae and accumulated in foods of animal origin. Therefore, the human body can obtain the required vitamin B12 through the intake of foods of animal origin [67,72]. Vitamin B12 has now been found in a variety of edible insects. A study investigated the levels of vitamin B12 in four insect species by immunoaffinity and ultra-high performance liquid chromatography, which is the first scientific report on the levels of vitamin B12 in edible insects [73]. The results showed that the vitamin B12 content of mealworm (Tenebrio molitor larvae), cricket (Gryllus assimilis), grasshopper (Locusta migratoria), and cockroach (Shelfordella lateralis) was 1.08 µg/100 g, 2.88 µg/100 g, 0.84 µg/100 g and 13.2 µg/100 g dry weight, respectively. These data suggest that vitamin B12 levels in insects do not appear to be high. However, some studies have shown relatively high levels of vitamin B12 in diving beetles and crickets, at approximately 89.5 and 65.8 µg/100 g dry weight, respectively [74]. House cricket is also considered a good source of B vitamins, such as thiamin, riboflavin, and folic acid, as they are found in abundance in house cricket [22,67]. Despite this, not all insects are rich in all types of vitamins and the vitamin content of insects is closely related to species, growing environment, food source, and developmental stage [75]. For example, Orthoptera and Coleoptera contain more folic acid than other insects [56]. In conclusion, edible insects may be rich in vitamins, but some species must be specifically selected to provide the required vitamins. It is also recommended to control the vitamin content of edible insects through feed. In Table 4, we list the vitamin composition and content of 12 insect species.
Table 4.
Vitamin composition and content of insects.
Insects are also good sources of minerals, especially iron and zinc, which may be of considerable nutritional importance [77]. Globally, micronutrient deficiencies continue to affect the health of 2 billion people, particularly iron, zinc and iodine deficiencies [78]. Micronutrient deficiencies are common in developing countries, especially among children and lactating women, with iron deficiency anemia, and iodine deficiency goiter being the main micronutrient deficiencies [79,80]. Table 5 summarises the mineral composition and content of 21 insects. Among the mineral species listed, it can be observed that the mineral composition and content of different insect species vary considerably, which may be related to the environment in which the insect is grown and the composition of its diet. However, Table 5 shows that minerals are present in insects, and in some insects, the levels of certain minerals are very high. Crickets (onjiri mammon) and termites (oyala and agoro), which are often used as food in Nigeria, are high in iron and zinc and relatively low in calcium, but insects still provide the calcium needed to meet the demand if they are used as the main food source [81]. A study assessed the mineral content of three edible cricket powders and found that 100 g of cricket powder could provide 14–22% of the recommended dietary nutrient supply of calcium. The cricket powder with the highest calcium content could contain 218 mg/100 g of calcium, which is comparable to the calcium content in foods such as tofu and salmon [15,82]. In addition, data from a study showed that grasshoppers, crickets, and mealworms contain much higher levels of chemically effective calcium, copper, magnesium, manganese, and zinc than beef brisket, with crickets, in particular, having a higher bioavailability of iron [83]. The above studies have shown that insects may be a good source of bioavailable iron. Nevertheless, insects are still rare as a source of micronutrients in the human diet. With more research on edible insects, they may become a major source of micronutrient intake for humans.
Table 5.
Mineral composition and content of selected insects.
2.5. Other Components
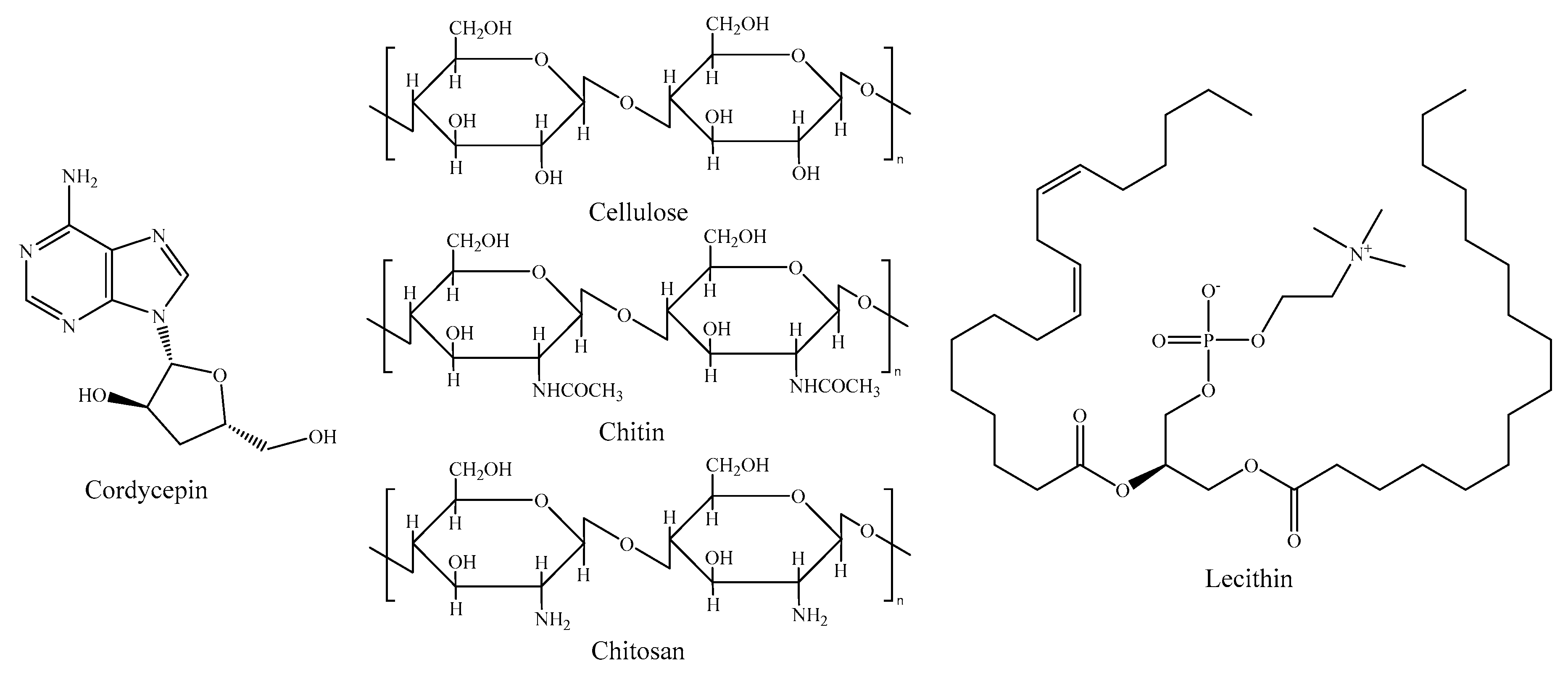
In addition to the above, some insects contain carotenoids such as b-carotene, lutein, and zeaxanthin [50]. In Acheta domestica, the b-carotene content was up to 2.72 mg/kg. Carbohydrates in insects are mainly found in the exoskeleton and glycogen in the body [84]. The exoskeleton of insects consists mainly of a polymer of N-acetyl-D-glucosamine, the main source of cellulose, chitin, and chitosan [85]. Tenebrio molitor dry matter chitin content can reach 137.2 mg/kg [86]. And large amounts of chitin can be used to produce bioactive chitosan [87]. Consequently, insects are viable as a new source of chitin and chitosan [88]. Although the carbohydrate content of insects is low, polysaccharides from insects are also biologically active, e.g., silkworm pupae polysaccharides have immunomodulatory properties [52]. In some specific insects, there are also metabolites with strong biological activity, such as cordycepin in the insect fungus Chrysomelium [89]. Interferons, sex-attracting hormones, steroids, and lecithin have also been found in insects [85]. The nutrient content of insects varies according to species, stage of development, sex, environment, food composition, and processing methods [19,54]. By choosing the right insect species and controlling their growth environment and food composition, humans can raise insect products that meet human nutritional needs. Figure 3 illustrated the chemical structure formulae of several insect components.
Figure 3.
Structure of cordycepin, cellulose, chitin, chitosan, and lecithin [85,90].
3. Biological Functions of Insect Active Ingredients
The active ingredients in edible insects have a variety of functional effects that are beneficial to human health. Broadly speaking, the effects of insects include tumor suppression, immunomodulation, antibacterial, antioxidant, anti-inflammatory, blood glucose and lipid regulation, blood pressure reduction, regulation of intestinal bacterial flora, and cardiovascular protection [15,91]. Table 6 summarized the functional effects of the insect active ingredients. The biological functions of insect active components and their probable mechanisms of activity are summarized in Figure 4. Here, we address several biological functions of insects in detail.
Table 6.
Biological functions of insect active ingredients.
Figure 4.
Biological functions of insect active ingredients and their potential mechanisms of action.
3.1. Anti-Cancer Effect
The anti-cancer effect is one of the most important effects of functional substances in insects and is therefore one of the most sought-after by researchers [85]. Many components of edible insects have anti-cancer activities. For example, active proteins, active peptides, trace elements, vitamins, chitosan, and other substances [13,161]. In vivo and in vitro studies have found that the active ingredients in the insects have inhibited cancers of the liver, stomach [96], colon [97], lung [93], breast [101], skin [161], and esophagus [162].
It is well known that the most characteristic feature of cancer is the abnormal proliferation and growth of cells in the body, and therefore the main function of most anti-cancer substances is to inhibit the abnormal proliferation and growth of cancer cells [163]. Some studies have shown that the active ingredients in insects have inhibitory effects on some cancer cell lines, such as human melanoma (SK-Mel-28) and primary pancreatic adenocarcinoma (Mia-PaCa-2) cells [92], NCI-H460 cells [93], B16F10 cells [94], human lung cancer A549 cell lines [95], human hepatoma cells [96], human colon cancer cells DLD-1 [97], human gastric cancer SGC-7901 cells [98], MGC-803 gastric cancer cells [99], U87-MG human glioblastoma cell lines [100], renal cell carcinoma cells [164], and breast cancer cells MCF-7 [101]. The anti-cancer functions of the insect active ingredients are summarized in Table 6, and their potential anti-cancer mechanisms of action are shown in Figure 5.
Among the many components with anticancer activity, protein-based substances are predominant. The anticancer activity of silkworm pupa proteins is outstanding. It was found that silkworm pupae protein hydrolysate could specifically inhibit the proliferation of human gastric cancer cells SGC-7901, induce apoptosis, and block the cell cycle in the S phase [98]. A selenium-rich amino acid from silkworm pupae significantly inhibited the viability of human hepatoma SMMC-7721 cells, induced changes in cell morphology and cycle, and caused apoptosis [96]. Recent studies have also shown that silkworm pupae proteins and their hydrolysates can inhibit the growth and reproduction of cancer cells and promote apoptosis by affecting the mitochondrial function of cancer cells and thus their energy metabolism [97,99]. The silkworm pupae protein also exerts anti-cancer effects by down-regulating the expression of IL-6, IL-1β, and TNF-α in human breast cancer cells, as well as causing biochemical changes in lipids, proteins, and nucleic acids [101]. Some active peptides from insects also show cytotoxicity against cancer cells, such as D-9-mer peptides from beetles [165], CopA3 peptides from Copris tripartitus [166], antimicrobial peptides based on insect defensin [167], and the antimicrobial peptide harmoniasin of ladybird beetles [168]. These anti-cancer peptides are highly efficacious, easily modified and synthesized, less resistant to target cells, and largely non-toxic to mammalian erythrocytes and macrophages [167,169,170]. In addition, a recombinant protein from amblyomma cajennense, amblyomin-X, was found to induce tumor cell death by regulating cell cycle-related genes and targeting the ubiquitin-proteasome system [92].
Figure 5.
Potential anti-cancer mechanisms of action of insect active ingredients [171].
Figure 5.
Potential anti-cancer mechanisms of action of insect active ingredients [171].

Bee venom has traditionally been used to treat rheumatism and skin diseases. However, numerous studies have found that bee venom can inhibit cancer cell growth by promoting apoptosis in prostate and ovarian cancer cells [172,173] and can also induce caspase-dependent and caspase-independent apoptotic cell death by activating the Ca2+-regulated intrinsic death pathway in human bladder cancer cells [174]. In addition, bee venom also inhibited lung cancer cell lines A549 and NCI-H460, and bee venom-induced apoptotic death in lung cancer cells by enhancing death receptor 3 expression and inhibiting the NF-κB pathway [93]. The main component of bee venom is melittin, which has a variety of biological effects [175], and a great deal of research has focused on the anti-tumor effects of melittin and its role in cancer treatment [176]. A review has discussed the use of bee toxins in cancer therapy. The article summarized the possible mechanisms of the anticancer effects of bee toxins, mainly through the induction of apoptosis, inhibition of tumor metastasis and invasion, arrest of the cell cycle, and blocking of angiogenesis [171].
Insect fats and sugars also have anticancer activity. It was found that mealworm larvae oil inhibited human hepatocellular carcinoma (HepG2) and colorectal adenocarcinoma (Caco-2) cells, with the potential anti-cancer mechanism being apoptosis via activation of the death receptor pathway for Caspase-8, -9, and -3 [177]. A polysaccharide-protein complex from Scolopendra subspinipes mutilans L. Koch was found to have anti-tumor activity in tumor-bearing mice. This polysaccharide-protein complex inhibits tumor growth in mice by downregulating the AA-metabolic pathway in TAMs [178]. It was also found that glycosaminoglycans from dung beetles could enhance the extracellular matrix by increasing TIMP-2 activity and adhesion activity to collagen, thereby inhibiting extracellular matrix changes and thus tumor cell invasion and progression [94].
Some secondary metabolites in insects also exhibit anticancer effects. Cordyceps cicadae are widely used in China for medicinal purposes. The compounds cordycepin, ergosterol peroxide, cordycecin, and beauvericins in crdyceps cicadae have been reported to have anticancer effects on a variety of cancer cell lines, and the ethanolic and aqueous extracts also have anticancer properties [179]. It has been shown that ergosterol peroxide in cordyceps cicadae inhibits renal cell carcinoma cells in vitro through a variety of mechanisms, including inhibition of cancer cell growth, migration, and invasion; inhibition of the cell cycle; weakening of β-catenin pathways, and triggering apoptosis [164].
The above studies show that insects are a viable source of anticancer active ingredients, whereby highly active, less toxic, and effective anti-tumor drugs can be developed, thereby promoting human health.
3.2. Antioxidant Activity
Oxygen is very important for animals and is essential for human cellular metabolic processes. However, reactive oxygen species (ROS), such as superoxide anions (O2−), hydrogen peroxide (H2O2), and hydroxyl radicals (•OH), produced during cellular metabolism can cause serious damage to cells if they accumulate in excess and reach high concentrations [180]. Oxidative stress is associated with many diseases such as cancer, heart disease, arthritis, and aging [181]. A variety of active ingredients in edible insects have been reported to possess antioxidant activity. It was found that extracts obtained from insects by different methods, hydrolysis products obtained using various enzymatic treatments, various peptides isolated and purified, and substances such as chitosan all had antioxidant activities of different intensities (Table 6).
A study examined the in vitro antioxidant activity of water- and fat-soluble extracts of 12 commercially available insects. The water-soluble extracts from grasshoppers, silkworms, and crickets were found to have the highest antioxidant activity, five times that of fresh orange juice, while the fat-soluble extracts from the silkworm, evening cicada, and African caterpillars had the highest antioxidant activity, up to twice that of olive oil [182]. Orange juice and olive oil are known to be functional foods that regulate antioxidant activity in the body due to their high antioxidant activity [183,184]. So, it is theoretically feasible to use insects to develop antioxidant-functional foods. The aqueous extract of housefly larvae prepared using the decoction method was reported to have significant antioxidant activity, with a DPPH radical scavenging activity of 75.4% at a level of 5 mg/mL [185]. In addition, the extracts obtained from Acheta domesticus and Tenebrio molitor using ultrasound-assisted extraction and pressurized liquid extraction also exhibited antioxidant activity. Using GC-MS characterization, it was found that the substances exhibiting antioxidant activity were mainly the total phenolic compounds in the extracts [186].
Currently, many studies have focused on the antioxidant activity of insect proteins or peptides. In vitro, antioxidant activity experiments were carried out using housefly larvae protein hydrolysis products obtained by albumin hydrolase and neutral protease enzymatic digestion. The results showed that both protein hydrolysates exhibited superoxide and hydroxyl radical scavenging activity and that their antioxidant activity was proportional to the concentration of the hydrolysate [187]. Another study prepared silkworm larvae protein hydrolysate using gastrointestinal enzymes, which also exhibited relatively high DPPH radical scavenging activity (IC50 = 57.91 µg/mL) and ferrous ion chelating ability (IC50 = 2.03 mg/mL) [188]. DPPH radical scavenging experiments on male silkworm hydrolysate peptides revealed that peptides with molecular weights greater than 30 kDa were the main components with antioxidant functions and that this fraction of insect peptides had good stability, with antioxidant activity remaining at 80% after simulated gastrointestinal digestion [189]. Similarly, the hydrolysis of whole crickets using calcineurin not only reduces the allergenicity of cricket proteins, but the resulting bioactive peptides also have antioxidant activity. The active peptide was found to have maximum bioactivity potential at 60–85% hydrolysis [190]. A peptide fraction from a cricket (Gryllodes sigillatus) hydrolysis product showed outstanding antioxidant potential with a semi-inhibitory concentration of 10.9 µg/mL for DPPH radical scavenging activity [191]. In addition, a potent antioxidant peptide purified from a weaver ant (Oecophylla smaragdina) with a CTKKHKPNC sequence had a semi-inhibitory concentration of 48.2 µmol/L for DPPH and 38.4 µmol/L for ABTS [192].
In addition to the above components, insect chitosan is also a good source of antioxidant active substances. Chitosan isolated from housefly larvae (Musca domestica) has a strong scavenging capacity for DPPH free radicals, as well as an effective reducing capacity and a strong chelating capacity for ferrous ions, and its DPPH free radical scavenging capacity is stronger than that of ascorbic acid, with a semi-inhibitory concentration of approximately 0.373 mg/mL [193]. Another study showed that chitosan from blowfly larvae (Chrysomya megacephala) exhibited good antioxidant activity with a semi-inhibitory concentration of about 1.2 mg/mL of DPPH radical scavenging activity, and the molecular weight of this chitosan (501 kDa) was significantly lower than that of commercial chitosan (989 kDa) [194].
A recently published article reviews the main findings on the antioxidant properties of edible insects. This article summarized the relationship of edible insects to oxidative stress in various in vitro and cellular models as well as in animal studies, and illustrated the feasibility of developing antioxidant-enabled products from edible insects [195]. However, much of this work has been carried out in vitro and in animal models, and clinical trials are needed to support the antioxidant properties of insect products for human health.
3.3. Antibacterial Activity and Effect on Intestinal Microorganisms
Insects have a variety of substances with antibacterial activity, including insect proteins and peptides, insect oils, chitosan, and chitin, among which the most representative are antibacterial peptides. Since the first discovery of insect antimicrobial peptides in Hyalophora cecropia in 1980, more than 150 species have been identified [196]. Antimicrobial peptides are generally a class of peptides produced by a variety of species, such as insects, other animals, microorganisms, etc. They have short peptide chains, are heat stable, and have no drug sensitivity or effect on eukaryotic cells [197]. It has been shown that antimicrobial peptides can exert a range of antimicrobial activities by isolating key growth nutrients, permeabilizing bacterial membranes, and other related mechanisms [198]. Antimicrobial peptides are diverse, can be found in all organisms, and interact with intestinal microorganisms [199]. Figure 6 depicted the antimicrobial activity of insect active compounds, as well as their influence on intestinal bacteria and the advantages of the action effect.
Figure 6.
The antimicrobial activity of insect active substances and their effects on intestinal bacteria, as well as the advantages of action effect.
A wide variety of antimicrobial peptides have been obtained from insects, and many studies have purified and identified antimicrobial peptides from insects and verified their antimicrobial activity. For example, papain peptides isolated from swallowtail butterflies (Papilio xuthus) have broad activity against fungal, gram-positive, and gram-negative bacteria and no hemolytic activity against human red blood cells [200]. Antimicrobial peptides purified from the plasma of silkworm (Bombyx mori) larvae were found to have a significant growth inhibitory effect on different Gram-positive and Gram-negative strains of bacteria, which led to the use of antimicrobial peptides from silkworm larvae as an alternative to antibiotic treatment in this study [201]. Eight peptides purified from the lymphatic blood of the greater wax moth (Galleria mellonella) were also examined for their antibacterial activity. These peptides were found to have antibacterial activity against gram-negative and gram-positive bacteria, yeasts, and filamentous fungi, with the defensin-like peptide being the most effective, inhibiting the growth of sensitive bacteria at a concentration of 1.9 µM [202]. In another study, royalisin (a 5.5-kDa antimicrobial peptide) isolated from royal jelly showed antimicrobial activity against fungi, gram-negative and gram-positive bacteria, and its antimicrobial activity was found to be related to the disulfide bond in the peptide [107]. In particular, a novel antimicrobial peptide (amino acid composition Gly-Gly-Gly-Gly-Gly-His-Leu-Val-Ala) from tasar silkworm (Antheraea mylitta) was effective in killing urinary tract-associated MDR E. coli. The antimicrobial peptide interacts with the lipid fatty chain of the 1-palmitoyl-2-oleoyl-phosphoethanolamine bilayer for bacterial inhibition and is non-antigenic and has no effect on erythrocyte membranes [110]. Interestingly, the simultaneous action of different antimicrobial peptides from insects can enhance the antimicrobial effect of the antimicrobial peptides, thus allowing a better antimicrobial effect to be achieved with a smaller amount of antimicrobial peptide use. Further studies have shown that this interaction through the combination of antimicrobial peptides can be used to treat gram-negative bacterial pathogens that have become resistant to common antibiotics [203]. In addition, chitin and chitosan from silkworm pupae [108], chitin from cockroaches [102], secretions from forest caterpillars (Calosoma sycophanta) [106], defensins from insects [204], and silkworm pupa oil and silk [105,205] also have antimicrobial activity.
