Sustainable Strategies for the Agricultural Development of Shaanxi Province Based on the Risk Assessment of Heavy Metal Pollution
Abstract
:1. Introduction
2. Materials and Methods
2.1. Study Area and Sampling Site
2.2. Sample Analysis
2.3. Risk Exposure Assessment of Heavy Metals
2.4. Statistical Analysis
3. Results and Discussion
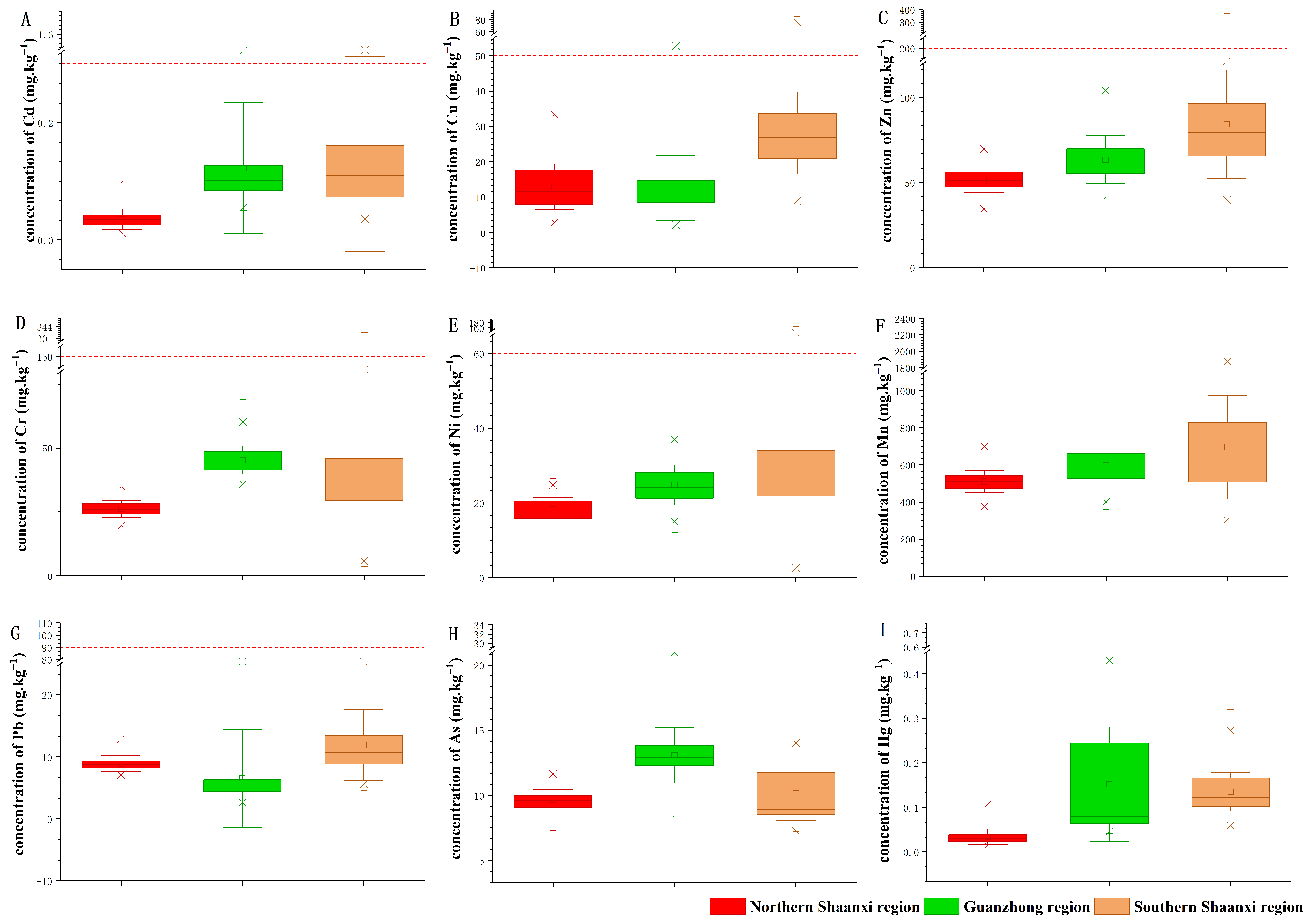
3.1. Spatial Distribution of Heavy Metals in Farmland Soil of Shaanxi Province
3.2. Risk Exposure Index of Heavy Metals in Farmland Soil of Shaanxi Province
3.3. Source Allocation of Heavy Metals in Farmland Soils of Shaanxi Province
3.4. Sustainable Agricultural Development Pattern for Different Regions in Shaanxi Province
4. Conclusions
Author Contributions
Funding
Institutional Review Board Statement
Informed Consent Statement
Data Availability Statement
Conflicts of Interest
References
- Li, Z.; Ma, Z.; van der Kuijp, T.J.; Yuan, Z.; Huang, L. A review of soil heavy metal pollution from mines in China: Pollution and health risk assessment. Sci. Total Environ. 2014, 468–469, 843–853. [Google Scholar] [CrossRef] [PubMed]
- Wu, S.; Shi, Y.; Zhou, S.; Wang, C.; Hao, C. Modeling and mapping of critical loads for heavy metals in Kunshan soil. Sci. Total Environ. 2016, 569–570, 191–200. [Google Scholar] [CrossRef] [PubMed]
- Zhou, J.; Dang, Z.; Cai, M.; Liu, C. Soil Heavy Metal Pollution Around the Dabaoshan Mine, Guangdong Province, China. Pedosphere 2007, 17, 588–594. [Google Scholar] [CrossRef]
- Tian, H.; Wang, Y.; Xue, Z.; Qu, Y.; Chai, F.; Hao, J. Atmospheric emissions estimation of Hg, As, and Se from coal-fired power plants in China, 2007. Sci. Total Environ. 2011, 409, 3078–3081. [Google Scholar] [CrossRef] [PubMed]
- Vleeschouwer, F.D.; Gerard, L.; Goormaghtigh, C.; Mattielli, N.; Roux, G.L.; Fagel, N. Atmospheric lead and heavy metal pollution records from a Belgian peat bog spanning the last two millenia: Human impact on a regional to global scale. Sci. Total Environ. 2007, 377, 282–295. [Google Scholar] [CrossRef] [Green Version]
- Huang, X.; Hu, J.; Li, C.; Deng, J. Heavy-metal pollution and potential ecological risk assessment of sediments from Baihua Lake, Guizhou, P.R. China. Int. J. Environ. Health Res. 2009, 19, 405–419. [Google Scholar] [CrossRef]
- Wang, C.; Yang, Z.; Zhong, C.; Ji, J. Temporal–spatial variation and source apportionment of soil heavy metals in the representative river–alluviation depositional system. Environ. Pollut. 2016, 216, 18–26. [Google Scholar] [CrossRef]
- Facchinelli, A.; Sacchi, E.; Mallen, L. Multivariate statistical and GIS-based approach to identify heavy metal sources in soils. Environ. Pollut. 2001, 114, 313–324. [Google Scholar] [CrossRef]
- Zhang, J.; Wang, Y.; Liu, J.; Liu, Q.; Zhou, Q. Multivariate and geostatistical analyses of the sources and spatial distribution of heavy metals in agricultural soil in Gongzhuling, Northeast China. J. Soils Sediments 2016, 16, 634–644. [Google Scholar] [CrossRef]
