Study of Consumer Liking of Six Chinese Vinegar Products and the Correlation between These Likings and the Volatile Profile
Abstract
:1. Introduction
2. Materials and Methods
2.1. Chemicals
2.2. Chinese Vinegar Samples
2.3. Volatile Compounds Extraction
2.4. GC–MS Analysis
2.5. Odor Activity Value (OAV)
2.6. Sensory Evaluation
2.7. Statistical Analysis
3. Results
3.1. Volatile Compounds Detection Using GC–MS
3.1.1. Esters
3.1.2. Acids
3.1.3. Aldehydes
3.1.4. Volatile Phenols
3.1.5. Alcohols
3.1.6. Ketones
3.1.7. Furans
3.1.8. Pyrazines
3.1.9. Other Compounds
3.2. Aromatic Features of the Chinese Vinegar Samples
3.3. Aromatic Features of the Chinese Vinegar Samples
3.4. Analysis of the Overall Consumer Liking
3.4.1. Overall Consumer Liking
3.4.2. The Association between the Geographical Location of Consumers for the Past Ten Years and Their Likings
3.4.3. Open Comments from Consumers
3.5. Consumer Liking Segmentation
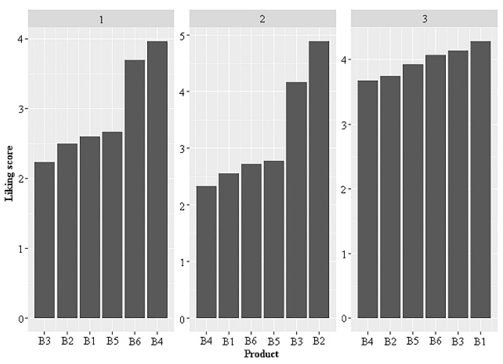
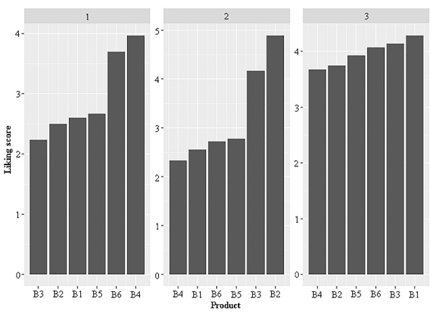
3.5.1. Overall Liking by Clusters
3.5.2. Cluster Differences in Demographics, Usage, and Attitude
3.5.3. Open Comments by Clusters
3.6. The Correlation between Consumer Liking and the Volatile Profiles of the Vinegar
4. Conclusions
Supplementary Materials
Author Contributions
Funding
Institutional Review Board Statement
Informed Consent Statement
Data Availability Statement
Acknowledgments
Conflicts of Interest
References
- Nam, T.G.; Lee, J.-Y.; Kim, B.-K.; Song, N.-E.; Jang, H.W. Analyzing volatiles in brown rice vinegar by headspace solid-phase microextraction (SPME)–Arrow: Optimizing the extraction conditions and comparisons with conventional SPME. Int. J. Food Prop. 2019, 22, 1195–1204. [Google Scholar] [CrossRef] [Green Version]
- Sengun, I.Y.; Karabiyikli, S. Importance of acetic acid bacteria in food industry. Food Control 2011, 22, 647–656. [Google Scholar] [CrossRef]
- Budak, N.H.; Aykin, E.; Seydim, A.C.; Greene, A.K.; Güzel-Seydim, Z.B. Functional Properties of Vinegar. J. Food Sci. 2014, 79, R757–R764. [Google Scholar] [CrossRef]
- Bastante, M.J.C.; Guerrero, E.D.; Mejías, R.C.; Marín, R.N.; Dodero, M.C.R.; Barroso, C.G. Study of the Polyphenolic Composition and Antioxidant Activity of New Sherry Vinegar-Derived Products by Maceration with Fruits. J. Agric. Food Chem. 2010, 58, 11814–11820. [Google Scholar] [CrossRef] [PubMed]
- Ubeda, C.; Hidalgo, C.; Torija, M.; Mas, A.; Troncoso, A.; Morales, M. Evaluation of antioxidant activity and total phenols index in persimmon vinegars produced by different processes. LWT 2011, 44, 1591–1596. [Google Scholar] [CrossRef]
- Yıkmış, S.; Aksu, F.; Altunatmaz, S.; Çöl, B. Ultrasound Processing of Vinegar: Modelling the Impact on Bioactives and Other Quality Factors. Foods 2021, 10, 1703. [Google Scholar] [CrossRef]
- Yikmis, S.; Bozgeyik, E.; Levent, O.; Aksu, H. Organic cherry laurel (Prunus laurocerasus) vinegar enriched with bioactive compounds with ultrasound technology using artificial neural network (ANN) and response surface methodology (RSM): Antidiabetic, antihypertensive, cytotoxic activities, volatile profile and optical microstructure. J. Food Process. Preserv. 2021, 45, e15883. [Google Scholar]
- Yıkmış, S.; Bozgeyik, E.; Şimşek, M.A. Ultrasound processing of verjuice (unripe grape juice) vinegar: Effect on bioactive compounds, sensory properties, microbiological quality and anticarcinogenic activity. J. Food Sci. Technol. 2020, 57, 3445–3456. [Google Scholar] [CrossRef]
- Xiao, Z.; Dai, S.; Niu, Y.; Yu, H.; Zhu, J.; Tian, H.; Gu, Y. Discrimination of Chinese Vinegars Based on Headspace Solid-Phase Microextraction-Gas Chromatography Mass Spectrometry of Volatile Compounds and Multivariate Analysis. J. Food Sci. 2011, 76, C1125–C1135. [Google Scholar] [CrossRef]
- Cocchi, M.; Durante, C.; Grandi, M.; Manzini, D.; Marchetti, A. Three-way principal component analysis of the volatile fraction by HS-SPME/GC of aceto balsamico tradizionale of modena. Talanta 2008, 74, 547–554. [Google Scholar] [CrossRef]
- Wang, A.L.; Song, H.L.; Ren, C.Z.; Li, Z.G. Key aroma compounds in Shanxi aged tartary buckwheat vinegar and changes during its thermal processing. Flavour Fragr. J. 2012, 27, 47–53. [Google Scholar]