Previously, there was no evidence directly demonstrating the relationship between insect antimicrobial peptides and gut microbes, but the community structure of gut bacteria is closely related to the structure of the diet. Several studies in recent years have gradually identified the effects of insect consumption on the gut flora. Studies in animals have found that insect consumption can influence the community structure and biodiversity of gut microbes in some animals. An experiment using rats has shown that feeding insect protein to rats instead of meat can affect endogenous metabolism by altering the diversity of the gut microbiota [206]. Similarly, the addition of silkworm pupa oil to sheep feed can alter the relative abundance of sheep intestinal bacteria, thereby reducing sheep intestinal methane emissions and increasing sheep body weight [205]. In addition, feeding black soldier flies (Hermetia illucens) to rainbow trout and laying hens also altered the structure of the intestinal flora and species abundance [151,152]. In addition, experiments on humans have been reported. One study used a double-blind, randomized crossover trial to investigate the effects of edible cricket intake on the gut microbiota of healthy adults. The results found a 5.7-fold increase in intestinal probiotics (bifidobacteria) in participants who consumed cricket powder, and it was also hypothesized that cricket powder could improve gut health and reduce inflammation in the body [153]. In another study, the effect of Tenebrio molitor flour on human intestinal flora was investigated in an in vitro digestive simulation model [207]. Tenebrio molitor flour was found to promote the growth of Bacteroidaceae and Prevotellaceae and the production of short-chain fatty acids in the intestine, which are closely related to the metabolism of substances in the human body.
3.4. Anti-Inflammatory Activity
The inflammatory response is the body’s protective behavior in response to abnormalities in the body caused by external or internal adverse factors, and it has been revealed that the inflammatory response is involved in a wide range of biological processes in the organism [208]. The presence of components with anti-inflammatory activity in some edible insects was found, and the anti-inflammatory function of edible insects is closely related to other active functions [209].
Firstly, most of the substances with anti-inflammatory activity in insects are protein-based. For example, hydrolyzed peptides obtained by heat treatment from three edible insects (Gryllodes sigillatus, Tenebrio molitor, Schistocerca gragaria) all exhibited anti-inflammatory properties, with the peptides from Gryllodes sigillatus showing strong lipoxygenase (LOX) and cyclooxygenase-2 (COX-2) inhibitory activities (semi-inhibitory concentration values of 0.13 and 0.26 µg/mL, respectively) [125]. In another study, the anti-inflammatory activity of peptide fractions from edible insects was also characterized by their inhibitory activity against LOX and COX-2, and peptide fractions from Tenebrio molitor, Schistocerca gregaria, and Gryllodes sigillatus were found to be effective in inhibiting the activity of LOX and COX-2. The peptides from Schistocerca gregaria showed the most significant inhibitory effect (semi-inhibitory concentrations of 3.13 µg/mL and 5.05 µg/mL respectively) [191]. Both studies found that heat treatment enhanced the activity of these insect antioxidant peptides. In addition, insect peptides obtained using enzymatic digestion also exhibited anti-inflammatory activity. The anti-inflammatory activity of three edible insects (Tenebrio molitor, Gryllus bimaculatus, Bombyx mori) hydrolysates assessed by macrophage production of nitric oxide found that Bombyx mori hydrolysates exhibited significant anti-inflammatory activity regardless of the hydrolysis method used [210]. In cellular assays, some insect active ingredients have also shown anti-inflammatory activity. For example, it was found that the venom of the ectoparasitoid wasp (Nasonia vitripennis) has anti-inflammatory effects on mammalian cell lines and that its mechanism of action is through the inhibition of NF-κB signaling in mammalian cells, which in turn affects the expression of inflammation-associated and immune-associated factors [124]. Another study also evaluated the anti-inflammatory activity of hemolymph from Lycorma delicatula in lipopolysaccharide-induced RAW264.7 cells and indicated its feasibility as a preventive measure against inflammatory damage in skin tissues [211].
In addition to this, in vivo studies have also shown that peptides, sugars, and other substances from insects have anti-inflammatory activity. A study has investigated the anti-inflammatory effects of glycosaminoglycans from crickets (Gryllus bimaculatus) using a rat model of chronic arthritis. It was found that this glycosaminoglycan exerted anti-inflammatory effects through modulation of pro-inflammatory cytokines and improvement of histological pathology, with anti-inflammatory effects comparable to those of anti-inflammatory drugs [120]. In addition, the protein extract of housefly maggots (Musca domestica) was found to be effective in inhibiting various pro-inflammatory responses in experimental atherosclerotic lesions in vivo, and also inhibited lipopolysaccharide-induced expression of TNF-α, IL-1α, and MCP-1 in macrophages in vitro [121]. In China, an edible black ant (Polyrhachis dives) is known for its kidney-protective and anti-inflammatory properties. Thirteen non-peptide nitrogenous compounds were isolated from the black ant using ethanol extraction and chromatographic separation, and biological studies have shown that some of these compounds have good anti-inflammatory and immunosuppressive activity [123].
A recently published review discusses the effects of bioactive components from different edible insects on inflammation and its associated complications (colitis and arthritis) and cancer [209]. It was concluded that the use of insect-active ingredients as drug molecules for the treatment of various inflammation-related diseases is promising. In the meantime, however, the toxicological characteristics and targets of these active substances need to be further elucidated to develop functional foods or pharmaceuticals with beneficial effects on human health in the near future.
3.5. Regulation of Blood Lipids and Blood Glucose as Well as Anti-Obesity and Anti-Diabetic Activity
Blood glucose and blood lipids are two important health-related indicators of blood, and high or low blood glucose and lipids can directly affect the normal metabolism of the body and the development of various diseases, such as obesity and diabetes [212]. According to statistics, various health problems caused by obesity and diabetes have become major contributors to human mortality worldwide (WHO, 2000). The prevalence of type 2 diabetes is increasing every year, while obesity has also been found to contribute to the development of diabetes [213]. Excitingly, peptides have been discovered and used as potential therapeutic agents for diabetes and obesity [214]. As a consequence, researchers are actively investigating the active substances in edible insects that regulate blood lipids and blood glucose, and in this way, they are exploring and developing functional substances with anti-obesity and anti-diabetic activity.
Some substances from insects have been found to have a regulatory effect on lipid metabolism and blood lipid levels in the body, which in turn has an anti-obesity effect. These include Tenebrio molitor larvae [215], Allomyrina dichotoma larvae [216,217], chitooligosaccharides from Clanis bilineata [218], glycosaminoglycans from crickets (Gryllus bimaculatus) [130], and silkworm pupae powder and pupae polypeptides [132,134]. In vivo studies of ethanol extracts from Tenebrio molitor larvae found that they reduced lipid accumulation and triglyceride levels in mature adipocytes and induced phosphorylation of adenosine monophosphate (AMP)-activated protein kinase and mitogen-activated protein kinase, leading to weight loss in obese mice [215]. The anti-obesity effects of Allomyrina dichotoma larvae extracts have been studied relatively extensively. In vitro studies using 3T3-L1 cells revealed that Allomyrina dichotoma larval extracts could inhibit adipogenesis in 3T3-L1 cells through a potential mechanism of action by downregulating the expression levels of mRNA and related proteins [217]. In vivo studies found that Allomyrina dichotoma larvae extract reduced serum levels of oil triglycerides and leptin in obese mice and reduced weight gain, organ weight, and adipose tissue volume in a dose-dependent manner [216]. Glycoconjugates from edible insects exhibit similar hypolipidemic effects. The chitooligosaccharides from Clanis bilineata were reported to have significant hypolipidemic effects in rats, as evidenced by the reduction in plasma triacylglycerol (TG), total cholesterol (TC), and plasma low-density lipoprotein cholesterol (LDL-C) levels [218]. Similarly, glycosaminoglycans from Gryllus bimaculatus can affect serum levels of phospholipids, cholesterol, and glucose in rats by regulating genes related to lipid metabolism [130]. A recently published review has illustrated that the active substances in silkworm pupae have a variety of biological functions, which highlights the hypolipidemic effects of the active components of silkworm pupae [219]. Silkworm pupa powder and silkworm chrysalis peptides can exert hypolipidemic effects by regulating the body’s lipid metabolic processes and by inhibiting fat formation in preadipocytes, and by reducing lipid accumulation and adipocyte size to improve obesity [132,134].
The regulation of blood glucose is usually related to insulin levels, dipeptidyl peptidase 4 (DPP-IV) activity, and glucose transporter (GLUT) levels in the body [220]. Several studies have found that whole crickets (Gryllodes sigillatus) [190], lesser mealworm (A. diaperinus) protein [221], and water extract of housefly larvae (Musca domestica) [185] have inhibitory activity against DPP-IV. In particular, water extract of housefly larvae showed semi-inhibitory concentrations of up to 3.52 mg/mL against DPP-IV. In addition, studies using a mouse 3T3-L1 adipocyte cell line found that fibrin hydrolysate from silkworms accelerated glucose metabolism and glycogen conversion in cells and increased GLUT 1 on the cell surface while enhancing translocation of GLUT4 [133]. Another study showed that silk protein hydrolysate increased glucose uptake through the upregulation of GLUT 4 and reduced fat accumulation through the upregulation of leptin [131]. The ethanolic extract from Oxya Chinensis Sinuosa also slows carbohydrate digestion and glucose absorption by inhibiting the activity of carbohydrate digestive enzymes, thereby reducing postprandial hyperglycemia caused by dietary carbohydrates [222].
The above research gives us a strong reminder of the promise of developing drugs with lipid and blood glucose modulating properties through the use of edible insects, which could be a boon to diabetics and obese people.
3.6. Hypotensive Effect
Hypertension increases the risk of cardiovascular disease and is more common in the elderly and obese people. In the body, the angiotensin-converting enzyme (ACE) is a key enzyme in the regulation of blood pressure. It catalyzes the hydrolysis of angiotensin I to the vasoconstrictor angiotensin II, which leads to vasoconstriction and consequently increases blood pressure [223]. And studies have found that the various synthetic ACE inhibitors used in pharmaceuticals can cause serious side effects [224]. The search for natural ACE inhibitors is therefore essential. Studies on the hypotensive function of edible insects and their components have also focused on ACE inhibition.
The presence of hydrolysis products and peptides with hypotensive activity in the larvae or pupae of silkworms has been reported in the literature [136,225]. For instance, hydrolysates of silkworm larvae prepared by gastrointestinal enzymes showed strong ACE inhibition in vitro with an IC50 of 8.3 µg/mL [188]. The fractions in the hydrolysate of silkworm pupae protein produced using acid protease also had ACE inhibitory effects, with albumin being the most potent inhibitor [226]. A peptide hydrolysate of silkworm pupae with a molecular weight of less than 5000 Da prepared by ultrafiltration not only exhibited ACE inhibitory activity in vitro, but also reduced systolic blood pressure in spontaneously hypertensive rats in a dose-dependent manner, and did not affect blood pressure in normal rats [135]. In addition, the enzymatic products obtained from the hydrolysis of cotton leafworm (Spodoptera littoralis) by pepsin, trypsin, and a-chymotrypsin all showed strong ACE inhibitory activity [227,228]. In addition, the enzymatic peptide from Gryllodes sigillatus, Oecophylla smaragdina, also has the function of inhibiting ACE activity in vitro [190,192]. These edible insect active components’ ACE inhibitory effect suggests that edible insects are a potential source of active ingredients for blood pressure-lowering medications. Moreover, given that they are natural, these compounds may be safer for people.
3.7. Immunomodulatory Effects
Because of the immunological complexes in their bodies, insects have robust immune systems [229]. In addition, the majority of insects are protein-rich, and certain active peptides produced during protein hydrolysis have immunomodulatory properties [230]. Insect active ingredients have been demonstrated to have immunomodulatory effects [122]. For instance, a novel active peptide with the amino acid sequence Asp-His-Ala-Val was extracted from silkworm larvae and was found to have immunomodulatory effects by inducing the production of immune-related proteins. Its molecular weight is 441.06 Da. The relevant immune-related factors include IL-6, IL-12, NF-κB, cyclin D1, and cell cycle protein-dependent kinase 4 [128]. Additionally, a peptide from the blow fly Calliphora vicina known as alloferon was discovered to stimulate natural killer lymphocytes in vitro experiments. Alloferon was then discovered to have antiviral and anti-tumor properties in vivo experiments in mice, and these effects are probably related to the immune system in mice [119]. In addition to this, bee venom phospholipase A2 can induce T-helper type 2 cell type responses and group 2 innate lymphoid cell activation via enzymatic cleavage of membrane phospholipids and IL-33, suggesting that bee venom can stimulate and activate the innate immune system in mice [126]. Similarly, a polysaccharide from the silkworm was shown to activate the innate immunity of RAW264 cells and penaeid prawns, and in vivo experiments demonstrated that activation of innate immunity was effective in preventing vibriosis in prawns [127]. The immune system is implicated in many human diseases and the immunomodulatory effects of edible insects may be a route of action for other active functions [230].
3.8. Angiogenesis Inhibition
Angiogenesis is a complex process involving multiple cells and multiple molecules and is relevant to the development and treatment of many diseases in the human body, for example, tumor therapy [231], renal disease [232], cardiovascular disease [233], etc. A study used vascular endothelial growth factor (VEGF) to induce angiogenesis in human umbilical vein endothelial cells and four bee products to study their inhibitory effect on angiogenesis. The outcomes demonstrated a potent inhibitory impact of Chinese red propolis and caffeic acid phenethyl ester on VEGF-induced angiogenesis [139]. A troponin I-like molecule from Haemaphysalis longicornis, is considered to be a potent inhibitor of angiogenesis. This is due to its ability to significantly inhibit capillary formation in human vascular endothelial cells (HUVEC) in vitro at a semi-inhibitory concentration of 18.95 nM [137]. Similarly, haemangin from emaphysalis longicornis can disrupt angiogenesis and wound healing by inhibiting vascular endothelial cell proliferation and inducing apoptosis [141]. The information above may suggest that the consumption of insects may have the potential for the prevention and treatment of angiogenesis-related human diseases. However, substances from insects with angiogenesis-inhibiting effects appear to be mostly components of insect venom, and therefore the safety of these active substances is something that should be considered first in the future if applied to the treatment of human diseases.
3.9. The Therapeutic Effects of Several Common Diseases
The consumption of insects has been found to have a therapeutic or ameliorative effect on several common diseases. Figure 7 shows the therapeutic effects of edible insects on several ailments.
Figure 7.
Therapeutic effects of edible insects on several common diseases.
3.9.1. Alzheimer’s Disease (AD) Therapy Effects
It was shown that giving silkworm pupa powder to adult male AD rat models dramatically lessened memory loss and decreased hippocampus neuronal density. By improving cholinergic function and exerting neuroprotective benefits by decreasing oxidative stress in rats, the drug’s possible mechanism of action is to improve cognitive performance [156]. Additionally, a study that used silkworm pupae to create an AD vaccine was discovered to enhance memory and cognitive function in AD mice in an in vivo investigation [157]. This implies that silkworm pupae may one day be used in medicine as an ingestible insect for treating AD.
3.9.2. Therapeutic Effects of Parkinson’s Disease (PD)
A study evaluated the anti-inflammatory effects of bee venom in a 1-methyl-4phenyl-1,2,3,6-tetrahydropyridine (MPTP)-induced PD mouse model. Bee venom was found to be neuroprotective, attenuating the activation of microglial cell responses and reducing neuroinflammation in a model of MPTP-induced Parkinson’s disease [234]. In addition, bee venom was found to inhibit Jun activation, thus effectively protecting dopaminergic neurons from the toxicity of MPTP [235]. Further research has revealed that apamin, a component of bee venom, can mimic the protective effect of bee venom treatment on dopaminergic neurons, and in vivo experiments have shown that apamin, together with other components, can enhance this protective effect and work together to improve PD [155]. The findings of these studies have important implications for the treatment of PD and can also suggest that insect components have a functional role in the treatment of PD.
3.9.3. The Therapeutic Effect of Gastric Ulcers
Protective effect of silkworm pupa oil against hydrochloric acid/ethanol-induced gastric ulcers. Firstly, silkworm pupa oil reduced gastric ulcer area and gastric secretion and increased gastric pH. Secondly, it increased serum SOD, CAT, GSH-Px, SST, and VIP levels and reduced IL-6, IL-12, TNF-α, IFN-γ, MTL, and GT levels. In conclusion, the treatment of silkworm pupae oil can protect against gastric ulcers by reducing oxidative damage and inflammation in mice [159] α.
3.9.4. Therapeutic Effects of Atherosclerosis
The active ingredients of silkworm larvae and pupae can be used to treat many cardiac and neurological disorders. Results of studies using silkworm pupae extracts on their effects on hyperlipidemia and atherosclerosis found a significant reduction in hyperlipidemia in the treatment group and a reduction in the size of atherosclerotic plaques on histopathology. The study concluded that the therapeutic effect of silkworm pupae extract on atherosclerosis may be due to its antioxidant and hypolipidemic functional effects [117].
3.9.5. Anti-HIV
AIDS, caused by the Human Immunodeficiency Virus (HIV), has always been a serious health risk. However, there is still no vaccine available to control and prevent HIV. Nevertheless, some studies have shown that active ingredients from honeybees and scorpions may have inhibitory effects on HIV. For example, the uptake of bee venom peptides by HIV-infected cells resulted in a reduction in HIV gene expression and replication. Limiting HIV replication has a positive effect in the fight against AIDS and this may help in the treatment of AIDS [154].
3.9.6. Therapeutic Effects of External Trauma
Honey has long been used as a healing remedy for wounds, burns, and ulcers [145]. The results of randomized clinical trials have shown that honey can be used as a wound healing agent because of its antibacterial activity to protect wounds from infection, its anti-inflammatory activity to reduce wound edema, and its ability to stimulate the growth of granulation and epithelial tissue, thereby accelerating wound healing [236]. Another study also found that royal jelly protein 1 in honey promoted an increase in cytokines (TNF-α, IL-1β, and TGF-β) and metalloproteinase-9 (MMP-9) in human keratin-forming cells. This suggests that honey activates keratinocytes, demonstrating its ability to accelerate wound healing [146].
3.10. Other Functions
In addition to the functional effects described above, some other functional activities have been reported for insects and their active ingredients. For example, some insects with high protein content, including silkworms, can be used as anti-fatigue agents to improve muscle strength in humans or animals after exercise [148,149]. Exercise supplements can be developed accordingly to improve fatigue from exercise [15]. Fermented cricket powder has been found to promote hair growth. As a hair growth promoter, fermented cricket powder may be a promising remedy for hair loss [160]. Other functions of insect consumption include improvement of facial skin wrinkles [150], reduction in liver damage [116], alcohol detoxification [158], anti-apoptotic effects [142], and anti-genotoxic effects [144]. In addition to this, some of the functional substances in edible insects are also known to be anti-radiation, improve osteoporosis, improve anemia and improve memory [237]. The functions of the insects and their active ingredients are summarised in detail in Table 6.
4. Factors to Consider in the Consumption of Edible Insects
Human use of insects as food has become commonplace, with nearly two billion people worldwide using insects as food [238]. The use of insects to develop drugs for human diseases is still challenging, but solutions are gradually being sought [13]. Many studies have now shown that insects are feasible for use as medicines in the treatment of diseases [12,239,240]. Although edible insects serve many useful purposes, their potential safety and other potential negative effects must be carefully evaluated whether utilized as food or medication.
4.1. Acceptance of Insects
The first is consumer acceptance of insect food, which is the first thing that determines whether consumers accept insect food or not [241]. However, for Westerners, there seems to be a reluctance to try eating insects. Despite the availability of insect delicacies in some restaurants, most consumers are still reluctant to eat insects [242]. The study found that the two main barriers to insect consumption for European consumers are food neophobia and disgust [242,243]. People with food neophobia may accept the consumption of insect food in the future, but attitudes towards insect food among people with an aversion to it will be difficult to change. Men, according to studies, are more responsive to insect goods than women, and young individuals are less adverse to consuming insects than older ones [244]. In response to the foregoing, it was proposed that to increase the acceptability of insect food, the flavor, texture, and appearance of edible insects may be altered to fit the demands of different groups of people, hence lowering aversion to edible insects in certain groups [243]. Figure 8 shows the various opinions about edible insects as food.
Figure 8.
Different attitudes towards edible insects as food.
4.2. The Difference between Wild and Farmed Insects
Edible insects were mostly wild in earlier times, and ancient humans were very limited in raising and eating them. Only a few insect species were raised by humans for long periods of time and could be used for food, such as Apis mellifera and Bombyx mori [245]. Due to the curiosity about wild foods, many people believe that wild insects are more nutritious and have better health benefits. But this is not necessarily the case. Termites are an insect used as food in Africa and North Gondwana, Asia, and some studies have found that the difference in minerals between wild harvested termites and commercially available termites is significant [246]. The data showed that the amount of manganese in wild termites was 50–100 times higher than the concentration detected in other insects. From a safety point of view, wild insects may have excessive levels of heavy metals due to the complex and harsh growing environment [247]. This is not good for insects as a food source. In addition to this, wild harvested edible insects are very susceptible to contamination by pesticides and other chemicals [248]. Edible insects can thus accumulate harmful pesticide residues in their bodies, either for human use or as animal feed, which poses a significant safety challenge for edible insects. In contrast, edible insects raised under artificially managed indoor conditions can ensure their safety as food or feed. In terms of nutrient content, the nutritional content of field-harvested and farm-harvested insects of the same species is different [39]. For wild insects, the variety and distribution of nutrients is broad and balanced in quantity, which is related to their more complex food sources in the wild. For farmed insects, human intervention and the insect’s relatively homogeneous food source can result in particularly high levels of one of the nutrients of particular interest. This is because farmed insects are fed specially formulated foods. For example, fish oil or Perilla Seed is added [25,26].
