Consumer-Related Antecedents of Waste Behavior in Online Food Ordering: A Study among Young Adults in China
Abstract
1. Introduction
2. Literature Review and Hypothesis Development
2.1. Food Waste Behavior
2.2. Theory and Hypotheses
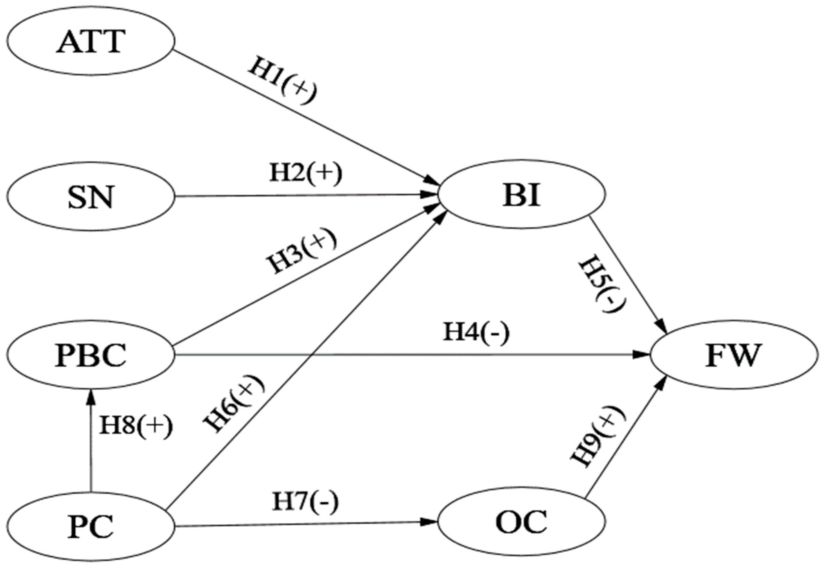
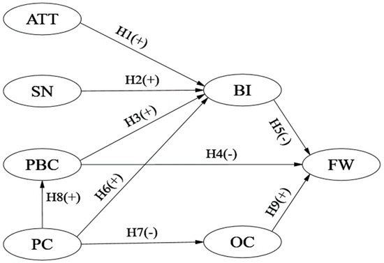
2.3. Model Structure
3. Materials and Methods
3.1. Sample Selection
3.2. Questionnaire
4. Results
4.1. Descriptive Analysis
4.2. Reliability, Validity, and Model Fit
4.3. Hypothesis Testing
4.4. Mediation Analysis
5. Discussion
6. Conclusions
7. Policy Implications
8. Limitations and Future Research
Author Contributions
Funding
Institutional Review Board Statement
Informed Consent Statement
Data Availability Statement
Conflicts of Interest
References
- FAO. Food Security and Nutrition in the World; Food and Agriculture Organization: Quebec, QC, Canada, 2021. [Google Scholar]
- Fan, S. Economics in food systems transformation. Nature Food 2021, 2, 218–219. [Google Scholar] [CrossRef]
- FAO. Tracking Progress on Food and Agriculture-Related SDG Indicators; Food and Agriculture Organization: Quebec, QC, Canada, 2020. [Google Scholar]
- Gustavsson, J.; Cederberg, C.; Sonesson, U. Global Food Losses and Food Waste: Extent, Causes and Prevention; Swedish Institute for Food and Biotechnology (SIK): Gothenburg, Sweden, 2011. [Google Scholar]
- HLPE. Food Loss and Waste in the Context of Sustainable Food Systems; High Level Panel of Experts on Food Security and Nutrition (HLPE): Rome, Italy, 2014. [Google Scholar]
- Lopez Barrera, E.; Hertel, T. Global food waste across the income spectrum: Implications for food prices, production and resource use. Food Policy 2021, 98, 101874. [Google Scholar] [CrossRef]
- Vittuari, M.; Pagani, M.; Johnson, T.G.; de Menna, F. Impacts and costs of embodied and nutritional energy of food waste in the US food system: Distribution and consumption (Part B). J. Clean. Prod. 2020, 252, 119857. [Google Scholar] [CrossRef]
- Cicatiello, C.; Franco, S.; Pancino, B.; Blasi, E.; Falasconi, L. The dark side of retail food waste: Evidences from in-store data. Resour. Conserv. Recycl. 2017, 125, 273–281. [Google Scholar] [CrossRef]
- Reynolds, C.; Mirosa, M.; Clothier, B. New Zealand’s Food Waste: Estimating the Tonnes, Value, Calories and Resources Wasted. Agriculture 2016, 6, 9. [Google Scholar] [CrossRef]
- Buzby, J.C.; Hyman, J. Total and per capita value of food loss in the United States. Food Policy 2012, 37, 561–570. [Google Scholar] [CrossRef]
- Campoy-Muñoz, P.; Cardenete, M.A.; Delgado, M.C. Economic impact assessment of food waste reduction on European countries through social accounting matrices. Resour. Conserv. Recycl. 2017, 122, 202–209. [Google Scholar] [CrossRef]
- Birney, C.I.; Franklin, K.F.; Davidson, F.T.; Webber, M.E. An assessment of individual foodprints attributed to diets and food waste in the United States. Environ. Res. Lett. 2017, 12, 105008. [Google Scholar] [CrossRef]
- Sun, S.K.; Lu, Y.J.; Gao, H.; Jiang, T.T.; Du, X.Y.; Shen, T.X.; Wu, P.T.; Wang, Y.B. Impacts of food wastage on water resources and environment in China. J. Clean. Prod. 2018, 185, 732–739. [Google Scholar] [CrossRef]
- Adelodun, B.; Choi, K.S. Impact of food wastage on water resources and GHG emissions in Korea: A trend-based prediction modeling study. J. Clean. Prod. 2020, 271, 122562. [Google Scholar] [CrossRef]
- Parfitt, J.; Barthel, M.; Macnaughton, S. Food waste within food supply chains: Quantification and potential for change to 2050. Philos. Trans. R. Soc. Lond. B Biol. Sci. 2010, 365, 3065–3081. [Google Scholar] [CrossRef] [PubMed]