- Li, S.; Li, P.; Liu, X.; Luo, L.; Lin, W. Bacterial dynamics and metabolite changes in solid-state acetic acid fermentation of Shanxi aged vinegar. Appl. Microbiol. Biotechnol. 2016, 100, 4395–4411. [Google Scholar] [CrossRef]
- Chen, H.Y.; Zhou, Y.X.; Shao, Y.C.; Chen, F.S. Free phenolic acids in Shanxi aged vinegar: Changes during aging and synergistic antioxidant activities. Int. J. Food Prop. 2016, 19, 1183–1193. [Google Scholar] [CrossRef]
- Liang, J.; Xie, J.; Hou, L.; Zhao, M.; Zhao, J.; Cheng, J.; Wang, S.; Sun, B.-G. Aroma Constituents in Shanxi Aged Vinegar before and after Aging. J. Agric. Food Chem. 2016, 64, 7597–7605. [Google Scholar] [CrossRef] [PubMed]
- Zhou, Z.; Jian, D.; Gong, M.; Zhu, S.; Li, G.; Zhang, S.; Zhong, F.; Mao, J. Characterization of the key aroma compounds in aged Zhenjiang aromatic vinegar by gas chromatography-olfactometry-mass spectrometry, quantitative measurements, aroma recombination and omission experiments. Food Res. Int. 2020, 136, 109434. [Google Scholar] [CrossRef] [PubMed]
- Azarnia, S.; Boye, J.I.; Warkentin, T.; Malcolmson, L.; Sabik, H.; Bellido, A.S. Volatile flavour profile changes in selected field pea cultivars as affected by crop year and processing. Food Chem. 2011, 124, 326–335. [Google Scholar] [CrossRef]
- Heaven, M.W.; Nash, D. Recent analyses using solid phase microextraction in industries related to food made into or from liquids. Food Control 2012, 27, 214–227. [Google Scholar] [CrossRef]
- Chung, N.; Jo, Y.; Joe, M.-H.; Jeong, M.-H.; Jeong, Y.-J.; Kwon, J.-H. Rice vinegars of different origins: Discriminative characteristics based on solid-phase microextraction and gas chromatography with mass spectrometry, an electronic nose, electronic tongue and sensory evaluation. J. Inst. Brew. 2017, 123, 159–166. [Google Scholar] [CrossRef]
- Saldaña, E.; Garcia, A.D.O.; Selani, M.M.; Haguiwara, M.M.; de Almeida, M.A.; Siche, R.; Contreras-Castillo, C.J. A sensometric approach to the development of mortadella with healthier fats. Meat Sci. 2018, 137, 176–190. [Google Scholar] [CrossRef]
- Selani, M.M.; Shirado, G.A.; Margiotta, G.B.; Rasera, M.L.; Marabesi, A.C.; Piedade, S.M.; Contreras-Castillo, C.J.; Canniatti-Brazaca, S.G. Pineapple by-product and canola oil as partial fat replacers in low-fat beef burger: Effects on oxidative stability, cholesterol content and fatty acid profile. Meat Sci. 2016, 115, 9–15. [Google Scholar] [CrossRef]
- Kleij, F.T.; Musters, P.A. Text analysis of open-ended survey responses: A complementary method to preference mapping. Food Qual. Prefer. 2003, 14, 43–52. [Google Scholar] [CrossRef]
- Varela, P.; Ares, G. Sensory profiling, the blurred line between sensory and consumer science. A review of novel methods for product characterization. Food Res. Int. 2012, 48, 893–908. [Google Scholar] [CrossRef]
- Hannum, M.E.; Forzley, S.; Popper, R.; Simons, C.T. Application of the Engagement Questionnaire (EQ) to compare methodological differences in sensory and consumer testing. Food Res. Int. 2020, 140, 110083. [Google Scholar] [CrossRef] [PubMed]
- Manstan, T.; Chandler, S.L.; McSweeney, M.B. Consumers’ attitudes towards 3D printed foods after a positive experience: An exploratory study. J. Sens. Stud. 2020, 36, 12619. [Google Scholar] [CrossRef]
- Spinelli, S.; Dinnella, C.; Masi, C.; Zoboli, G.P.; Prescott, J.; Monteleone, E. Investigating preferred coffee consumption contexts using open-ended questions. Food Qual. Prefer. 2017, 61, 63–73. [Google Scholar] [CrossRef]
- Saldaña, E.; Saldarriaga, L.; Cabrera, J.; Siche, R.; Behrens, J.H.; Selani, M.M.; de Almeida, M.A.; Silva, L.D.; Pinto, J.S.S.; Contreras-Castillo, C.J. Relationship between volatile compounds and consumer-based sensory characteristics of bacon smoked with different Brazilian woods. Food Res. Int. 2019, 119, 839–849. [Google Scholar] [CrossRef]
- Yu, H.; Guo, W.; Xie, T.; Ai, L.; Tian, H.; Chen, C. Aroma characteristics of traditional Huangjiu produced around Winter Solstice revealed by sensory evaluation, gas chromatography–mass spectrometry and gas chromatography–ion mobility spectrometry. Food Res. Int. 2021, 145, 110421. [Google Scholar] [CrossRef]
