Cross-Cultural Differences between Italian and UK Consumer Preferences for ‘Big Top’ Nectarines in Relation to Cold Storage
Abstract
:1. Introduction
2. Materials and Methods
2.1. Sample Material
2.2. Sample Preparation
2.3. Consumer Test
2.4. Statistical Analysis
2.5. Strengths and Limitations of the Study
3. Results
3.1. Participant Information
3.2. Characteristics Influencing Purchase Decisions
3.3. Differences in Hedonic Rating Relating to Peach Storage and Site
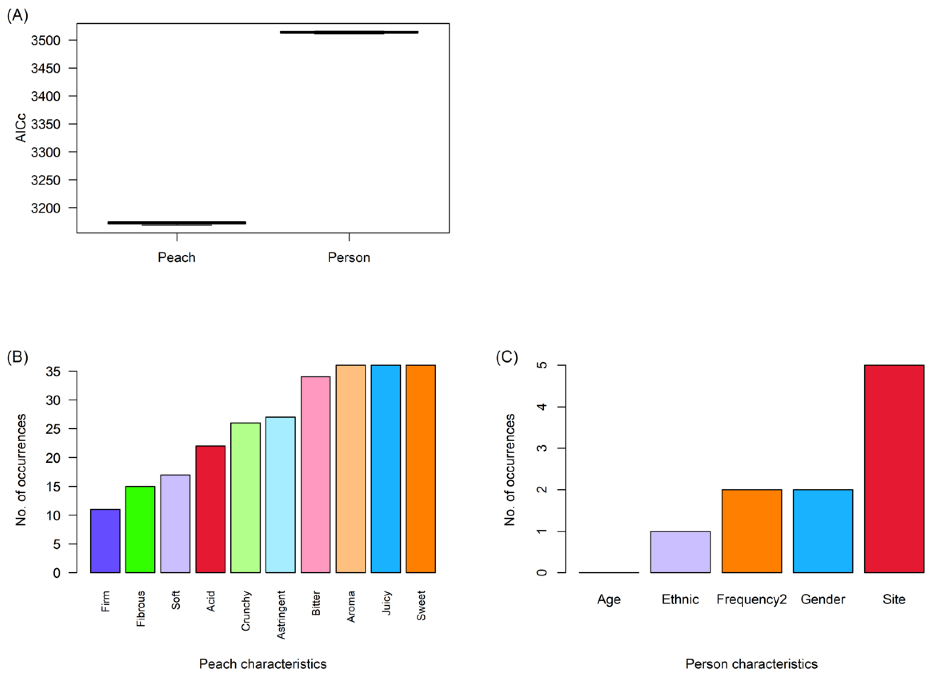
3.4. Fruit-Related Attributes Influence Hedonic Rating More Than Person-Related Characteristics
3.5. Co-Occurrence of Peach Characteristics
3.6. Effect of Site and Treatment on Perception of Peach Characteristics
3.7. Relationship between the Stated Importance of Characteristics and Their Influence on Hedonic Rating
4. Discussion
4.1. Characteristics Considered Important in Purchase Decisions Differ between Countries
4.2. Hedonic Rating Reflects Peach Freshness and Ripening
4.3. Influences on Hedonic Rating Are Consistent among Participant Groups
5. Conclusions
Supplementary Materials
Author Contributions
Funding
Institutional Review Board Statement
Informed Consent Statement
Data Availability Statement
Acknowledgments
Conflicts of Interest
References
- Slavin, J.L.; Lloyd, B. Health Benefits of Fruits and Vegetables. Adv. Nutr. 2012, 3, 506–516. [Google Scholar] [CrossRef]
- Angelino, D.; Godos, J.; Ghelfi, F.; Tieri, M.; Titta, L.; Lafranconi, A.; Marventano, S.; Alonzo, E.; Gambera, A.; Sciacca, S.; et al. Fruit and vegetable consumption and health outcomes: An umbrella review of observational studies. Int. J. Food Sci. Nutr. 2019, 70, 652–667. [Google Scholar] [CrossRef] [PubMed]
- Lombardo, V.A.; Osorio, S.; Borsani, J.; Lauxmann, M.A.; Bustamante, C.; Budde, C.; Andreo, C.S.; Lara, M.V.; Alisdair, R.; Drincovich, M.F. Metabolic Profiling during Peach Fruit Development and Ripening Reveals the Metabolic Networks That Underpin Each Developmental Stage. Plant Physiol. 2011, 157, 1696–1710. [Google Scholar] [CrossRef] [PubMed]
- Food and Agriculture Organization of the United Nations (FAO). FAOstat—Food and Agriculture Data. 2022. Available online: https://www.fao.org/faostat/en/#data (accessed on 15 April 2022).
