Abstract
Human milk contains numerous free low molecular weight peptides (LMWPs), which may play an important role in infant health and growth. The bioactivities of LMWPs are determined by their structures, especially the amino acid sequences. In the present study, 81 human milk samples were collected and purified by cation-exchange solid-phase extraction (SPE). Ultra-high performance liquid chromatography coupled to quadrupole time-of-flight mass spectrometry (UPLC-QTOF-MS) was used for the separation and detection of free LMWPs in human milk. A total of 56 LMWPs were identified and quantified. These LMWPs were mainly derived from 3 regions of β-casein, which were the amino acid fragments of 16–40, 85–110, and 205–226. The predominant LMWPs were RETIESLSSSEESITEYK, RETIESLSSSEESITEYKQKVEKVK, ETIESLSSSEESITEYK, TQPLAPVHNPIS, and QPLAPVHNPISV with molecular weights of 2247.9573, 2860.2437, 2091.8591, 1372.7666, and 1271.7212, respectively. The results indicated that the technique based on SPE and UPLC-QTOF-MS might greatly facilitate the analysis of LMWPs in human milk.
1. Introduction
The importance of proteins in the diet has been increasingly acknowledged as a result of new scientific findings in the field of nutrition over the last two decades. The value of proteins as an essential source of amino acids is well documented, but recently it has been recognized that dietary proteins exert many other functionalities in vivo by means of biologically active peptides [1], which have been defined as specific protein fragments that have positive impacts on body functions or conditions and may ultimately influence health [2]. The size of bio-active peptides may vary from 2 to 30 amino acid residues; these peptides are also called low molecular weight peptides (LMWPs). Despite being studied for years, the LMWPs have never attracted enough attention. In fact, this peptide fraction is a key factor that regulates many genes and participates in various pathways of disease [3,4]. Recent research has found a large number of functional endogenous peptides in breast milk, thus making human milk a carrier of biochemical messages [5,6,7,8,9]. Over 300 naturally produced peptides were identified originating from the protein composition of breast milk, and the antimicrobial activity of the peptide mixture was firstly considered [5].
Milk components, including lipids, proteins, and other nutrients, are affected by various factors such as species, season, environment, and lactation periods [10,11,12]. Over the past decades, a number of LMWPs with specific bioactivities have been identified in bovine milk, including calcium-binding phosphopeptides (CCPs) [13], angiotensin-converting enzyme (ACE), inhibitory [14,15], antibacterial [16,17], antioxidative [18,19], immunomodulatory [15,20], opioid-like [21], and cell growth-stimulating effects [22]. These peptides are also believed to exist in human milk and play similar roles [23], and such bioactive functions are indispensable for infants whose cardiovascular, digestive, endocrine, immune, and nervous systems are still not fully developed.
The bioactive functions of LMWPs are based on their inherent amino acid composition and sequences. The study of detection and identification is the first step toward understanding what specific functions peptides can exert in human milk. So far, the number and location of peptides derived from different proteins in human milk have been reported based on Chip-QTOF (Chip-quadrupole time-of-flight mass spectrometry) analysis [24,25]. However, the common LMWPs and their variation in human milk among different individuals remain to be revealed. The aim of the present study was to determine the common LMWPs among 81 human milk samples, which were collected from eastern China. For this purpose, we used a novel, streamlined, high-throughput analytical approach optimized to explicitly capture and identify the complete set of peptides produced by human in vivo proteolytic digestion of breast milk.
2. Materials and Methods
2.1. Reagents and Equipment
Ammonia (AP) and hexane (AP) were bought from Huadong Medicine Co., Ltd. (Hangzhou, China), acetonitrile (HPLC-grade) and methanol (HPLC-grade) were acquired from Fisher Scientific Ltd. (Rathburn, Walkerburn, UK), formic acid (solution 96%, HPLC-grade) was acquired from Tedia company, Inc. (Fairfield, OH, USA). Oasis® MCX extraction cartridges (60 mg/3 mL) and the manifold system were purchased from Waters (Milford, MA, USA). Leu-enkephalin (LE) was obtained from Sigma-Aldrich Co., LLC. (St. Louis, MO, USA) Samples of human milk were obtained from local hospitals. Hitachi L-8900 amino acid analyzer was purchased from the Hitachi company (Tokyo, Japan).