- Wu, Y.; Pan, Q.; Qu, W.; Duan, C. Comparison of volatile profiles of nine litchi (Litchi chinensis Sonn.) cultivars from Southern China. J. Agric. Food Chem. 2009, 57, 9676–9681. [Google Scholar] [CrossRef]
- Wen, Y.-Q.; He, F.; Zhu, B.-Q.; Lan, Y.; Pan, Q.-H.; Li, C.-Y.; Reeves, M.J.; Wang, J. Free and glycosidically bound aroma compounds in cherry (Prunus avium L.). Food Chem. 2014, 152, 29–36. [Google Scholar] [CrossRef]
- Sun, J.; Li, Q.; Luo, S.; Zhang, J.; Huang, M.; Chen, F.; Zheng, F.; Sun, X.; Li, H. Characterization of key aroma compounds in Meilanchun sesame flavor style baijiu by application of aroma extract dilution analysis, quantitative measurements, aroma recombination, and omission/addition experiments. RSC Adv. 2018, 8, 23757–23767. [Google Scholar] [CrossRef] [Green Version]
- Zhao, G.; Kuang, G.; Li, J.; Hadiatullah, H.; Chen, Z.; Wang, X.; Yao, Y.; Pan, Z.-H.; Wang, Y. Characterization of aldehydes and hydroxy acids as the main contribution to the traditional Chinese rose vinegar by flavor and taste analyses. Food Res. Int. 2020, 129, 108879. [Google Scholar] [CrossRef] [PubMed]
- Yuan, X.D.; Yan, R.; Ma, Y.K.; Ma, S.L.; Zhang, L.; Xu, Y.; Ma, H. Aromatic compounds in Zhenjiang fragrant vinegar after high pressure treatment by SPME-GC-MS. Food Sci. Technol. 2012, 37, 263–269. [Google Scholar]
- Liu, D.R.; Zhu, Y.; Beeftink, R.; Ooijkaas, L.; Rinzema, A.; Chen, J.; Tramper, J. Chinese vinegar and its solid-state fermentation process. Food Rev. Int. 2004, 20, 407–424. [Google Scholar] [CrossRef]
- Lu, S.; Cao, Y.; Yang, Y.; Jin, Z.; Luo, X. Effect of fermentation modes on nutritional and volatile compounds of Huyou vinegar. J. Food Sci. Technol. 2018, 55, 2631–2640. [Google Scholar] [CrossRef]
- Ma, Y.K.; Wei, Y.Y.; Jiang, J.K.; Sun, L.L.; Xia, R.; Xu, K.P. Study on Analysis of Aroma Components and Their Formation Mechanisms of Different Aged Zhenjiang Frangrance Vinegars. Food Sci. 2006, 27, 504–507. [Google Scholar]
- Sun, Z.B.; Fan, Y.P.; Ji, P. Comparative study on the flavor compounds of three brands of Zhenjiang aromatic vinegar analyzed by SPME-GC-MS-O. China Condiment 2015, 40, 26–29. [Google Scholar]
- Su, M.-S.; Chien, P.-J. Aroma impact components of rabbiteye blueberry (Vaccinium ashei) vinegars. Food Chem. 2010, 119, 923–928. [Google Scholar] [CrossRef]
- Tesfaye, W.; García-Parrilla, M.; Troncoso, A. Sensory evaluation of sherry wine vinegar. J. Sens. Stud. 2002, 17, 133–144. [Google Scholar] [CrossRef]
- Zhang, X.; Wang, P.; Xu, D.; Wang, W.; Zhao, Y. Aroma patterns of Beijing rice vinegar and their potential biomarker for traditional Chinese cereal vinegars. Food Res. Int. 2019, 119, 398–410. [Google Scholar] [CrossRef] [PubMed]
- Genovese, A.; Gambuti, A.; Piombino, P.; Moio, L. Sensory properties and aroma compounds of sweet Fiano wine. Food Chem. 2007, 103, 1228–1236. [Google Scholar] [CrossRef]
- Frank, S.; Wollmann, N.; Schieberle, P.; Hofmann, T. Reconstitution of the Flavor Signature of Dornfelder Red Wine on the Basis of the Natural Concentrations of Its Key Aroma and Taste Compounds. J. Agric. Food Chem. 2011, 59, 8866–8874. [Google Scholar] [CrossRef] [PubMed]
- Zhou, Z.; Liu, S.; Kong, X.; Ji, Z.; Han, X.; Wu, J.; Mao, J. Elucidation of the aroma compositions of Zhenjiang aromatic vinegar using comprehensive two dimensional gas chromatography coupled to time-of-flight mass spectrometry and gas chromatography-olfactometry. J. Chromatogr. A 2017, 1487, 218–226. [Google Scholar] [CrossRef]
- Liu, M.Y.; Liu, J.B.; Cong-Cong, H.E.; Song, H.L.; Wang, Y.; Guo, J. Use of GC-O-MS to Identify Key Aroma Compounds in Dark Chocolate. Mod. Food Sci. Technol. 2013, 29, 2311–2316. [Google Scholar]
- Al-Dalali, S.; Zheng, F.; Sun, B.; Chen, F. Comparison of Aroma Profiles of Traditional and Modern Zhenjiang Aromatic Vinegars and Their Changes During the Vinegar Aging by SPME-GC-MS and GC-O. Food Anal. Methods 2019, 12, 544–557. [Google Scholar] [CrossRef]