From the point of view of health for humans and animals, farmed harvested insects seem to be healthier due to the lower safety issues associated with farmed insects. However, we cannot treat this issue in a one-sided manner. Some studies have reported that the high levels of mineral elements (such as iron and zinc) in certain wild insects can be beneficial for patients with micronutrient deficiencies [81,249]. The fatty acid composition and oil content of insects from wild-caught and farm-raised sources are also different [250]. Thus, both wild and farmed insects have their own pros and cons. For wild-harvested insects, we cannot control the environment and food sources, nor can we completely eliminate the potential safety issues. Conversely, for farmed insects, we can artificially alter the nutritional diversity of wild insects to better meet human needs for nutrient variety and content, as well as to better promote human health. Perhaps this purpose can be achieved by increasing the diversity of food sources for farmed insects. This brings us to the question of strategies to improve the nutrition of farmed insects.
4.3. Novel Strategies for Farming Insects
Killing insects from their natural environment is considered irrational, a destruction of natural resources, and has many limiting factors. For this reason, large-scale farming of edible insects is a reasonable and viable option [251]. The purpose of human insect farming is to make edible insects better able to meet human needs for nutrition and health. To this end, humans will develop and improve new strategies for farming insects whenever possible. Simply put, healthier and more productive edible insects are farmed by improving the environment in which they are farmed and by enriching their food sources [25,252]. Since the nutritional value of insects is mainly determined by the type of insect, the food source of the insect and the production and processing method, it is possible to develop highly nutritious cultured insects from these three perspectives [19].
First, insects raised on a large scale need to have obvious advantages, such as fast growth, abundant sources of feed, high reproductive capacity, high nutritional value, and adaptability [253,254]. In addition to this, the insects used for breeding and for food purposes must be safe and non-toxic for humans. Insects such as yellow mealworms, silkworms, palm weevils, and crickets are good species of insects that can be farmed on a large scale. Nowadays, insect species that can consume waste are more popular among humans. Examples include Tenebrio molitor, Acheta domesticus, and Cockroaches [255,256]. These insects can effectively transform various types of waste biomass, thus converting waste from the food production process into high-value insect nutrients. This in turn reduces the cost of insect production and waste of waste food [257]. As for the food source of insects, what must be considered is whether the supply can be sustained, the form of supply, whether it is safe and sanitary, and whether it meets the legal requirements [258,259]. Secondly, the nutritional factor has to be taken into account. This is because people breed insects to obtain highly nutritious food. Sometimes, insects can be supplemented with specific food components in order to enhance certain nutrients in their bodies to achieve the goal. For instance, giving a diet rich in linseed oil to three insects, house crickets (Acheta domesticus), lesser mealworms (Alphitobius diaperinus) and black soldier flies (Hermetia illucens), significantly increased the alpha-linolenic acid content in the insects. The results showed that diets supplemented with 4% linseed oil increased n-3 fatty acid content by 10–20 times in all three species [260]. The way insects are processed and produced is the last step that affects their nutritional value. Regardless of the method used to process insects, it is a basic requirement to ensure that the insects do not lose their nutrients and that the insects’ active ingredients are not inactivated. The influence of the processing method on the nutritional composition and biological activity of edible insects will be described below.
Today, the farming of edible insects has become a new industry in some regions, for example, the rapid development of insect farming in East Africa has led to some profitable businesses [261]. Crickets have also been factory farmed and processed in Asian and Western countries. Companies in North America and Europe are already marketing crickets as packaged food [262]. The development of technology has given new forms of insect farming. A recently published article analyzed the feasibility of using insect cells to produce insect products [263]. This is certainly a brand-new strategy for insect farming.
4.4. Sustainability of Edible Insects
Insects consumed by humans need to consider their sustainability in many aspects, such as ecological sustainability, sustainability of sources, sustainability of consumption, etc. [264]. Insect farming has advantages over traditional farming as a sustainable food source. For example, less demand for land and water; lower greenhouse gas emissions; high feed conversion efficiency and abundant food sources [265]. The sustainability of farmed insects for food and feed requires a life cycle assessment of them. In fact, choosing the right method for insect farming is not only beneficial to the environment, but can also lead to sustainable production [266]. Based on standardized life cycle assessment methods [267,268], life cycle assessment of the production and processing of cultured insects can be divided into three main stages. The first is the raw material needed to produce the insects. The second is the pretreatment of harvested insects, including harvesting, sterilization, drying, defatting, and grinding. The third is the additional processing used to produce food [266]. Although difficulties and challenges remain for the sustainability of the industrialization of edible insects, numerous studies and the large-scale farming and consumption of insects worldwide suggest that the industrialization of edible insects will further contribute to their sustainability and the expansion of production [269].
4.5. The Safety of Edible Insects
The market for edible insects is gradually expanding, which poses a great challenge to the quality control and safety of edible insects [39]. Potential safety issues for edible insects include allergic reactions, contamination with pathogenic microorganisms, pesticide residues, excessive levels of heavy metals, parasites and harmful toxins [270,271,272].
4.5.1. Allergic Reactions
Insect allergy, like other food allergies, is the most serious safety concern for many insect eaters [271]. According to statistics, the World Health Organization has identified 239 possible allergens from arthropods, with grasshoppers and locusts accounting for the majority of these allergens [273]. The majority of insect allergens are proteins, such as hyaluronidase, phospholipase A, microtubulin, arginine kinase, and proto-myosin [271,273]. Breathing difficulties, asthma, redness, gastrointestinal issues, itching, tachycardia, hives, and, in severe situations, fainting are all indications of insect allergies [274]. According to some research, ingesting insects can cause allergic reactions comparable to those seen with seafood. For example, Gryllus bimaculatus and shrimp are cross-allergenic, presumably due to the presence of an allergen termed proto-myosin in both [275]. As a result, the exploitation of edible insects necessitates additional research on insect allergies, particularly the allergenicity of insect proteins and the potential for allergen transmission, in order to better safeguard insect food [276].
It’s comforting to know that allergens in edible insects can be processed in a variety of methods to lessen Allergenicity. Heat treatment is known to impact the allergenicity of proteins, but it does not necessarily eradicate the allergenicity of protein-based allergens entirely [277]. Furthermore, allergen sensitivity reduction via fermentation and hydrolysis appears to be quite beneficial [278]. Acidic and alkaline protease digestion and heat treatment, for example, were found to significantly reduce the allergenicity of protein-like substances in Acheta domesticus, Schistocerca gregaria, and Tenebrio molitor, with the desert locust Schistocerca gregaria exhibiting almost complete immunoreactivity after treatment [279]. In a study evaluating the allergenicity of Acheta domesticus crickets, it was discovered that proto-myosin in roasted insects was very stable and not easily hydrolyzed. Furthermore, Acheta domesticus’s cross-reactivity with crustaceans allows for allergic reactions comparable to those seen in fish and shrimp when Acheta domesticus proteins are consumed [280]. The researchers discovered that after treating the cricket Gryllodes sigillatus with alkaline protease and gastrointestinal protease, the protein hydrolysates obtained were not only highly active but that the hydrolysates at 60–85% hydrolysis were the least reactive towards proto-myosin [190]. According to the findings of the preceding investigations, adequate food processing methods are most likely to diminish the cross-reactivity and allergenicity of edible insects. As a result, whether employing insects as food or medication, proper processing processes should be used to eliminate allergenicity. Simultaneously, special consideration should be given to the fact that insects should be evaluated and studied in the manner in which they are employed and ingested. This will not only increase the safety of edible insect use but will also help the edible insect industry grow.
4.5.2. Contamination by Pathogenic Microorganisms
Insects may also carry diseases that can be passed to people. The risk of zoonotic disease transmission through edible insects, on the other hand, is typically regarded as negligible [276]. This is because most insects consumed by humans and animals feed on plants and do not act as direct carriers of infections. Most insect-specific microorganisms do not pose a threat to humans [276,281].
But viruses are different from ordinary microorganisms, and unknowingly ingesting insects with viruses in excess may threaten human health. One study found that more than 70 virus species have been detected in edible insects, 36 of which can cause insect death or human disease [259]. At present, virus infection of edible insects cannot be completely eliminated, so preventive measures are the only useful method [259]. In addition, many potentially pathogenic human bacteria are present in insects. For example, Vibrio, Streptococcus, Staphylococcus, and Clostridium are present in edible insects sold in the EU [282]. Moreover, cases of microbial food-borne infections and poisoning caused by the consumption of insects have been reported [283].
4.5.3. Pesticide Residues
For insects raised in captivity, pesticide residues are not a potential threat to insect safety. However, the opposite is true for food insects harvested in the wild. Because insects in the wild are not under human control, they can more easily ingest food sprayed with pesticides, which in turn leads to enrichment of pesticide residues in the insects. For example, pesticide residues and enrichment have been found in yellow mealworms, which are often consumed by humans [284,285]. Therefore, safe and controllable cultured edible insects can avoid the risk of pesticide residues to human health.
4.5.4. Heavy Metal Content Exceeds the Standard
It is well known that the intake of foods containing excessive amounts of heavy metals can seriously affect the health of humans and animals [286]. The accumulation of heavy metals in edible insects is also a potential safety concern for field-harvested insects. The levels of heavy metals in insects are related to the insect species, growth stage, growth environment and food source [287,288]. There are reports of high levels of lead in local food grasshoppers in Mexico due to the fact that these grasshoppers forage in highly contaminated mines [289]. Heavy metals in edible insects originate from both habitat environment and human pollution. The most common heavy metals reported in edible insects are cadmium, lead, arsenic and mercury [9]. Likewise, farming insects will greatly reduce the safety risks associated with heavy metals.
4.5.5. Other Security Concerns
In addition to the safety concerns mentioned above, the presence of parasites in edible insects also needs to be considered. Some parasites are likely to be transmitted to humans through the consumption of insects. Examples include Dicrocoelium dendriticum, Entamoeba histolytica, Giardia lamblia and Toxoplasma [290]. In addition, some harmful toxins and Antinutrients in insects can also threaten human health [291,292].
4.6. Processing of Edible Insects
Traditionally, insects have been processed in simple ways to improve their taste and eating quality, such as steaming, roasting, smoking, frying, and stewing. With the rise of new processing technologies, the processing of edible insects has become more elaborate [293].
The nutritional composition of insects can vary depending on the method of their acquisition and processing conditions. In the case of insect protein acquisition, conventional extraction methods are acidic or alkaline extraction, organic solvents or isoelectric point precipitation. However, these methods affect the purity and stability of the target to a greater or lesser extent and can produce waste that is hazardous to the environment [294,295]. Toxic solvents, for example [296]. Therefore, the processing and extraction of the target from edible insects needs to be linked to the concept of biorefinement. Nowadays, some novel and environmentally friendly extraction methods are gradually chosen by researchers due to their significant advantages [293]. For example, ultrasound-assisted extraction, supercritical fluid extraction, pressurized liquid extraction and microwave-assisted extraction. It was shown that the protein yield could be significantly improved by using ultrasound treatment of defatted yellow flour samples [297]. The protein content was increased by 28% after 15 min of sonication. Supercritical fluid extraction has shown good application in the extraction of insect oil. Supercritical CO2 extraction of insect oil can achieve the same extraction rate as the conventional method, but this extraction method is safer and more environmentally friendly [298]. Pressurized liquid extraction has also been used to extract insect components, with the significant advantage of reducing extraction time and not producing harmful substances [299,300]. Besides, microwave-assisted extraction has shown good results in the enzymatic digestion of insect proteins, which can assist the enzymatic digestion and extraction process [301]. When processing and extracting insect components, a single method is often not as effective as it could be, and more often than not, several methods need to be used simultaneously to achieve the processing goals.
It is also important to note that some insects should be limited or reduced in their application to food due to the presence of excessive nutrients. The health effects of insects on humans may not be what most people think they are. With the increased demand for healthier diets, foods high in cholesterol that can cause human disease have been restricted for use in foods [302]. Therefore, some insect species with high saturated fat content are not popular when used as food [250]. For example, in termites and palm weevils, there are 28.2 and 31.8 g of fat per 100 g of dry weight, and 13,900 mg and 17,500 mg of saturated fat [39]. Therefore, the refining of insect oil may facilitate the use of high cholesterol insects in food products. In analogy to other foods, cholesterol in insect oil may be removed by β-cyclodextrin. It has been found that the addition of 1.5% (w/w) of β-cyclodextrin to milk can remove up to 99.4% of cholesterol [303].
On the other hand, the method of processing and obtaining insect active ingredients can also affect their functional activity. The method of extraction for proteins is the primary influencing factor directly altering the function of insect proteins [304]. Alkali extraction, water extraction, dry fractionation, ultrasonic extraction, and ultra-high pressure extraction are now used to extract insect active proteins [293]. A study on the extraction of proteins from three different edible insect larvae (Tenebrio molitor, Allomyrina dichotoma, and Protaetia brevitarsis) discovered that the technical functioning of the insect proteins could be successfully improved by altering the extraction conditions [305]. Extraction method selection and optimization can not only increase the extraction rate of insect proteins but also reduce protein activity damage [306]. Furthermore, the presence of the exoskeleton can decrease the digestion of insect proteins [307]. The predominant component of these exoskeletons, however, is generally chitin, which can be removed through processing or conversion through eating [41,54]. It has been demonstrated that insects with their exoskeletons removed have up to 98% protein digestibility [308]. As a result, whether employing insect proteins as food additives or producing medications, careful consideration should be given to the process of acquiring and purifying them. Unlike proteins, the extraction process does not affect the content of fatty acids; nevertheless, the kind of fat and the rate of fat extraction can vary depending on the extraction method [11]. A study of four insect species using two industrial extraction methods, aqueous and Soxhlet extraction, and a laboratory method (Folch extraction) showed that the Folch extraction method yielded the most fatty ω-6 fatty acids and the highest extraction rates, while the aqueous extraction method yielded the highest levels of health-related ω-3 fatty acids, although at a lower extraction rate [309]. This suggests that the extraction method can directly influence the characteristics or type of insect fat and that special attention needs to be paid to the choice of method used to obtain insect fat. In addition to proteins and fats, chitin and chitosan are also obtained with environmental considerations in mind [310]. The extraction of chitin from insects is considered to be more advantageous than that from marine crustaceans. Traditional extraction methods include demineralization and deproteinization [310]. Today, greener extraction methods are being developed, for example, using microbial extraction [311]. Extraction using natural deep eutectic solvents [312], and improved acid-base methods [313] can obtain greener and better quality chitin and chitosan from insects.
4.7. Purity and Stability of Insect Extract Components
When people study a certain ingredient, what they must consider is the purity and stability of that ingredient. Similar to common food ingredients, in the process of extracting insect ingredients, the purity and stability of the extract ingredients can be improved by optimizing the extraction method and taking protective measures [314,315]. For example, the oxidative stability of insect oils can be improved when obtained using ethanol-isopropanol as a solvent and under sonication, and the insect oils obtained by this method contain lower levels of peroxides, conjugated dienes and trienes, and free fatty acids [314]. The insect oil obtained using pressurized n-propane extraction also has good oxidative stability, and this method also has the advantage of being less time-consuming [315]. As mentioned earlier, when choosing a suitable extraction method, not only can the extraction efficiency be improved, but also higher yields and more stable products can be obtained.
In addition to these considerations, the economic and environmental issues linked with insect consumption must be considered, as they cannot be consumed at the expense of economic development and environmental damage [294].
5. Edible Insects and Human Life
To date, the world’s population is still growing and the demand for food is still increasing, and people are having to work harder to find new sources of food. The edible insect industry is gradually coming into people’s lives. Today, edible insects are widely used and can be found in many kinds of food products.
To begin with, adding insect meals to flour can increase the nutritional and organoleptic aspects of the product. The addition of grasshopper flour and defatted grasshopper flour to bread, for example, can change the rheological properties of the bread, making it softer, and can also improve the nutritional value of the bread, with 200 g/kg of grasshopper flour added to a bread recipe increasing the protein content by up to 60% [316]. According to studies, adding 10% cricket powder to wheat flour increases bread popularity, and bread containing cricket powder has a greater nutritional value in terms of fatty acid composition, protein content, and essential amino acid content [317]. When utilizing cricket powder, the safety concerns related to the microorganisms carried by crickets are also underlined. The inclusion of cricket powder in the creation of gluten-free bread results in gluten-free bread with outstanding process qualities and high protein content, as well as strong antioxidant activity [318,319]. Furthermore, adding silk flours to soba noodles boosts the protein content of the noodles while decreasing the recommended cooking time. Most significantly, it conceals the taste of soba, which most people dislike [320].
Similarly, adding insects to meat products can be advantageous. For example, adding edible silkworm pupae to the beef batter can increase its physicochemical qualities such as pH, viscosity, hardness, and chewiness. These effects are comparable to adding transglutaminase to beef batter [321]. Furthermore, adding cricket powder to emulsified meat products boosts the protein and trace elements in the meat emulsion [322]. Mealworm larvae and silkworm pupae can both be used as a source of protein in emulsified sausages [323]. Also, insects are frequently incorporated into a variety of snack meals, including biscuits, chocolate, tortilla-style chips, and other munchies [293,324].
Edible insects are also employed in fermented foods. Studies on insect fermentation treatments have revealed that the secondary metabolites created by fermentation are more nutritious, as well as having antibacterial and medicinal properties [325]. Edible insect fermented products can be used to create a variety of food products such as pastes, powders, sauces, and fermented dishes incorporating insects [325]. Pupae peptides have been researched for their effect on the quality of fermented dairy products, and the results suggest that pupae peptides greatly improve the acidity and textural aspects of yogurt [326]. Another study used yellow meal worm larvae in a soy sauce fermentation procedure to make liquid fermented sauces. The quantity of free amino acids and amino acid derivatives was observed to be increased in these fermented condiments during the experiments. There were a lot of glutamic acids, alanine, aspartic acid, serine, isoleucine, lysine, phenylalanine, and valine [327].
There are several new packaged foods containing insects on the market today, as well as companies creating them, but they are not yet mainstream foods in terms of sales [293]. Insect-based foods are highly healthy and sustainable, and they may sell better if legal regulatory restrictions can be addressed [328]. Figure 9 indicated the usage of edible insects in food products.
Figure 9.
Edible insects in food applications.
A broad variety of edible insects are utilized in medications and health goods, in addition to food. In China, insects and their derivatives are employed directly or indirectly to cure a wide range of ailments [30]. In Chinese medicine, insects have been employed to heal ailments for over 2000 years [14]. The previous section’s in vivo and in vitro investigations established the existence of therapeutic qualities in edible insects. Insect therapy is increasingly using edible insects [31]. Maggots, for example, can treat wounds by lowering infection and increasing healing; blood-sucking insects like horseflies can treat mending blood issues; and whole-body extracts of insects like bees, moths, and cockroaches can be utilized as anti-cancer and anti-bacterial medications [12,13].
Simple direct consumption does not meet people’s needs for nutrition and safety of food. In the future, the applications of edible insects in human life will be more diverse. In order to better consume edible insects, new food processing technologies should be applied more to obtain and analyze edible insect ingredients, so that more new products can be developed.
6. Current Legislation on Edible Insects
Edible insects are high in nutrients such as fat, protein, and minerals and can be used as an alternative food source. It is therefore essential to promote the legal recognition of edible insects as a source of food and functional active ingredients. The range of applications and potential of the insect food industry has been largely overlooked by legislators [329]. Previously, insects were too small-scale and not widely enough used as food to be included in the scope of the legislation. The lack of clear legislation on the rearing, consumption, and commercialization of edible insects in most countries has severely hampered the development of edible insects and their potential to benefit human health [330]. An article from 2021 compares the laws around the world governing the use of insects as food and feed. The laws governing edible insects in the European Union, the United States, Canada, Australia, China, Japan, and other nations were contrasted and examined in the article. The findings show that each nation has its own legislation, despite the fact that all governments place a high importance on the safety of edible insects. It is challenging to distribute and consume edible insects internationally due to the diversity of restrictions in different nations [17]. Regulations on edible insects are gradually being developed as the availability of insects for rearing, eating, and producing goods grows. The European Commission has acknowledged that using insects in feed and food can give significant environmental, economic, and food security benefits. In 2013, a book entitled “Edible Insects: Future Prospects for Food and Feed Security”, published by the Food and Agriculture Organization of the United Nations (FAO), highlighted for the first time the lack of a legal framework as a major obstacle limiting the adoption of insects as food and feed in Europe [3].