- European Statistics Handbook, 2020. Fruit Logistica. Messe Berlin GmbH, Berlin. Available online: https://www.fruitlogistica.com/en/about/european-statistics-handbook/ (accessed on 3 March 2021).
- Crisosto, C.H.; Labavitch, J.M. Developing a quantitative method to evaluate peach (Prunuspersica) flesh mealiness. Postharvest Biol. Technol. 2002, 25, 151–158. [Google Scholar] [CrossRef]
- Mitchell, F.G.; Kader, A.A. Factors affecting deterioration rate. In Peaches, Plums, and Nectarines: Growing and Handling for Fresh Market; Publication No. 3331; LaRue, J.H., Johnson, R.S., Eds.; University of California, Division of Agriculture and Natural Resources: Oakland, CA, USA, 1989; pp. 165–178. [Google Scholar]
- Monier, V.; Mudgal, S.; Escalon, V.; O’Connor, C.; Gibon, T.; Anderson, G.; Morton, G. Preparatory Study on Food Waste across EU 27. Report for the European Commission; Technical Report—2010-054; 2010; ISBN 978-92-79-22138-5. Available online: https://ec.europa.eu/environment/eussd/pdf/bio_foodwaste_report.pdf (accessed on 7 May 2021).
- Scholz, K.; Eriksson, M.; Strid, I. Carbon footprint of supermarket food waste. Resour. Conserv. Recycl. 2015, 94, 56–65. [Google Scholar] [CrossRef]
- Parfitt, J.; Barthel, M.; Macnaughton, S. Food waste within food supply chains: Quantification and potential for change to 2050. Philos. Trans. R. Soc. B Biol. Sci. 2010, 365, 3065–3081. [Google Scholar] [CrossRef] [PubMed]
- Gustavsson, J.; Cederberg, C.; Sonesson, U. Global Food Losses and Food Waste; Extent, Causes and Prevention; Food and Agriculture Organization of the United Nations (FAO): Rome, Italy, 2011. [Google Scholar]
- Priefer, C.; Jörissen, J.; Bräutigam, K.-R. Food waste prevention in Europe—A cause-driven approach to identify the most relevant leverage points for action. Resour. Conserv. Recycl. 2016, 109, 155–165. [Google Scholar] [CrossRef]
- Principato, L.; Secondi, L.; Pratesi, C.A. Reducing food waste: An investigation on the behaviour of Italian youths. Br. Food J. 2015, 117, 731–748. [Google Scholar] [CrossRef]
- Jaeger, S.R.; Machín, L.; Aschemann-Witzel, J.; Antúnez, L.; Harker, F.R.; Ares, G. Buy, eat or discard? A case study with apples to explore fruit quality perception and food waste. Food Qual. Prefer. 2018, 69, 10–20. [Google Scholar] [CrossRef]
- Olmstead, M.A.; Gilbert, J.; Colquhoun, T.; Clark, D.G.; Sims, C. In Pursuit of the Perfect Peach: Consumer-assisted Selection of Peach Fruit Traits. HortScience 2015, 50, 1202–1212. [Google Scholar] [CrossRef]
- Bruhn, C.M. Consumer and Retailer Satisfaction with the Quality and Size of California Peaches and Nectarines. J. Food Qual. 1995, 18, 241–256. [Google Scholar] [CrossRef]
- Uva, W.F.L.; Cheng, M.L. Consumer willingness to pay and marketing opportunities for “quality guaranteed tree-ripened peaches” in New York State. J. Food Distrib. Res. 2005, 36, 177–184. [Google Scholar] [CrossRef]
