The Influence of Different Extraction Methods on the Structure, Rheological, Thermal and Functional Properties of Soluble Dietary Fiber from Sanchi (Panax notoginseng) Flower
Abstract
:1. Introduction
2. Materials and Methods
2.1. Materials
2.2. Preliminary Treatment of Sanchi Flower
2.3. SDF Extraction from Sanchi Flower
2.3.1. Acid (AC) Extraction
2.3.2. Alkali (AL) Extraction
2.3.3. Enzymatic (EN) Extraction
2.3.4. Homogenization (H) Assisted Extraction
2.3.5. Ultrasonication (U) Extraction
2.4. Protein Content
2.5. Color Analysis
2.6. Environmental Scanning Electron Microscopy (ESEM)
2.7. Fourier-Transform Infrared (FT-IR) Spectroscopy
2.8. Thermal Properties
2.9. Rheological Properties
2.9.1. Solution Preparation
2.9.2. Rheological Measurements
2.10. Monosaccharide Compositions
2.11. Hydration Properties
2.12. Bile Acid-Adsorption Capacity (BAC)
2.13. Cholesterol-Adsorption Capacity (CAC)
2.14. Glucose Adsorption Capacity (GAC)
2.15. Statistical Analysis
3. Results
3.1. SDF Yield, Protein Content and Color Values
3.2. Microstructure
3.3. FT-IR Spectroscopy
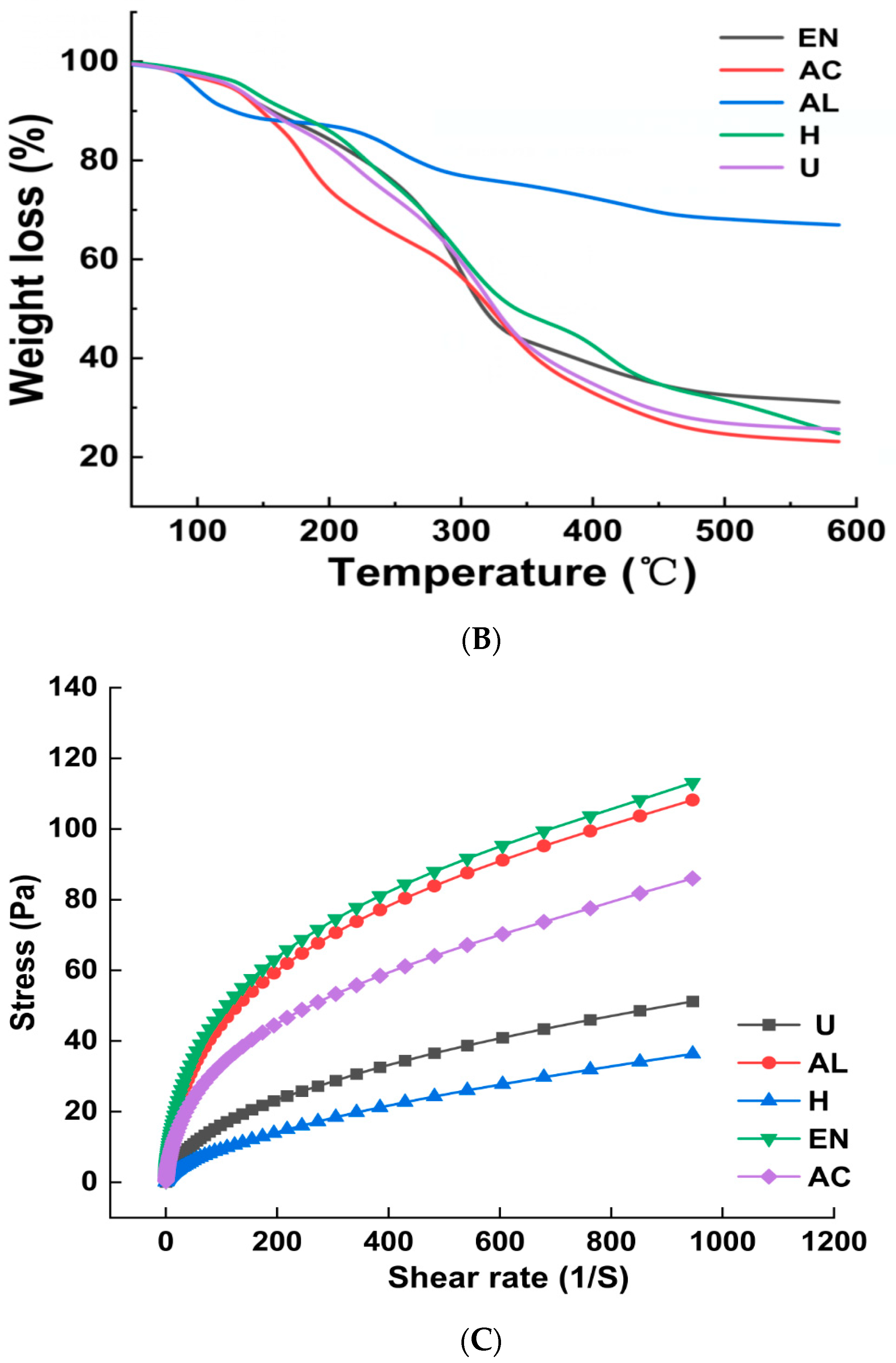
3.4. Thermal Properties
3.5. Rheological Properties
3.6. Monosaccharide Composition
3.7. Hydration and Functional Properties
3.7.1. WHC and OHC
3.7.2. BAC
3.7.3. CAC
3.7.4. GAC
4. Conclusions
Author Contributions
Funding
Institutional Review Board Statement
Informed Consent Statement
Data Availability Statement
Conflicts of Interest
References
- Peng, M.; Yi, Y.X.; Zhang, T.; Ding, Y.; Le, J. Stereoisomers of saponins in Panax notoginseng (Sanqi): A review. Front. Pharmacol. 2018, 9, 188. [Google Scholar] [CrossRef] [PubMed] [Green Version]