- Betz, A.; Buchli, J.; Göbel, C.; Müller, C. Food waste in the Swiss food service industry—Magnitude and potential for reduction. Waste Manag. 2015, 35, 218–226. [Google Scholar] [CrossRef] [PubMed]
- Xue, L.; Liu, X.; Lu, S.; Cheng, G.; Hu, Y.; Liu, J.; Dou, Z.; Cheng, S.; Liu, G. China’s food loss and waste embodies increasing environmental impacts. Nat. Food 2021, 2, 519–528. [Google Scholar] [CrossRef]
- Xu, Z.; Zhang, Z.; Liu, H.; Zhong, F.; Bai, J.; Cheng, S. Food-away-from-home plate waste in China: Preference for variety and quantity. Food Policy 2020, 97, 101918. [Google Scholar] [CrossRef]
- Wang, L.-E.; Liu, G.; Liu, X.; LIU, Y.; Gao, J.; Zhou, B.; Gao, S.; Cheng, S. The weight of unfinished plate: A survey based characterization of restaurant food waste in Chinese cities. Waste Manag. 2017, 66, 3–12. [Google Scholar] [CrossRef] [PubMed]
- WWF. Institute of Geographical Sciences and Resources; Chinese Academy of Sciences. In China Urban Dining Food Waste Report; China Statistical Publishing: Beijing, China, 2018. [Google Scholar]
- Xing, Y.; Yu, G. Catering Industry Development Report of China; Social Sciences Academic Press: Beijing, China, 2021. [Google Scholar]
- Yu, Z.; Ju, X.; Bai, L.; Gong, S. Consumer’s over-ordering behavior at restaurant: Understanding the important roles of interventions from waiter and ordering habits. Appetite 2021, 160, 105092. [Google Scholar] [CrossRef] [PubMed]
- Vizzoto, F.; Tessitore, S.; Testa, F.; Iraldo, F. Plate waste in foodservice outlets: Revealing customer profiles and their support for potentially contentious measures to reduce it in Italy. Resour. Conserv. Recycl. 2021, 174, 105771. [Google Scholar] [CrossRef]
- Filimonau, V.; Zhang, H.; Wang, L.-E. Food waste management in Shanghai full-service restaurants: A senior managers’ perspective. J. Clean. Prod. 2020, 258, 120975. [Google Scholar] [CrossRef]
- Liao, C.; Hong, J.; Zhao, D.; Zhang, S.; Chen, C. Confucian Culture as Determinants of Consumers’ Food Leftover Generation: Evidence from Chengdu, China. Environ. Sci. Pollut. Res. Int. 2018, 25, 14919–14933. [Google Scholar] [CrossRef]
- Gao, S.; Bao, J.; Li, R.; Liu, X.; Wu, C. Drivers and reduction solutions of food waste in the Chinese food service business. Sustain. Prod. Consum. 2021, 26, 78–88. [Google Scholar] [CrossRef]
- Dhir, A.; Talwar, S.; Kaur, P.; Malibari, A. Food waste in hospitality and food services: A systematic literature review and framework development approach. J. Clean. Prod. 2020, 270, 122861. [Google Scholar] [CrossRef]
- Sharma, R.; Dhir, A.; Talwar, S.; Kaur, P. Over-ordering and food waste: The use of food delivery apps during a pandemic. Int. J. Hosp. Manag. 2021, 96, 102977. [Google Scholar] [CrossRef]
- Talwar, S.; Kaur, P.; Ahmed, U.; Bilgihan, A.; Dhir, A. The dark side of convenience: How to reduce food waste induced by food delivery apps. BFJ 2022, 32, 252. [Google Scholar] [CrossRef]
- Principato, L.; Mattia, G.; Di Leo, A.; Pratesi, C.A. The household wasteful behaviour framework: A systematic review of consumer food waste. Ind. Mark. Manag. 2021, 93, 641–649. [Google Scholar] [CrossRef]
- Mattar, L.; Abiad, M.G.; Chalak, A.; Diab, M.; Hassan, H. Attitudes and behaviors shaping household food waste generation: Lessons from Lebanon. J. Clean. Prod. 2018, 198, 1219–1223. [Google Scholar] [CrossRef]