2.2. Sample Collection and Preparation
A total of 81 human milk samples (50 mL) were collected in eastern China; these samples were from 15 to 210 days of lactation. All donors were healthy and gave birth to healthy infants and were aged from 18 to 36 years old. All samples were mechanically milked during the middle lactation stage into sterile polystyrene containers, frozen immediately, and stored at −80 °C until use to prevent undesired proteolysis. A 5 mL homogenized human milk sample was mixed with 5 mL formic acid solution (1% in purified water, w/v) and 5 mL hexane. The mixture was shaken gently for 1 min to homogenize. After centrifuging at 3000 rpm for 10 min, the fat (hexane layer) was removed, and the supernatant was filtered through an ultrafiltration membrane to remove bacteria and cell debris.
2.3. Solid Phase Extraction
A 10 mL sample solution was passed through the cartridges at 1 mL/min. The cartridges were cleaned with 5 mL 1% formic acid and dried under vacuum. They were eluted with 2 mL methanol containing 5% (v/v) NH3⋅H2O. The elutes were collected, evaporated to net dry, and dissolved in 1 mL mobile phase (A), and 5 μL was injected into the UPLC-QTOF system for analysis.
2.4. Chip-QTOF Analysis
UPLC was performed in a Waters Acquity Ultra-high Performance Liquid Chromatography (UPLC) system (Waters, Milford, MA, USA) equipped with an autosampler and binary solvent delivery system. The chromatography was performed on a Waters Acquity BEH C18 column (2.1 mm × 100 mm, 1.7 μm, Waters, Milford, MA, USA). The mobile phase consisted of (A) 0.1% formic acid in water and (B) ACN containing 0.1% formic acid. Reversed-phase separation parameters were initially 5% B (3 min) followed by a linear gradient from 5 to 40% B over 35 min and subsequently a ramp from 40 to 90% B over 5 min. After a hold at 90% B for 5 min and a ramping step down to 5% B over 1 min, the system was re-equilibrated at 5% B for 10 min. Leucine-enkephalin (0.1 μg/mL) was added as an internal standard. Mass spectrometry was performed using a Waters QTOF Premier (Micromass MS Technologies, Manchester, UK) equipped with an electrospray ionization (ESI) source operating in positive ion mode. MS analysis was performed using positive electrospray ionization mode. The nebulization gas was set to 600 L/h at a temperature of 350 °C, the cone was 50 L/h, and the source temperature was 100 °C. The capillary voltage and cone voltage were set to 3000 V and 30 V, respectively. The QTOF acquisition rate was set to 0.2 s, with a 0.01 s inter-scan delay. Argon was employed as the collision gas at a pressure of 7.066 × 10−3 Pa.
The MSE experiments were operated with the premier quadrupole in a wide pass mode with the collision cell operating at 6 V and a ramp high energy from 25 V to 65 V, which was set to produce multiple fragment ions for QTOF analysis. The MS/MS experiments were carried out by setting the premier quadrupole to allow ions of interest to pass, followed by ramping collision energy from 25 V to 65 V to produce abundant product ions. Before sample testing, the QTOF mass spectrometer was tuned and calibrated following the manufacturer’s instructions. Leucine-enkephalin (m/z 556.2771 in positive ion mode) was applied for real-time calibration in the LockSpray mode at a concentration of 200 ng/mL and an infusion flow rate of 10 μL/min.