- Chen, Y.Y.; Wu, Y.; Liu, X.G. The regulation and application of acetoin biosynthesis. J. Biol. 2014, 31, 76–80, 84. [Google Scholar]
- Al-Dalali, S.; Zheng, F.; Sun, B.; Chen, F.; Wang, P.; Wang, W. Determination of the aroma changes of Zhengrong vinegar during different processing steps by SPME–GC–MS and GC-O. J. Food Meas. Charact. 2020, 14, 535–547. [Google Scholar] [CrossRef]
- Aida, T.M.; Sato, Y.; Watanabe, M.; Tajima, K.; Nonaka, T.; Hattori, H.; Arai, K. Dehydration of d-glucose in high temperature water at pressures up to 80MPa. J. Supercrit. Fluids 2007, 40, 381–388. [Google Scholar] [CrossRef]
- Rocha, S.; Ramalheira, V.; Barros, A.; Delgadillo, I.; Coimbra, M.A. Headspace Solid Phase Microextraction (SPME) Analysis of Flavor Compounds in Wines. Effect of the Matrix Volatile Composition in the Relative Response Factors in a Wine Model. J. Agric. Food Chem. 2001, 49, 5142–5151. [Google Scholar] [CrossRef] [Green Version]
- Xing, X.; Wang, Y.; Huo, N.; Wang, R. Candida Ethanolica Strain Y18 Enhances Aroma of Shanxi Aged-vinegar. Food Sci. Technol. Res. 2018, 24, 1069–1081. [Google Scholar] [CrossRef]
- Ubeda, C.; Callejón, R.M.; Troncoso, A.M.; Moreno-Rojas, J.M.; Peña, F.; Morales, M.L. Characterization of odour active compounds in strawberry vinegars. Flavour Fragr. J. 2012, 27, 313–321. [Google Scholar] [CrossRef]
- Liu, L.; Chen, Y.; Luo, Q.; Xu, N.; Zhou, M.; Gao, B.; Wang, C.; Shi, Y. Fermenting liquid vinegar with higher taste, flavor and healthy value by using discarded Cordyceps militaris solid culture medium. LWT 2018, 98, 654–660. [Google Scholar] [CrossRef]
- Berna, A.Z.; Lammertyn, J.; Buysens, S.; Di Natale, C.; Nicolaï, B.M. Mapping consumer liking of tomatoes with fast aroma profiling techniques. Postharvest Biol. Technol. 2005, 38, 115–127. [Google Scholar] [CrossRef]
- Yanxin, L.; Yaran, L.; Shuxun, L.; Kortesniemi, M.; Jiani, L.; Baoqing, Z.; Laaksonen, O. Sensory and chemical characterization of Chinese bog bilberry wines using Check-all-that-apply method and GC-Quadrupole-MS and GC-Orbitrap-MS analyses. Food Res. Int. 2022, 151, 110809. [Google Scholar]
- Varela, P.; Beltrán, J.; Fiszman, S. An alternative way to uncover drivers of coffee liking: Preference mapping based on consumers’ preference ranking and open comments. Food Qual. Prefer. 2014, 32, 152–159. [Google Scholar] [CrossRef]
- Lu, Y.; Huicong, X.; Baichuan, W.; Longqi, D.; Jianhui, Y.; Chengguo, W. Analysis of consumers′ purchasing habits and satisfaction for vinegar products-based on the perspective of consumers in Yantai. Food Ind. 2021, 230–234. [Google Scholar]
- Zamora, M.C.; Guirao, M. Performance Comparison between Trained Assessors and Wine Experts Using Specific Sensory Attributes. J. Sens. Stud. 2004, 19, 530–545. [Google Scholar] [CrossRef]
- Clark, S.; Warner, H.; Luedecke, L. Acceptability of queso fresco cheese by traditional and nontraditional consumers. Food Sci. Technol. Int. 2001, 7, 165–170. [Google Scholar] [CrossRef]
- Torri, L.; Jeon, S.-Y.; Piochi, M.; Morini, G.; Kim, K.-O. Consumer perception of balsamic vinegar: A cross-cultural study between Korea and Italy. Food Res. Int. 2017, 91, 148–160. [Google Scholar] [CrossRef]
- Jo, D.; Kim, G.-R.; Yeo, S.-H.; Jeong, Y.-J.; Noh, B.S.; Kwon, J.-H. Analysis of aroma compounds of commercial cider vinegars with different acidities using SPME/GC-MS, electronic nose, and sensory evaluation. Food Sci. Biotechnol. 2013, 22, 1559–1565. [Google Scholar] [CrossRef]
- Cejudo-Bastante, C.; Durán-Guerrero, E.; García-Barroso, C.; Castro-Mejías, R. Comparative study of submerged and surface culture acetification process for orange vinegar. J. Sci. Food Agric. 2018, 98, 1052–1060. [Google Scholar] [CrossRef]








| Code | B1 | B2 | B3 | B4 | B5 | B6 |
|---|---|---|---|---|---|---|
| Product name | Ten-year aged Qian-he cellar vinegar | Ning-hua-mansion old vinegar | East-lake health vinegar | Qian-he glutinous rice vinegar | Heng-shun Jinyou balsamic vinegar | Potato vinegar |
| Net content (mL) | 500 | 500 | 500 | 500 | 360 | 1750 |
