Anti-Biofilm Activity of Cell Free Supernatants of Selected Lactic Acid Bacteria against Listeria monocytogenes Isolated from Avocado and Cucumber Fruits, and from an Avocado Processing Plant
Abstract
1. Introduction
2. Materials and Methods
2.1. Bacterial Strains, Culture Media and Growth Conditions
2.2. Categorization of L. monocytogenes Strains as Biofilm Formers
2.3. Preparation of Cell Free Supernatants (CFS) of LAB
2.4. Biofilm Formation in Microwell Plates by L. monocytogenes in the Presence of CFS of LAB
2.5. Dispersion of Preformed L. monocytogenes Biofilms in Microwell Plates by CFS of LAB
2.6. Dispersion of Preformed L. monocytogenes Biofilms on Stainless Steel and PVC Coupons by CFS of LAB
2.6.1. Preparation of L. monocytogenes Bacterial Suspensions
2.6.2. Biofilm Formation on Stainless Steel and PVC Coupons
2.6.3. Scanning Electron Microscopy
2.7. Quantification of prfA Gene Expression by L. monocytogenes
2.8. Statistical Analysis
3. Results and Discussion
3.1. Biofilm Formation Profiles of the Test L. monocytogenes Strains
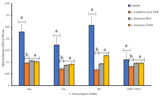
3.2. Biofilm Formation Capabilities of L. monocytogenes Strains in the Presence of CFS of LAB
3.3. Dispersion of Preformed L. monocytogenes Biofilms by CFS of LAB
3.4. The Effect of CFS of LAB on L. monocytogenes Biofilms Preformed on Stainless Steel and PVC Coupons
3.5. prfA Gene Expression
4. Conclusions
Author Contributions
Funding
Institutional Review Board Statement
Informed Consent Statement
Data Availability Statement
Acknowledgments
Conflicts of Interest
References
- Drevets, D.A.; Bronze, M.S. Listeria monocytogenes: Epidemiology, human disease, and mechanisms of brain invasion. FEMS Immunol. Med. Microbiol. 2008, 53, 151–165. [Google Scholar] [CrossRef] [PubMed]
- Colagiorgi, A.; Bruini, I.; Di Ciccio, P.A.; Zanardi, E.; Ghidini, S.; Ianieri, A. Listeria monocytogenes biofilms in the wonderland of food industry. Pathogens 2017, 6, 41. [Google Scholar] [CrossRef] [PubMed]
- Shamloo, E.; Hosseini, H.; Moghadam, Z.A.; Larsen, M.H.; Haslberger, A.; Alebouyeh, M. Importance of Listeria monocytogenes in food safety: A review of its prevalence, detection, and antibiotic resistance. Iran. J. Vet. Res. 2019, 20, 241. [Google Scholar] [PubMed]
- Kim, Y.J.; Yu, H.H.; Song, Y.J.; Park, Y.J.; Lee, N.-K.; Paik, H.-D. Anti-biofilm effect of the cell-free supernatant of probiotic Saccharomyces cerevisiae against Listeria monocytogenes. Food Control 2021, 121, 107667. [Google Scholar] [CrossRef]
- Liu, W.; Røder, H.L.; Madsen, J.S.; Bjarnsholt, T.; Sørensen, S.J.; Burmølle, M. Interspecific bacterial interactions are reflected in multispecies biofilm spatial organization. Front. Microbiol. 2016, 7, 1366. [Google Scholar] [CrossRef] [PubMed]
- Lemon, K.P.; Freitag, N.E.; Kolter, R. The virulence regulator PrfA promotes biofilm formation by Listeria monocytogenes. J. Bacteriol. 2010, 192, 3969–3976. [Google Scholar] [CrossRef]
- Bai, X.; Xu, L.; Tenguria, S.; Drolia, R.; Gallina, N.L.F.; Cox, A.D.; Koo, O.-K.; Bhunia, A.K. Biofilm-isolated Listeria monocytogenes exhibits reduced systemic dissemination at the early (12–24 h) stage of infection in a mouse model. NPJ Biofilms Microbiomes 2021, 7, 18. [Google Scholar] [CrossRef]
- Santos, T.; Viala, D.; Chambon, C.; Esbelin, J.; Hébraud, M. Listeria monocytogenes biofilm adaptation to different temperatures seen through shotgun proteomics. Front. Nutr. 2019, 6, 89. [Google Scholar] [CrossRef]