2.5. Data Analysis
The UPLC-QTOF-MS data of all determined samples were analyzed by MarkerLynx software (Waters, Milford, MA, USA). For data collection, the parameters were set as follows: retention time ranging from 2 to 35 min, mass ranging from 100 to 2000 Da, and mass tolerance at 0.02 Da. Sequencing analysis of low molecular weight peptides was performed by ProteinLynx Global Server 2.5 software (PLGS, Waters, Milford, MA, USA). The low energy threshold, elevated energy threshold, and intensity thresholds were set to 250.0 counts, 100.0 counts, and 750.0 counts, respectively. The data bank was human milk protein which was downloaded from the National Center for Biotechnology Information (NCBI) database. The peptides confirmations were performed by QTOF MS/MS, combined with peptides sequencing using BioLynx software (Waters, Milford, MA, USA).
2.6. Ethical Statement
The study protocol was approved by the Ethics Committee of the College of Biosystem Engineering and Food Science, Zhejiang University (No. 2012006). Written informed consent was obtained from all study participants. The study conforms to the principles outlined in the Declaration of Helsinki.
3. Results
3.1. Extraction and Separation of LMWPs
Hexane was used to remove fats and precipitate proteins, and an ultrafiltration membrane allowed the peptides less than 5000 Da to remain. Cation-exchange solid-phase extraction was used to purify LMWPs based on their positive charged nature in acid solution. The purified samples were separated with UPLC, and the chromagram showed that the extraction contained abundant peaks (Figure 1).
Figure 1.
Chromagram of low molecular weight peptides extracted from human milk by SPE.
3.2. Sequencing Analysis and Quantification of LMWPs
Samples were analyzed by QTOF after UPLC separation. Most of the peptides had multiple charges (Figure 2A, peak of 572.3053 and 686.8523), while a few LMWPs had single charges (Figure 2A, peak of 1143.6125 and 1372.7349). Peaks data were collected by the MSE model, which enabled the simultaneous acquisition of both LC/MS and fragmentation data from a single experiment. LMWPs were sequenced by PLGS based on accurate molecular weight and human milk protein database (Figure 2B). Sequence confirmation was performed by QTOF MS/MS with peptides sequencing of BioLynx software.

Figure 2.
(A) Mass spectrum of LMWPs in human milk (RT: 23.11). Peak of 572.3053 and 686.8523 were peptides with single charges, and peak of 1143.6125 and 1372.7349 have 2 charges according to the m/z interval between isotopes. (B) Peptide (Peak 1143.6152 in Figure 2) was sequenced by PLGS based on MSE experiment. The peptide sequence was PLAPVHNPIS, which was a fragment of beta casein precursor in human milk.
A total of 56 common LMWPs were identified and quantified in 81 samples (Table 1). Most peptides were fragments of β-casein precursor, while a few were from the k-casein precursor. The protein precursor, residue position, sequence, mass (MH+), charge state, retention time (RT), and concentration are listed in Table 1.
Table 1.
The common LMWPs identified in human milk.