| Ingredients | Water, glutinous rice, wheat, sorghum, corn, buckwheat, edible salt, sugar | Drinking water, sorghum, bran, rice husk, daqu (barley, peas), edible salt, spices | Water, sorghum, barley, peas, honey, dates, peanuts, licorice, hawthorn, sugar | Water, glutinous rice, rice, wheat bran, edible salt, sugar | Water, glutinous rice, wheat bran, edible salt, sugar | Drinking water, potato, edible salt, food additive (sodium benzoate) |
| Product standard No | GB/18187SSF | GB/18187SSF | GB19777SSF | GB/T18187SSF | GB/T18187SSF | GB/T18187SSF |
| Goods origin | Meishan, Sichuan Province | Taiyuan, Shanxi Province | Taiyuan, Shanxi Province | Meishan, Sichuan Province | Zhenjiang, Jiangsu Province | Ulanqab, Inner Mongolia |
| Product type | Mature vinegar | Mature vinegar | Health vinegar | Aromatic vinegar | Aromatic vinegar | Potato vinegar |
| No. | Compound | RI | Method of Identification | Class | Quantitative Ion | Aroma Description | Odor Threshold (μg/L) |
|---|---|---|---|---|---|---|---|
| 1 | ethyl acetate | 878 | MS, RI | Ester | 43 | sweet, etheric, fruity, grape, rum | 5000 |
| 2 | ethyl propionate | 958 | MS, RI | Ester | 75 | sweet, fruity, grape, ether, rum, pineapple | 10 |
| 3 | n-propyl acetate | 974 | MS, RI | Ester | 43 | pleasant, solvent, sweet fruit | 150,000 |
| 4 | isobutyl acetate | 1012 | MS, RI | Ester | 43 | sweet, apple, banana, fruity | 66 |
| 5 | isoamyl acetate | 1110 | MS, RI | Ester | 43 | sweet, pear, banana, fruity | — |
| 6 | 1,2-propanediol,2-acetate | 1621 | MS, RI | Ester | 43 | — | — |
| 7 | trimethylene acetate | 1665 | MS, RI | Ester | 43 | — | 11 |
| 8 | ethyl benzoate | 1681 | MS, RI | Ester | 105 | sweet, fruity, fragrant | 60 |
| 9 | diethyl succinate | 1680 | MS, RI | Ester | 101 | weak pleasing aroma | 2000 |
| 10 | ethyl phenylacetate | 1770 | MS, RI | Ester | 91 | sweet, fruity, cocoa, floral scent, honey aroma | 650 |
| 11 | β-phenethyl acetate | 1788 | MS, RI | Ester | 104 | sweet, green, floral, fruity, citrus, honey | 3900 |
| 12 | 3-methylbutyraldehyde | 924 | MS, RI | Aldehyde | 44 | apple, chocolate, cocoa | — |
| 13 | nonanal | 1386 | MS, RI | Aldehyde | 57 | fat, floral, waxy, citrus | 1 |
| 14 | benzaldehyde | 1520 | MS, RI | Aldehyde | 77 | almonds, cherries, nuts, woody | 3500 |
| 15 | phenylethanal | 1638 | MS, RI | Aldehyde | 91 | green, earthy, chocolate | 4 |
| 16 | 1H-pyrrole-2-carbaldehyde | 2009 | MS, RI | Aldehyde | 95 | — | — |
| 17 | 5-methyl-2-phenyl-2-hexenal | 2060 | MS, RI | Aldehyde | 117 | bitter cocoa, nuts, honey, baking and grassy notes | — |
| 18 | 1-methylpyrrole-2-carboxaldehyde | 2009 | MS, RI | Aldehyde | 95 | — | — |
| 19 | acetic acid | 1449 | MS, RI | Acid | 60 | strong sour taste | 2200 |
| 20 | propionic acid | 1522 | MS, RI | Acid | 74 | spicy and sour | 20,000 |
| 21 | butyric acid | 1620 | MS, RI | Acid | 60 | cheese, milk, cream, fruity | 240 |
| 22 | isovaleric acid | 1680 | MS, RI | Acid | 60 | cheese, products, fruity | 700 |
| 23 | 2-methylbutyric acid | 1685 | MS, RI | Acid | 74 | pungent and spicy Roquefort | 20 |
| 24 | caproic acid | 1880 | MS, RI | Acid | 60 | green, woody, grassy, vegetable, meaty, fruity | 3000 |
| 25 | octanoic acid | 2100 | MS, RI | Acid | 60 | sweet | 3000 |
| 26 | 3-methyl-1-butanol | 1185 | MS, RI | Alcohol | 55 | apple, banana, whiskey | 30,000 |
| 27 | 2,3-butanediol | 1584 | MS, RI | Alcohol | 45 | sweet, butter, butter | 100,000 |
| 28 | phenethyl alcohol | 1890 | MS, RI | Alcohol | 91 | sweet, green, floral, fresh bread aroma | 750 |
| 29 | 3-hydroxy-2-butanone | 1270 | MS, RI | Ketone | 45 | — | 140 |
| 30 | acetophenone | 1656 | MS, RI | Ketone | 105 | cream, fat | 65 |
| 31 | 2-pyrrolidinone | 2037 | MS, RI | Ketone | 42 | strong medicinal, almond | — |
| 32 | guaiacol | 1862 | MS, RI | Phenol | 109 | smoked, spicy, fragrant, meaty, woody | 21 |
| 33 | 2-ethyl-3-hydroxy-4H-pyran-4-one | 2052 | MS, RI | Phenol | 140 | fruity, caramel | — |
| 34 | 4-ethyl-2-methoxyphenol | 2031 | MS, RI | Phenol | 137 | sweet, spicy, herbal | — |
| 35 | 4-ethylphenol | 2199 | MS, RI | Phenol | 107 | strong phenolic smell, slightly sweet aroma | — |
| 36 | furfural | 1462 | MS, RI | Furan | 96 | strong phenolic smell, slightly sweet aroma | 3000 |