Many governments are currently taking the first steps toward regulating particular insects as food sources. Some nations, including Belgium, the United Kingdom, the Netherlands, the Kingdom of Denmark, Finland, and Kenya, have rules governing the legality of certain cricket species [331,332,333]. However, the legislation on edible insects in these countries is not clear and complete. Since the use of insects as food in several European countries, The European Food Safety Authority (EFSA) and the Federal Agency for Safety of the Food Chain (FASFC) have started specific regulations on the consumption of insects by humans and animals. These regulations are concerned with the microbiological standards that apply to edible insects as well as the status of insects as novel foods. However, the majority of these laws are based on animal diet and feed regulations. In Europe, edible insects were initially recognized as the food of animal origin [334]. Before 2015, insect regulations mostly treated insects as contaminants in food, and there were no regulations that explicitly mentioned insects as food sources [335]. According to EFSA, four new insect foods have been legally regulated, including the lesser mealworm (Alphitobius diaperinus larva) [47], whole house crickets (Acheta domesticus) [336], migratory locust (Locusta migratoria) [46], defatted house cricket (Acheta domesticus) powder [337]. The above four new insect food products are regulated by Regulation (EU) 2015/2283 and have been evaluated for safety by EFSA. Before this, EU Regulation 2017/893, which came into force on 1 July 2017, already allowed the use of seven insect species as aquaculture feed [338]. The EFSA also carried out allergenic risk assessments and analytical tests on insects used as food and feed [338].
A variety of reasons influence the development of edible insect regulations. The first consideration is food safety, which must always come first. Following that are consumer acceptance and environmental preservation. At the same time, the sustainability of the insect source must be considered. Insect legislation also necessitates government engagement, taking into mind existing regulatory systems [339]. Of the many factors, governmental factors are the most critical, and regulations in different countries in different places can directly affect the development of various insect businesses [340]. And consumer acceptance can directly influence the scale of insect consumption. There is still an aversion to insects in the Western world. Therefore it is essential to turn insects into a product that will appeal to people [341]. The multifaceted elements of insects as food must be fully considered in the establishment of future regulations [333].
7. Conclusions and Perspectives
This essay examines the biological functions and nutritional worth of edible insects, as well as their application and safety in food and medicine. Edible insects are a fantastic source of supplemental nutrients for the human body since they are high in protein, fat, vitamins, and minerals. The amino acid and some trace element need of the human body can be satisfied by these edible insects. Additionally, because they contain a variety of functional active components, edible insects have the potential to be exploited in the development of particular medications for the diagnosis, treatment, and prevention of human diseases. Even though medicinal insects have been used for a very long time in traditional medicine, modern biomedicine is slowly revealing how they work.
Despite the practicality of using insects as food and medicine, achieving human health still faces numerous difficulties. It is necessary to describe in greater detail the therapeutic benefits and modes of action of edible insects as well as their active components. To determine whether the various functional effects have similar impacts on humans, experiments to explore the biological functions of edible insects must also be conducted in as many human experiments as possible. To better reduce the allergenicity of edible insects, the future study must concentrate on the cross-reactivity and allergenicity of edible insects as well as the applicability of processing techniques for various species of insects.
To better apply edible insects to daily eating in the future, several obstacles must be resolved. First and foremost, as a foundation for their development and use, edible insect use as food or medicine needs to be supported by international and national laws and policies. Second, researchers should focus more on undiscovered food insect species because there are probably many undiscovered edible bug species and those with therapeutic characteristics. In addition, the nutritional value of edible insects should be standardized, and the selection and compounding of different insects may lead to insect products with higher nutritional value and better therapeutic effects. In addition, special attention should be paid to the safety and stability of edible insects, and the development of non-toxic and safe insect products is the goal we are pursuing [54]. Overall, edible insects have a significant role to play in sustaining human health and supplying nourishment, and they could represent the future of both food research and the food industry.
Author Contributions
Conceptualization, Y.Z.; methodology, Y.Z.; software, D.W.; validation, D.W.; formal analysis, S.Z.; investigation, Y.Z.; resources, S.Z.; data curation, Y.Z. and J.G.; writing—original draft preparation, Y.Z. and D.W.; writing—review and editing, W.Y.; visualization, H.D.; supervision, W.Y.; project administration, W.Y.; funding acquisition, W.Y. All authors have read and agreed to the published version of the manuscript.
Funding
This research was funded by the National Natural Science Foundation of China, grant number 32172244, and the Academic Research Projects of Beijing Union University, grant numbers XP202006, ZK70202004.
Informed Consent Statement
Not applicable.
Data Availability Statement
Not applicable.
Acknowledgments
The authors would like to thank Wenjie Yan for his guidance and financial help.
Conflicts of Interest
The authors declare no conflict of interest.
References
- Ramos-Elorduy, J. Anthropo-entomophagy: Cultures, evolution and sustainability. Entomol. Res. 2009, 39, 271–288. [Google Scholar] [CrossRef]
- Barennes, H.; Phimmasane, M.; Rajaonarivo, C. Insect Consumption to Address Undernutrition, a National Survey on the Prevalence of Insect Consumption among Adults and Vendors in Laos. PLoS ONE 2015, 10, e0136458. [Google Scholar] [CrossRef]
- Van Huis, A.; Van Itterbeeck, J.; Klunder, H.; Mertens, E.; Halloran, A.; Muir, G.; Vantomme, P. Edible Insects: Future Prospects for Food and Feed Security; Food and Agriculture Organization of the United Nations: Rome, Italy, 2013. [Google Scholar]
- Orkusz, A. Edible Insects versus Meat—Nutritional Comparison: Knowledge of Their Composition Is the Key to Good Health. Nutrients 2021, 13, 1207. [Google Scholar] [CrossRef] [PubMed]
- Liceaga, A.M.; Aguilar-Toalá, J.E.; Vallejo-Cordoba, B.; González-Córdova, A.F.; Hernández-Mendoza, A. Insects as an Alternative Protein Source. Annu. Rev. Food Sci. Technol. 2022, 13, 19–34. [Google Scholar] [CrossRef] [PubMed]
- Van Huis, A. Potential of insects as food and feed in assuring food security. Annu. Rev. Entomol. 2013, 58, 563–583. [Google Scholar] [CrossRef]
- van Huis, A. Edible Insects. In Handbook of Eating and Drinking: Interdisciplinary Perspectives; Meiselman, H.L., Ed.; Springer International Publishing: Cham, Switzerland, 2020; pp. 965–980. [Google Scholar]
- Sosa, D.A.T.; Fogliano, V. Potential of Insect-Derived Ingredients for Food Applications. In Insect Physiology and Ecology; IntechOpen: Rijeka, Croatia, 2017. [Google Scholar]
- Poma, G.; Cuykx, M.; Amato, E.; Calaprice, C.; Focant, J.F.; Covaci, A. Evaluation of hazardous chemicals in edible insects and insect-based food intended for human consumption. Food Chem. Toxicol. 2017, 100, 70–79. [Google Scholar] [CrossRef] [PubMed]
- Tang, C.; Yang, D.; Liao, H.; Sun, H.; Liu, C.; Wei, L.; Li, F. Edible insects as a food source: A review. Food Prod. Process. Nutr. 2019, 1, 8. [Google Scholar] [CrossRef]
- Jantzen da Silva Lucas, A.; Menegon de Oliveira, L.; da Rocha, M.; Prentice, C. Edible insects: An alternative of nutritional, functional and bioactive compounds. Food Chem. 2020, 311, 126022. [Google Scholar] [CrossRef]
- Ratcliffe, N.; Azambuja, P.; Mello, C.B. Recent Advances in Developing Insect Natural Products as Potential Modern Day Medicines. Evid. Based Complement. Altern. Med. 2014, 2014, 904958. [Google Scholar] [CrossRef]
- Ratcliffe, N.A.; Mello, C.B.; Garcia, E.S.; Butt, T.M.; Azambuja, P. Insect natural products and processes: New treatments for human disease. Insect Biochem. Mol. Biol. 2011, 41, 747–769. [Google Scholar] [CrossRef]
- Feng, Y.; Zhao, M.; He, Z.; Chen, Z.; Sun, L. Research and utilization of medicinal insects in China. Entomol. Res. 2009, 39, 313–316. [Google Scholar] [CrossRef]
- Nowakowski, A.C.; Miller, A.C.; Miller, M.E.; Xiao, H.; Wu, X. Potential health benefits of edible insects. Crit. Rev. Food Sci. Nutr. 2022, 62, 3499–3508. [Google Scholar] [CrossRef] [PubMed]
- van Huis, A. Nutrition and health of edible insects. Curr. Opin. Clin. Nutr. Metab. Care 2020, 23, 228–231. [Google Scholar] [CrossRef] [PubMed]
- Lähteenmäki-Uutela, A.; Marimuthu, S.B.; Meijer, N. Regulations on insects as food and feed: A global comparison. J. Insects Food Feed. 2021, 7, 849–856. [Google Scholar] [CrossRef]
- Legendre, T.S.; Baker, M.A. Legitimizing Edible Insects for Human Consumption: The Impacts of Trust, Risk–Benefit, and Purchase Activism. J. Hosp. Tour. Res. 2020, 46, 467–489. [Google Scholar] [CrossRef]
- Meyer-Rochow, V.B.; Gahukar, R.T.; Ghosh, S.; Jung, C. Chemical Composition, Nutrient Quality and Acceptability of Edible Insects Are Affected by Species, Developmental Stage, Gender, Diet, and Processing Method. Foods 2021, 10, 1036. [Google Scholar] [CrossRef] [PubMed]
- Dobermann, D.; Swift, J.A.; Field, L.M. Opportunities and hurdles of edible insects for food and feed. Nutr. Bull. 2017, 42, 293–308. [Google Scholar] [CrossRef]
- Kromhout, D.; Spaaij, C.J.K.; de Goede, J.; Weggemans, R.M.; Committee Dutch Dietary Guidelines. The 2015 Dutch food-based dietary guidelines. Eur. J. Clin. Nutr. 2016, 70, 869–878. [Google Scholar] [CrossRef]
- Payne, C.L.R.; Scarborough, P.; Rayner, M.; Nonaka, K. Are edible insects more or less ‘healthy’ than commonly consumed meats? A comparison using two nutrient profiling models developed to combat over- and undernutrition. Eur. J. Clin. Nutr. 2016, 70, 285–291. [Google Scholar] [CrossRef]
- Elemo, B.O.; Elemo, G.N.; Makinde, M.A.; Erukainure, O.L. Chemical evaluation of African palm weevil, Rhychophorus phoenicis, larvae as a food source. J. Insect Sci. 2011, 11, 146. [Google Scholar] [CrossRef]
- Fogang Mba, A.R.; Kansci, G.; Viau, M.; Ribourg, L.; Fogoh Muafor, J.; Hafnaoui, N.; Le Gall, P.; Genot, C. Growing conditions and morphotypes of African palm weevil (Rhynchophorus phoenicis) larvae influence their lipophilic nutrient but not their amino acid compositions. J. Food Compos. Anal. 2018, 69, 87–97. [Google Scholar] [CrossRef]
- Chinarak, K.; Panpipat, W.; Panya, A.; Phonsatta, N.; Cheong, L.-Z.; Chaijan, M. Improved long-chain omega-3 polyunsaturated fatty acids in sago palm weevil (Rhynchophorus ferrugineus) larvae by dietary fish oil supplementation. Food Chem. 2022, 393, 133354. [Google Scholar] [CrossRef] [PubMed]
- Chinarak, K.; Panpipat, W.; Panya, A.; Phonsatta, N.; Cheong, L.-Z.; Chaijan, M. A Novel Strategy for the Production of Edible Insects: Effect of Dietary Perilla Seed Supplementation on Nutritional Composition, Growth Performance, Lipid Metabolism, and Δ6 Desaturase Gene Expression of Sago Palm Weevil (Rhynchophorus ferrugineus) Larvae. Foods 2022, 11, 2036. [Google Scholar] [CrossRef] [PubMed]
- Akande, O.A.; Falade, O.O.; Badejo, A.A.; Adekoya, I. Assessment of Mulberry Silkworm Pupae and African Palm Weevil larvae as alternative protein sources in snack fillings. Heliyon 2020, 6, e03754. [Google Scholar] [CrossRef]
- Ayensu, J.; Lutterodt, H.; Annan, R.A.; Edusei, A.; Loh, S.P. Nutritional composition and acceptability of biscuits fortified with palm weevil larvae (Rhynchophorus phoenicis Fabricius) and orange-fleshed sweet potato among pregnant women. Food Sci. Nutr. 2019, 7, 1807–1815. [Google Scholar] [CrossRef]
- de Carvalho, N.M.; Madureira, A.R.; Pintado, M.E. The potential of insects as food sources–A review. Crit. Rev. Food Sci. Nutr. 2020, 60, 3642–3652. [Google Scholar] [CrossRef]
- Zimian, D.; Yonghua, Z.; Xiwu, G. Medicinal insects in China. Ecol. Food Nutr. 1997, 36, 209–220. [Google Scholar] [CrossRef]
- Chantawannakul, P. From entomophagy to entomotherapy. Front. Biosci. Landmark 2020, 25, 179–200. [Google Scholar] [CrossRef]
- Williams, J.P.; Williams, J.R.; Kirabo, A.; Chester, D.; Peterson, M. Chapter 3-Nutrient Content and Health Benefits of Insects. In Insects as Sustainable Food Ingredients; Dossey, A.T., Morales-Ramos, J.A., Rojas, M.G., Eds.; Academic Press: San Diego, CA, USA, 2016; pp. 61–84. [Google Scholar]
- Finke, M.D. Complete nutrient composition of commercially raised invertebrates used as food for insectivores. Zoo Biol. 2002, 21, 269–285. [Google Scholar] [CrossRef]
- Zhou, J.; Han, D. Proximate, amino acid and mineral composition of pupae of the silkworm Antheraea pernyi in China. J. Food Compos. Anal. 2006, 19, 850–853. [Google Scholar] [CrossRef]
- Gao, Y.; Zhao, Y.-J.; Xu, M.-L.; Shi, S.-S. Soybean hawkmoth (Clanis bilineata tsingtauica) as food ingredients: A review. CyTA J. Food 2021, 19, 341–348. [Google Scholar] [CrossRef]
- Pérez-Ramírez, R.; Torres-Castillo, J.A.; Barrientos-Lozano, L.; Almaguer-Sierra, P.; Torres-Acosta, R.I. Schistocerca piceifrons piceifrons (Orthoptera: Acrididae) as a Source of Compounds of Biotechnological and Nutritional Interest. J. Insect Sci. 2019, 19, 10. [Google Scholar] [CrossRef] [PubMed]
- Ghosh, S.; Lee, S.-M.; Jung, C.; Meyer-Rochow, V.B. Nutritional composition of five commercial edible insects in South Korea. J. Asia Pac. Entomol. 2017, 20, 686–694. [Google Scholar] [CrossRef]
- Vanqa, N.; Mshayisa, V.V.; Basitere, M. Proximate, Physicochemical, Techno-Functional and Antioxidant Properties of Three Edible Insect (Gonimbrasia belina, Hermetia illucens and Macrotermes subhylanus) Flours. Foods 2022, 11, 976. [Google Scholar] [CrossRef]
- Payne, C.L.R.; Scarborough, P.; Rayner, M.; Nonaka, K. A systematic review of nutrient composition data available for twelve commercially available edible insects, and comparison with reference values. Trends Food Sci. Technol. 2016, 47, 69–77. [Google Scholar] [CrossRef]
- Banjo, A.D.; Lawal, O.A.; Songonuga, E.A. The nutritional value of fourteen species of edible insects in southwestern Nigeria. Afr. J. Biotechnol. 2006, 5, 298–301. [Google Scholar]
- Rumpold, B.A.; Schlüter, O.K. Potential and challenges of insects as an innovative source for food and feed production. Innov. Food Sci. Emerg. Technol. 2013, 17, 1–11. [Google Scholar] [CrossRef]
- Ghosh, S.; Jung, C.; Meyer-Rochow, V.B. Nutritional value and chemical composition of larvae, pupae, and adults of worker honey bee, Apis mellifera ligustica as a sustainable food source. J. Asia Pac. Entomol. 2016, 19, 487–495. [Google Scholar] [CrossRef]
- Siulapwa, N.; Mwambungu, A.; Lungu, E.; Sichilima, W. Nutritional value of four common edible insects in Zambia. Int. J. Sci. Res. 2014, 3, 876–884. [Google Scholar]
- Rapatsa, M.M.; Moyo, N.A.G. Evaluation of Imbrasia belina meal as a fishmeal substitute in Oreochromis mossambicus diets: Growth performance, histological analysis and enzyme activity. Aquac. Rep. 2017, 5, 18–26. [Google Scholar] [CrossRef]
- Zielińska, E.; Baraniak, B.; Karaś, M.; Rybczyńska, K.; Jakubczyk, A. Selected species of edible insects as a source of nutrient composition. Food Res. Int. 2015, 77, 460–466. [Google Scholar] [CrossRef]
- EFSA Panel on Nutrition, Novel Foods and Food Allergens (NDA); Turck, D.; Castenmiller, J.; De Henauw, S.; Hirsch-Ernst, K.I.; Kearney, J.; Maciuk, A.; Mangelsdorf, I.; McArdle, H.J.; Naska, A.; et al. Safety of frozen and dried formulations from migratory locust (Locusta migratoria) as a Novel food pursuant to Regulation (EU) 2015/2283. EFSA J. 2021, 19, e06667. [Google Scholar] [CrossRef] [PubMed]
- EFSA Panel on Nutrition, Novel Foods and Food Allergens (NDA); Turck, D.; Bohn, T.; Castenmiller, J.; De Henauw, S.; Hirsch-Ernst, K.I.; Maciuk, A.; Mangelsdorf, I.; McArdle, H.J.; Naska, A.; et al. Safety of frozen and freeze-dried formulations of the lesser mealworm (Alphitobius diaperinus larva) as a Novel food pursuant to Regulation (EU) 2015/2283. EFSA J. 2022, 20, e07325. [Google Scholar] [CrossRef] [PubMed]
- Chinarak, K.; Chaijan, M.; Panpipat, W. Farm-raised sago palm weevil (Rhynchophorus ferrugineus) larvae: Potential and challenges for promising source of nutrients. J. Food Compos. Anal. 2020, 92, 103542. [Google Scholar] [CrossRef]
- Finke, M.D. Complete nutrient content of four species of feeder insects. Zoo Biol. 2013, 32, 27–36. [Google Scholar] [CrossRef] [PubMed]