- Zhang, Z.; Xu, Z. Income Elasticity, Effect Analysis and Simulation Analysis of Chinese Household Food Waste. J. Agrotech. Econ. 2022, 5, 110–123. [Google Scholar] [CrossRef]
- Ellison, B.; Lusk, J.L. Examining Household Food Waste Decisions: A Vignette Approach. Appl. Econ. Perspect. Policy 2018, 40, 613–631. [Google Scholar] [CrossRef]
- Aktas, E.; Sahin, H.; Topaloglu, Z.; Oledinma, A.; Huda, A.K.S.; Irani, Z.; Sharif, A.M.; van’t Wout, T.; Kamrava, M. A consumer behavioural approach to food waste. JEIM 2018, 31, 658–673. [Google Scholar] [CrossRef]
- Yu, Y.; Jaenicke, E.C. The effect of sell-by dates on purchase volume and food waste. Food Policy 2021, 98, 101879. [Google Scholar] [CrossRef]
- Heidenstrøm, N.; Hebrok, M. Fridge studies—Rummage through the fridge to understand food waste. Appetite 2021, 165, 105321. [Google Scholar] [CrossRef]
- Teng, C.-C.; Chih, C.; Wang, Y.-C. Decisional Factors Driving Household Food Waste Prevention: Evidence from Taiwanese Families. Sustainability 2020, 12, 6666. [Google Scholar] [CrossRef]
- Min, S.; Wang, X.; Yu, X. Does dietary knowledge affect household food waste in the developing economy of China? Food Policy 2021, 98, 101896. [Google Scholar] [CrossRef]
- Wang, L.; Xue, L.; Li, Y.; Liu, X.; Cheng, S.; Liu, G. Horeca food waste and its ecological footprint in Lhasa, Tibet, China. Resour. Conserv. Recycl. 2018, 136, 1–8. [Google Scholar] [CrossRef]
- Li, Y.; Filimonau, V.; Wang, L.E.; Cheng, S. Tourist food consumption and its arable land requirements in a popular tourist destination. Resour. Conserv. Recycl. 2020, 153, 104587. [Google Scholar] [CrossRef]
- Visschers, V.H.M.; Gundlach, D.; Beretta, C. Smaller servings vs. information provision: Results of two interventions to reduce plate waste in two university canteens. Waste Manag. 2020, 103, 323–333. [Google Scholar] [CrossRef]
- Filimonau, V.; Matute, J.; Kubal-Czerwińska, M.; Krzesiwo, K.; Mika, M. The determinants of consumer engagement in restaurant food waste mitigation in Poland: An exploratory study. J. Clean. Prod. 2020, 247, 119105. [Google Scholar] [CrossRef]
- Katt, F.; Meixner, O. Food waste prevention behavior in the context of hedonic and utilitarian shopping value. J. Clean. Prod. 2020, 273, 122878. [Google Scholar] [CrossRef]
- Russell, S.V.; Young, C.W.; Unsworth, K.L.; Robinson, C. Bringing habits and emotions into food waste behaviour. Resour. Conserv. Recycl. 2017, 125, 107–114. [Google Scholar] [CrossRef]
- Stancu, V.; Haugaard, P.; Lähteenmäki, L. Determinants of consumer food waste behaviour: Two routes to food waste. Appetite 2016, 96, 7–17. [Google Scholar] [CrossRef]
- Kinach, L.; Parizeau, K.; Fraser, E.D.G. Do food donation tax credits for farmers address food loss/waste and food insecurity? A case study from Ontario. Agric. Hum. Values 2020, 37, 383–396. [Google Scholar] [CrossRef]
- Eriksson, M.; Giovannini, S.; Ghosh, R.K. Is there a need for greater integration and shift in policy to tackle food waste?: Insights from a review of European Union legislations. SN Appl. Sci. 2020, 2, 83. [Google Scholar] [CrossRef]
- Secondi, L.; Principato, L.; Mattia, G. Can digital solutions help in the minimization of out-of-home waste? An analysis from the client and business perspective. BFJ 2020, 122, 1341–1359. [Google Scholar] [CrossRef]
- Jagtap, S.; Rahimifard, S. The digitisation of food manufacturing to reduce waste—Case study of a ready meal factory. Waste Manag. 2019, 87, 387–397. [Google Scholar] [CrossRef] [PubMed]