| 37 | acetylfuran | 1508 | MS, RI | Furan | 95 | baked incense, smoky | 10,000 |
| 38 | furfuryl acetate | 1525 | MS, RI | Furan | 81 | ester, floral | — |
| 39 | 1-pentanone, 1-(2-furanyl)- | 1563 | MS, RI | Furan | 95 | — | 6 |
| 40 | 3-furanmethanol | 1679 | MS, RI | Furan | 98 | caramel | — |
| 41 | 1-(5-methyl-2-furyl)ethan-1-one | 1606 | MS, RI | Furan | 109 | biscuits, roasted almonds | — |
| 42 | 4-(2-furyl)-3-buten-2-one | 1879 | MS, RI | Furan | 121 | sweet, powdery, nutty, creamy, woody cinnamon | — |
| 43 | 5-acetyldihydrofuran-2(3H)-one | 2160 | MS, RI | Furan | 85 | sweet, lemon green | 65 |
| 44 | 2-methylpyrazine | 1266 | MS, RI | Pyrazine | 94 | nuts, peanuts, roasted incense, soily, mildew | 60 |
| 45 | 2,3-dimethyl pyrazine | 1356 | MS, RI | Pyrazine | 67 | mildew, roasted, creamy, nuts, cocoa, coffee | 2500 |
| 46 | 2,3,5-trimethylpyrazine | 1415 | MS, RI | Pyrazine | 42 | baked potatoes, fried peanuts, nuts, earthy notes, fermented | 400 |
| 47 | 1,3-dioxolane,2,4,5-trimethyl- | 967 | MS, RI | Others | 44 | — | — |
| 48 | 1,3-dioxane, 2-methyl- | 1044 | MS, RI | Others | 87 | — | — |
| 49 | naphthalene | 1744 | MS, RI | Others | 128 | aromatic odor, coal tar smell | 1500 |
| 50 | 2-methylnaphthalene | 1839 | MS, RI | Others | 142 | aromatic odor, coal tar, camphor, chemicals | — |
| 51 | 2-phenylthiophene | 2124 | MS, RI | Others | 160 | — | — |
| 52 | 4-acetoxy-3-methoxystyrene | 2235 | MS, RI | Others | 150 | — | — |
| No. | Compound | Class | Purity | Supplier | Linear Range(μg/L) LOQ/LOD | Formula | R2 |
|---|---|---|---|---|---|---|---|
| 1 | ethyl acetate | Ester | 0.998 | Sigma-Aldrich | 121,137/40,379 | y = 30.114x − 191,619 | R2 = 0.9811 |
| 5 | isoamyl acetate | Ester | 0.95 | Sigma-Aldrich | 433.125/144.375 | y = 0.0102x − 31.932 | R2 = 0.918 |
| 9 | diethyl succinate | Ester | 0.99 | Sigma-Aldrich | 99.9375/33.3125 | y = 0.0081x − 4.7535 | R2 = 0.9829 |
| 14 | benzaldehyde | Aldehyde | 0.99 | Sigma-Aldrich | 300/100 | y = 0.0068x − 188.12 | R2 = 0.9911 |
| 20 | propionic acid | Acid | 0.995 | Sigma-Aldrich | 6135/2045 | y = 0.5732x + 1246.3 | R2 = 0.9697 |
| 22 | isovaleric acid | Acid | 0.99 | Sigma-Aldrich | 116.25/38.75 | y = 0.0012x + 13.158 | R2 = 0.9939 |
| 24 | caproic acid | Acid | 0.995 | Sigma-Aldrich | 2437.5/812.5 | y = 0.0911x + 507.9 | R2 = 0.9661 |
| 25 | octanoic acid | Acid | 0.99 | Sigma-Aldrich | 6761.25/2253.75 | y = 0.0438x + 902 | R2 = 0.9837 |
| 28 | phenethyl alcohol | Alcohol | 0.99 | Sigma-Aldrich | 30,825/10,275 | y = 0.1457x − 18,131 | R2 = 0.9953 |
| No. | B1 a | B2 | B3 | B4 | B5 | B6 |
|---|---|---|---|---|---|---|
| 1 | 130,650.99 ± 6636.18 a | 625,514.35 ± 1291.87 e | 783,331.79 ± 6806.85 f | 571,951.58 ± 3619.70 d | 304,167.86 ± 5632.55 b | 467,917.75 ± 8154.52 c |
| 2 | 1181.77 ± 4.53 b | 1704.31 ± 14.55 c | 1734.33 ± 10.94 c | 221.56 ± 8.28 a | 223.86 ± 4.31 a | 2271.78 ± 47.05 d |
| 3 | 751.54 ± 38.69 a | 5244.03 ± 76.36 c | 399.66 ± 23.07 a | 2123.75 ± 34.38 b | 1792.44 ± 61.09 b | 812.39 ± 536.96 a |
| 4 | 740.49 ± 7.53 f | 126.34 ± 1.17 b | 16.24 ± 0.18 a | 637.52 ± 6.18 e | 278.41 ± 2.77 c | 472.90 ± 30.91 d |
| 5 | 21,239.27 ± 78.78 d | 3100.82 ± 47.47 a | tr | 22,149.40 ± 183.22 e | 7331.81 ± 70.42 b | 11,597.80 ± 2340.62 c |
| 6 | 344,314.42 ± 3037.80 d | 8624.00 ± 193.86 a b | 208,404.31 ± 1309.92 c | 6464.71 ± 627.42 a | 8724.21 ± 206.27 a b | 11,842.14 ± 825.47 b |
| 7 | 159.27 ± 6.92 a | 1357.87 ± 113.19 c | 761.25 ± 39.64 b | 138.21 ± 18.20 a | 152.63 ± 2.70 a | 2898.76 ± 2.70 d |
| 8 | 2496.29 ± 5.54 d | 768.78 ± 3.38 c | 57.64 ± 15.06 a | 2766.54 ± 4.32 e | 4425.84 ± 3.75 f | 134.63 ± 36.13 b |
| 9 | 607.73 ± 1.70 a | 1786.03 ± 57.56 c | 1354.23 ± 92.26 b | 1881.49 ± 200.04 d | 11,395.23 ± 347.24 e | tr |
| 10 | tr | tr | tr | tr | tr | tr |
| 11 | 0.45 ± 0.19 b | tr | tr | 0.62 ± 0.16 b | 1.47 ± 0.30 c | tr |
| 12 | 39,262.87 ± 58.38 e | 22,572.34 ± 19.84 c | 19,246.37 ± 27.46 b | 35,396.43 ± 20.06 d | 44,409.15 ± 95.67 f | 3022.45 ± 337.71 a |
| 13 | tr | tr | tr | tr | tr | tr |
| 14 | 1150.98 ± 2.29 a | 6667.33 ± 10.79 e | 2167.45 ± 12.54 b | 7281.14 ± 0.96 f | 2704.11 ± 11.99 c | 3383.24 ± 156.20 d |