- Finke, M.D. Complete nutrient content of four species of commercially available feeder insects fed enhanced diets during growth. Zoo Biol. 2015, 34, 554–564. [Google Scholar] [CrossRef] [PubMed]
- Nowak, V.; Persijn, D.; Rittenschober, D.; Charrondiere, U.R. Review of food composition data for edible insects. Food Chem. 2016, 193, 39–46. [Google Scholar] [CrossRef]
- Chen, X.; Feng, Y.; Zhang, H.; Chen, Z. Review of the Nutritive Value of Edible Insects; Food and Agriculture Organization of the United Nations: Bangkok, Thailand, 2010; pp. 85–92. [Google Scholar]
- Liceaga, A.M. Chapter Four-Edible insects, a valuable protein source from ancient to modern times. In Advances in Food and Nutrition Research; Wu, J., Ed.; Academic Press: Cambridge, MA, USA, 2022; Volume 101, pp. 129–152. [Google Scholar]
- Schlüter, O.; Rumpold, B.; Holzhauser, T.; Roth, A.; Vogel, R.F.; Quasigroch, W.; Vogel, S.; Heinz, V.; Jäger, H.; Bandick, N.; et al. Safety aspects of the production of foods and food ingredients from insects. Mol. Nutr. Food Res. 2017, 61, 1600520. [Google Scholar] [CrossRef]
- Bukkens, S.G.F. The nutritional value of edible insects. Ecol. Food Nutr. 1997, 36, 287–319. [Google Scholar] [CrossRef]
- Rumpold, B.A.; Schlüter, O.K. Nutritional composition and safety aspects of edible insects. Mol. Nutr. Food Res. 2013, 57, 802–823. [Google Scholar] [CrossRef]
- Tang, Y.; Debnath, T.; Choi, E.-J.; Kim, Y.W.; Ryu, J.P.; Jang, S.; Chung, S.U.; Choi, Y.-J.; Kim, E.-K. Changes in the amino acid profiles and free radical scavenging activities of Tenebrio molitor larvae following enzymatic hydrolysis. PLoS ONE 2018, 13, e0196218. [Google Scholar] [CrossRef] [PubMed]
- Ritvanen, T.; Pastell, H.; Welling, A.; Raatikainen, M. The nitrogen-to-protein conversion factor of two cricket species-Acheta domesticus and Gryllus bimaculatus. Agric. Food Sci. 2020, 29, 1–5. [Google Scholar] [CrossRef]
- Paul, A.; Frederich, M.; Megido, R.C.; Alabi, T.; Malik, P.; Uyttenbroeck, R.; Francis, F.; Blecker, C.; Haubruge, E.; Lognay, G.; et al. Insect fatty acids: A comparison of lipids from three Orthopterans and Tenebrio molitor L. larvae. J. Asia Pac. Entomol. 2017, 20, 337–340. [Google Scholar] [CrossRef]
- Ramos-Elorduy, J. Energy Supplied by Edible Insects from Mexico and their Nutritional and Ecological Importance. Ecol. Food Nutr. 2008, 47, 280–297. [Google Scholar] [CrossRef]
- Mlcek, J.; Rop, O.; Borkovcova, M.; Bednarova, M. A Comprehensive Look at the Possibilities of Edible Insects as Food in Europe—A Review. Pol. J. Food Nutr. Sci. 2014, 64, 147–157. [Google Scholar] [CrossRef]
- Roos, N. Insects and Human Nutrition. In Edible Insects in Sustainable Food Systems; Halloran, A., Flore, R., Vantomme, P., Roos, N., Eds.; Springer International Publishing: Cham, Switzerland, 2018; pp. 83–91. [Google Scholar]
- Lee, H.; Park, W.J. Unsaturated Fatty Acids, Desaturases, and Human Health. J. Med. Food 2014, 17, 189–197. [Google Scholar] [CrossRef] [PubMed]
- DeFoliart, G.R. Insect fatty acids: Similar to those of poultry and fish in their degree of unsaturation, but higher in the polyunsaturates. Food Insects Newsl. 1991, 4, 13907994. [Google Scholar]
- de Castro, R.J.S.; Ohara, A.; Aguilar, J.G.d.S.; Domingues, M.A.F. Nutritional, functional and biological properties of insect proteins: Processes for obtaining, consumption and future challenges. Trends Food Sci. Technol. 2018, 76, 82–89. [Google Scholar] [CrossRef]
- Oranut, S.; Subhachai, B.; Shen, L.-r.; Li, D. Lipids and Fatty Acid Composition of Dried Edible Red and Black Ants. Agric. Sci. China 2010, 9, 1072–1077. [Google Scholar] [CrossRef]
- Kinyuru, J.N.; Mogendi, J.B.; Riwa, C.A.; Ndung’u, N.W. Edible insects—A novel source of essential nutrients for human diet: Learning from traditional knowledge. Anim. Front. 2015, 5, 14–19. [Google Scholar] [CrossRef]
- Fritz, J.; Walia, C.; Elkadri, A.; Pipkorn, R.; Dunn, R.K.; Sieracki, R.; Goday, P.S.; Cabrera, J.M. A Systematic Review of Micronutrient Deficiencies in Pediatric Inflammatory Bowel Disease. Inflamm. Bowel Dis. 2019, 25, 445–459. [Google Scholar] [CrossRef] [PubMed]
- Rempel, J.; Grover, K.; El-Matary, W. Micronutrient Deficiencies and Anemia in Children with Inflammatory Bowel Disease. Nutrients 2021, 13, 236. [Google Scholar] [CrossRef] [PubMed]
- Haddad, L.; Hawkes, C.; Webb, P.; Thomas, S.; Beddington, J.; Waage, J.; Flynn, D. A new global research agenda for food. Nature 2016, 540, 30–32. [Google Scholar] [CrossRef]
- Hicks, C.C.; Cohen, P.J.; Graham, N.A.J.; Nash, K.L.; Allison, E.H.; D’Lima, C.; Mills, D.J.; Roscher, M.; Thilsted, S.H.; Thorne-Lyman, A.L.; et al. Harnessing global fisheries to tackle micronutrient deficiencies. Nature 2019, 574, 95–98. [Google Scholar] [CrossRef] [PubMed]
- Roos, N.; Van Huis, A. Consuming insects: Are there health benefits? J. Insects Food Feed. 2017, 3, 225–229. [Google Scholar] [CrossRef]
- Schmidt, A.; Call, L.-M.; Macheiner, L.; Mayer, H.K. Determination of vitamin B12 in four edible insect species by immunoaffinity and ultra-high performance liquid chromatography. Food Chem. 2019, 281, 124–129. [Google Scholar] [CrossRef]
- Okamoto, N.; Nagao, F.; Umebayashi, Y.; Bito, T.; Prangthip, P.; Watanabe, F. Pseudovitamin B12 and factor S are the predominant corrinoid compounds in edible cricket products. Food Chem. 2021, 347, 129048. [Google Scholar] [CrossRef]
- Oonincx, D.G.A.B.; Dierenfeld, E.S. An Investigation into the Chemical Composition of Alternative Invertebrate Prey. Zoo Biol. 2012, 31, 40–54. [Google Scholar] [CrossRef]
- Kinyuru, J.N.; Kenji, G.M.; Njoroge, S.M.; Ayieko, M. Effect of Processing Methods on the In Vitro Protein Digestibility and Vitamin Content of Edible Winged Termite (Macrotermes subhylanus) and Grasshopper (Ruspolia differens). Food Bioprocess Technol. 2010, 3, 778–782. [Google Scholar] [CrossRef]
- Mwangi, M.N.; Oonincx, D.G.A.B.; Stouten, T.; Veenenbos, M.; Melse-Boonstra, A.; Dicke, M.; van Loon, J.J.A. Insects as sources of iron and zinc in human nutrition. Nutr. Res. Rev. 2018, 31, 248–255. [Google Scholar] [CrossRef]
- Bhutta, Z.A.; Das, J.K.; Rizvi, A.; Gaffey, M.F.; Walker, N.; Horton, S.; Webb, P.; Lartey, A.; Black, R.E. Evidence-based interventions for improvement of maternal and child nutrition: What can be done and at what cost? Lancet 2013, 382, 452–477. [Google Scholar] [CrossRef] [PubMed]
- Müller, O.; Krawinkel, M. Malnutrition and health in developing countries. Can. Med. Assoc. J. 2005, 173, 279–286. [Google Scholar] [CrossRef] [PubMed]
- Michaelsen, K.F.; Hoppe, C.; Roos, N.; Kaestel, P.; Stougaard, M.; Lauritzen, L.; Mølgaard, C.; Girma, T.; Friis, H. Choice of Foods and Ingredients for Moderately Malnourished Children 6 Months to 5 Years of Age. Food Nutr. Bull. 2009, 30, S343–S404. [Google Scholar] [CrossRef] [PubMed]
- Christensen, D.L.; Orech, F.O.; Mungai, M.N.; Larsen, T.; Friis, H.; Aagaard-Hansen, J. Entomophagy among the Luo of Kenya: A potential mineral source? Int. J. Food Sci. Nutr. 2006, 57, 198–203. [Google Scholar] [CrossRef] [PubMed]
- Montowska, M.; Kowalczewski, P.Ł.; Rybicka, I.; Fornal, E. Nutritional value, protein and peptide composition of edible cricket powders. Food Chem. 2019, 289, 130–138. [Google Scholar] [CrossRef]
- Latunde-Dada, G.O.; Yang, W.; Vera Aviles, M. In Vitro Iron Availability from Insects and Sirloin Beef. J. Agric. Food Chem. 2016, 64, 8420–8424. [Google Scholar] [CrossRef]
- Kim, T.-K.; Yong, H.I.; Kim, Y.-B.; Kim, H.-W.; Choi, Y.-S. Edible Insects as a Protein Source: A Review of Public Perception, Processing Technology, and Research Trends. Food Sci. Anim. Resour. 2019, 39, 521–540. [Google Scholar] [CrossRef]
- Qian, L.; Deng, P.; Chen, F.; Cao, Y.; Sun, H.; Liao, H. The exploration and utilization of functional substances in edible insects: A review. Food Prod. Process. Nutr. 2022, 4, 11. [Google Scholar] [CrossRef]
- Finke, M.D. Estimate of chitin in raw whole insects. Zoo Biol. 2007, 26, 105–115. [Google Scholar] [CrossRef]
- Hahn, T.; Roth, A.; Ji, R.; Schmitt, E.; Zibek, S. Chitosan production with larval exoskeletons derived from the insect protein production. J. Biotechnol. 2020, 310, 62–67. [Google Scholar] [CrossRef]
- Jantzen da Silva Lucas, A.; Quadro Oreste, E.; Leão Gouveia Costa, H.; Martín López, H.; Dias Medeiros Saad, C.; Prentice, C. Extraction, physicochemical characterization, and morphological properties of chitin and chitosan from cuticles of edible insects. Food Chem. 2021, 343, 128550. [Google Scholar] [CrossRef] [PubMed]
- Tuli, H.S.; Sharma, A.K.; Sandhu, S.S.; Kashyap, D. Cordycepin: A bioactive metabolite with therapeutic potential. Life Sci. 2013, 93, 863–869. [Google Scholar] [CrossRef] [PubMed]
- Ravi Kumar, M.N.V. A review of chitin and chitosan applications. React. Funct. Polym. 2000, 46, 1–27. [Google Scholar] [CrossRef]
- Lee, J.H.; Kim, T.-K.; Jeong, C.H.; Yong, H.I.; Cha, J.Y.; Kim, B.-K.; Choi, Y.-S. Biological activity and processing technologies of edible insects: A review. Food Sci. Biotechnol. 2021, 30, 1003–1023. [Google Scholar] [CrossRef]
- Chudzinski-Tavassi, A.M.; De-Sá-Júnior, P.L.; Simons, S.M.; Maria, D.A.; de Souza Ventura, J.; de Fátima Correia Batista, I.; Faria, F.; Durães, E.; Reis, E.M.; Demasi, M. A new tick Kunitz type inhibitor, Amblyomin-X, induces tumor cell death by modulating genes related to the cell cycle and targeting the ubiquitin-proteasome system. Toxicon 2010, 56, 1145–1154. [Google Scholar] [CrossRef]
- Choi, K.E.; Hwang, C.J.; Gu, S.M.; Park, M.H.; Kim, J.H.; Park, J.H.; Ahn, Y.J.; Kim, J.Y.; Song, M.J.; Song, H.S.; et al. Cancer Cell Growth Inhibitory Effect of Bee Venom via Increase of Death Receptor 3 Expression and Inactivation of NF-kappa B in NSCLC Cells. Toxins 2014, 6, 2210–2228. [Google Scholar] [CrossRef]
- Ahn, M.Y.; Kim, B.J.; Kim, H.J.; Jin, J.M.; Yoon, H.J.; Hwang, J.S.; Park, K.-K. Anti-cancer effect of dung beetle glycosaminoglycans on melanoma. BMC Cancer 2019, 19, 9. [Google Scholar] [CrossRef]
- Wang, F.-x.; Wu, N.; Wei, J.-t.; Liu, J.; Zhao, J.; Ji, A.-g.; Lin, X.-k. A novel protein from Eupolyphaga sinensis inhibits adhesion, migration, and invasion of human lung cancer A549 cells. Biochem. Cell Biol. 2013, 91, 244–251. [Google Scholar] [CrossRef]
- Hu, D.; Liu, Q.; Cui, H.; Wang, H.; Han, D.; Xu, H. Effects of amino acids from selenium-rich silkworm pupas on human hepatoma cells. Life Sci. 2005, 77, 2098–2110. [Google Scholar] [CrossRef]
- Ji, X.; Wang, J.; Ma, A.; Feng, D.; He, Y.; Yan, W. Effects of silkworm pupa protein on apoptosis and energy metabolism in human colon cancer DLD-1 cells. Food Sci. Hum. Wellness 2022, 11, 1171–1176. [Google Scholar] [CrossRef]
- Li, X.; Xie, H.; Chen, Y.; Lang, M.; Chen, Y.; Shi, L. Silkworm Pupa Protein Hydrolysate Induces Mitochondria-Dependent Apoptosis and S Phase Cell Cycle Arrest in Human Gastric Cancer SGC-7901 Cells. Int. J. Mol. Sci. 2018, 19, 1013. [Google Scholar] [CrossRef] [PubMed]
- Weixin, L.; Lixia, M.; Leiyan, W.; Yuxiao, Z.; Haifeng, Z.; Sentai, L. Effects of silkworm pupa protein hydrolysates on mitochondrial substructure and metabolism in gastric cancer cells. J. Asia Pac. Entomol. 2019, 22, 387–392. [Google Scholar] [CrossRef]
- Carneiro-Lobo, T.C.; Konig, S.; Machado, D.E.; Nasciutti, L.E.; Forni, M.F.; Francischetti, I.M.B.; Sogayar, M.C.; Monteiro, R.Q. Ixolaris, a tissue factor inhibitor, blocks primary tumor growth and angiogenesis in a glioblastoma model. J. Thromb. Haemost. 2009, 7, 1855–1864. [Google Scholar] [CrossRef]
- Chukiatsiri, S.; Siriwong, S.; Thumanu, K. Pupae protein extracts exert anticancer effects by downregulating the expression of IL-6, IL-1β and TNF-α through biomolecular changes in human breast cancer cells. Biomed. Pharmacother. 2020, 128, 110278. [Google Scholar] [CrossRef] [PubMed]
- Kaya, M.; Sargin, I.; Sabeckis, I.; Noreikaite, D.; Erdonmez, D.; Salaberria, A.M.; Labidi, J.; Baublys, V.; Tubelytė, V. Biological, mechanical, optical and physicochemical properties of natural chitin films obtained from the dorsal pronotum and the wing of cockroach. Carbohydr. Polym. 2017, 163, 162–169. [Google Scholar] [CrossRef] [PubMed]
- Socarras, K.M.; Theophilus, P.A.S.; Torres, J.P.; Gupta, K.; Sapi, E. Antimicrobial Activity of Bee Venom and Melittin against Borrelia burgdorferi. Antibiotics 2017, 6, 31. [Google Scholar] [CrossRef] [PubMed]
- Elhag, O.; Zhou, D.; Song, Q.; Soomro, A.A.; Cai, M.; Zheng, L.; Yu, Z.; Zhang, J. Screening, expression, purification and functional characterization of novel antimicrobial peptide genes from Hermetia illucens (L.). PLoS ONE 2017, 12, e0169582. [Google Scholar] [CrossRef] [PubMed]
- Saviane, A.; Romoli, O.; Bozzato, A.; Freddi, G.; Cappelletti, C.; Rosini, E.; Cappellozza, S.; Tettamanti, G.; Sandrelli, F. Intrinsic antimicrobial properties of silk spun by genetically modified silkworm strains. Transgenic Res. 2018, 27, 87–101. [Google Scholar] [CrossRef]
- Nenadić, M.; Soković, M.; Glamočlija, J.; Ćirić, A.; Perić-Mataruga, V.; Ilijin, L.; Tešević, V.; Todosijević, M.; Vujisić, L.; Vesović, N.; et al. The pygidial gland secretion of the forest caterpillar hunter, Calosoma (Calosoma) sycophanta: The antimicrobial properties against human pathogens. Appl. Microbiol. Biotechnol. 2017, 101, 977–985. [Google Scholar] [CrossRef]
- Bílikova, K.; Huang, S.-C.; Lin, I.P.; Šimuth, J.; Peng, C.-C. Structure and antimicrobial activity relationship of royalisin, an antimicrobial peptide from royal jelly of Apis mellifera. Peptides 2015, 68, 190–196. [Google Scholar] [CrossRef]
- Battampara, P.; Nimisha Sathish, T.; Reddy, R.; Guna, V.; Nagananda, G.S.; Reddy, N.; Ramesha, B.S.; Maharaddi, V.H.; Rao, A.P.; Ravikumar, H.N.; et al. Properties of chitin and chitosan extracted from silkworm pupae and egg shells. Int. J. Biol. Macromol. 2020, 161, 1296–1304. [Google Scholar] [CrossRef]
- Shapiro-Ilan, D.I.; Mizell, R.F. An insect pupal cell with antimicrobial properties that suppress an entomopathogenic fungus. J. Invertebr. Pathol. 2015, 124, 114–116. [Google Scholar] [CrossRef] [PubMed]
- Dutta, S.R.; Gauri, S.S.; Ghosh, T.; Halder, S.K.; DasMohapatra, P.K.; Mondal, K.C.; Ghosh, A.K. Elucidation of structural and functional integration of a novel antimicrobial peptide from Antheraea mylitta. Bioorganic Med. Chem. Lett. 2017, 27, 1686–1692. [Google Scholar] [CrossRef] [PubMed]
- Ghosh, A.; Ray, M.; Gangopadhyay, D. Evaluation of proximate composition and antioxidant properties in silk-industrial byproduct. LWT 2020, 132, 109900. [Google Scholar] [CrossRef]
- Wu, S.; Lu, M.; Wang, S. Antiageing activities of water-soluble chitosan from Clanis bilineata larvae. Int. J. Biol. Macromol. 2017, 102, 376–379. [Google Scholar] [CrossRef] [PubMed]
- Sun, M.; Xu, X.; Zhang, Q.; Rui, X.; Wu, J.; Dong, M. Ultrasonic-assisted Aqueous Extraction and Physicochemical Characterization of Oil from Clanis bilineata. J. Oleo Sci. 2018, 67, 151–165. [Google Scholar] [CrossRef]
- Jena, K.; Pandey, J.P.; Kumari, R.; Sinha, A.K.; Gupta, V.P.; Singh, G.P. Free radical scavenging potential of sericin obtained from various ecoraces of tasar cocoons and its cosmeceuticals implication. Int. J. Biol. Macromol. 2018, 120, 255–262. [Google Scholar] [CrossRef]
- Cermeño, M.; Bascón, C.; Amigo-Benavent, M.; Felix, M.; FitzGerald, R.J. Identification of peptides from edible silkworm pupae (Bombyx mori) protein hydrolysates with antioxidant activity. J. Funct. Foods 2022, 92, 105052. [Google Scholar] [CrossRef]
- Long, X.; Song, J.; Zhao, X.; Zhang, Y.; Wang, H.; Liu, X.; Suo, H. Silkworm pupa oil attenuates acetaminophen-induced acute liver injury by inhibiting oxidative stress-mediated NF-κB signaling. Food Sci. Nutr. 2020, 8, 237–245. [Google Scholar] [CrossRef]
- Ali, M.M.; Arumugam, S.B. Effect of crude extract of Bombyx mori coccoons in hyperlipidemia and atherosclerosis. J. Ayurveda Integr. Med. 2011, 2, 72–78. [Google Scholar] [CrossRef]
- Yu, W.; Ying, H.; Tong, F.; Zhang, C.; Quan, Y.; Zhang, Y. Protective effect of the silkworm protein 30Kc6 on human vascular endothelial cells damaged by oxidized low density lipoprotein (Ox-LDL). PLoS ONE 2013, 8, e68746. [Google Scholar] [CrossRef] [PubMed]
- Chernysh, S.; Kim, S.I.; Bekker, G.; Pleskach, V.A.; Filatova, N.A.; Anikin, V.B.; Platonov, V.G.; Bulet, P. Antiviral and antitumor peptides from insects. Proc. Natl. Acad. Sci. USA 2002, 99, 12628–12632. [Google Scholar] [CrossRef] [PubMed]
- Ahn, M.Y.; Han, J.W.; Hwang, J.S.; Yun, E.Y.; Lee, B.M. Anti-inflammatory effect of glycosaminoglycan derived from Gryllus bimaculatus (a type of cricket, insect) on adjuvant-treated chronic arthritis rat model. J. Toxicol. Environ. Health Part A 2014, 77, 1332–1345. [Google Scholar] [CrossRef] [PubMed]
- Chu, F.-J.; Jin, X.-B.; Zhu, J.-Y. Housefly Maggots (Musca domestica) Protein-enriched Fraction/ extracts (PE) Inhibit Lipopolysaccharide-induced Atherosclerosis Pro-inflammatory Responses. J. Atheroscler. Thromb. 2011, 18, 282–290. [Google Scholar] [CrossRef] [PubMed]
- Kotsyfakis, M.; Sá-Nunes, A.; Francischetti, I.M.B.; Mather, T.N.; Andersen, J.F.; Ribeiro, J.M.C. Antiinflammatory and immunosuppressive activity of sialostatin L, a salivary cystatin from the tick Ixodes scapularis. J. Biol. Chem. 2006, 281, 26298–26307. [Google Scholar] [CrossRef]