- Strotmann, C.; Baur, V.; Börnert, N.; Gerwin, P. Generation and prevention of food waste in the German food service sector in the COVID-19 pandemic—Digital approaches to encounter the pandemic related crisis. Socio-Econ. Plan. Sci. 2022, 82, 101104. [Google Scholar] [CrossRef] [PubMed]
- Gładysz, B.; Buczacki, A.; Haskins, C. Lean Management Approach to Reduce Waste in HoReCa Food Services. Resources 2020, 9, 144. [Google Scholar] [CrossRef]
- Walia, B.; Sanders, S. Curbing food waste: A review of recent policy and action in the USA. Renew. Agric. Food Syst. 2019, 34, 169–177. [Google Scholar] [CrossRef]
- Żmieńka, E.; Staniszewski, J. Food management innovations for reducing food wastage—A systematic literature review. Management 2020, 24, 193–207. [Google Scholar] [CrossRef]
- Chalak, A.; Abou-Daher, C.; Chaaban, J.; Abiad, M.G. The global economic and regulatory determinants of household food waste generation: A cross-country analysis. Waste Manag. 2016, 48, 418–422. [Google Scholar] [CrossRef]
- Ajzen, I. The Theory of Planned Behavior. Organ. Behav. Hum. Decis. Process. 1991, 55, 179–211. [Google Scholar] [CrossRef]
- Li, C. Leisure Tourism Marine Space Planning Based on TPB Expansion Model. J. Coast. Res. 2020, 103, 1089–1092. [Google Scholar] [CrossRef]
- Ashraf, J.M.; Muhammad, A.; Nazam, A.; Hussain, S.S.A.; Panuwat, J.; Qudeer, H.; Krisada, C. Extracting Travelers’ Preferences toward Electric Vehicles Using the Theory of Planned Behavior in Lahore, Pakistan. Sustainability 2022, 14, 1909. [Google Scholar]
- Liu, J.; Wu, J.S.; Che, T. Understanding perceived environment quality in affecting tourists’ environmentally responsible behaviours: A broken windows theory perspective. Tour. Manag. Perspect. 2019, 31, 236–244. [Google Scholar] [CrossRef]
- Luengen, K.; Mazerolle, L.; Antrobus, E. Fostering intentions to attend school: Applying the theory of planned behaviour to shape positive behavioural intentions in a cohort of truanting youths. Curr. Psychol. 2021. [Google Scholar] [CrossRef]
- Giure Sastre, C.; Benavides Espinosa, M.D.M.; Ribeiro Soriano, D. When intentions turn into action: Pathways to successful firm performance. Int. Entrepreneurship Manag. J. 2021, 18, 733–751. [Google Scholar] [CrossRef]
- Syafiqah, R.; EunHa, J.; Arendt, S.W.; Yang, X. Menu labeling influence on purchase behaviors: Applying the theory of planned behavior and health consciousness. Appetite 2022, 172, 105967. [Google Scholar]
- Xin, Q.; Xu, T.; Angelika, P. Exploring Chinese Consumers’ Online Purchase Intentions toward Certified Food Products during the COVID-19 Pandemic. Foods 2021, 10, 2729. [Google Scholar]
- Lorenz, B.; Hartmann, M.; Hirsch, S.; Kanz, O.; Langen, N. Determinants of Plate Leftovers in One German Catering Company. Sustainability 2017, 9, 807. [Google Scholar] [CrossRef]
- Visschers, V.H.M.; Wickli, N.; Siegrist, M. Sorting out food waste behaviour: A survey on the motivators and barriers of self-reported amounts of food waste in households. J. Environ. Psychol. 2016, 45, 66–78. [Google Scholar] [CrossRef]
- La Barbera, F.; Riverso, R.; Verneau, F. Understanding Beliefs Underpinning Food Waste in the Framework of the Theory of Planned Behavior. Qual.—Access Success 2016, 17, 130–137. [Google Scholar]
- Soorani, F.; Ahmadvand, M. Determinants of consumers’ food management behavior: Applying and extending the theory of planned behavior. Waste Manag. 2019, 98, 151–159. [Google Scholar] [CrossRef]