| 15 | 16,618.10 ± 34.91 c | 13,683.19 ± 2.56 b | 16,136.22 ± 62.54 c | 23,161.05 ± 76.12 d | 14,106.61 ± 38.35 b | 12,303.69 ± 556.86 a |
| 16 | 1982.62 ± 135.83 b | 14,611.62 ± 877.44 d | 7735.74 ± 1024.88 c | 1439.58 ± 89.46 a b | 2466.34 ± 16.66 b | 223.47 ± 7.66 a |
| 17 | tr | tr | tr | tr | tr | tr |
| 18 | 36.40 ± 2.62 a | 135.69 ± 7.68 a | 489.55 ± 108.62 b | 27.11 ± 1.55 a | 92.43 ± 2.28 a | 14.36 ± 2.46 a |
| 19 | 8,020,749.17 ± 2,250,142.09 a | 7,057,979.52 ± 1,329,019.25 a | 11,429,688.79 ± 3,499,562.07 a | 6,119,026.91 ± 530,020.51 a | 11,729,001.22 ± 5,750,084.35 a | 6,077,922.73 ± 124,119.42 a |
| 20 | 13,954.14 ± 125.32 a | 83,294.53 ± 427.16 c | 24,429.37 ± 153.02 b | tr | tr | 503,640.81 ± 153,772.98 d |
| 21 | 73.83 ± 0.16 a b | 155.64 ± 0.25 b c | 230.41 ± 35.27 c | 46.56 ± 0.31 a | 882.92 ± 73.08 d | 40.22 ± 0.13 a |
| 22 | 363.08 ± 0.08 c | 397.24 ± 17.93 c | 246.81 ± 0.38 b | 379.70 ± 23.62 c | 793.42 ± 0.05 d | 137.08 ± 23.54 a |
| 23 | 13,432.09 ± 390.75 d | 8349.21 ± 731.17 b c | 6811.15 ± 137.18 a b | 9544.95 ± 925.82 c | 16,317.27 ± 1529.55 e | 5065.04 ± 633.79 a |
| 24 | 11,979.79 ± 5.92 c | 21,522.27 ± 328.98 e | 17,502.03 ± 33.56 d | 8781.48 ± 980.37 b | 28,541.34 ± 986.88 f | 4208.75 ± 13.15 a |
| 25 | tr | tr | tr | tr | tr | tr |
| 26 | 8637.39 ± 32.20 c | 440.01 ± 39.83 a | tr | 13,010.93 ± 167.42 d | 4574.55 ± 42.91 b | 4819.93 ± 1259.78 b |
| 27 | 44,617.93 ± 137.00 a | 95,440.55 ± 28,644.95 b c | 49,629.19 ± 601.14 a b | 20,513.18 ± 528.50 a | 106,686.91 ± 181.98 c | 92,842.65 ± 31,051.35 b c |
| 28 | 460,480.92 ± 5729.13 c | 145,519.63 ± 11,269.22 a b | 77,189.78 ± 7544.10 a | 565,184.73 ± 42,979.58 d | 695,627.22 ± 40,986.21 e | 173,905.87 ± 24,280.65 b |
| 29 | tr | 6910.25 ± 1724.70 b c | 136.94 ± 133.61 a b | 2468.94 ± 521.10 a b c | 369.80 ± 283.54 a b | 9315.87 ± 5955.46 c |
| 30 | 1412.94 ± 5.75 b | 5653.94 ± 331.67 c | 1057.34 ± 9.49 b | 1257.21 ± 9.80 b | 1220.89 ± 5.24 b | 129.10 ± 1.78 a |
| 31 | 285.25 ± 29.00 a b | 769.83 ± 101.22 c | 185.04 ± 24.28 a | 328.93 ± 13.26 b | 362.42 ± 23.59 b | 250.98 ± 57.63 a b |
| 32 | 1385.18 ± 5.38 a | 42,367.62 ± 1490.59 c | 5063.67 ± 6.19 b | 593.83 ± 117.46 a | 809.65 ± 31.79 a | 1260.93 ± 244.56 a |
| 33 | tr | tr | tr | tr | tr | tr |
| 34 | 1836.67 ± 125.52 b | 10,330.78 ± 422.46 e | 413.50 ± 63.52 a | 4746.59 ± 87.82 d | 199.59 ± 15.38 a | 2794.37 ± 656.28 c |
| 35 | 23.19 ± 1.27 a | 2829.93 ± 226.93 b | 180.21 ± 15.24 a | 14.55 ± 0.59 a | 18.91 ± 0.36 a | 30.89 ± 6.62 a |
| 36 | 334.34 ± 3.85 c | 1502.79 ± 54.64 f | 142.65 ± 11.07 b | 514.31 ± 4.86 d | 1057.21 ± 8.29 e | tr |
| 37 | 4810.83 ± 49.30 b | 24,330.76 ± 282.79 e | 17,231.94 ± 407.93 d | 5400.72 ± 58.23 b | 9834.93 ± 152.36 c | 3161.14 ± 549.63 a |
| 38 | 19,300.71 ± 1153.50 e | 15,329.97 ± 1124.08 d | 8932.46 ± 178.69 b | 18,218.52 ± 51.99 e | 12,829.97 ± 133.62 c | 965.43 ± 193.69 a |
| 39 | 93.85 ± 0.52 b | 1474.57 ± 75.16 c | 122.23 ± 11.09 b | 46.35 ± 0.08 a b | 2.39 ± 0.45 a | tr |
| 40 | 1274.10 ± 0.29 c | 787.66 ± 50.90 b | 2064.35 ± 128.89 d | 1293.57 ± 93.83 c | 711.91 ± 0.28 b | tr |
| 41 | 135.85 ± 0.72 a | 4078.41 ± 326.13 c | 502.77 ± 0.71 b | 64.87 ± 5.68 a | 84.82 ± 9.87 a | 124.02 ± 24.02 a |
| 42 | 785.24 ± 9.04 d | 1809.90 ± 16.33 f | 1156.85 ± 3.01 e | 323.94 ± 8.20 b | 393.02 ± 26.61 c | 93.58 ± 38.26 a |
| 43 | 479.21 ± 43.10 a b | 1265.54 ± 185.14 c | 303.70 ± 35.28 a | 544.40 ± 19.80 b | 592.24 ± 33.21 b | 413.46 ± 82.58 a b |
| 44 | tr | tr | tr | tr | tr | tr |
| 45 | 297.71 ± 2.71 b | 3190.07 ± 127.80 e | 1498.79 ± 10.60 d | 627.20 ± 83.01 c | 91.46 ± 13.13 a | 45.30 ± 4.69 a |
| 46 | 29,125.40 ± 294.08 b | 114,532.53 ± 1137.68 e | 94,445.64 ± 2367.40 d | 53,390.76 ± 5265.10 c | 6870.70 ± 140.14 a | 911.37 ± 106.41 a |
| 47 | 1780.01 ± 3.98 c | 3373.76 ± 15.08 d | 1324.12 ± 9.50 b | 5712.76 ± 55.65 e | 8207.16 ± 33.79 f | 1020.24 ± 43.86 a |
| 48 | tr | tr | tr | tr | tr | tr |
| 49 | 1.26 ± 0.01 a | 3.48 ± 0.01 a | 3.42 ± 1.87 a | 0.92 ± 0.21 a | 0.79 ± 0.12 a | 27.83 ± 10.31 b |
| 50 | 70.87 ± 0.62 a b | 120.71 ± 1.83 a b | 612.06 ± 342.68 b c | 51.49 ± 3.51 a | 161.21 ± 37.54 a b | 924.48 ± 344.18 c |