- Tang, J.-J.; Fang, P.; Xia, H.-L.; Tu, Z.-C.; Hou, B.-Y.; Yan, Y.-M.; Di, L.; Zhang, L.; Cheng, Y.-X. Constituents from the edible Chinese black ants (Polyrhachis dives) showing protective effect on rat mesangial cells and anti-inflammatory activity. Food Res. Int. 2015, 67, 163–168. [Google Scholar] [CrossRef]
- Danneels, E.L.; Gerlo, S.; Heyninck, K.; Van Craenenbroeck, K.; De Bosscher, K.; Haegeman, G.; de Graaf, D.C. How the venom from the ectoparasitoid wasp Nasonia vitripennis exhibits anti-inflammatory properties on mammalian cell lines. PLoS ONE 2014, 9, e96825. [Google Scholar] [CrossRef]
- Zielińska, E.; Baraniak, B.; Karaś, M. Identification of antioxidant and anti-inflammatory peptides obtained by simulated gastrointestinal digestion of three edible insects species (Gryllodes sigillatus, Tenebrio molitor, Schistocerca gragaria). Int. J. Food Sci. Technol. 2018, 53, 2542–2551. [Google Scholar] [CrossRef]
- Palm, N.W.; Rosenstein, R.K.; Yu, S.; Schenten, D.D.; Florsheim, E.; Medzhitov, R. Bee venom phospholipase A2 induces a primary type 2 response that is dependent on the receptor ST2 and confers protective immunity. Immunity 2013, 39, 976–985. [Google Scholar] [CrossRef]
- Ali, M.F.Z.; Yasin, I.A.; Ohta, T.; Hashizume, A.; Ido, A.; Takahashi, T.; Miura, C.; Miura, T. The silkrose of Bombyx mori effectively prevents vibriosis in penaeid prawns via the activation of innate immunity. Sci. Rep. 2018, 8, 8836. [Google Scholar] [CrossRef]
- Li, Z.; Zhao, S.; Xin, X.; Zhang, B.; Thomas, A.; Charles, A.; Lee, K.S.; Jin, B.R.; Gui, Z. Purification, Identification and Functional Analysis of a Novel Immunomodulatory Peptide from Silkworm Pupa Protein. Int. J. Pept. Res. Ther. 2020, 26, 243–249. [Google Scholar] [CrossRef]
- Tszydel, M.; Zabłotni, A.; Wojciechowska, D.; Michalak, M.; Krucińska, I.; Szustakiewicz, K.; Maj, M.; Jaruszewska, A.; Strzelecki, J. Research on possible medical use of silk produced by caddisfly larvae of Hydropsyche angustipennis (Trichoptera, Insecta). J. Mech. Behav. Biomed. Mater. 2015, 45, 142–153. [Google Scholar] [CrossRef] [PubMed]
- Ahn, M.Y.; Hwang, J.S.; Kim, M.-J.; Park, K.-K. Antilipidemic effects and gene expression profiling of the glycosaminoglycans from cricket in rats on a high fat diet. Arch. Pharmacal Res. 2016, 39, 926–936. [Google Scholar] [CrossRef] [PubMed]
- Lee, H.-S.; Lee, H.J.; Suh, H.J. Silk protein hydrolysate increases glucose uptake through up-regulation of GLUT 4 and reduces the expression of leptin in 3T3-L1 fibroblast. Nutr. Res. 2011, 31, 937–943. [Google Scholar] [CrossRef]
- Ryu, S.P. Silkworm pupae powder ingestion increases fat metabolism in swim-trained rats. J. Exerc. Nutr. Biochem. 2014, 18, 141–149. [Google Scholar] [CrossRef]
- Hyun, C.-K.; Kim, I.-Y.; Frost, S.C. Soluble Fibroin Enhances Insulin Sensitivity and Glucose Metabolism in 3T3-L1 Adipocytes. J. Nutr. 2004, 134, 3257–3263. [Google Scholar] [CrossRef]
- Lee, S.H.; Park, D.; Yang, G.; Bae, D.-K.; Yang, Y.-H.; Kim, T.K.; Kim, D.; Kyung, J.; Yeon, S.; Koo, K.C.; et al. Silk and silkworm pupa peptides suppress adipogenesis in preadipocytes and fat accumulation in rats fed a high-fat diet. Eur. J. Nutr. 2012, 51, 1011–1019. [Google Scholar] [CrossRef]
- Wang, W.; Wang, N.; Zhang, Y. Antihypertensive properties on spontaneously hypertensive rats of peptide hydrolysates from silkworm pupae protein. Food Nutr. Sci. 2014, 5, 1202–1211. [Google Scholar] [CrossRef]
- Wang, W.; Shen, S.; Chen, Q.; Tang, B.; He, G.; Ruan, H.; Das, U.N. Hydrolyzates of silkworm pupae (Bombyx mori) protein is a new source of angiotensin I-converting enzyme inhibitory peptides (ACEIP). Curr. Pharm. Biotechnol. 2008, 9, 307–314. [Google Scholar] [CrossRef]
- Fukumoto, S.; Sakaguchi, T.; You, M.; Xuan, X.; Fujisaki, K. Tick troponin I-like molecule is a potent inhibitor for angiogenesis. Microvasc. Res. 2006, 71, 218–221. [Google Scholar] [CrossRef]
- Francischetti, I.M.B.; Mather, T.N.; Ribeiro, J.M.C. Tick saliva is a potent inhibitor of endothelial cell proliferation and angiogenesis. Thromb. Haemost. 2005, 94, 167–174. [Google Scholar] [CrossRef] [PubMed]
- Izuta, H.; Shimazawa, M.; Tsuruma, K.; Araki, Y.; Mishima, S.; Hara, H. Bee products prevent VEGF-induced angiogenesis in human umbilical vein endothelial cells. BMC Complement. Altern. Med. 2009, 9, 45. [Google Scholar] [CrossRef] [PubMed]
- Kwak, D.H.; Kim, J.K.; Kim, J.Y.; Jeong, H.Y.; Keum, K.S.; Han, S.H.; Rho, Y.I.; Woo, W.H.; Jung, K.Y.; Choi, B.K.; et al. Anti-angiogenic activities of Cnidium officinale Makino and Tabanus bovinus. J. Ethnopharmacol. 2002, 81, 373–379. [Google Scholar] [CrossRef] [PubMed]
- Islam, M.K.; Tsuji, N.; Miyoshi, T.; Alim, M.A.; Huang, X.; Hatta, T.; Fujisaki, K. The Kunitz-like modulatory protein haemangin is vital for hard tick blood-feeding success. PLoS Pathog. 2009, 5, e1000497. [Google Scholar] [CrossRef]
- Baik, J.E.; Rhee, W.J. Anti-apoptotic effects of the alpha-helix domain of silkworm storage protein 1. Biotechnol. Bioprocess Eng. 2017, 22, 671–678. [Google Scholar] [CrossRef]
- Kim, E.J.; Park, H.J.; Park, T.H. Inhibition of apoptosis by recombinant 30K protein originating from silkworm hemolymph. Biochem. Biophys. Res. Commun. 2003, 308, 523–528. [Google Scholar] [CrossRef]
- Deori, M.; Boruah, D.C.; Devi, D.; Devi, R. Antioxidant and antigenotoxic effects of pupae of the muga silkworm Antheraea assamensis. Food Biosci. 2014, 5, 108–114. [Google Scholar] [CrossRef]
- Majtan, J.; Majtan, V. Is manuka honey the best type of honey for wound care? J. Hosp. Infect. 2010, 74, 305–306. [Google Scholar] [CrossRef]
- Majtan, J.; Kumar, P.; Majtan, T.; Walls, A.F.; Klaudiny, J. Effect of honey and its major royal jelly protein 1 on cytokine and MMP-9 mRNA transcripts in human keratinocytes. Exp. Dermatol. 2010, 19, e73–e79. [Google Scholar] [CrossRef]
- Okamoto, I.; Taniguchi, Y.; Kunikata, T.; Kohno, K.; Iwaki, K.; Ikeda, M.; Kurimoto, M. Major royal jelly protein 3 modulates immune responses in vitro and in vivo. Life Sci. 2003, 73, 2029–2045. [Google Scholar] [CrossRef]
- Lee, J.H.; Jo, Y.-Y.; Ju, W.-T.; Kim, K.-Y.; Kweon, H. Effects of silkworm and its by-products on muscle mass and exercise performance in ICR mice. Int. J. Ind. Entomol. 2019, 39, 34–38. [Google Scholar] [CrossRef]
- Vangsoe, M.T.; Joergensen, M.S.; Heckmann, L.-H.L.; Hansen, M. Effects of Insect Protein Supplementation during Resistance Training on Changes in Muscle Mass and Strength in Young Men. Nutrients 2018, 10, 335. [Google Scholar] [CrossRef]
- Han, S.M.; Hong, I.P.; Woo, S.O.; Chun, S.N.; Park, K.K.; Nicholls, Y.M.; Pak, S.C. The beneficial effects of honeybee-venom serum on facial wrinkles in humans. Clin. Interv. Aging 2015, 10, 1587–1592. [Google Scholar] [CrossRef] [PubMed]
- Borrelli, L.; Coretti, L.; Dipineto, L.; Bovera, F.; Menna, F.; Chiariotti, L.; Nizza, A.; Lembo, F.; Fioretti, A. Insect-based diet, a promising nutritional source, modulates gut microbiota composition and SCFAs production in laying hens. Sci. Rep. 2017, 7, 16269. [Google Scholar] [CrossRef] [PubMed]
- Bruni, L.; Pastorelli, R.; Viti, C.; Gasco, L.; Parisi, G. Characterisation of the intestinal microbial communities of rainbow trout (Oncorhynchus mykiss) fed with Hermetia illucens (black soldier fly) partially defatted larva meal as partial dietary protein source. Aquaculture 2018, 487, 56–63. [Google Scholar] [CrossRef]
- Stull, V.J.; Finer, E.; Bergmans, R.S.; Febvre, H.P.; Longhurst, C.; Manter, D.K.; Patz, J.A.; Weir, T.L. Impact of Edible Cricket Consumption on Gut Microbiota in Healthy Adults, a Double-blind, Randomized Crossover Trial. Sci. Rep. 2018, 8, 10762. [Google Scholar] [CrossRef]
- Uzair, B.; Bushra, R.; Khan, B.A.; Zareen, S.; Fasim, F. Potential uses of venom proteins in treatment of HIV. Protein Pept. Lett. 2018, 25, 619–625. [Google Scholar] [CrossRef]
- Alvarez-Fischer, D.; Noelker, C.; Vulinović, F.; Grünewald, A.; Chevarin, C.; Klein, C.; Oertel, W.H.; Hirsch, E.C.; Michel, P.P.; Hartmann, A. Bee venom and its component apamin as neuroprotective agents in a Parkinson disease mouse model. PLoS ONE 2013, 8, e61700. [Google Scholar] [CrossRef]
- Wattanathorn, J.; Muchimapura, S.; Boosel, A.; Kongpa, S.; Kaewrueng, W.; Tong-Un, T.; Wannanon, P.; Thukhammee, W. Silkworm Pupae Protect Against Alzheimer’s Disease. Am. J. Agric. Biol. Sci. 2012, 7, 330–336. [Google Scholar] [CrossRef]
- Li, S.; Jin, Y.; Wang, C.; Chen, J.; Yu, W.; Jin, Y.; Lv, Z. Effects of a 15-amino-acid isoform of amyloid- β expressed by silkworm pupae on B6C3-Tg Alzheimer’s disease transgenic mice. J. Biotechnol. 2019, 296, 83–92. [Google Scholar] [CrossRef]
- Kwon, M.-G.; Kim, D.-S.; Lee, J.-H.; Park, S.-W.; Choo, Y.-K.; Han, Y.-S.; Kim, J.-S.; Hwang, K.-A.; Ko, K.; Ko, K. Isolation and analysis of natural compounds from silkworm pupae and effect of its extracts on alcohol detoxification. Entomol. Res. 2012, 42, 55–62. [Google Scholar] [CrossRef]
- Long, X.; Zhao, X.; Wang, W.; Zhang, Y.; Wang, H.; Liu, X.; Suo, H. Protective effect of silkworm pupa oil on hydrochloric acid/ethanol-induced gastric ulcers. J. Sci. Food Agric. 2019, 99, 2974–2986. [Google Scholar] [CrossRef] [PubMed]
- Hwang, J.; Hwang, U.W. Beneficial Effects of Fermented Cricket Powder as a Hair Growth Promoting Agent in a Mice Model. J. Life Sci. 2022, 32, 196–201. [Google Scholar] [CrossRef]
- Tonk, M.; Vilcinskas, A.; Rahnamaeian, M. Insect antimicrobial peptides: Potential tools for the prevention of skin cancer. Appl. Microbiol. Biotechnol. 2016, 100, 7397–7405. [Google Scholar] [CrossRef] [PubMed]
- Xu, P.; Lv, D.; Wang, X.; Wang, Y.; Hou, C.; Gao, K.; Guo, X. Inhibitory effects of Bombyx mori antimicrobial peptide cecropins on esophageal cancer cells. Eur. J. Pharmacol. 2020, 887, 173434. [Google Scholar] [CrossRef] [PubMed]
- Lee, J.H.; Paik, H.D. Anticancer and immunomodulatory activity of egg proteins and peptides: A review. Poult. Sci. 2019, 98, 6505–6516. [Google Scholar] [CrossRef] [PubMed]
- He, L.; Shi, W.; Liu, X.; Zhao, X.; Zhang, Z. Anticancer Action and Mechanism of Ergosterol Peroxide from Paecilomyces cicadae Fermentation Broth. Int. J. Mol. Sci. 2018, 19, 3935. [Google Scholar] [CrossRef]
- Iwasaki, T.; Ishibashi, J.; Tanaka, H.; Sato, M.; Asaoka, A.; Taylor, D.; Yamakawa, M. Selective cancer cell cytotoxicity of enantiomeric 9-mer peptides derived from beetle defensins depends on negatively charged phosphatidylserine on the cell surface. Peptides 2009, 30, 660–668. [Google Scholar] [CrossRef]
- Kang, B.-R.; Kim, H.; Nam, S.-H.; Yun, E.-Y.; Kim, S.-R.; Ahn, M.-Y.; Chang, J.-S.; Hwang, J.-S. CopA3 peptide from Copris tripartitus induces apoptosis in human leukemia cells via a caspase-independent pathway. Bmb Rep. 2012, 45, 85–90. [Google Scholar] [CrossRef]
- Saido-Sakanaka, H.; Ishibashi, J.; Momotani, E.; Amano, F.; Yamakawa, M. In vitro and in vivo activity of antimicrobial peptides synthesized based on the insect defensin. Peptides 2004, 25, 19–27. [Google Scholar] [CrossRef]
- Kim, I.-W.; Lee, J.H.; Kwon, Y.-N.; Yun, E.-Y.; Nam, S.-H.; Ahn, M.-Y.; Kang, D.-C.; Hwang, J.S. Anticancer activity of a synthetic peptide derived from harmoniasin, an antibacterial peptide from the ladybug Harmonia axyridis. Int. J. Oncol. 2013, 43, 622–628. [Google Scholar] [CrossRef] [PubMed]
- Borghouts, C.; Kunz, C.; Groner, B. Current strategies for the development of peptide-based anti-cancer therapeutics. J. Pept. Sci. 2005, 11, 713–726. [Google Scholar] [CrossRef] [PubMed]
- Barbault, F.; Landon, C.; Guenneugues, M.; Meyer, J.-P.; Schott, V.; Dimarcq, J.-L.; Vovelle, F. Solution Structure of Alo-3: A New Knottin-Type Antifungal Peptide from the Insect Acrocinus longimanus. Biochemistry 2003, 42, 14434–14442. [Google Scholar] [CrossRef] [PubMed]
- Liu, C.-c.; Hao, D.-j.; Zhang, Q.; An, J.; Zhao, J.-j.; Chen, B.; Zhang, L.-l.; Yang, H. Application of bee venom and its main constituent melittin for cancer treatment. Cancer Chemother. Pharmacol. 2016, 78, 1113–1130. [Google Scholar] [CrossRef]
- Park, M.H.; Choi, M.S.; Kwak, D.H.; Oh, K.-W.; Yoon, D.Y.; Han, S.B.; Song, H.S.; Song, M.J.; Hong, J.T. Anti-cancer effect of bee venom in prostate cancer cells through activation of caspase pathway via inactivation of NF-κB. Prostate 2011, 71, 801–812. [Google Scholar] [CrossRef]
- Jo, M.; Park, M.H.; Kollipara, P.S.; An, B.J.; Song, H.S.; Han, S.B.; Kim, J.H.; Song, M.J.; Hong, J.T. Anti-cancer effect of bee venom toxin and melittin in ovarian cancer cells through induction of death receptors and inhibition of JAK2/STAT3 pathway. Toxicol. Appl. Pharmacol. 2012, 258, 72–81. [Google Scholar] [CrossRef]
- Ip, S.-W.; Chu, Y.-L.; Yu, C.-S.; Chen, P.-Y.; Ho, H.-C.; Yang, J.-S.; Huang, H.-Y.; Chueh, F.-S.; Lai, T.-Y.; Chung, J.-G. Bee venom induces apoptosis through intracellular Ca2+-modulated intrinsic death pathway in human bladder cancer cells. Int. J. Urol. 2012, 19, 61–70. [Google Scholar] [CrossRef]
- Moreno, M.; Giralt, E. Three Valuable Peptides from Bee and Wasp Venoms for Therapeutic and Biotechnological Use: Melittin, Apamin and Mastoparan. Toxins 2015, 7, 1126–1150. [Google Scholar] [CrossRef]
- Gajski, G.; Garaj-Vrhovac, V. Melittin: A lytic peptide with anticancer properties. Environ. Toxicol. Pharmacol. 2013, 36, 697–705. [Google Scholar] [CrossRef]
- Wu, R.A.; Ding, Q.; Lu, H.; Tan, H.; Sun, N.; Wang, K.; He, R.; Luo, L.; Ma, H.; Li, Z. Caspase 3-mediated cytotoxicity of mealworm larvae (Tenebrio molitor) oil extract against human hepatocellular carcinoma and colorectal adenocarcinoma. J. Ethnopharmacol. 2020, 250, 112438. [Google Scholar] [CrossRef]
- Zhao, H.; Li, Y.; Wang, Y.; Zhang, J.; Ouyang, X.; Peng, R.; Yang, J. Antitumor and immunostimulatory activity of a polysaccharide–protein complex from Scolopendra subspinipes mutilans L. Koch in tumor-bearing mice. Food Chem. Toxicol. 2012, 50, 2648–2655. [Google Scholar] [CrossRef] [PubMed]
- Nxumalo, W.; Elateeq, A.A.; Sun, Y. Can Cordyceps cicadae be used as an alternative to Cordyceps militaris and Cordyceps sinensis?—A review. J. Ethnopharmacol. 2020, 257, 112879. [Google Scholar] [CrossRef] [PubMed]
- Najafian, L.; Babji, A.S. A review of fish-derived antioxidant and antimicrobial peptides: Their production, assessment, and applications. Peptides 2012, 33, 178–185. [Google Scholar] [CrossRef] [PubMed]
- Rahal, A.; Kumar, A.; Singh, V.; Yadav, B.; Tiwari, R.; Chakraborty, S.; Dhama, K. Oxidative Stress, Prooxidants, and Antioxidants: The Interplay. BioMed Res. Int. 2014, 2014, 761264. [Google Scholar] [CrossRef]
- Di Mattia, C.; Battista, N.; Sacchetti, G.; Serafini, M. Antioxidant activities in vitro of water and liposoluble extracts obtained by different species of edible insects and invertebrates. Front. Nutr. 2019, 6, 106. [Google Scholar] [CrossRef]
- Foroudi, S.; Potter, A.S.; Stamatikos, A.; Patil, B.S.; Deyhim, F. Drinking Orange Juice Increases Total Antioxidant Status and Decreases Lipid Peroxidation in Adults. J. Med. Food 2014, 17, 612–617. [Google Scholar] [CrossRef]
- Zamora-Ros, R.; Serafini, M.; Estruch, R.; Lamuela-Raventós, R.M.; Martínez-González, M.A.; Salas-Salvadó, J.; Fiol, M.; Lapetra, J.; Arós, F.; Covas, M.I.; et al. Mediterranean diet and non enzymatic antioxidant capacity in the PREDIMED study: Evidence for a mechanism of antioxidant tuning. Nutr. Metab. Cardiovasc. Dis. 2013, 23, 1167–1174. [Google Scholar] [CrossRef]
- Li, H.; Inoue, A.; Taniguchi, S.; Yukutake, T.; Suyama, K.; Nose, T.; Maeda, I. Multifunctional biological activities of water extract of housefly larvae (Musca domestica). PharmaNutrition 2017, 5, 119–126. [Google Scholar] [CrossRef]
- Navarro del Hierro, J.; Gutiérrez-Docio, A.; Otero, P.; Reglero, G.; Martin, D. Characterization, antioxidant activity, and inhibitory effect on pancreatic lipase of extracts from the edible insects Acheta domesticus and Tenebrio molitor. Food Chem. 2020, 309, 125742. [Google Scholar] [CrossRef]
- Zhang, H.; Wang, P.; Zhang, A.-J.; Li, X.; Zhang, J.-H.; Qin, Q.-L.; Wu, Y.-J. Antioxidant activities of protein hydrolysates obtained from the housefly larvae. Acta Biol. Hung. Acta Biol. Hung. 2016, 67, 236–246. [Google Scholar] [CrossRef]
- Wu, Q.-Y.; Jia, J.-Q.; Tan, G.-X.; Xu, J.-L.; Gui, Z.-Z. Physicochemical properties of silkworm larvae protein isolate and gastrointestinal hydrolysate bioactivities. Afr. J. Biotechnol. 2011, 10, 6145–6153. [Google Scholar] [CrossRef]
- Liu, Y.; Wan, S.; Liu, J.; Zou, Y.; Liao, S. Antioxidant Activity and Stability Study of Peptides from Enzymatically Hydrolyzed Male Silkmoth. J. Food Process. Preserv. 2017, 41, e13081. [Google Scholar] [CrossRef]
- Hall, F.; Johnson, P.E.; Liceaga, A. Effect of enzymatic hydrolysis on bioactive properties and allergenicity of cricket (Gryllodes sigillatus) protein. Food Chem. 2018, 262, 39–47. [Google Scholar] [CrossRef] [PubMed]
- Zielińska, E.; Baraniak, B.; Karaś, M. Antioxidant and Anti-Inflammatory Activities of Hydrolysates and Peptide Fractions Obtained by Enzymatic Hydrolysis of Selected Heat-Treated Edible Insects. Nutrients 2017, 9, 970. [Google Scholar] [CrossRef]
- Pattarayingsakul, W.; Nilavongse, A.; Reamtong, O.; Chittavanich, P.; Mungsantisuk, I.; Mathong, Y.; Prasitwuttisak, W.; Panbangred, W. Angiotensin-converting enzyme inhibitory and antioxidant peptides from digestion of larvae and pupae of Asian weaver ant, Oecophylla smaragdina, Fabricius. J. Sci. Food Agric. 2017, 97, 3133–3140. [Google Scholar] [CrossRef]