- Shin, B.-K.; Kwon, S.W.; Park, J.H. Chemical diversity of ginseng saponins from Panax ginseng. J. Ginseng Res. 2015, 39, 287–298. [Google Scholar] [CrossRef] [Green Version]
- Choi, R.C.-Y.; Jiang, Z.; Xie, H.Q.; Cheung, A.W.-H.; Lau, D.T.-W.; Fu, Q.; Dong, T.T.; Chen, J.; Wang, Z.; Tsim, K.W.-K. Anti-oxidative effects of the biennial flower of Panax notoginseng against H2O2-induced cytotoxicity in cultured PC12 cells. Chin. Med. 2010, 5, 38. [Google Scholar] [CrossRef] [PubMed] [Green Version]
- Zhang, S.; Chen, C.; Lu, W.; Wei, L. Phytochemistry, pharmacology, and clinical use of Panax notoginseng flowers buds. Phytother. Res. 2018, 32, 2155–2163. [Google Scholar] [CrossRef] [PubMed]
- Meng, X.; Liu, F.; Xiao, Y.; Cao, J.; Wang, M.; Duan, X. Alterations in physicochemical and functional properties of buckwheat straw insoluble dietary fiber by alkaline hydrogen peroxide treatment. Food Chem. X 2019, 3, 100029. [Google Scholar] [CrossRef]
- Moczkowska, M.; Karp, S.; Niu, Y.; Kurek, M.A. Enzymatic, enzymatic-ultrasonic and alkaline extraction of soluble dietary fibre from flaxseed–A physicochemical approach. Food Hydrocolloids 2019, 90, 105–112. [Google Scholar] [CrossRef]
- European Food Safety Authority. Outcome of the Public consultation on the Draft Opinion of the Scientific Panel on Dietetic Products, Nutrition, and Allergies (NDA) on Dietary Reference Values for carbohydrates and dietary fibre. EFSA J. 2010, 8, 1508–1569. Available online: http://www.efsa.europa.eu/en/search/doc/1462.pdf (accessed on 14 April 2022).