- Campbell, B.L.; Mhlanga, S.; Lesschaeve, I. Consumer Preferences for Peach Attributes: Market Segmentation Analysis and Implications for New Marketing Strategies. Agric. Resour. Econ. Rev. 2013, 42, 518–541. [Google Scholar] [CrossRef]
- Zhou, R.; Yue, C.; Zhao, S.; Gallardo, R.K.; McCracken, V.; Luby, J.J.; McFerson, J.R. Using Market Segmentation Analysis to Identify Consumer Preferences for Fresh Peach Attributes. HortScience 2018, 53, 1664–1668. [Google Scholar] [CrossRef]
- Nelson, P. Information and Consumer Behavior. J. Political Econ. 1970, 78, 311–329. [Google Scholar] [CrossRef]
- Ophuis, P.A.O.; Van Trijp, H.C. Perceived quality: A market driven and consumer oriented approach. Food Qual. Prefer. 1995, 6, 177–183. [Google Scholar] [CrossRef]
- Muto, A.; Müller, C.T.; Bruno, L.; McGregor, L.; Ferrante, A.; Chiappetta, A.A.C.; Bitonti, M.B.; Rogers, H.J.; Spadafora, N.D. Fruit volatilome profiling through GC × GC-ToF-MS and gene expression analyses reveal differences amongst peach cultivars in their response to cold storage. Sci. Rep. 2020, 10, 18333. [Google Scholar] [CrossRef] [PubMed]
- Roberts, G.; Spadafora, N.D. Analysis of Apple Flavours: The Use of Volatile Organic Compounds to Address Cultivar Differences and the Correlation between Consumer Appreciation and Aroma Profiling. J. Food Qual. 2020, 2020, 8497259. [Google Scholar] [CrossRef]
- Delgado, C.; Crisosto, G.M.; Heymann, H.; Crisosto, C.H. Determining the Primary Drivers of Liking to Predict Consumers’ Acceptance of Fresh Nectarines and Peaches. J. Food Sci. 2013, 78, S605–S614. [Google Scholar] [CrossRef]
- Echeverría, G.; Cantín, C.M.; Ortiz, A.; López, M.L.; Lara, I.; Graekk, J. The impact of maturity, storage temperature and storage duration on sensory quality and consumer satisfaction of ‘Big Top®’ nectarines. Sci. Hortic. 2015, 190, 179–186. [Google Scholar] [CrossRef]
- Cascales, A.I.; Costell, E.; Romojaro, F. Effects of the Degree of Maturity on the Chemical Composition, Physical Characteristics and Sensory Attributes of Peach (Prunus persica) cv. Caterin. Food Sci. Technol. Int. 2005, 11, 345–352. [Google Scholar] [CrossRef]
- Pech, J.C.; Balague, C.; Latché, A.; Bouzayen, M. Postharvest physiology of climateric fruits: Recent developments in the biosynthesis and action of ethylene. Sci. Aliment. 1994, 14, 3–15. [Google Scholar]
- Porat, R.; Lichter, A.; Terry, L.A.; Harker, R.; Buzby, J. Postharvest losses of fruit and vegetables during retail and in consumers’ homes: Quantifications, causes, and means of prevention. Postharvest Biol. Technol. 2018, 139, 135–149. [Google Scholar] [CrossRef]
- Agudo, A.; Slimani, N.; Ocké, M.C.; Naska, A.; Miller, A.B.; Kroke, A.; Bamia, C.; Karalis, D.; Vineis, P.; Palli, D.; et al. Consumption of vegetables, fruit and other plant foods in the European Prospective Investigation into Cancer and Nutrition (EPIC) cohorts from 10 European countries. Public Health Nutr. 2002, 5, 1179–1196. [Google Scholar] [CrossRef] [PubMed]