- Ai, H.; Wang, F.; Yang, Q.; Zhu, F.; Lei, C. Preparation and biological activities of chitosan from the larvae of housefly, Musca domestica. Carbohydr. Polym. 2008, 72, 419–423. [Google Scholar] [CrossRef]
- Song, C.; Yu, H.; Zhang, M.; Yang, Y.; Zhang, G. Physicochemical properties and antioxidant activity of chitosan from the blowfly Chrysomya megacephala larvae. Int. J. Biol. Macromol. 2013, 60, 347–354. [Google Scholar] [CrossRef]
- D’Antonio, V.; Serafini, M.; Battista, N. Dietary modulation of oxidative stress from edible insects: A mini-review. Front. Nutr. 2021, 8, 642551. [Google Scholar] [CrossRef]
- Yi, H.-Y.; Chowdhury, M.; Huang, Y.-D.; Yu, X.-Q. Insect antimicrobial peptides and their applications. Appl. Microbiol. Biotechnol. 2014, 98, 5807–5822. [Google Scholar] [CrossRef]
- Li, Y.; Xiang, Q.; Zhang, Q.; Huang, Y.; Su, Z. Overview on the recent study of antimicrobial peptides: Origins, functions, relative mechanisms and application. Peptides 2012, 37, 207–215. [Google Scholar] [CrossRef]
- Mitri, S.; Richard Foster, K. The Genotypic View of Social Interactions in Microbial Communities. Annu. Rev. Genet. 2013, 47, 247–273. [Google Scholar] [CrossRef] [PubMed]
- Zong, X.; Fu, J.; Xu, B.; Wang, Y.; Jin, M. Interplay between gut microbiota and antimicrobial peptides. Anim. Nutr. 2020, 6, 389–396. [Google Scholar] [CrossRef]
- Kim, S.R.; Hong, M.Y.; Park, S.W.; Choi, K.H.; Yun, E.Y.; Goo, T.W.; Kang, S.W.; Suh, H.J.; Kim, I.; Hwang, J.S. Characterization and cDNA cloning of a cecropin-like antimicrobial peptide, papiliocin, from the swallowtail butterfly, Papilio xuthus. Mol. Cells 2010, 29, 419–423. [Google Scholar] [CrossRef] [PubMed]
- Mastore, M.; Quadroni, S.; Caramella, S.; Brivio, M.F. The Silkworm as a Source of Natural Antimicrobial Preparations: Efficacy on Various Bacterial Strains. Antibiotics 2021, 10, 1339. [Google Scholar] [CrossRef] [PubMed]
- Cytryńska, M.; Mak, P.; Zdybicka-Barabas, A.; Suder, P.; Jakubowicz, T. Purification and characterization of eight peptides from Galleria mellonella immune hemolymph. Peptides 2007, 28, 533–546. [Google Scholar] [CrossRef]
- Rahnamaeian, M.; Cytryńska, M.; Zdybicka-Barabas, A.; Dobslaff, K.; Wiesner, J.; Twyman, R.M.; Zuchner, T.; Sadd, B.M.; Regoes, R.R.; Schmid-Hempel, P.; et al. Insect antimicrobial peptides show potentiating functional interactions against Gram-negative bacteria. Proc. R. Soc. B Biol. Sci. 2015, 282, 20150293. [Google Scholar] [CrossRef]
- Seufi, A.M.; Hafez, E.E.; Galal, F.H. Identification, phylogenetic analysis and expression profile of an anionic insect defensin gene, with antibacterial activity, from bacterial-challenged cotton leafworm, Spodoptera littoralis. BMC Mol. Biol. 2011, 12, 47. [Google Scholar] [CrossRef]
- Thirumalaisamy, G.; Malik, P.K.; Trivedi, S.; Kolte, A.P.; Bhatta, R. Effect of Long-Term Supplementation with Silkworm Pupae Oil on the Methane Yield, Ruminal Protozoa, and Archaea Community in Sheep. Front. Microbiol. 2022, 13, 780073. [Google Scholar] [CrossRef]
- Lanng, S.K.; Zhang, Y.; Christensen, K.R.; Hansen, A.K.; Nielsen, D.S.; Kot, W.; Bertram, H.C. Partial Substitution of Meat with Insect (Alphitobius diaperinus) in a Carnivore Diet Changes the Gut Microbiome and Metabolome of Healthy Rats. Foods 2021, 10, 1814. [Google Scholar] [CrossRef]
- de Carvalho, N.M.; Walton, G.E.; Poveda, C.G.; Silva, S.N.; Amorim, M.; Madureira, A.R.; Pintado, M.E.; Gibson, G.R.; Jauregi, P. Study of in vitro digestion of Tenebrio molitor flour for evaluation of its impact on the human gut microbiota. J. Funct. Foods 2019, 59, 101–109. [Google Scholar] [CrossRef]
- Medzhitov, R. The spectrum of inflammatory responses. Science 2021, 374, 1070–1075. [Google Scholar] [CrossRef] [PubMed]
- Dutta, P.; Sahu, R.K.; Dey, T.; Lahkar, M.D.; Manna, P.; Kalita, J. Beneficial role of insect-derived bioactive components against inflammation and its associated complications (colitis and arthritis) and cancer. Chem. Biol. Interact. 2019, 313, 108824. [Google Scholar] [CrossRef] [PubMed]
- Yoon, S.; Wong, N.A.K.; Chae, M.; Auh, J.-H. Comparative Characterization of Protein Hydrolysates from Three Edible Insects: Mealworm Larvae, Adult Crickets, and Silkworm Pupae. Foods 2019, 8, 563. [Google Scholar] [CrossRef] [PubMed]
- Baek, S.-H.; Joung, O.; Lee, H.-Y.; Shin, J.-C.; Choi, W.-S.; Lee, T.H.; Hwang, J.-S.; Nam, S.-H.; Son, H.-U.; Lee, S.-H. Anti-oxidative Fraction of Lycorma delicatula Alleviates Inflammatory Indicators. Nat. Prod. Commun. 2018, 13, 1934578X1801300413. [Google Scholar] [CrossRef]
- Bais, S.; Patel, N.J. In vitro anti diabetic and anti obesity effect of J. communis extract on 3T3L1 mouse adipocytes: A possible role of MAPK/ERK activation. Obes. Med. 2020, 18, 100219. [Google Scholar] [CrossRef]
- Lee, J.-E.; Min, S.H.; Lee, D.-H.; Oh, T.J.; Kim, K.M.; Moon, J.H.; Choi, S.H.; Park, K.S.; Jang, H.C.; Lim, S. Comprehensive assessment of lipoprotein subfraction profiles according to glucose metabolism status, and association with insulin resistance in subjects with early-stage impaired glucose metabolism. Int. J. Cardiol. 2016, 225, 327–331. [Google Scholar] [CrossRef]
- Xia, E.-Q.; Zhu, S.-S.; He, M.-J.; Luo, F.; Fu, C.-Z.; Zou, T.-B. Marine Peptides as Potential Agents for the Management of Type 2 Diabetes Mellitus—A Prospect. Mar. Drugs 2017, 15, 88. [Google Scholar] [CrossRef] [PubMed]
- Seo, M.; Goo, T.-W.; Chung, M.Y.; Baek, M.; Hwang, J.-S.; Kim, M.-A.; Yun, E.-Y. Tenebrio molitor larvae inhibit adipogenesis through AMPK and MAPKs signaling in 3T3-L1 adipocytes and obesity in high-fat diet-induced obese mice. Int. J. Mol. Sci. 2017, 18, 518. [Google Scholar] [CrossRef]
- Yoon, Y.-I.; Chung, M.Y.; Hwang, J.-S.; Han, M.S.; Goo, T.-W.; Yun, E.-Y. Allomyrina dichotoma (Arthropoda: Insecta) larvae confer resistance to obesity in mice fed a high-fat diet. Nutrients 2015, 7, 1978–1991. [Google Scholar] [CrossRef]
- Chung, M.Y.; Yoon, Y.-I.; Hwang, J.-S.; Goo, T.-W.; Yun, E.-Y. Anti-obesity effect of Allomyrina dichotoma (Arthropoda: Insecta) larvae ethanol extract on 3T3-L1 adipocyte differentiation. Entomol. Res. 2014, 44, 9–16. [Google Scholar] [CrossRef]
- Xia, Z.; Chen, J.; Wu, S. Hypolipidemic activity of the chitooligosaccharides from Clanis bilineata (Lepidoptera), an edible insect. Int. J. Biol. Macromol. 2013, 59, 96–98. [Google Scholar] [CrossRef] [PubMed]
- Zhou, Y.; Zhou, S.; Duan, H.; Wang, J.; Yan, W. Silkworm Pupae: A Functional Food with Health Benefits for Humans. Foods 2022, 11, 1594. [Google Scholar] [CrossRef] [PubMed]
- Seshadri, K.G.; Kirubha, M.H.B. Gliptins: A new class of oral antidiabetic agents. Indian J. Pharm. Sci. 2009, 71, 608. [Google Scholar] [CrossRef] [PubMed]
- Lacroix, I.M.E.; Dávalos Terán, I.; Fogliano, V.; Wichers, H.J. Investigation into the potential of commercially available lesser mealworm (A. diaperinus) protein to serve as sources of peptides with DPP-IV inhibitory activity. Int. J. Food Sci. Technol. 2019, 54, 696–704. [Google Scholar] [CrossRef]
- Park, J.E.; Han, J.S. Oxya Chinensis Sinuosa Mishchenko Extract: Potent Glycosidase Inhibitor Alleviates Postprandial Hyperglycemia in Diabetic Mice. J. Life Sci. 2020, 30, 1054–1062. [Google Scholar] [CrossRef]
- Coates, D. The angiotensin converting enzyme (ACE). Int. J. Biochem. Cell Biol. 2003, 35, 769–773. [Google Scholar] [CrossRef]
- Antonios, T.F.; MacGregor, G.A. Angiotensin converting enzyme inhibitors in hypertension: Potential problems. J. Hypertens. Suppl. 1995, 13, S11–S16. [Google Scholar] [CrossRef]
- Dai, C.; Ma, H.; Luo, L.; Yin, X. Angiotensin I-converting enzyme (ACE) inhibitory peptide derived from Tenebrio molitor (L.) larva protein hydrolysate. Eur. Food Res. Technol. 2013, 236, 681–689. [Google Scholar] [CrossRef]
- Wang, W.; Wang, N.; Zhou, Y.; Zhang, Y.; Xu, L.; Xu, J.; Feng, F.; He, G. Isolation of a novel peptide from silkworm pupae protein components and interaction characteristics to angiotensin I-converting enzyme. Eur. Food Res. Technol. 2011, 232, 29–38. [Google Scholar] [CrossRef]
- Vercruysse, L.; Smagghe, G.; Beckers, T.; Camp, J.V. Antioxidative and ACE inhibitory activities in enzymatic hydrolysates of the cotton leafworm, Spodoptera littoralis. Food Chem. 2009, 114, 38–43. [Google Scholar] [CrossRef]
- Vercruysse, L.; Smagghe, G.; Matsui, T.; Van Camp, J. Purification and identification of an angiotensin I converting enzyme (ACE) inhibitory peptide from the gastrointestinal hydrolysate of the cotton leafworm, Spodoptera littoralis. Process Biochem. 2008, 43, 900–904. [Google Scholar] [CrossRef]
- Clark, K.D. Insect Hemolymph Immune Complexes. In Vertebrate and Invertebrate Respiratory Proteins, Lipoproteins and Other Body Fluid Proteins; Hoeger, U., Harris, J.R., Eds.; Springer International Publishing: Cham, Switzerland, 2020; pp. 123–161. [Google Scholar]
- Chalamaiah, M.; Yu, W.; Wu, J. Immunomodulatory and anticancer protein hydrolysates (peptides) from food proteins: A review. Food Chem. 2018, 245, 205–222. [Google Scholar] [CrossRef] [PubMed]
- Li, Y.; Lin, M.; Wang, S.; Cao, B.; Li, C.; Li, G. Novel Angiogenic Regulators and Anti-Angiogenesis Drugs Targeting Angiogenesis Signaling Pathways: Perspectives for Targeting Angiogenesis in Lung Cancer. Front. Oncol. 2022, 12, 842960. [Google Scholar] [CrossRef] [PubMed]
- Tanabe, K.; Wada, J.; Sato, Y. Targeting angiogenesis and lymphangiogenesis in kidney disease. Nat. Rev. Nephrol. 2020, 16, 289–303. [Google Scholar] [CrossRef]
- Deveza, L.; Choi, J.; Yang, F. Therapeutic Angiogenesis for Treating Cardiovascular Diseases. Theranostics 2012, 2, 801–814. [Google Scholar] [CrossRef]
- Kim, J.-I.; Yang, E.J.; Lee, M.S.; Kim, Y.-S.; Huh, Y.; Cho, I.-H.; Kang, S.; Koh, H.-K. Bee Venom Reduces Neuroinflammation in the MPTP-Induced Model of Parkinson’s Disease. Int. J. Neurosci. 2011, 121, 209–217. [Google Scholar] [CrossRef]
- Doo, A.-R.; Kim, S.-T.; Kim, S.-N.; Moon, W.; Yin, C.S.; Chae, Y.; Park, H.-K.; Lee, H.; Park, H.-J. Neuroprotective effects of bee venom pharmaceutical acupuncture in acute 1-methyl-4-phenyl-1,2,3,6-tetrahydropyridine-induced mouse model of Parkinson’s disease. Neurol. Res. 2010, 32, 88–91. [Google Scholar] [CrossRef]
- Molan, P.C. The Evidence Supporting the Use of Honey as a Wound Dressing. Int. J. Low. Extrem. Wounds 2006, 5, 40–54. [Google Scholar] [CrossRef]
- Eleftherianos, I.; Zhang, W.; Heryanto, C.; Mohamed, A.; Contreras, G.; Tettamanti, G.; Wink, M.; Bassal, T. Diversity of insect antimicrobial peptides and proteins-A functional perspective: A review. Int. J. Biol. Macromol. 2021, 191, 277–287. [Google Scholar] [CrossRef]
- Fellows, P.; Halloran, A.; Muenke, C.; Vantomme, P.; van Huis, A. Insects in the human food chain: Global status and opportunities. Food Chain 2014, 4, 103–118. [Google Scholar] [CrossRef]
- Cherniack, E.P. Bugs as Drugs, Part 1: Insects. The "New" Alternative Medicine for the 21 st Century? Alternative Medicine Review LLC: Miami, FL, USA, 2010; Volume 15, pp. 124–135. [Google Scholar]
- El-Tantawy, N.L. Helminthes and insects: Maladies or therapies. Parasitol. Res. 2015, 114, 359–377. [Google Scholar] [CrossRef] [PubMed]
- Jensen, N.H.; Lieberoth, A. We will eat disgusting foods together–Evidence of the normative basis of Western entomophagy-disgust from an insect tasting. Food Qual. Prefer. 2019, 72, 109–115. [Google Scholar] [CrossRef]
- Gere, A.; Székely, G.; Kovács, S.; Kókai, Z.; Sipos, L. Readiness to adopt insects in Hungary: A case study. Food Qual. Prefer. 2017, 59, 81–86. [Google Scholar] [CrossRef]
- La Barbera, F.; Verneau, F.; Amato, M.; Grunert, K. Understanding Westerners’ disgust for the eating of insects: The role of food neophobia and implicit associations. Food Qual. Prefer. 2018, 64, 120–125. [Google Scholar] [CrossRef]
- Vanhonacker, F.; Van Loo, E.J.; Gellynck, X.; Verbeke, W. Flemish consumer attitudes towards more sustainable food choices. Appetite 2013, 62, 7–16. [Google Scholar] [CrossRef]
- Chen, P.P.; Wongsiri, S.; Jamyanya, T.; Rinderer, T.E.; Vongsamanode, S.; Matsuka, M.; Sylvester, H.A.; Oldroyd, B.P. Honey Bees and other Edible Insects Used as Human Food in Thailand. Am. Entomol. 1998, 44, 24–29. [Google Scholar] [CrossRef]
- Verspoor, R.L.; Soglo, M.; Adeoti, R.; Djouaka, R.; Edwards, S.; Fristedt, R.; Langton, M.; Moriana, R.; Osborne, M.; Parr, C.L.; et al. Mineral analysis reveals extreme manganese concentrations in wild harvested and commercially available edible termites. Sci. Rep. 2020, 10, 6146. [Google Scholar] [CrossRef]
- Greenfield, R.; Akala, N.; van der Bank, F.H. Heavy Metal Concentrations in Two Populations of Mopane Worms (Imbrasia belina) in the Kruger National Park Pose a Potential Human Health Risk. Bull. Environ. Contam. Toxicol. 2014, 93, 316–321. [Google Scholar] [CrossRef]
- Labu, S.; Subramanian, S.; Cheseto, X.; Akite, P.; Kasangaki, P.; Chemurot, M.; Tanga, C.M.; Salifu, D.; Egonyu, J.P. Agrochemical contaminants in six species of edible insects from Uganda and Kenya. Curr. Res. Insect Sci. 2022, 2, 100049. [Google Scholar] [CrossRef]
- Illgner, P.; Nel, E. The Geography of Edible Insects in Sub-Saharan Africa: A study of the Mopane Caterpillar. Geogr. J. 2000, 166, 336–351. [Google Scholar] [CrossRef]
- Ramos-Bueno, R.P.; González-Fernández, M.J.; Sánchez-Muros-Lozano, M.J.; García-Barroso, F.; Guil-Guerrero, J.L. Fatty acid profiles and cholesterol content of seven insect species assessed by several extraction systems. Eur. Food Res. Technol. 2016, 242, 1471–1477. [Google Scholar] [CrossRef]
- Żuk-Gołaszewska, K.; Gałęcki, R.; Obremski, K.; Smetana, S.; Figiel, S.; Gołaszewski, J. Edible Insect Farming in the Context of the EU Regulations and Marketing & mdash; An Overview. Insects 2022, 13, 446. [Google Scholar] [CrossRef]
- Aquino, J.C.d.; Souza, C.F.C.; Santos, J.R.d.J.; Joachim-Bravo, I.S. Adding guarana powder to medfly diets: An alternative for improving the Sterile Insect Technique. Sci. Agric. 2016, 73, 294–298. [Google Scholar] [CrossRef]
- Cadinu, L.A.; Barra, P.; Torre, F.; Delogu, F.; Madau, F.A. Insect Rearing: Potential, Challenges, and Circularity. Sustainability 2020, 12, 4567. [Google Scholar] [CrossRef]
- Stull, V.; Patz, J. Research and policy priorities for edible insects. Sustain. Sci. 2020, 15, 633–645. [Google Scholar] [CrossRef]
- Marberg, A.; van Kranenburg, H.; Korzilius, H. The big bug: The legitimation of the edible insect sector in the Netherlands. Food Policy 2017, 71, 111–123. [Google Scholar] [CrossRef]
- Verbeke, W. Profiling consumers who are ready to adopt insects as a meat substitute in a Western society. Food Qual. Prefer. 2015, 39, 147–155. [Google Scholar] [CrossRef]
- Wang, Y.-S.; Shelomi, M. Review of Black Soldier Fly (Hermetia illucens) as Animal Feed and Human Food. Foods 2017, 6, 91. [Google Scholar] [CrossRef]
- Kok, R. Preliminary project design for insect production: Part 4—Facility considerations. J. Insects Food Feed. 2021, 7, 541–551. [Google Scholar] [CrossRef]
- Bertola, M.; Mutinelli, F. A Systematic Review on Viruses in Mass-Reared Edible Insect Species. Viruses 2021, 13, 2280. [Google Scholar] [CrossRef]
- Oonincx, D.G.A.B.; Laurent, S.; Veenenbos, M.E.; van Loon, J.J.A. Dietary enrichment of edible insects with omega 3 fatty acids. Insect Sci. 2020, 27, 500–509. [Google Scholar] [CrossRef] [PubMed]
- Tanga, C.M.; Egonyu, J.P.; Beesigamukama, D.; Niassy, S.; Emily, K.; Magara, H.J.O.; Omuse, E.R.; Subramanian, S.; Ekesi, S. Edible insect farming as an emerging and profitable enterprise in East Africa. Curr. Opin. Insect Sci. 2021, 48, 64–71. [Google Scholar] [CrossRef] [PubMed]
- Reverberi, M. Edible insects: Cricket farming and processing as an emerging market. J. Insects Food Feed. 2020, 6, 211–220. [Google Scholar] [CrossRef]
- Ashizawa, R.; Rubio, N.; Letcher, S.; Parkinson, A.; Dmitruczyk, V.; Kaplan, D.L. Entomoculture: A Preliminary Techno-Economic Assessment. Foods 2022, 11, 3037. [Google Scholar] [CrossRef]
- Berggren, Å.; Jansson, A.; Low, M. Approaching Ecological Sustainability in the Emerging Insects-as-Food Industry. Trends Ecol. Evol. 2019, 34, 132–138. [Google Scholar] [CrossRef] [PubMed]
- van Huis, A.; Oonincx, D.G.A.B. The environmental sustainability of insects as food and feed. A review. Agron. Sustain. Dev. 2017, 37, 43. [Google Scholar] [CrossRef]
- Smetana, S.; Palanisamy, M.; Mathys, A.; Heinz, V. Sustainability of insect use for feed and food: Life Cycle Assessment perspective. J. Clean. Prod. 2016, 137, 741–751. [Google Scholar] [CrossRef]
- Klüppel, H.-J. The Revision of ISO Standards 14040-3-ISO 14040: Environmental management–Life cycle assessment–Principles and framework-ISO 14044: Environmental management–Life cycle assessment–Requirements and guidelines. Int. J. Life Cycle Assess. 2005, 10, 165. [Google Scholar] [CrossRef]
- International Organization for Standardization. Environmental Management: Life Cycle Assessment; Requirements and Guidelines; ISO: Geneva, Switzerland, 2006; Volume 14044. [Google Scholar]
- Wade, M.; Hoelle, J. A review of edible insect industrialization: Scales of production and implications for sustainability. Environ. Res. Lett. 2020, 15, 123013. [Google Scholar] [CrossRef]
- Imathiu, S. Benefits and food safety concerns associated with consumption of edible insects. NFS J. 2020, 18, 1–11. [Google Scholar] [CrossRef]
- Ribeiro, J.C.; Cunha, L.M.; Sousa-Pinto, B.; Fonseca, J. Allergic risks of consuming edible insects: A systematic review. Mol. Nutr. Food Res. 2018, 62, 1700030. [Google Scholar] [CrossRef] [PubMed]