- Wang, K.; Li, M.; Wang, Y.; Liu, Z.; Ni, Y. Effects of extraction methods on the structural characteristics and functional properties of dietary fiber extracted from kiwifruit (Actinidia deliciosa). Food Hydrocolloids 2021, 110, 106162. [Google Scholar] [CrossRef]
- Balicki, S.; Pawlaczyk-Graja, I.; Gancarz, R.; Capek, P.; Wilk, K.A. Optimization of Ultrasound-Assisted Extraction of Functional Food Fiber from Canadian Horseweed (Erigeron canadensis L.). ACS Omega 2020, 5, 20854–20862. [Google Scholar] [CrossRef]
- Abdul Khalil, H.P.S.; Saurabh, C.K.; Asniza, M.; Tye, Y.Y.; Nurul Fazita, M.R.; Syakir, M.I.; Suraya, N.L.M. 1-Nanofibrillated cellulose reinforcement in thermoset polymer composites. In Cellulose-Reinforced Nanofibre Composites; Jawaid, M., Boufi, S., Abdul Khalil, H.P.S., Eds.; Woodhead Publishing: Cambridge, MA, USA, 2017; pp. 1–24. [Google Scholar]
- Wang, S.; Fang, Y.; Xu, Y.; Zhu, B.; Piao, J.; Zhu, L.; Wu, J. The effects of different extraction methods on physicochemical, functional and physiological properties of soluble and insoluble dietary fiber from Rubus chingii Hu. fruits. J. Funct. Foods 2022, 93, 105081. [Google Scholar] [CrossRef]
- Jeevanandam, J.; Acquah, C.; Danquah, M.K. Chapter 10-Biological macromolecules as antidiabetic agents. In Biological Macromolecules; Nayak, A.K., Dhara, A.K., Pal, D., Eds.; Academic Press: Cambridge, MA, USA, 2022; pp. 229–241. [Google Scholar]
- Engelberth, A.S.; Clausen, E.C.; Carrier, D.J. Comparing extraction methods to recover ginseng saponins from American ginseng (Panax quinquefolium), followed by purification using fast centrifugal partition chromatography with HPLC verification. Sep. Purif. Technol. 2010, 72, 1–6. [Google Scholar] [CrossRef]
- Yuliarti, O.; Matia, L.; Mawson, J.; Brennan, C. Extraction and characterisation of pomace pectin from gold kiwifruit (Actinidia chinensis). Food Chem. 2015, 187, 290–296. [Google Scholar] [CrossRef] [PubMed]
- Zhang, W.; Zeng, G.; Pan, Y.; Chen, W.; Huang, W.; Chen, H.; Li, Y. Properties of soluble dietary fiber-polysaccharide from papaya peel obtained through alkaline or ultrasound-assisted alkaline extraction. Carbohydr. Polym. 2017, 172, 102–112. [Google Scholar] [CrossRef] [PubMed]
- Kurek, M.A.; Karp, S.; Wyrwisz, J.; Niu, Y. Physicochemical properties of dietary fibers extracted from gluten-free sources: Quinoa (Chenopodium quinoa), amaranth (Amaranthus caudatus) and millet (Panicum miliaceum). Food Hydrocolloids 2018, 85, 321–330. [Google Scholar] [CrossRef]
- AOAC. Official Method of Analysis of AOAC International, 15th ed.; Methods 950.46 and 991.43; AOAC: Arlington, VA, USA, 1990. [Google Scholar]
- Du, X.; Bai, X.; Gao, W.; Jiang, Z. Properties of soluble dietary fibre from defatted coconut flour obtained through subcritical water extraction. Int. J. Food Sci. Technol. 2019, 54, 1390–1404. [Google Scholar] [CrossRef]
- Luo, X.; Wang, Q.; Zheng, B.; Lin, L.; Chen, B.; Zheng, Y. Hydration properties and binding capacities of dietary fibers from bamboo shoot shell and its hypolipidemic effects in mice. Food Chem. Toxicol. 2017, 109, 1003–1009. [Google Scholar] [CrossRef]
- Spence, J.D.; Jenkins, D.J.A.; Davignon, J. Dietary cholesterol and egg yolks: Not for patients at risk of vascular disease. Can. J. Cardiol. 2010, 26, e336–e339. [Google Scholar] [CrossRef] [Green Version]
- Sun, J.; Zhang, Z.; Xiao, F.; Wei, Q.; Jing, Z. Ultrasound-assisted alkali extraction of insoluble dietary fiber from soybean residues. In IOP Conference Series: Materials Science and Engineering; IOP Publishing: Bristol, UK, 2018; Volume 392, p. 052005. [Google Scholar]