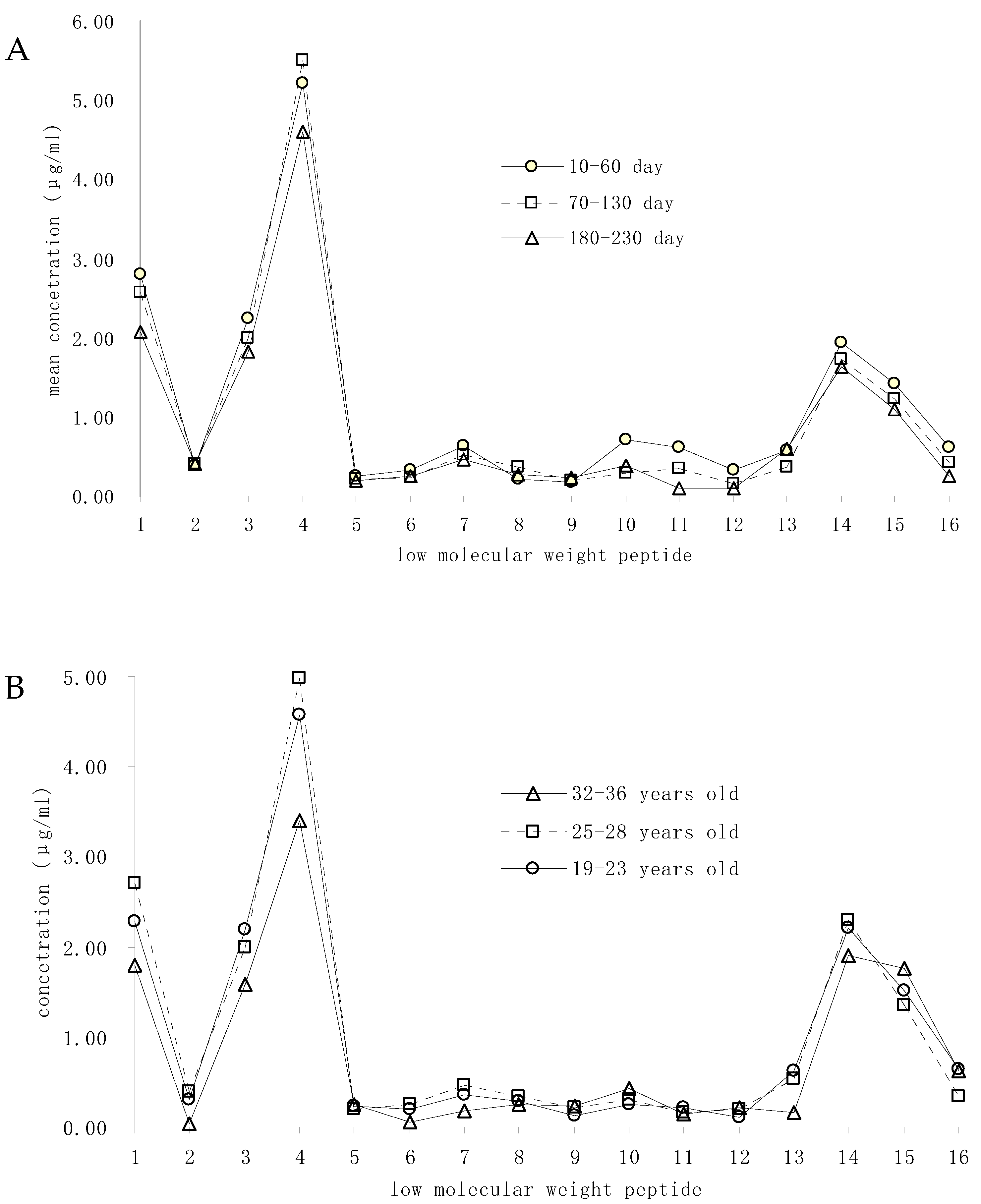
3.3. Variations of Main LMWPs
A total number of 16 LMWPs whose concentration was more than 0.1 μg/mL were picked out for the analysis of variation. Of these, 75 samples were evenly divided into 3 groups according to different lactation times (10–60, 70–130, and 180–230 d) for the analysis of the relationship between LMWPs concentration and lactation time, and 69 samples were divided into 3 groups by the mother’s age (19–22, 25–28, and 32–36 years old) for the variation of LMWPs. The mean LMWPs concentration of each group was calculated. The results showed that the variation of LMWPs concentration at different lactation times is not significant (Figure 3A). There was an obvious change in LMWPs with childbearing age, and the concentration of the younger group (19–22) was less than the other two groups (p < 0.05) (Figure 3B).
Figure 3.