- van der Werf, P.; Seabrook, J.A.; Gilliland, J.A. “Reduce Food Waste, Save Money”: Testing a Novel Intervention to Reduce Household Food Waste. Environ. Behav. 2021, 53, 151–183. [Google Scholar] [CrossRef]
- Stefan, V.; van Herpen, E.; Tudoran, A.A.; Lähteenmäki, L. Avoiding food waste by Romanian consumers: The importance of planning and shopping routines. Food Qual. Prefer. 2013, 28, 375–381. [Google Scholar] [CrossRef]
- Tsai, W.-C.; Chen, X.; Yang, C. Consumer Food Waste Behavior among Emerging Adults: Evidence from China. Foods 2020, 9, 961. [Google Scholar] [CrossRef] [PubMed]
- Evans, D. Beyond the Throwaway Society: Ordinary Domestic Practice and a Sociological Approach to Household Food Waste. Sociology 2012, 46, 41–56. [Google Scholar] [CrossRef]
- Graham-Rowe, E.; Jessop, D.C.; Sparks, P. Predicting household food waste reduction using an extended theory of planned behaviour. Resour. Conserv. Recycl. 2015, 101, 194–202. [Google Scholar] [CrossRef]
- Delley, M.; Brunner, T.A. Food waste within Swiss households: A segmentation of the population and suggestions for preventive measures. Resour. Conserv. Recycl. 2017, 122, 172–184. [Google Scholar] [CrossRef]
- Chun T’ing, L.; Moorthy, K.; Gunasaygaran, N.; Sek Li, C.; Omapathi, D.; Jia Yi, H.; Anandan, K.; Sivakumar, K. Intention to reduce food waste: A study among Malaysians. J. Air Waste Manag. Assoc. 2021, 71, 890–905. [Google Scholar] [CrossRef]
- Collins, A.; Mullan, B. An extension of the theory of planned behavior to predict immediate hedonic behaviors and distal benefit behaviors. Food Qual. Prefer. 2011, 22, 638–646. [Google Scholar] [CrossRef][Green Version]
- Wu, Y.; Tian, X.; Li, X.; Yuan, H.; Liu, G. Characteristics, influencing factors, and environmental effects of plate waste at university canteens in Beijing, China. Resour. Conserv. Recycl. 2019, 149, 151–159. [Google Scholar] [CrossRef]
- Long, Q.; Feng, L.; Baoming, C.; Lingen, W.; Shaosheng, J. Determinants of food waste generation in Chinese university canteens: Evidence from 9192 university students. Resour. Conserv. Recycl. 2021, 167, 105410. [Google Scholar]
- Jackson, D.L. Revisiting Sample Size and Number of Parameter Estimates: Some Support for the N:q Hypothesis. Str. Equ. Model. A Multidiscip. J. 2003, 10, 128–141. [Google Scholar] [CrossRef]
- Knussen, C.; Yule, F.; MacKenzie, J.; Wells, M. An analysis of intentions to recycle household waste: The roles of past behaviour, perceived habit, and perceived lack of facilities. J. Environ. Psychol. 2004, 24, 237–246. [Google Scholar] [CrossRef]
- Brunsø, K.; Grunert, K.G. Development and testing of a cross-culturally valid instrument: Food-related lifestyle. Adv. Consum. Res. 1995, 22, 475–480. [Google Scholar]
- Stancu, V.; Lähteenmäki, L. Consumer-related antecedents of food provisioning behaviors that promote food waste. Food Policy 2022, 108, 102236. [Google Scholar] [CrossRef]
- Taylor, A.B.; MacKinnon, D.P.; Tein, J.-Y. Tests of the Three-Path Mediated Effect. Organ. Res. Methods 2008, 11, 241–269. [Google Scholar] [CrossRef]
- Hair, J.; Black, W.; Babin, B.; Anderson, R. Multivariate Data Analysis: A Global Perspective; Pearson: London, UK, 2010; ISBN 0135153093. [Google Scholar]
- Graham-Rowe, E.; Jessop, D.C.; Sparks, P. Identifying motivations and barriers to minimising household food waste. Resour. Conserv. Recycl. 2014, 84, 15–23. [Google Scholar] [CrossRef]
- Quested, T.E.; Marsh, E.; Stunell, D.; Parry, A.D. Spaghetti soup: The complex world of food waste behaviours. Resour. Conserv. Recycl. 2013, 79, 43–51. [Google Scholar] [CrossRef]