- Cai, Y.; Huang, L.; Chen, B.; Su, J.; Zhao, X.; Zhao, M.; Van der Meeren, P. Effect of homogenization associated with alkaline treatment on the structural, physicochemical, and emulsifying properties of insoluble soybean fiber (ISF). Food Hydrocolloids 2021, 113, 106516. [Google Scholar] [CrossRef]
- Wu, Z.; Ameer, K.; Jiang, G. Effects of superfine grinding on the physicochemical properties and antioxidant activities of Sanchi (Panax notoginseng) flower powders. J. Food Sci. Technol. 2021, 58, 62–73. [Google Scholar] [CrossRef]
- Jiang, G.; Bai, X.; Wu, Z.; Li, S.; Zhao, C.; Ramachandraiah, K. Modification of ginseng insoluble dietary fiber through alkaline hydrogen peroxide treatment and its impact on structure, physicochemical and functional properties. LWT 2021, 150, 111956. [Google Scholar] [CrossRef]
- Yang, S.-Y.; Yuan, L.-L. Chapter 1-Advanced Polyimide Films. In Advanced Polyimide Materials; Yang, S.-Y., Ed.; Elsevier: Amsterdam, The Netherlands, 2018; pp. 1–66. [Google Scholar]
- Bi, C.H.; Yan, Z.M.; Wang, P.L.; Alkhatib, A.; Zhu, J.Y.; Zou, H.C.; Huang, Z.G. Effect of high pressure homogenization treatment on the rheological properties of citrus peel fiber/corn oil emulsion. J. Sci. Food Agric. 2020, 100, 3658–3665. [Google Scholar] [CrossRef] [PubMed]
- Bi, X.; Hemar, Y.; Balaban, M.O.; Liao, X. The effect of ultrasound on particle size, color, viscosity and polyphenol oxidase activity of diluted avocado puree. Ultrason. Sonochem. 2015, 27, 567–575. [Google Scholar] [CrossRef] [PubMed]
- Ramachandraiah, K.; Chin, K.B. Evaluation of ball-milling time on the physicochemical and antioxidant properties of persimmon by-products powder. Innov. Food Sci. Emerg. Technol. 2016, 37, 115–124. [Google Scholar] [CrossRef]
- Jia, M.; Chen, J.; Liu, X.; Xie, M.; Nie, S.; Chen, Y.; Yu, Q. Structural characteristics and functional properties of soluble dietary fiber from defatted rice bran obtained through Trichoderma viride fermentation. Food Hydrocolloids 2019, 94, 468–474. [Google Scholar] [CrossRef]
- Zhang, Y.; Qi, J.; Zeng, W.; Huang, Y.; Yang, X. Properties of dietary fiber from citrus obtained through alkaline hydrogen peroxide treatment and homogenization treatment. Food Chem. 2020, 311, 125873. [Google Scholar] [CrossRef]
- Hu, H.; Zhao, Q. Optimization extraction and functional properties of soluble dietary fiber from pineapple pomace obtained by shear homogenization-assisted extraction. RSC Adv. 2018, 8, 41117–41130. [Google Scholar] [CrossRef] [Green Version]
- Huang, X.; Liang, K.; Liu, Q.; Qiu, J.; Wang, J.; Zhu, H. Superfine grinding affects physicochemical, thermal and structural properties of Moringa Oleifera leaf powders. Ind. Crops Prod. 2020, 151, 112472. [Google Scholar] [CrossRef]
- He, Y.; Wang, B.; Wen, L.; Wang, F.; Yu, H.; Chen, D.; Zhang, C. Effects of dietary fiber on human health. Food Sci. Hum. Wellness 2022, 11, 1–10. [Google Scholar] [CrossRef]
- Cheng, T.; Liu, C.; Hu, Z.; Wang, Z.; Guo, Z. Effects of γ-Irradiation on Structure and Functional Properties of Pea Fiber. Foods 2022, 11, 1433. [Google Scholar] [CrossRef]
- Song, Y.; Su, W.; Mu, Y.C. Modification of bamboo shoot dietary fiber by extrusion-cellulase technology and its properties. Int. J. Food Prop. 2018, 21, 1219–1232. [Google Scholar] [CrossRef] [Green Version]






| Extraction Methods | SDF Yield | Protein | Color Values | ||
|---|---|---|---|---|---|
| L* | a* | b* | |||