- Grudlewska-Buda, K.; Skowron, K.; Gospodarek-Komkowska, E. Comparison of the intensity of biofilm formation by Listeria monocytogenes using classical culture-based method and digital droplet PCR. AMB Express 2020, 10, 75. [Google Scholar] [CrossRef]
- Colagiorgi, A.; Di Ciccio, P.; Zanardi, E.; Ghidini, S.; Ianieri, A. A look inside the Listeria monocytogenes biofilms extracellular matrix. Microorganisms 2016, 4, 22. [Google Scholar] [CrossRef]
- Ripolles-Avila, C.; Cervantes-Huaman, B.; Hascoët, A.; Yuste, J.; Rodríguez-Jerez, J. Quantification of mature Listeria monocytogenes biofilm cells formed by an in vitro model: A comparison of different methods. Int. J. Food Microbiol. 2019, 289, 209–214. [Google Scholar] [CrossRef]
- Mateus, T.; Silva, J.; Maia, R.L.; Teixeira, P. Listeriosis during pregnancy: A public health concern. Int. Sch. Res. Not. 2013, 2013, 851712. [Google Scholar] [CrossRef]
- Smith, A.M.; Tau, N.P.; Smouse, S.L.; Allam, M.; Ismail, A.; Ramalwa, N.R.; Disenyeng, B.; Ngomane, M.; Thomas, J. Outbreak of Listeria monocytogenes in South Africa, 2017–2018: Laboratory activities and experiences associated with whole-genome sequencing analysis of isolates. Foodborne Pathog. Dis. 2019, 16, 524–530. [Google Scholar] [CrossRef]
- Mazaheri, T.; Cervantes-Huamán, B.R.H.; Bermúdez-Capdevila, M.; Ripolles-Avila, C.; Rodríguez-Jerez, J.J. Listeria monocytogenes biofilms in the food industry: Is the current hygiene program sufficient to combat the persistence of the pathogen? Microorganisms 2021, 9, 181. [Google Scholar] [CrossRef]
- Paluszak, Z.; Gryń, G.; Bauza-Kaszewska, J.; Skowron, K.J.; Wiktorczyk-Kapischke, N.; Korkus, J.; Pawlak, M.; Szymańska, E.; Kraszewska, Z.; Buszko, K.; et al. Prevalence and antimicrobial susceptibility of Listeria monocytogenes strains isolated from a meat processing plant. Ann. Agric. Environ. Med. 2021, 28, 595–604. [Google Scholar] [CrossRef]
- Barzegari, A.; Kheyrolahzadeh, K.; Hosseiniyan Khathibi, S.M.; Sharifi, S.; Memar, M.Y.; Zununi Vahed, S. The battle of probiotics and their derivatives against biofilms. Infect. Drug Resist. 2020, 13, 659–672. [Google Scholar] [CrossRef]
- Bermudez-Brito, M.; Plaza-Díaz, J.; Muñoz-Quezada, S.; Gómez-Llorente, C.; Gil, A. Probiotic mechanisms of action. Ann. Nutr. Metab. 2012, 61, 160–174. [Google Scholar] [CrossRef]
- Mah, A.Y.; Phuah, E.T.; Azizi, P.; Chen, S.N.; Yeo, S.K.; Kuan, C.S.; Son, R.; New, C.Y.; Kuan, C.H. Evaluation of biofilm-forming abilities of Listeria monocytogenes (ATCC 19115) and efficacy of different washing methods for removal of biofilm on apple. Food Res. 2021, 5, 259–265. [Google Scholar] [CrossRef]
- Mizan, F.R.; Cho, H.R.; Cho, A.J.; Hossain, I.; Lee, D.-U.; Ha, S.-D. The effect of physico-chemical treatment in reducing Listeria monocytogenes biofilms on lettuce leaf surfaces. Biofouling 2020, 36, 1243–1255. [Google Scholar] [CrossRef]
- Townsend, A.; Strawn, L.K.; Chapman, B.J.; Dunn, L.L. A systematic review of Listeria species and Listeria monocytogenes prevalence, persistence, and diversity throughout the fresh produce supply chain. Foods 2021, 10, 1427. [Google Scholar] [CrossRef]
- Avila-Novoa, M.G.; Navarrete-Sahagún, V.; González-Gómez, J.P.; Novoa-Valdovinos, C.; Guerrero-Medina, P.J.; García-Frutos, R.; Martínez-Chávez, L.; Martínez-Gonzáles, N.E.; Gutiérrez-Lomelí, M. Conditions of in vitro biofilm formation by serogroups of Listeria monocytogenes isolated from Hass avocados sold at markets in Mexico. Foods 2021, 10, 2097. [Google Scholar] [CrossRef]
- Bardsley, C.A.; Truitt, L.N.; Pfuntner, R.C.; Danyluk, M.D.; Rideout, S.L.; Strawn, L.K. Growth and survival of Listeria monocytogenes and Salmonella on whole and sliced cucumbers. J. Food Prot. 2019, 82, 301–309. [Google Scholar] [CrossRef]