(A) The variation of main LMWPs with different lactation times. (B) The variation of main LMWPs with different childbearing ages. 1: RETIESLSSSEESITEYK; 2: RETIESLSSSEESITEYKQKVEK; 3: RETIESLSSSEESITEYKQKVEKVK; 4: ETIESLSSSEESITEYK; 5: ETIESLSSSEESITEYKQKVEK; 6: SITEYK; 7: TEYK; 8: QPAVVLPVPQPEIMEVPKAKDTVYTKG; 9: VVLPVPQPEIMEVPK; 10: VVLPVPQPEIMEVPKAKDTVYT; 11: LPVPQPEIMEVPK; 12: PQTLA; 13: NPTHQIYPVTQPLAPVHNPISV; 14: TQPLAPVHNPISV; 15: QPLAPVHNPISV; 16: PLAPVHNPISV.
4. Discussion
Human milk is complex and contains fats, proteins, carbohydrates, and other essential nutrients that could interfere in the detection of LMWPs, so a proper extraction method is necessary. After removing fats and proteins, we applied a cation-exchange solid-phase cartridge to clean the extract, which could exclude most uncharged organic compounds, and the results showed that the SPE was useful and simple for extraction of LMWPs in human milk.
The accuracy of mass was the key to the successful identification of peptides. However, there would be a slight fluctuation in the signal of mass spectrometry due to the impact of the laboratory environment, which would lead to erroneous results in the following peptide sequencing. One solution was real-time calibration with a known mass standard. In this study, Leucine-enkephalin for real-time calibration was applied to ensure the mass accuracy. On the other hand, mass accuracy and resolution of the QTOF-MS analyzer were not enough to achieve an unequivocal identification since the same mass of peptide fragments would have different amino acid sequences. This could be solved by comparing with the sequence information of existing proteins. The human milk protein database downloaded into PLGS from the NCBI database was used as peptides templates to confirm the identities of some proposed peptide sequences. In general, the determination of natural LMWPs by real-time calibration of the QTOF-MS method combined with the protein database has been suggested to be an ideal method, which was especially suitable for large-scale identification of small peptides when standards were not available.
The quantitation of proteins and peptides in complex biological systems is one of the most challenging areas of proteomics. Due to the lack of standards or biomarkers for each component, accurate quantitation of LMWPs is difficult. We demonstrated a simple method by comparing the intensity of LMWPs with that of the Leucine-enkephalin standard. Despite the possible deviation, the approximate concentration and variation of LMWPs could be calculated conveniently.
Among all the detected small peptides, casein phosphopeptide (CPP) had the highest concentration, which reached about 10–15 μg/mL in breast milk, with “RETIESLSSSEESITEYK”, “ETIESLSSSEESITEYK”, “RETIESLSSSEESITEYKQKVEKVK” as the major form [26]. The main function of CPP was promoting calcium absorption, thus making it essential for the rapid growth of infants. Antibacterial peptides were another abundant peptide in breast milk, mainly in the form of “TQPLAPVHNPISV”, “QPLAPVHNPISV”, “PLAPVHNPISV”, “NPTHQIYPVTQPLAPVHNPISV”, etc. [27], the content was about 5–10μg/mL. They were important for resisting bacterial invasion due to the imperfect infant’s immune system. The abundance of CPP and antimicrobial peptides was closely related to the growth, development, and health of infants and young children. Therefore, these data could provide a certain reference for the improvement and optimization of infant formula milk powder.
In addition, we also detected angiotensin-converting enzyme inhibitory peptides (HLPLP, ENLHLPLPL, LPLPLL, etc.) [28,29], antioxidant peptides (NPYVPRT, VPYPQR, SVPQPK, etc.), proline Endopeptidase inhibitory function (PEPi), (YPFVEPIPYG, PFVEPIPY, VEPIPYG, etc.) [28,30], Opioid Agonist (YVPFP, YVPFPPF, YPFV, etc.) [31,32,33,34], Immunostimulating peptides (VEPIPY, GFL, GLF, etc.) [34,35], and other related small peptides, the effects of these peptides on the growth and health of infants and their mechanism of action remain to be further studied.
In general, the results from the present study indicated that the technique based on SPE and UPLC-QTOF-MS is a simple way to extract, isolate and identify LMWPs in human milk and may greatly facilitate ongoing efforts to understand their composition and structure.