- Vilarnau, C.; Stracker, D.M.; Funtikov, A.; Da Silva, R.; Estruch, R.; Bach-Faig, A. Worldwide adherence to Mediterranean Diet between 1960 and 2011. Eur. J. Clin. Nutr. 2018, 72, 83–91. [Google Scholar] [CrossRef]
- Hill, M.J. Changing pattern of diet in Europe. Eur. J. Cancer Prev. 1997, 6, S11–S13. [Google Scholar] [CrossRef]
- Cunha, L.M.; Cabral, D.; Moura, A.P.; de Almeida, M.D.V. Application of the Food Choice Questionnaire across cultures: Systematic review of cross-cultural and single country studies. Food Qual. Prefer. 2018, 64, 21–36. [Google Scholar] [CrossRef]
- Rødbotten, M.; Martinsen, B.K.; Borge, G.I.; Mortvedt, H.S.; Knutsen, S.H.; Lea, P.; Næs, T. A cross-cultural study of preference for apple juice with different sugar and acid contents. Food Qual. Prefer. 2009, 20, 277–284. [Google Scholar] [CrossRef]
- Jaeger, S.R. Uncovering cultural differences in choice behaviour between Samoan and New Zealand consumers: A case study with apples. Food Qual. Prefer. 2000, 11, 405–417. [Google Scholar] [CrossRef]
- Available online: https://unece.org/fileadmin/DAM/trade/agr/meetings/wp.07/2008/2008_12e.pdf (accessed on 3 March 2021).
- Document BS EN ISO 11136; Sensory Analysis; Methodology; General Guidance for Conducting Hedonic Tests with Consumers in a Controlled Area. British Standards Institute: London, UK, 2020.
- Cao, Y.; Jiang, Y.; Gao, H.; Chen, H.; Fang, X.; Mu, H.; Tao, F. Development of a model for quality evaluation of litchi fruit. Comput. Electron. Agric. 2014, 106, 49–55. [Google Scholar] [CrossRef]
- Cano-Salazar, J.; López, M.; Echeverría, G. Relationships between the instrumental and sensory characteristics of four peach and nectarine cultivars stored under air and CA atmospheres. Postharvest Biol. Technol. 2013, 75, 58–67. [Google Scholar] [CrossRef]
- Corollaro, M.L.; Endrizzi, I.; Bertolini, A.; Aprea, E.; Demattè, M.L.; Costa, F.; Biasioli, F.; Gasperi, F. Sensory profiling of apple: Methodological aspects, cultivar characterisation and postharvest changes. Postharvest Biol. Technol. 2013, 77, 111–120. [Google Scholar] [CrossRef]
- Péneau, S.; Hoehn, E.; Roth, H.-R.; Escher, F.; Nuessli, J. Importance and consumer perception of freshness of apples. Food Qual. Prefer. 2006, 17, 9–19. [Google Scholar] [CrossRef]
- Kelley, K.M.; Primrose, R.; Crassweller, R.E.; Hayes, J.; Marini, R. Consumer peach preferences and purchasing behavior: A mixed methods study. J. Sci. Food Agric. 2016, 96, 2451–2461. [Google Scholar] [CrossRef]
- Stone, H.; Bleibaum, R.N.; Thomas, H.A. Sensory Evaluation Practices, 4th ed.; Elsevier Science: Burlington, NJ, USA, 2012; pp. 81–115. [Google Scholar]
- R Development Core Team. R: A Language and Environment for Statistical Computing; R Foundation for Statistical Computing: Vienna, Austria, 2020; Available online: https://www.R-project.org/ (accessed on 1 September 2021).