- Williams, H.; Wikström, F.; Otterbring, T.; Löfgren, M.; Gustafsson, A. Reasons for household food waste with special attention to packaging. J. Clean. Prod. 2012, 24, 141–148. [Google Scholar] [CrossRef]
- Neff, R.A.; Spiker, M.L.; Truant, P.L. Wasted Food: U.S. Consumers’ Reported Awareness, Attitudes, and Behaviors. PLoS ONE 2015, 10, e0127881. [Google Scholar] [CrossRef]
- Aschemann-Witzel, J.; de Hooge, I.; Amani, P.; Bech-Larsen, T.; Oostindjer, M. Consumer-Related Food Waste: Causes and Potential for Action. Sustainability 2015, 7, 6457–6477. [Google Scholar] [CrossRef]
- Schanes, K.; Dobernig, K.; Gözet, B. Food waste matters—Systematic review of household food waste practices and their policy implications. J. Clean. Prod. 2018, 182, 978–991. [Google Scholar] [CrossRef]
- Kummu, M.; de Moel, H.; Porkka, M.; Siebert, S.; Varis, O.; Ward, P.J. Lost food, wasted resources: Global food supply chain losses and their impacts on freshwater, cropland, and fertiliser use. Sci. Total Environ. 2012, 438, 477–489. [Google Scholar] [CrossRef] [PubMed]
- Meier, T.; von Borstel, T.; Welte, B.; Hogan, B.; Finn, S.M.; Bonaventura, M.; Friedrich, S.; Weber, K.; Dräger de Teran, T. Food Waste in Healthcare, Business and Hospitality Catering: Composition, Environmental Impacts and Reduction Potential on Company and National Levels. Sustainability 2021, 13, 3288. [Google Scholar] [CrossRef]
- Xue, L.; Liu, G.; Parfitt, J.; Liu, X.; Van Herpen, E.; Stenmarck, Å.; O’Connor, C.; Östergren, K.; Cheng, S. Missing Food, Missing Data? A Critical Review of Global Food Losses and Food Waste Data. Environ. Sci. Technol. 2017, 51, 6618–6633. [Google Scholar] [CrossRef] [PubMed]
- Hamish, F.; Tom, Q.; Clementine, O.C. Food Waste Index Report 2021; United Nations Environment Programme: Nairobi, Kenya, 2021. [Google Scholar]
- Jribi, S.; Ben Ismail, H.; Doggui, D.; Debbabi, H. COVID-19 virus outbreak lockdown: What impacts on household food wastage? Environ. Dev. Sustain. 2020, 22, 3939–3955. [Google Scholar] [CrossRef] [PubMed]
- Aschemann-Witzel, J.; Giménez, A.; Ares, G. Household food waste in an emerging country and the reasons why: Consumer’s own accounts and how it differs for target groups. Resour. Conserv. Recycl. 2019, 145, 332–338. [Google Scholar] [CrossRef]
- Abdelradi, F. Food waste behaviour at the household level: A conceptual framework. Waste Manag. 2018, 71, 485–493. [Google Scholar] [CrossRef] [PubMed]
- Strotmann, C.; Friedrich, S.; Kreyenschmidt, J.; Teitscheid, P.; Ritter, G. Comparing Food Provided and Wasted before and after Implementing Measures against Food Waste in Three Healthcare Food Service Facilities. Sustainability 2017, 9, 1409. [Google Scholar] [CrossRef]
- Kasavan, S.; Ali, N.I.B.M.; Ali, S.S.B.S.; Masarudin, N.A.B.; Yusoff, S.B. Quantification of food waste in school canteens: A mass flow analysis. Resour. Conserv. Recycl. 2021, 164, 105176. [Google Scholar] [CrossRef]




| Variable | Categories | Frequency | Percent (%) |
|---|---|---|---|
| Gender | Male | 276 | 57.3 |
| Female | 206 | 42.7 | |
| Grade | Freshman | 74 | 15.4 |
| Sophomore | 129 | 26.8 | |
| Junior | 110 | 22.8 | |
| Senior | 81 | 16.8 | |
| Master’s students | 76 | 15.8 | |
| Doctoral Students | 12 | 2.5 | |
| Family Sources | Urban | 132 | 27.4 |
| Rural | 350 | 72.6 | |
| Vegetarian | Yes | 59 | 12.2 |
| No | 423 | 87.8 | |
| Monthly household income (RMB) | Less than 3000 | 159 | 33.0 |
| 3000–5000 | 167 | 34.6 | |
| 5000–10,000 | 112 | 23.2 | |
| 10,000–20,000 | 33 | 6.8 | |