Author Contributions
Methodology, H.X. and R.F.; formal analysis, H.J. and H.W.; investigation, H.T.; data curation, Y.J.; software, Y.J.; writing—original draft preparation, H.X.; writing—review and editing, R.F. and X.L.; funding acquisition, H.X. and G.X. All authors have read and agreed to the published version of the manuscript.
Funding
This study was funded by the Chick Eagle project of the Marketing Bureau, Zhejiang Province, China (CY2022345).
Institutional Review Board Statement
The study was conducted in accordance with the Declaration of Helsinki, and approved by the Ethics Committee of Biosystem Engineering and Food Science, Zhejiang University (No.2012006).
Informed Consent Statement
Informed consent was obtained from all subjects involved in the study.
Data Availability Statement
Data is contained within the article.
Conflicts of Interest
The authors declare no conflict of interest.
References
- Korhonen, H. Milk-derived bioactive peptides: From science to applications. J. Funct. Foods 2009, 1, 177–187. [Google Scholar] [CrossRef]
- Muro-Urista, C.; Álvarez-Fernández, R.; Riera-Rodriguez, F.; Arana-Cuenca, A.; Téllez-Jurado, A. Review: Production and functionality of active peptides from milk. Food Sci. Technol. Int. 2011, 17, 293–317. [Google Scholar] [CrossRef] [PubMed]
- Hu, L.; Li, X.; Jiang, X.; Zhou, H.; Jiang, X.; Kong, L.; Ye, M.; Zou, H. Comprehensive peptidome analysis of mouse livers by size exclusion chromatography prefractionation and nano LC-MS/MS identification. J. Proteome Res. 2007, 6, 801–808. [Google Scholar] [CrossRef] [PubMed]
- Hölttä, M.; Zetterberg, H.; Mirgorodskaya, E.; Mattsson, N.; Blennow, K.; Gobom, J. Peptidome analysis of cerebrospinal fluid by LC-MALDI MS. PLoS ONE 2012, 7, e42555. [Google Scholar] [CrossRef] [Green Version]
- Dallas, D.C.; Guerrero, A.; Khaldi, N.; Castillo, P.A.; Martin, W.F.; Smilowitz, J.T.; Bevins, C.L.; Barile, D.; German, J.B.; Lebrilla, C.B. Extensive in vivo human milk peptidomics reveals specific proteolysis yielding protective antimicrobial peptides. J. Proteome Res. 2013, 12, 2295–2304. [Google Scholar] [CrossRef] [PubMed] [Green Version]
- Nonaka, A.; Nakamura, T.; Hirota, T.; Matsushita, A.; Asakura, M.; Ohki, K.; Kitakaze, M. The milk-derived peptides Val-Pro-Pro and Ile-Pro-Pro attenuate arterial dysfunction in L-NAME-treated rats. Hypertens. Res. 2014, 37, 703–707. [Google Scholar] [CrossRef]
- Baum, F.; Fedorova, M.; Ebner, J.; Hoffmann, R.; Pischetsrieder, M. Analysis of the endogenous peptide profile of milk: Identification of 248 mainly casein-derived peptides. J. Proteome Res. 2013, 12, 5447–5462. [Google Scholar] [CrossRef]
- Dallas, D.C.; Guerrero, A.; Khaldi, N.; Borghese, R.; Bhandari, A.; Underwood, M.A.; Lebrilla, C.B.; German, J.B.; Barile, D. A peptidomic analysis of human milk digestion in the infant stomach reveals protein-specific degradation patterns. J. Nutr. 2014, 144, 815–820. [Google Scholar] [CrossRef] [Green Version]
- Boersema, P.J.; Raijmakers, R.; Lemeer, S.; Mohammed, S.; Heck, A.J. Multiplex peptide stable isotope dimethyl labeling for quantitative proteomics. Nat. Protoc. 2009, 4, 484–494. [Google Scholar] [CrossRef]