- RStudio Team RStudio: Integrated Development for R. 2016. Available online: https://www.rstudio.com/ (accessed on 3 March 2021).
- Symonds, M.R.E.; Moussalli, A. A brief guide to model selection, multimodel inference and model averaging in behavioural ecology using Akaike’s information criterion. Behav. Ecol. Sociobiol. 2011, 65, 13–21. [Google Scholar] [CrossRef]
- Benjamini, Y.; Hochberg, Y. Controlling the False Discovery Rate: A Practical and Powerful Approach to Multiple Testing. J. R. Stat. Soc. Ser. B 1995, 57, 289–300. [Google Scholar] [CrossRef]
- Anesbury, Z.W.; Talbot, D.; Day, C.A.; Bogomolov, T.; Bogomolova, S. The fallacy of the heavy buyer: Exploring purchasing frequencies of fresh fruit and vegetable categories. J. Retail. Consum. Serv. 2020, 53, 101976. [Google Scholar] [CrossRef]
- Baltazar, P.; Correa, E.C.; Diezma, B. Instrumental Procedures for the Evaluation of Juiciness in Peach and Nectarine Cultivars for Fresh Consumption. Agronomy 2020, 10, 152. [Google Scholar] [CrossRef]
- Richards, T.J. A discrete/continuous model of fruit promotion, advertising, and response segmentation. Agribusiness 2000, 16, 179–196. [Google Scholar] [CrossRef]
- Jaeger, S.R.; Rossiter, K.L.; Wismer, W.V.; Harker, F.R. Consumer-driven product development in the kiwifruit industry. Food Qual. Prefer. 2003, 14, 187–198. [Google Scholar] [CrossRef]
- Baker, G.A.; Crosbie, P.J. Consumer preferences for food safety attributes: A market segment approach. Agribusiness 1994, 10, 319–324. [Google Scholar] [CrossRef]
- Market Review. UK Fruit and Vegetable Market Review, 1995–1996; Fresh Fruit and Vegetable Bureau: London, UK, 1996. [Google Scholar]
- An, R. Effectiveness of subsidies in promoting healthy food purchases and consumption: A review of field experiments. Public Health Nutr. 2013, 16, 1215–1228. [Google Scholar] [CrossRef]
- Heng, Y.; House, L.A. Cluster analysis for fruit consumption patterns: An international study. Br. Food J. 2018, 120, 1942–1952. [Google Scholar] [CrossRef]
- Cembalo, L.; Cicia, G.; Del Giudice, T. The Influence of Country of Origin on German Consumer Preferences for Peaches: A Latent Class Choice Model. In Proceedings of the 113th Seminar European Association of Agricultural Economists, Chania, Greece, 3–6 September 2009; European Association of Agricultural Economists: Wageningen, The Netherlands, 2009. Available online: https//ideas.repec.org/p/ags/eaa113/57997.html (accessed on 22 April 2021).