- Sibanda, T.; Buys, E.M. Resuscitation and growth kinetics of sub-lethally injured Listeria monocytogenes strains following fluorescence activated cell sorting (FACS). Food Res. Int. 2017, 100, 150–158. [Google Scholar] [CrossRef]
- Djordjevic, D.; Wiedmann, M.; McLandsborough, L. Microtiter plate assay for assessment of Listeria monocytogenes biofilm formation. Appl. Environ. Microbiol. 2002, 68, 2950–2958. [Google Scholar] [CrossRef]
- Gómez, N.C.; Ramiro, J.M.; Quecan, B.X.; de Melo Franco, B.D. Use of potential probiotic lactic acid bacteria (LAB) biofilms for the control of Listeria monocytogenes, Salmonella Typhimurium, and Escherichia coli O157: H7 biofilms formation. Front. Microbiol. 2016, 7, 863. [Google Scholar] [CrossRef]
- Borges, S.; Silva, J.; Teixeira, P. Survival and biofilm formation by Group B streptococci in simulated vaginal fluid at different pHs. Antonie Leeuwenhoek 2012, 101, 677–682. [Google Scholar] [CrossRef]
- Beristain-Bauza, S.; Mani-López, E.; Palou, E.; López-Malo, A. Antimicrobial activity and physical properties of protein films added with cell-free supernatant of Lactobacillus rhamnosus. Food Control 2016, 62, 44–51. [Google Scholar] [CrossRef]
- Milanov, D.; Ašanin, R.; Vidić, B.; Krnjaić, D.; Petrović, J.; Savić, S. Scanning electron microscopy of Listeria monocytogenes biofilms on stainless steel surfaces. Acta Vet. Belgrade 2009, 59, 423–435. [Google Scholar] [CrossRef]
- Booyens, J.; Labuschagne, M.C.; Thantsha, M.S. In vitro antibacterial mechanism of action of crude garlic (Allium sativum) clove extract on selected probiotic Bifidobacterium species as revealed by SEM, TEM, and SDS-PAGE analysis. Probiotics Antimicrob. Proteins 2014, 6, 82–87. [Google Scholar] [CrossRef]
- Pfaffl, M.W. A new mathematical model for relative quantification in real-time RT–PCR. Nucleic Acids Res. 2001, 29, e45. [Google Scholar] [CrossRef]
- Weiler, C.; Ifland, A.; Naumann, A.; Kleta, S.; Noll, M. Incorporation of Listeria monocytogenes strains in raw milk biofilms. Int. J. Food Microbiol. 2013, 161, 61–68. [Google Scholar] [CrossRef] [PubMed]
- Tasse, J.; Trouillet-Assant, S.; Josse, J.; Martins-Simões, P.; Valour, F.; Langlois-Jacques, C.; Badel-Berchoux, S.; Provot, C.; Bernardi, T.; Ferry, T. Association between biofilm formation phenotype and clonal lineage in Staphylococcus aureus strains from bone and joint infections. PLoS ONE 2018, 13, e0200064. [Google Scholar] [CrossRef] [PubMed]
- Abdallah, M.; Benoliel, C.; Drider, D.; Dhulster, P.; Chihib, N.-E. Biofilm formation and persistence on abiotic surfaces in the context of food and medical environments. Arch. Microbiol. 2014, 196, 453–472. [Google Scholar] [CrossRef] [PubMed]
- Satputa, S.K.; Banpurkar, A.G.; Banat, I.M.; Sangshetti, J.N.; Patil, R.H.; Gade, W.N. Multiple roles of biosurfactants in biofilms. Curr. Pharm. Des. 2016, 22, 1429–1448. [Google Scholar] [CrossRef]
- Falagas, M.E.; Makris, G.C. Probiotic bacteria and biosurfactants for nosocomial infection control: A hypothesis. J. Hosp. Infect. 2009, 71, 301–306. [Google Scholar] [CrossRef]
- Hibbing, M.E.; Fuqua, C.; Parsek, M.R.; Peterson, S.B. Bacterial competition: Surviving and thriving in the microbial jungle. Nat. Rev. Microbiol. 2010, 8, 15–25. [Google Scholar] [CrossRef]
- Walencka, E.; Różalska, S.; Sadowska, B.; Różalska, B. The influence of Lactobacillus acidophilus-derived surfactants on staphylococcal adhesion and biofilm formation. Folia Microbiol. 2008, 53, 61. [Google Scholar] [CrossRef]