| More than 20,000 | 11 | 2.3 | |
| Online food ordering Frequency | Seldom | 23 | 4.8 |
| Occasionally | 298 | 61.8 | |
| Sometimes | 106 | 22.0 | |
| Often | 42 | 8.7 | |
| Always | 13 | 2.7 | |
| Last online food ordering cost (RMB) | 10–15 | 125 | 25.9 |
| 15–20 | 149 | 30.9 | |
| 20–30 | 203 | 42.1 | |
| More than 30 | 5 | 1.0 | |
| Last online food ordering food waste (FW1) | Less than 5% | 32 | 6.6 |
| 5–10% | 76 | 15.8 | |
| 10–20% | 138 | 28.6 | |
| 20–30% | 147 | 30.5 | |
| 30–40% | 49 | 10.2 | |
| 40–50% | 35 | 7.3 | |
| More than 50% | 5 | 1.0 | |
| Total | 482 |
| Factors and Items | Variable Names | Factor Loadings | CR | AVE |
|---|---|---|---|---|
| Attitude (ATT) [45,63,69] | 0.897 | 0.745 | ||
| It will make a great contribution to environmental protection for everyone to reduce food waste | ATT1 | 0.930 | ||
| There are still many people in the world who are hungry, and it is immoral if we waste food | ATT2 | 0.862 | ||
| Reducing food waste is a wise choice | ATT3 | 0.792 | ||
| Scale: strongly disagree(1) to strongly agree (7) | ||||
| Subjective norm (SN) [45,78] | 0.891 | 0.734 | ||
| People who are important to me do not approve of my excessive ordering | SN1 | 0.845 | ||
| Students and friends around me always eat up the food on their plates to reduce food waste | SN2 | 0.972 | ||
| Most people in my family will pay attention to cherishing food | SN3 | 0.736 | ||
| Scale: strongly disagree (1) to strongly agree (7) | ||||
| Perceived behavioral control (PBC) [78] | 0.911 | 0.774 | ||
| It’s not difficult for me to order the right amount of food as I need | PBC1 | 0.875 | ||
| Even if I don’t like the food I get, I try to eat it | PBC2 | 0.934 | ||
| I always can share or reuse the leftovers | PBC3 | 0.827 | ||
| Scale: strongly disagree (1) to strongly agree (7) | ||||
| Price consciousness (PC) [43,64,79] | 0.895 | 0.741 | ||
| If I order food and it goes to waste, it’s more than I can afford | PC 1 | 0.889 | ||
| Waste food means waste money | PC 2 | 0.916 | ||
| I consider the price when choosing a meal to make the most cost-effective choice | PC 3 | 0.770 | ||
| Scale: strongly disagree (1) to strongly agree (7) | ||||
| Over-consumption behavior (OC) [34,45] | 0.725 | 0.468 | ||
| I always order more food than I need (I don’t plan my purchases when buying food online or offline) | OC 1 | 0.682 | ||
| I always order more food because it is difficult to judge whether the taste meets my needs | OC 2 | 0.709 | ||
| I will order more food online because of discounts (sales, starting delivery amount) | OC 3 | 0.661 | ||
| Scale: strongly disagree (1) to strongly agree (7) | ||||
| Behavior intention to reduce food waste (BI) [66] | 0.831 | 0.551 | ||
| I intend to value food and order meals wisely | BI1 | 0.685 | ||
| I intend to use all the leftovers | BI2 | 0.754 | ||
| I want to eat up the meals I order | BI3 | 0.787 | ||
| I intend to notify my friends, family and neighbors to reduce their food waste | BI4 | 0.740 | ||
| Scale: strongly disagree (1) to strongly agree (7) | ||||
| Food waste behavior (FW) [22,25,80] | 0.853 | 0.663 | ||
| How much of the food was thrown away when you ordered online last time? | FW1 | 0.891 | ||
| On average, how much of the food ordered online is not eaten up? | FW2 | 0.872 | ||
| How many edible staples are thrown away in meals ordered from apps such as Meituan and Eleme for you? | FW3 | 0.660 | ||
| Scale: 1. less than 5%; 2.5–10%; 3. 10–20%; 4.20–30%; 5.30–40%; 6. 40–50%; 7. More than 50% | ||||