- Baiano, A. Edible insects: An overview on nutritional characteristics, safety, farming, production technologies, regulatory framework, and socio-economic and ethical implications. Trends Food Sci. Technol. 2020, 100, 35–50. [Google Scholar] [CrossRef]
- de Gier, S.; Verhoeckx, K. Insect (food) allergy and allergens. Mol. Immunol. 2018, 100, 82–106. [Google Scholar] [CrossRef] [PubMed]
- Ribeiro, J.C.; Sousa-Pinto, B.; Fonseca, J.; Fonseca, S.C.; Cunha, L.M. Edible insects and food safety: Allergy. J. Insects Food Feed. 2021, 7, 833–847. [Google Scholar] [CrossRef]
- Kamemura, N.; Sugimoto, M.; Tamehiro, N.; Adachi, R.; Tomonari, S.; Watanabe, T.; Mito, T. Cross-allergenicity of crustacean and the edible insect Gryllus bimaculatus in patients with shrimp allergy. Mol. Immunol. 2019, 106, 127–134. [Google Scholar] [CrossRef]
- Doi, H.; Gałęcki, R.; Mulia, R.N. The merits of entomophagy in the post COVID-19 world. Trends Food Sci. Technol. 2021, 110, 849–854. [Google Scholar] [CrossRef]
- Leni, G.; Tedeschi, T.; Faccini, A.; Pratesi, F.; Folli, C.; Puxeddu, I.; Migliorini, P.; Gianotten, N.; Jacobs, J.; Depraetere, S.; et al. Shotgun proteomics, in-silico evaluation and immunoblotting assays for allergenicity assessment of lesser mealworm, black soldier fly and their protein hydrolysates. Sci. Rep. 2020, 10, 1228. [Google Scholar] [CrossRef]
- Verhoeckx, K.C.M.; Vissers, Y.M.; Baumert, J.L.; Faludi, R.; Feys, M.; Flanagan, S.; Herouet-Guicheney, C.; Holzhauser, T.; Shimojo, R.; van der Bolt, N.; et al. Food processing and allergenicity. Food Chem. Toxicol. 2015, 80, 223–240. [Google Scholar] [CrossRef]
- Pali-Schöll, I.; Meinlschmidt, P.; Larenas-Linnemann, D.; Purschke, B.; Hofstetter, G.; Rodríguez-Monroy, F.A.; Einhorn, L.; Mothes-Luksch, N.; Jensen-Jarolim, E.; Jäger, H. Edible insects: Cross-recognition of IgE from crustacean- and house dust mite allergic patients, and reduction of allergenicity by food processing. World Allergy Organ. J. 2019, 12, 100006. [Google Scholar] [CrossRef]
- De Marchi, L.; Mainente, F.; Leonardi, M.; Scheurer, S.; Wangorsch, A.; Mahler, V.; Pilolli, R.; Sorio, D.; Zoccatelli, G. Allergenicity assessment of the edible cricket Acheta domesticus in terms of thermal and gastrointestinal processing and IgE cross-reactivity with shrimp. Food Chem. 2021, 359, 129878. [Google Scholar] [CrossRef]
- Evans, J.; Müller, A.; Jensen, A.B.; Dahle, B.; Flore, R.; Eilenberg, J.; Frøst, M.B. A descriptive sensory analysis of honeybee drone brood from Denmark and Norway. J. Insects Food Feed. 2016, 2, 277–283. [Google Scholar] [CrossRef]
- Osimani, A.; Garofalo, C.; Milanović, V.; Taccari, M.; Cardinali, F.; Aquilanti, L.; Pasquini, M.; Mozzon, M.; Raffaelli, N.; Ruschioni, S.; et al. Insight into the proximate composition and microbial diversity of edible insects marketed in the European Union. Eur. Food Res. Technol. 2017, 243, 1157–1171. [Google Scholar] [CrossRef]
- Durst, P.B.; Johnson, D.V.; Leslie, R.N.; Shono, K. Forest insects as food: Humans bite back. RAP Publ. 2010, 1, 1–241. [Google Scholar]
- Gao, Y.; Wang, H.; Qin, F.; Xu, P.; Lv, X.; Li, J.; Guo, B. Enantiomerization and Enantioselective Bioaccumulation of Metalaxyl in Tenebrio molitor Larvae. Chirality 2014, 26, 88–94. [Google Scholar] [CrossRef]
- Houbraken, M.; Spranghers, T.; De Clercq, P.; Cooreman-Algoed, M.; Couchement, T.; De Clercq, G.; Verbeke, S.; Spanoghe, P. Pesticide contamination of Tenebrio molitor (Coleoptera: Tenebrionidae) for human consumption. Food Chem. 2016, 201, 264–269. [Google Scholar] [CrossRef]
- Rehman, K.; Fatima, F.; Waheed, I.; Akash, M.S.H. Prevalence of exposure of heavy metals and their impact on health consequences. J. Cell. Biochem. 2018, 119, 157–184. [Google Scholar] [CrossRef] [PubMed]
- van der Fels-Klerx, H.J.; Camenzuli, L.; Belluco, S.; Meijer, N.; Ricci, A. Food Safety Issues Related to Uses of Insects for Feeds and Foods. Compr. Rev. Food Sci. Food Saf. 2018, 17, 1172–1183. [Google Scholar] [CrossRef] [PubMed]
- van Huis, A. Prospects of insects as food and feed. Org. Agric. 2021, 11, 301–308. [Google Scholar] [CrossRef]
- Handley, M.A.; Hall, C.; Sanford, E.; Diaz, E.; Gonzalez-Mendez, E.; Drace, K.; Wilson, R.; Villalobos, M.; Croughan, M. Globalization, Binational Communities, and Imported Food Risks: Results of an Outbreak Investigation of Lead Poisoning in Monterey County, California. Am. J. Public Health 2007, 97, 900–906. [Google Scholar] [CrossRef]
- Boye, J.I.; Danquah, A.O.; Lam Thang, C.; Zhao, X. Food Allergens. In Food Biochemistry and Food Processing; Blackwell: New Jerssey, NJ, USA, 2012; pp. 798–819. [Google Scholar]
- Kachapulula, P.W.; Akello, J.; Bandyopadhyay, R.; Cotty, P.J. Aflatoxin Contamination of Dried Insects and Fish in Zambia. J. Food Prot. 2018, 81, 1508–1518. [Google Scholar] [CrossRef]
- Idowu, A.B.; Oliyide, E.O.; Ademolu, K.O.; Bamidele, J.A. Nutritional and anti-nutritional evaluation of three edible insects consumed by the Abeokuta community in Nigeria. Int. J. Trop. Insect Sci. 2019, 39, 157–163. [Google Scholar] [CrossRef]
- Melgar-Lalanne, G.; Hernández-Álvarez, A.-J.; Salinas-Castro, A. Edible Insects Processing: Traditional and Innovative Technologies. Compr. Rev. Food Sci. Food Saf. 2019, 18, 1166–1191. [Google Scholar] [CrossRef] [PubMed]
- Gravel, A.; Doyen, A. The use of edible insect proteins in food: Challenges and issues related to their functional properties. Innov. Food Sci. Emerg. Technol. 2020, 59, 102272. [Google Scholar] [CrossRef]
- Okolie, C.L.; Akanbi, T.O.; Mason, B.; Udenigwe, C.C.; Aryee, A.N.A. Influence of conventional and recent extraction technologies on physicochemical properties of bioactive macromolecules from natural sources: A review. Food Res. Int. 2019, 116, 827–839. [Google Scholar] [CrossRef]
- Kumar, S.P.J.; Prasad, S.R.; Banerjee, R.; Agarwal, D.K.; Kulkarni, K.S.; Ramesh, K.V. Green solvents and technologies for oil extraction from oilseeds. Chem. Cent. J. 2017, 11, 9. [Google Scholar] [CrossRef]
- Choi, B.D.; Wong, N.A.K.; Auh, J.-H. Defatting and sonication enhances protein extraction from edible insects. Korean J. Food Sci. Anim. Resour. 2017, 37, 955. [Google Scholar] [CrossRef]
- Laroche, M.; Perreault, V.; Marciniak, A.; Gravel, A.; Chamberland, J.; Doyen, A. Comparison of Conventional and Sustainable Lipid Extraction Methods for the Production of Oil and Protein Isolate from Edible Insect Meal. Foods 2019, 8, 572. [Google Scholar] [CrossRef]
- Otero, P.; Gutierrez-Docio, A.; Navarro del Hierro, J.; Reglero, G.; Martin, D. Extracts from the edible insects Acheta domesticus and Tenebrio molitor with improved fatty acid profile due to ultrasound assisted or pressurized liquid extraction. Food Chem. 2020, 314, 126200. [Google Scholar] [CrossRef]
- Azmir, J.; Zaidul, I.S.M.; Rahman, M.M.; Sharif, K.M.; Mohamed, A.; Sahena, F.; Jahurul, M.H.A.; Ghafoor, K.; Norulaini, N.A.N.; Omar, A.K.M. Techniques for extraction of bioactive compounds from plant materials: A review. J. Food Eng. 2013, 117, 426–436. [Google Scholar] [CrossRef]
- Hall, F.; Liceaga, A. Effect of microwave-assisted enzymatic hydrolysis of cricket (Gryllodes sigillatus) protein on ACE and DPP-IV inhibition and tropomyosin-IgG binding. J. Funct. Foods 2020, 64, 103634. [Google Scholar] [CrossRef]
- Ward, N.; Sahebkar, A.; Banach, M.; Watts, G. Recent perspectives on the role of nutraceuticals as cholesterol-lowering agents. Curr. Opin. Lipidol. 2017, 28, 495–501. [Google Scholar] [CrossRef] [PubMed]
- Kolarič, L.; Šimko, P. Effect of processing conditions on measure of cholesterol removal from milk and cream. Mon. Chem. Chem. Mon. 2022, 153, 1069–1075. [Google Scholar] [CrossRef]
- Zhao, X.; Vázquez-Gutiérrez, J.L.; Johansson, D.P.; Landberg, R.; Langton, M. Yellow Mealworm Protein for Food Purposes-Extraction and Functional Properties. PLoS ONE 2016, 11, e0147791. [Google Scholar] [CrossRef] [PubMed]
- Kim, T.-K.; Yong, H.I.; Chun, H.H.; Lee, M.-A.; Kim, Y.-B.; Choi, Y.-S. Changes of amino acid composition and protein technical functionality of edible insects by extracting steps. J. Asia Pac. Entomol. 2020, 23, 298–305. [Google Scholar] [CrossRef]
- Mintah, B.K.; He, R.; Agyekum, A.A.; Dabbour, M.; Golly, M.K.; Ma, H. Edible insect protein for food applications: Extraction, composition, and functional properties. J. Food Process Eng. 2020, 43, e13362. [Google Scholar] [CrossRef]
- van Huis, A. Edible insects are the future? Proc. Nutr. Soc. 2016, 75, 294–305. [Google Scholar] [CrossRef]
- DeFoliart, G.R. Insects as human food: Gene DeFoliart discusses some nutritional and economic aspects. Crop Prot. 1992, 11, 395–399. [Google Scholar] [CrossRef]
- Tzompa-Sosa, D.A.; Yi, L.; van Valenberg, H.J.F.; van Boekel, M.A.J.S.; Lakemond, C.M.M. Insect lipid profile: Aqueous versus organic solvent-based extraction methods. Food Res. Int. 2014, 62, 1087–1094. [Google Scholar] [CrossRef]
- Mohan, K.; Ganesan, A.R.; Muralisankar, T.; Jayakumar, R.; Sathishkumar, P.; Uthayakumar, V.; Chandirasekar, R.; Revathi, N. Recent insights into the extraction, characterization, and bioactivities of chitin and chitosan from insects. Trends Food Sci. Technol. 2020, 105, 17–42. [Google Scholar] [CrossRef]
- Khanafari, A.; Marandi, R.E.Z.A.; SANATI, S. Recovery of chitin and chitosan from shrimp waste by chemical and microbial methods. Iran. J. Health Environ. 2008, 5, 19–24. [Google Scholar]
- Zhou, P.; Li, J.; Yan, T.; Wang, X.; Huang, J.; Kuang, Z.; Ye, M.; Pan, M. Selectivity of deproteinization and demineralization using natural deep eutectic solvents for production of insect chitin (Hermetia illucens). Carbohydr. Polym. 2019, 225, 115255. [Google Scholar] [CrossRef] [PubMed]
- Brigode, C.; Hobbi, P.; Jafari, H.; Verwilghen, F.; Baeten, E.; Shavandi, A. Isolation and physicochemical properties of chitin polymer from insect farm side stream as a new source of renewable biopolymer. J. Clean. Prod. 2020, 275, 122924. [Google Scholar] [CrossRef]
- Gharibzahedi, S.M.; Altintas, Z. Ultrasound-Assisted Alcoholic Extraction of Lesser Mealworm Larvae Oil: Process Optimization, Physicochemical Characteristics, and Energy Consumption. Antioxidants 2022, 11, 1943. [Google Scholar] [CrossRef] [PubMed]
- Sete da Cruz, R.M.; da Silva, C.; da Silva, E.A.; Hegel, P.; Barão, C.E.; Cardozo-Filho, L. Composition and oxidative stability of oils extracted from Zophobas morio and Tenebrio molitor using pressurized n-propane. J. Supercrit. Fluids 2022, 181, 105504. [Google Scholar] [CrossRef]
- Haber, M.; Mishyna, M.; Martinez, J.J.I.; Benjamin, O. The influence of grasshopper (Schistocerca gregaria) powder enrichment on bread nutritional and sensorial properties. LWT 2019, 115, 108395. [Google Scholar] [CrossRef]
- Osimani, A.; Milanović, V.; Cardinali, F.; Roncolini, A.; Garofalo, C.; Clementi, F.; Pasquini, M.; Mozzon, M.; Foligni, R.; Raffaelli, N.; et al. Bread enriched with cricket powder (Acheta domesticus): A technological, microbiological and nutritional evaluation. Innov. Food Sci. Emerg. Technol. 2018, 48, 150–163. [Google Scholar] [CrossRef]
- Nissen, L.; Samaei, S.P.; Babini, E.; Gianotti, A. Gluten free sourdough bread enriched with cricket flour for protein fortification: Antioxidant improvement and Volatilome characterization. Food Chem. 2020, 333, 127410. [Google Scholar] [CrossRef]
- da Rosa Machado, C.; Thys, R.C.S. Cricket powder (Gryllus assimilis) as a new alternative protein source for gluten-free breads. Innov. Food Sci. Emerg. Technol. 2019, 56, 102180. [Google Scholar] [CrossRef]
- Biró, B.; Fodor, R.; Szedljak, I.; Pásztor-Huszár, K.; Gere, A. Buckwheat-pasta enriched with silkworm powder: Technological analysis and sensory evaluation. LWT 2019, 116, 108542. [Google Scholar] [CrossRef]
- Park, Y.-S.; Choi, Y.-S.; Hwang, K.-E.; Kim, T.-K.; Lee, C.-W.; Shin, D.-M.; Han, S.G. Physicochemical properties of meat batter added with edible silkworm pupae (Bombyx mori) and transglutaminase. Korean J. Food Sci. Anim. Resour. 2017, 37, 351. [Google Scholar] [CrossRef]
- Kim, H.-W.; Setyabrata, D.; Lee, Y.; Jones, O.G.; Kim, Y.H.B. Effect of House Cricket (Acheta domesticus) Flour Addition on Physicochemical and Textural Properties of Meat Emulsion Under Various Formulations. J. Food Sci. 2017, 82, 2787–2793. [Google Scholar] [CrossRef] [PubMed]
- Kim, H.-W.; Setyabrata, D.; Lee, Y.J.; Jones, O.G.; Kim, Y.H.B. Pre-treated mealworm larvae and silkworm pupae as a novel protein ingredient in emulsion sausages. Innov. Food Sci. Emerg. Technol. 2016, 38, 116–123. [Google Scholar] [CrossRef]
- Azzollini, D.; Derossi, A.; Fogliano, V.; Lakemond, C.M.M.; Severini, C. Effects of formulation and process conditions on microstructure, texture and digestibility of extruded insect-riched snacks. Innov. Food Sci. Emerg. Technol. 2018, 45, 344–353. [Google Scholar] [CrossRef]
- Kewuyemi, Y.O.; Kesa, H.; Chinma, C.E.; Adebo, O.A. Fermented Edible Insects for Promoting Food Security in Africa. Insects 2020, 11, 283. [Google Scholar] [CrossRef] [PubMed]
- Wang, W.; Wang, N.; Liu, C.; Jin, J. Effect of Silkworm Pupae Peptide on the Fermentation and Quality of Yogurt. J. Food Processing Preserv. 2017, 41, e12893. [Google Scholar] [CrossRef]
- Cho, J.-H.; Zhao, H.-L.; Kim, J.-S.; Kim, S.-H.; Chung, C.-H. Characteristics of fermented seasoning sauces using Tenebrio molitor larvae. Innov. Food Sci. Emerg. Technol. 2018, 45, 186–195. [Google Scholar] [CrossRef]
- Reverberi, M. The new packaged food products containing insects as an ingredient. J. Insects Food Feed. 2021, 7, 901–908. [Google Scholar] [CrossRef]
- Hanboonsong, Y.; Jamjanya, T.; Durst, P.B. Six-Legged Livestock: Edible Insect Farming, Collection and Marketing in Thailand; Food and Agriculture Organization of the United Nations: Bangkok, Thailand, 2013; Volume 3, pp. 8–21. [Google Scholar]
- Usman, H.S.; Yusuf, A.A. Legislation and legal frame work for sustainable edible insects use in Nigeria. Int. J. Trop. Insect Sci. 2021, 41, 2201–2209. [Google Scholar] [CrossRef]
- Mariod, A.A. The Legislative Status of Edible Insects in the World. In African Edible Insects as Alternative Source of Food, Oil, Protein and Bioactive Components; Adam Mariod, A., Ed.; Springer International Publishing: Cham, Switzerland, 2020; pp. 141–148. [Google Scholar]
- Van Huis, A. Edible crickets, but which species? J. Insects Food Feed. 2020, 6, 91–94. [Google Scholar] [CrossRef]
- Halloran, A.; Vantomme, P.; Hanboonsong, Y.; Ekesi, S. Regulating edible insects: The challenge of addressing food security, nature conservation, and the erosion of traditional food culture. Food Secur. 2015, 7, 739–746. [Google Scholar] [CrossRef]
- Vandeweyer, D. Microbiological Quality of Raw Edible Insects and Impact of Processing and Preservation; Katholieke Universiteit Leuven: Leuven, Belgium, 2018. [Google Scholar]
- Laurenza, E.C.; Carreño, I. Edible Insects and Insect-based Products in the EU: Safety Assessments, Legal Loopholes and Business Opportunities. Eur. J. Risk Regul. 2015, 6, 288–292. [Google Scholar] [CrossRef]
- EFSA Panel on Nutrition, Novel Foods and Food Allergens (NDA); Turck, D.; Bohn, T.; Castenmiller, J.; De Henauw, S.; Hirsch-Ernst, K.I.; Maciuk, A.; Mangelsdorf, I.; McArdle, H.J.; Naska, A.; et al. Safety of frozen and dried formulations from whole house crickets (Acheta domesticus) as a Novel food pursuant to Regulation (EU) 2015/2283. EFSA J. 2021, 19, e06779. [Google Scholar] [CrossRef] [PubMed]
- EFSA Panel on Nutrition, Novel Foods and Food Allergens (NDA); Turck, D.; Bohn, T.; Castenmiller, J.; De Henauw, S.; Hirsch-Ernst, K.I.; Maciuk, A.; Mangelsdorf, I.; McArdle, H.J.; Naska, A.; et al. Safety of partially defatted house cricket (Acheta domesticus) powder as a novel food pursuant to Regulation (EU) 2015/2283. EFSA J. 2022, 20, e07258. [Google Scholar] [CrossRef] [PubMed]
- German Federal Institute for Risk Assessment (BfR); National Reference Laboratory for Animal Protein in Feed; NRL-AP; Garino, C.; Zagon, J.; Braeuning, A. Insects in food and feed–Allergenicity risk assessment and analytical detection. EFSA J. 2019, 17, e170907. [Google Scholar] [CrossRef] [PubMed]
- Wilderspin, D.E.; Halloran, A. The Effects of Regulation, Legislation and Policy on Consumption of Edible Insects in the Global South. In Edible Insects in Sustainable Food Systems; Halloran, A., Flore, R., Vantomme, P., Roos, N., Eds.; Springer International Publishing: Cham, Switzerland, 2018; pp. 443–455. [Google Scholar]
- Lähteenmäki-Uutela, A.; Hénault-Ethier, L.; Marimuthu, S.B.; Talibov, S.; Allen, R.N.; Nemane, V.; Vandenberg, G.W.; Józefiak, D. The impact of the insect regulatory system on the insect marketing system. J. Insects Food Feed. 2018, 4, 187–198. [Google Scholar] [CrossRef]
- van Huis, A.; Dicke, M.; van Gurp, H. The Insect Cookbook: Food for a Sustainable Planet; Columbia Scholarship Online: New York, NY, USA, 2014. [Google Scholar] [CrossRef]
Publisher’s Note: MDPI stays neutral with regard to jurisdictional claims in published maps and institutional affiliations. |
© 2022 by the authors. Licensee MDPI, Basel, Switzerland. This article is an open access article distributed under the terms and conditions of the Creative Commons Attribution (CC BY) license (https://creativecommons.org/licenses/by/4.0/).