- Li, M.; Kang, S.; Zheng, Y.; Shao, J.; Zhao, H.; An, Y.; Cao, G.; Li, Q.; Yue, X.; Yang, M. Comparative metabolomics analysis of donkey colostrum and mature milk using ultra-highperformance liquid tandem chromatography quadrupole time-of-flight mass spectrometry. J. Dairy Sci. 2019, 103, 992–1001. [Google Scholar] [CrossRef] [Green Version]
- Li, M.; Liu, Y.; Li, Q.; Yang, M.; Pi, Y.; Yang, N.; Zheng, Y.; Yue, X. Comparative exploration of free fatty acids in donkey colostrum and mature milk based on a metabolomics approach. J. Dairy Sci. 2020, 103, 6022–6031. [Google Scholar] [CrossRef] [PubMed]
- Liu, Z.; Logan, A.; Cocks, B.G.; Rochfort, S. Seasonal variation of polar lipid content in bovine milk. Food Chem. 2017, 237, 865–869. [Google Scholar] [CrossRef] [PubMed]
- McDonagh, D.; FitzGerald, R.J. Production of caseinophosphopeptides (CPPs) from sodium caseinate using a range of commercial protease preparations. Int. Dairy J. 1998, 8, 39–45. [Google Scholar] [CrossRef]
- Vermeirssen, V.; Camp, J.V.; Verstraete, W. Bioavailability of angiotensin I converting enzyme inhibitory peptides. Br. J. Nutr. 2004, 92, 357–366. [Google Scholar] [CrossRef] [PubMed]
- Gauthier, S.F.; Pouliot, Y.; Saint-Sauveur, D. Immunomodulatory peptides obtained by the enzymatic hydrolysis of whey proteins. Int. Dairy J. 2006, 16, 1315–1323. [Google Scholar] [CrossRef]
- Lόpez-Expόsito, I.; Recio, I. Antibacterial activity of peptides and folding variants from milk proteins. Int. Dairy J. 2006, 16, 1294–1305. [Google Scholar] [CrossRef]
- López-Expósito, I.; Quirós, A.; Amigo, L.; Recio, I. Casein hydrolysates as a source of antimicrobial, antioxidant and antihypertensive peptides. Lait 2007, 87, 241–249. [Google Scholar] [CrossRef]
- Pihlanto, A. Antioxidative peptides derived from milk proteins. Int. Dairy J. 2006, 16, 1306–1314. [Google Scholar] [CrossRef]
- Rival, S.G.; Boeriu, C.G.; Wichers, H.J. Caseins and casein hydrolysates. 2. Antioxidative properties and relevance to lipoxygenase inhibition. J. Agric. Food Chem. 2001, 49, 295–302. [Google Scholar] [CrossRef]
- Migliore-Samour, D.; Floc’h, F.; Jollés, P. Biologically active casein peptides implicated in immunomodulation. J. Dairy Res. 1989, 56, 357–362. [Google Scholar] [CrossRef]
- Teschemacher, H. Opioid receptor ligands derived from food proteins. Curr. Pharm. Des. 2003, 9, 1331–1344. [Google Scholar] [CrossRef] [PubMed] [Green Version]
- Phelan, M.; Aherne, A.; FitzGerald, R.J.; O’Brien, N.M. Casein-derived bioactive peptides: Biological effects, industrial uses, safety aspects and regulatory status. Int. Dairy J. 2009, 19, 643–654. [Google Scholar] [CrossRef]
- Wada, Y.; Lönnerdal, B. Bioactive peptides derived from human milk proteins—Mechanisms of action. J. Nutr. Biochem. 2014, 22, 503–514. [Google Scholar] [CrossRef] [PubMed]
- Andrea, M.; Daniela, B.; Jaime, S.; Javier, M.; Alfonso, C.; Isabel, R.M.; Maria, L.S. Changes in caprine milk oligosaccharides at different lactation stages analyzed by high performance liquid chromatography coupled to mass spectrometry. J. Agric. Food Chem. 2017, 65, 3523–3531. [Google Scholar]