| AC | 11.480 ± 1.440 b | 1.400 ± 0.035 bc | 65.545 ± 0.177 d | 4.110 ± 0.127 ab | 19.100 ± 0.127 b |
| AL | 23.140 ± 2.820 a | 1.015 ± 0.015 c | 66.135 ± 0.078 c | 3.945 ± 0.064 b | 20.145 ± 0.177 a |
| EN | 9.540 ± 0.240 b | 2.765 ± 0.036 a | 63.275 ± 0.106 e | 4.440 ± 0.170 a | 17.460 ± 0.085 c |
| H | 10.530 ± 1.230 b | 1.867 ± 0.031 b | 67.450 ± 0.198 b | 3.750 ± 0.283 b | 16.250 ± 0.198 d |
| U | 10.560 ± 0.510 b | 2.450 ± 0.025 a | 70.120 ± 0.396 a | 2.235 ± 0.120 c | 18.800 ± 0.339 b |
| Extraction Methods | Consistency Coefficient (K) | Flow Behavior Index (n) | Apparent Viscosity 200 1/s (η) | R2 |
|---|---|---|---|---|
| U | 0.019 ± 0.006 c | 3.465 ± 0.096 ab | 0.238 ± 0.038 b | 0.9998 |
| AL | 0.388 ± 0.029 b | 3.248 ± 0.485 ab | 0.131 ± 0.032 c | 0.9995 |
| H | 0.008 ± 0.005 c | 3.498 ± 0.123 a | 0.280 ± 0.014 ab | 0.9999 |
| EN | 2.404 ± 0.045 a | 2.471 ± 0.151 b | 0.091 ± 0.036 c | 0.9994 |
| AC | 0.002 ± 0.001 c | 3.724 ± 0.072 a | 0.317 ± 0.020 a | 0.9995 |
| Extraction Methods | Glc | Gal | Xyl | Ara |
|---|---|---|---|---|
| AC | 0.77 | 0.57 | 1.00 | 0.52 |
| AL | 3.47 | - | 1.00 | - |
| EN | 3.39 | 3.1 | 1.00 | 1.22 |
| H | 8.46 | 5.81 | 1.00 | 2.35 |
| U | 1.09 | 0.81 | 1.00 | 0.28 |
| Extraction Methods | WHC (g/g) | OHC (g/g) | BAC (mg/g) | CAC (mg/g) | GAC (mg/g) | |
|---|---|---|---|---|---|---|
| pH 2 | pH 7 | |||||
| AC | 0.820 ± 0.026 d | 1.580 ± 0.030 c | 3.593 ± 0.010 b | 11.607 ± 0.186 c | 10.944 ± 0.044 d | 73.520 ± 0.416 c |
| AL | 0.890 ± 0.079 d | 1.613 ± 0.040 c | 3.231 ± 0.004 d | 12.725 ± 0.142 a | 12.817 ± 0.039 a | 83.370 ± 1.022 b |
| EN | 1.167 ± 0.032 b | 1.583 ± 0.006 c | 3.565 ± 0.006 c | 11.864 ± 0.091 b | 11.762 ± 0.191 c | 51.293 ± 3.916 d |
| H | 1.420 ± 0.061 a | 1.827 ± 0.078 a | 3.610 ± 0.003 a | 12.533 ± 0.065 a | 10.425 ± 0.011 e | 75.154 ± 0.342 c |
| U | 1.060 ± 0.035 c | 1.717 ± 0.038 b | 3.618 ± 0.006 a | 11.987 ± 0.016 b | 12.135 ± 0.080 b | 94.626 ± 0.343 a |
Publisher’s Note: MDPI stays neutral with regard to jurisdictional claims in published maps and institutional affiliations. |
© 2022 by the authors. Licensee MDPI, Basel, Switzerland. This article is an open access article distributed under the terms and conditions of the Creative Commons Attribution (CC BY) license (https://creativecommons.org/licenses/by/4.0/).
Share and Cite
Jiang, G.; Ramachandraiah, K.; Wu, Z.; Ameer, K. The Influence of Different Extraction Methods on the Structure, Rheological, Thermal and Functional Properties of Soluble Dietary Fiber from Sanchi (Panax notoginseng) Flower. Foods 2022, 11, 1995. https://doi.org/10.3390/foods11141995
Jiang G, Ramachandraiah K, Wu Z, Ameer K. The Influence of Different Extraction Methods on the Structure, Rheological, Thermal and Functional Properties of Soluble Dietary Fiber from Sanchi (Panax notoginseng) Flower. Foods. 2022; 11(14):1995. https://doi.org/10.3390/foods11141995
Chicago/Turabian StyleJiang, Guihun, Karna Ramachandraiah, Zhaogen Wu, and Kashif Ameer. 2022. "The Influence of Different Extraction Methods on the Structure, Rheological, Thermal and Functional Properties of Soluble Dietary Fiber from Sanchi (Panax notoginseng) Flower" Foods 11, no. 14: 1995. https://doi.org/10.3390/foods11141995
APA StyleJiang, G., Ramachandraiah, K., Wu, Z., & Ameer, K. (2022). The Influence of Different Extraction Methods on the Structure, Rheological, Thermal and Functional Properties of Soluble Dietary Fiber from Sanchi (Panax notoginseng) Flower. Foods, 11(14), 1995. https://doi.org/10.3390/foods11141995