| Goodness of fit indeces: CMIN/DF = 2.995, RMSEA = 0.064, GFI = 0.902, AGFI = 0.874, PGFI = 0.702, NFI = 0.914, IFI = 0.941, TLI = 0.931, CFI = 0.941 CR = construct reliability; AVE= average variance extracted. | ||||
| AVE | ATT | PC | SN | PBC | BI | OC | FW | |
|---|---|---|---|---|---|---|---|---|
| ATT | 0.745 | 0.863 | ||||||
| PC | 0.741 | 0.468 | 0.861 | |||||
| SN | 0.734 | 0.376 | 0.458 | 0.857 | ||||
| PBC | 0.774 | 0.379 | 0.540 | 0.223 | 0.880 | |||
| BI | 0.551 | 0.558 | 0.718 | 0.438 | 0.523 | 0.742 | ||
| OC | 0.468 | −0.323 | −0.691 | −0.317 | −0.373 | −0.497 | 0.684 | |
| FW | 0.663 | −0.309 | −0.448 | −0.238 | −0.420 | −0.512 | 0.387 | 0.814 |
| Estimate | p Values | |
|---|---|---|
| ATT→FW | −0.188 ** | 0.007 |
| SN→FW | 0.011 | 0.869 |
| PC→FW | −0.304 *** | 0.000 |
| Point Estimate | Product of Coefficients | Bootstrapping | |||||||
|---|---|---|---|---|---|---|---|---|---|
| Bias-Corrected Percentile 95% CI | Percentile 95% CI | ||||||||
| S.E. | Z | Lower | Upper | Two-Tailed Significance | Lower | Upper | Two-Tailed Significance | ||
| ATT→BI→FW | −0.104 *** | 0.039 | −2.667 | −0.180 | −0.051 | 0.000 | −0.173 | −0.047 | 0.001 |
| PBC→BI→FW | −0.045 ** | 0.020 | −2.250 | −0.086 | −0.018 | 0.003 | −0.082 | −0.015 | 0.005 |
| PC→BI→FW | −0.208 *** | 0.065 | −3.200 | −0.332 | −0.115 | 0.000 | −0.325 | −0.110 | 0.001 |
| PC→OC→FW | −0.130 | 0.082 | −1.585 | −0.272 | −0.003 | 0.093 | −0.265 | 0.003 | 0.108 |
| PC→PBC→FW | −0.127 ** | 0.044 | −2.886 | −0.203 | −0.059 | 0.002 | −0.200 | −0.056 | 0.002 |
| PC→PBC→BI→FW | −0.036 ** | 0.016 | −2.250 | −0.068 | −0.014 | 0.003 | −0.065 | −0.012 | 0.005 |
| Path | Point Estimate | p Values | Results | |
|---|---|---|---|---|
| ATT→BI→FW | Indirect effect | −0.104 *** | 0.000 | Full mediation |
| ATT→FW | Total effect | −0.104 *** | 0.000 | |
| PBC→BI→FW | Indirect effect | −0.045 ** | 0.003 | Partial Mediation |
| PBC→FW | Total effect | −0.204 *** | 0.000 | |
| PC→BI→FW | Indirect effect | −0.208 *** | 0.000 | Partial Mediation |
| PC→OC→FW | Indirect effect | −0.130 | 0.093 | No Mediation |
| PC→PBC→FW | Indirect effect | −0.127 ** | 0.002 | Partial Mediation |
| PC→PBC→BI→FW | Indirect effect | −0.036 ** | 0.003 | No Mediation |
| PC→FW | Total effect | −0.501 *** | 0.000 | |
Publisher’s Note: MDPI stays neutral with regard to jurisdictional claims in published maps and institutional affiliations. |
© 2022 by the authors. Licensee MDPI, Basel, Switzerland. This article is an open access article distributed under the terms and conditions of the Creative Commons Attribution (CC BY) license (https://creativecommons.org/licenses/by/4.0/).
Share and Cite
Jia, L.; Zhang, Y.; Qiao, G. Consumer-Related Antecedents of Waste Behavior in Online Food Ordering: A Study among Young Adults in China. Foods 2022, 11, 3098. https://doi.org/10.3390/foods11193098
Jia L, Zhang Y, Qiao G. Consumer-Related Antecedents of Waste Behavior in Online Food Ordering: A Study among Young Adults in China. Foods. 2022; 11(19):3098. https://doi.org/10.3390/foods11193098
Chicago/Turabian StyleJia, Li, Yaoqi Zhang, and Guanghua Qiao. 2022. "Consumer-Related Antecedents of Waste Behavior in Online Food Ordering: A Study among Young Adults in China" Foods 11, no. 19: 3098. https://doi.org/10.3390/foods11193098
APA StyleJia, L., Zhang, Y., & Qiao, G. (2022). Consumer-Related Antecedents of Waste Behavior in Online Food Ordering: A Study among Young Adults in China. Foods, 11(19), 3098. https://doi.org/10.3390/foods11193098