- Wu, S.; Grimm, R.; German, J.B.; Lebrilla, C.B. Annotation and Structural Analysis of Sialylated Human Milk Oligosaccharides. J. Proteome Res. 2011, 10, 856–868. [Google Scholar] [CrossRef] [Green Version]
- Ferranti, P.; Traisci, M.V.; Picariello, G.; Nasi, A.; Boschi, V.; Sievo, M.; Falconi, C.; Chianese, L.; Addeo, F. Casein proteolysis in human milk: Tracing the pattern of casein breakdown and the formation of potential bioactive peptides. J. Dairy Res. 2004, 71, 74–87. [Google Scholar] [CrossRef]
- Minervini, F.; Algaron, F.; Rizzello, C.G.; Fox, P.F.; Monnet, V.; Gobbetti, M. Angiotensin I-converting-enzyme-inhibitory and antibacterial peptides from Lactobacillus helveticus PR4 proteinase-hydrolyzed caseins of milk from six species. Appl. Environ. Microbiol. 2003, 69, 5297–5305. [Google Scholar] [CrossRef] [Green Version]
- Asano, M.; Nio, N.; Ariyoshi, Y. Inhibition of prolyl endopeptidase by synthetic peptide fragments of human beta-casein. Agric. Biol. Chem. 1991, 55, 825–828. [Google Scholar] [CrossRef] [Green Version]
- Miguel, M.; Recio, I.; Ramos, M.; Delgado, M.A.; Aleixandre, M.A. Antihypertensive effect of peptides obtained from Enterococcus faecalis-fermented milk in rats. J. Dairy Sci. 2006, 89, 3352–3359. [Google Scholar] [CrossRef] [Green Version]
- Koch, G.; Wiedemann, K.; Teschemacher, H. Opioid activities of human betacasomorphins. Naunyn-Schmiedebergs Arch. Pharmacol. 1985, 331, 351–354. [Google Scholar] [CrossRef]
- Brantl, V. Novel opioid peptides derived from human β-casein: Human β-casomorphins. Eur. J. Pharmacol. 1984, 106, 213–214. [Google Scholar] [CrossRef]
- Kampa, M.; Loukas, S.; Hatzoglou, A.; Martin, P.; Martin, P.M.; Castanas, E. Identification of a novel opioid peptide (Tyr-Val-Pro-Phe-Pro) derived from human αS1 casein (αS1-casomorphin, and αS1-casomorphin amide). Biochem. J. 1996, 319, 903–908. [Google Scholar] [CrossRef] [PubMed] [Green Version]
- Teschemacher, H.; Koch, G.; Brantl, V. Milk protein-derived opioid receptor ligands. Biopolymers 1997, 43, 99–117. [Google Scholar] [CrossRef]
- Parker, F.; Migliore-Samour, D.; Floc’h, F.; Zerial, A.; Werner, G.H.; Jollès, J.; Casaretto, M.; Zahn, H.; Jollès, P. Immunostimulating hexapeptide from human casein: Amino acid sequence, synthesis and biological properties. Eur. J. Biochem. 1984, 145, 677–682. [Google Scholar] [CrossRef] [PubMed]
- Berthou, J.; Migliore-Samour, D.; Lifchitz, A.; Delettré, J.; Floc’h, F.; Jollès, P. Immunostimulating properties and three-dimensional structure of two tripeptides from human and cow caseins. FEBS Lett. 1987, 218, 55–58. [Google Scholar] [CrossRef]
Publisher’s Note: MDPI stays neutral with regard to jurisdictional claims in published maps and institutional affiliations. |
© 2022 by the authors. Licensee MDPI, Basel, Switzerland. This article is an open access article distributed under the terms and conditions of the Creative Commons Attribution (CC BY) license (https://creativecommons.org/licenses/by/4.0/).