| 51 | 1172.28 ± 1876.58 a | 2650.75 ± 1886.25 a | 323.81 ± 252.06 a | 324.17 ± 494.20 a | 829.70 ± 296.07 a | 512.85 ± 12.92 a |
| 52 | 12,375.86 ± 1661.42 c | 4469.58 ± 1100.56 b | 1962.65 ± 378.17 a | 1414.54 ± 16.80 a | 2734.43 ± 312.57 a b | 756.57 ± 157.68 a |
| No. | B1 | B2 | B3 | B4 | B5 | B6 |
|---|---|---|---|---|---|---|
| 1 | 26.130 | 125.103 | 156.666 | 114.390 | 60.834 | 93.584 |
| 2 | 118.177 | 170.431 | 173.433 | 22.156 | 22.386 | 227.178 |
| 4 | 11.220 | 1.914 | — | 9.659 | 4.218 | 7.165 |
| 7 | 14.479 | 123.443 | 69.205 | 12.564 | 13.876 | 263.524 |
| 8 | 41.605 | 12.813 | — | 46.109 | 73.764 | 2.244 |
| 9 | — | — | — | — | 5.698 | — |
| 14 | — | 1.905 | — | 2.080 | — | — |
| 15 | 4154.525 | 3420.799 | 4034.055 | 5790.261 | 3526.653 | 3075.922 |
| 19 | 3645.795 | 3208.173 | 5195.313 | 2781.376 | 5331.364 | 2762.692 |
| 20 | — | 4.165 | 1.221 | — | — | 25.182 |
| 21 | — | — | — | — | 3.679 | — |
| 22 | — | — | — | — | 1.133 | — |
| 23 | 191.887 | 119.274 | 97.302 | 136.356 | 233.104 | 72.358 |
| 24 | 3.993 | 7.174 | 5.834 | 2.927 | 9.514 | 1.403 |
| 27 | — | — | — | — | 1.067 | — |
| 28 | 613.975 | 194.026 | 102.920 | 753.580 | 927.503 | 231.874 |
| 29 | — | 49.359 | — | 17.635 | 2.641 | 66.542 |
| 30 | 21.738 | 86.984 | 16.267 | 19.342 | 18.783 | 1.986 |
| 32 | 65.961 | 2017.506 | 241.127 | 28.278 | 38.555 | 60.044 |
| 37 | — | 2.433 | 1.723 | — | — | — |
| 39 | 15.642 | 245.762 | 20.371 | 7.726 | — | — |
| 43 | 7.372 | 19.470 | 4.672 | 8.375 | 9.111 | 6.361 |
| 46 | 16.181 | 63.629 | 52.470 | 29.662 | 3.817 | — |
| Produce Name | Aroma Description |
|---|---|
| Ten-year aged Qian-he cellar vinegar | Sour, green, floral, and sweet scents |
| Ning-hua-mansion old vinegar | Sour, green, fruity, sweet, and roasted aromas |
| East-lake health vinegar | Sour, green, fruity, and sweet notes |
| Qian-he glutinous rice vinegar | Sour, green, floral, and sweet aromatic notes |
| Heng-shun Jinyou balsamic vinegar | Sour, green, fruity, and sweet notes |
| Potato vinegar | Sour, fragrant, green, fruity, and sweet aromas |
| Cluster 1 | Relative Importance | Cluster 2 | Relative Importance | Cluster 3 | Relative Importance |
|---|---|---|---|---|---|
| 1-methylpyrrole-2-carboxaldehyde | 4.342935 | benzaldehyde | 7.217879 | 4-acetoxy-3-methoxystyrene | 8.302227 |
| ethyl acetate | 4.319396 | phenylethanal | 4.1944 | 1,2-propanediol,2-acetate | 8.09123 |
| acetylfuran | 4.269728 | 3-methyl-1-butanol | 4.082279 | isobutyl acetate | 3.474666 |
| 1H-pyrrole-2-carbaldehyde | 3.784573 | 3-hydroxy-2-butanone | 3.887411 | 2-methylbutyric acid | 3.007397 |
| 2,3,5-trimethylpyrazine | 3.509161 | ethyl acetate | 3.391669 | isoamyl acetate | 2.51753 |
Publisher’s Note: MDPI stays neutral with regard to jurisdictional claims in published maps and institutional affiliations. |
© 2022 by the authors. Licensee MDPI, Basel, Switzerland. This article is an open access article distributed under the terms and conditions of the Creative Commons Attribution (CC BY) license (https://creativecommons.org/licenses/by/4.0/).
Share and Cite
Liang, S.; Liu, Y.; Yuan, S.; Liu, Y.; Zhu, B.; Zhang, M. Study of Consumer Liking of Six Chinese Vinegar Products and the Correlation between These Likings and the Volatile Profile. Foods 2022, 11, 2224. https://doi.org/10.3390/foods11152224
Liang S, Liu Y, Yuan S, Liu Y, Zhu B, Zhang M. Study of Consumer Liking of Six Chinese Vinegar Products and the Correlation between These Likings and the Volatile Profile. Foods. 2022; 11(15):2224. https://doi.org/10.3390/foods11152224
Chicago/Turabian StyleLiang, Shan, Ying Liu, Shao Yuan, Yixuan Liu, Baoqing Zhu, and Min Zhang. 2022. "Study of Consumer Liking of Six Chinese Vinegar Products and the Correlation between These Likings and the Volatile Profile" Foods 11, no. 15: 2224. https://doi.org/10.3390/foods11152224
APA StyleLiang, S., Liu, Y., Yuan, S., Liu, Y., Zhu, B., & Zhang, M. (2022). Study of Consumer Liking of Six Chinese Vinegar Products and the Correlation between These Likings and the Volatile Profile. Foods, 11(15), 2224. https://doi.org/10.3390/foods11152224