- Fernández-Serrano, P.; Tarancón, P.; Besada, C. Consumer Information Needs and Sensory Label Design for Fresh Fruit Packaging. An Exploratory Study in Spain. Foods 2021, 10, 72. [Google Scholar] [CrossRef]
- Sortino, G.; Allegra, A.; Farina, V.; Inglese, P. Postharvest quality and sensory attributes of ‘Pesca di Bivona’peaches (Prunus persica L.) during storage. Bulg. J. Agric. Sci. 2017, 23, 939–946. [Google Scholar]
- Sulmont-Rossé, C.; Drabek, R.; Almli, V.L.; van Zyl, H.; Silva, A.P.; Kern, M.; McEwan, J.A.; Ares, G. A cross-cultural perspective on feeling good in the context of foods and beverages. Food Res. Int. 2019, 115, 292–301. [Google Scholar] [CrossRef]
- Jeong, S.; Lee, J. Effects of cultural background on consumer perception and acceptability of foods and drinks: A review of latest cross-cultural studies. Curr. Opin. Food Sci. 2021, 42, 248–256. [Google Scholar] [CrossRef]
- Harker, F.R.; Gunson, F.A.; Jaeger, S.R. The case for fruit quality: An interpretative review of consumer attitudes, and preferences for apples. Postharvest Biol. Technol. 2003, 28, 333–347. [Google Scholar] [CrossRef]
- Kaneda, H.; Maeshima, K.; Goto, N.; Kobayakawa, T.; Ayabe-Kanamura, S.; Saito, S. Decline in Taste and Odor Discrimination Abilities with Age, and Relationship between Gustation and Olfaction. Chem. Senses 2000, 25, 331–337. [Google Scholar] [CrossRef]
- Brizzolara, S.; Manganaris, G.A.; Fotopoulos, V.; Watkins, C.B.; Tonutti, P. Primary Metabolism in Fresh Fruits during Storage. Front. Plant Sci. 2020, 11, 80. [Google Scholar] [CrossRef]
- Casagrande, E.; Génard, M.; Lurol, S.; Charles, F.; Plénet, D.; Lescourret, F. A process-based model of nectarine quality development during pre- and post-harvest. Postharvest Biol. Technol. 2021, 175, 111458. [Google Scholar] [CrossRef]
- Predieri, S.; Ragazzini, P.; Rondelli, R. Sensory Evaluation and Peach Fruit Quality. Acta Hortic. 2006, 713, 429–434. [Google Scholar] [CrossRef]








Publisher’s Note: MDPI stays neutral with regard to jurisdictional claims in published maps and institutional affiliations. |
© 2022 by the authors. Licensee MDPI, Basel, Switzerland. This article is an open access article distributed under the terms and conditions of the Creative Commons Attribution (CC BY) license (https://creativecommons.org/licenses/by/4.0/).
Share and Cite
Christofides, S.R.; Setarehnejad, A.; Fairchild, R.; Muzzalupo, I.; Bruno, L.; Muto, A.; Chiappetta, A.; Bitonti, M.B.; Müller, C.T.; Rogers, H.J.; et al. Cross-Cultural Differences between Italian and UK Consumer Preferences for ‘Big Top’ Nectarines in Relation to Cold Storage. Foods 2022, 11, 2424. https://doi.org/10.3390/foods11162424
Christofides SR, Setarehnejad A, Fairchild R, Muzzalupo I, Bruno L, Muto A, Chiappetta A, Bitonti MB, Müller CT, Rogers HJ, et al. Cross-Cultural Differences between Italian and UK Consumer Preferences for ‘Big Top’ Nectarines in Relation to Cold Storage. Foods. 2022; 11(16):2424. https://doi.org/10.3390/foods11162424
Chicago/Turabian StyleChristofides, Sarah R., Anita Setarehnejad, Ruth Fairchild, Innocenzo Muzzalupo, Leonardo Bruno, Antonella Muto, Adriana Chiappetta, Maria B. Bitonti, Carsten T. Müller, Hilary J. Rogers, and et al. 2022. "Cross-Cultural Differences between Italian and UK Consumer Preferences for ‘Big Top’ Nectarines in Relation to Cold Storage" Foods 11, no. 16: 2424. https://doi.org/10.3390/foods11162424
APA StyleChristofides, S. R., Setarehnejad, A., Fairchild, R., Muzzalupo, I., Bruno, L., Muto, A., Chiappetta, A., Bitonti, M. B., Müller, C. T., Rogers, H. J., & Spadafora, N. D. (2022). Cross-Cultural Differences between Italian and UK Consumer Preferences for ‘Big Top’ Nectarines in Relation to Cold Storage. Foods, 11(16), 2424. https://doi.org/10.3390/foods11162424