- Jara, J.; Pérez-Ramos, A.; Del Solar, G.; Rodríguez, J.M.; Fernández, L.; Orgaz, B. Role of Lactobacillus biofilms in Listeria monocytogenes adhesion to glass surfaces. Int. J. Food Microbiol. 2020, 334, 108804. [Google Scholar] [CrossRef]
- Yap, P.-C.; MatRahim, N.-A.; AbuBakar, S.; Lee, H.Y. Antilisterial potential of lactic acid bacteria in eliminating Listeria monocytogenes in host and Ready-To-Eat Food application. Microbiol. Res. 2021, 12, 234–257. [Google Scholar] [CrossRef]
- Nair, M.S.; Amalaradjou, M.; Venkitanarayanan, K. Antivirulence properties of probiotics in combating microbial pathogenesis. Adv. Appl. Microbiol. 2017, 98, 1–29. [Google Scholar]
- Wang, C.; Chang, T.; Yang, H.; Cui, M. Antibacterial mechanism of lactic acid on physiological and morphological properties of Salmonella Enteritidis, Escherichia coli and Listeria monocytogenes. Food Control 2015, 47, 231–236. [Google Scholar] [CrossRef]
- Vieco-Saiz, N.; Belguesmia, Y.; Raspoet, R.; Auclair, E.; Gancel, F.; Kempf, I.; Drider, D. Benefits and inputs from lactic acid bacteria and their bacteriocins as alternatives to antibiotic growth promoters during food-animal production. Front. Microbiol. 2019, 10, 57. [Google Scholar] [CrossRef]
- Liguori, R.; Soccol, C.R.; Porto de Souza Vandenberghe, L.; Woiciechowski, A.L.; Ionata, E.; Marcolongo, L.; Faraco, V. Selection of the strain Lactobacillus acidophilus ATCC 43121 and its application to brewers’ spent grain conversion into lactic acid. BioMed Res. Int. 2015, 2015, 240231. [Google Scholar] [CrossRef]






| Gene | GenBank® Accession Number | Primers Sequences (5′ to 3′) | Length (bp) | |
|---|---|---|---|---|
| Forward | Reverse | |||
| prfA (Gene of interest) | JN703898.1 | tagcgagaacgggaccatca | aacgtatgcggtagcctgct | 136 |
| GAPDH (Reference gene) | FJ890134.1 | aggtgacttccgtcgtgcac | gaacacgttgagcagctccg | 128 |
| bgla (Reference gene) | FM180366.1 | cggtcacattactgacggtcc | ggaagatacgggaccaagcga | 146 |
Publisher’s Note: MDPI stays neutral with regard to jurisdictional claims in published maps and institutional affiliations. |
© 2022 by the authors. Licensee MDPI, Basel, Switzerland. This article is an open access article distributed under the terms and conditions of the Creative Commons Attribution (CC BY) license (https://creativecommons.org/licenses/by/4.0/).
Share and Cite
Masebe, R.D.; Thantsha, M.S. Anti-Biofilm Activity of Cell Free Supernatants of Selected Lactic Acid Bacteria against Listeria monocytogenes Isolated from Avocado and Cucumber Fruits, and from an Avocado Processing Plant. Foods 2022, 11, 2872. https://doi.org/10.3390/foods11182872
Masebe RD, Thantsha MS. Anti-Biofilm Activity of Cell Free Supernatants of Selected Lactic Acid Bacteria against Listeria monocytogenes Isolated from Avocado and Cucumber Fruits, and from an Avocado Processing Plant. Foods. 2022; 11(18):2872. https://doi.org/10.3390/foods11182872
Chicago/Turabian StyleMasebe, Reabetswe D., and Mapitsi S. Thantsha. 2022. "Anti-Biofilm Activity of Cell Free Supernatants of Selected Lactic Acid Bacteria against Listeria monocytogenes Isolated from Avocado and Cucumber Fruits, and from an Avocado Processing Plant" Foods 11, no. 18: 2872. https://doi.org/10.3390/foods11182872
APA StyleMasebe, R. D., & Thantsha, M. S. (2022). Anti-Biofilm Activity of Cell Free Supernatants of Selected Lactic Acid Bacteria against Listeria monocytogenes Isolated from Avocado and Cucumber Fruits, and from an Avocado Processing Plant. Foods, 11(18), 2872. https://doi.org/10.3390/foods11182872