- Gulan, L.; Milenkovic, B.; Zeremski, T.; Milic, G.; Vuckovic, B. Persistent organic pollutants, heavy metals and radioactivity in the urban soil of Pristina City, Kosovo and Metohija. Chemosphere 2017, 171, 415–426. [Google Scholar] [CrossRef]
- Li, X.; Poon, C.; Liu, P.S. Heavy metal contamination of urban soils and street dusts in Hong Kong. Appl. Geochem. 2001, 16, 1361–1368. [Google Scholar] [CrossRef]
- Burger, J. Assessment and management of risk to wildlife from cadmium. Sci. Total Environ. 2008, 389, 37–45. [Google Scholar] [CrossRef] [PubMed]
- Sadeghzadeh, B. A review of zinc nutrition and plant breeding. J. Soil Sci. Plant Nutr. 2013, 13, 905–927. [Google Scholar] [CrossRef] [Green Version]
- Ran, J.; Wang, D.; Wang, C.; Zhang, G.; Zhang, H. Heavy metal contents, distribution, and prediction in a regional soil–wheat system. Sci. Total Environ. 2016, 544, 422–431. [Google Scholar] [CrossRef] [PubMed]
- Bhuiyan, M.; Parvez, L.; Islam, M.A.; Dampare, S.B.; Suzuki, S. Heavy metal pollution of coal mine-affected agricultural soils in the northern part of Bangladesh. J. Hazard. Mater. 2010, 173, 384–392. [Google Scholar] [CrossRef] [PubMed]
- Rudenko, S.S.; Bodnar, B.M.; Kukharchuk, O.L.; Mahalias, V.M.; Khalaturnik, M.V. Effect of selenium on the functional state of white rat kidney in aluminum-cadmium poisoning. Ukr. Biokhimicheski Zhurnal 1998, 70, 98–105. [Google Scholar]
- Bian, J.; Wang, L.; Chen, D.; Liu, X.; Gu, J.; Zhuo, L.; Liu, Z. Effects of exposure to lead and cadmium on the oxidative damage of kidney in rats. Chin. J. Vet. Sci. 2009, 12, 1617–1619, 1628. [Google Scholar]
- Johri, N.; Jacquillet, G.; Unwin, R. Heavy metal poisoning: The effects of cadmium on the kidney. Biometals 2010, 23, 783–792. [Google Scholar] [CrossRef]
- Gibb, H.J.; Lees, P.S.; Pinsky, P.F.; Rooney, B.C. Erratum: Lung cancer among workers in chromium chemical production. Am. J. Ind. Med. 2000, 38, 115–126. [Google Scholar] [CrossRef]
- Costa, M. Potential hazards of hexavalent chromate in our drinking water. Toxicol. Appl. Pharmacol. 2003, 188, 1–5. [Google Scholar] [CrossRef]
- Ohgami, N.; Yamanoshita, O.; Thang, N.D. Carcinogenic risk of chromium, copper and arsenic in CCA-treated wood. Environ. Pollut. 2015, 206, 456–460. [Google Scholar] [CrossRef]
- Lucchini, R.G.; Martin, C.J.; Doney, B.C. From Manganism to Manganese-Induced Parkinsonism: A Conceptual Model Based on the Evolution of Exposure. NeuroMolecular Med. 2009, 11, 311–321. [Google Scholar] [CrossRef] [PubMed]
- Cowan, D.; Zheng, W.; Zou, Y.; Shi, X. Manganese exposure among smelting workers: Relationship between blood manganese-iron ratio and early onset neurobehavioral alterations. Neurotoxicology 2009, 30, 1214–1222. [Google Scholar] [CrossRef] [PubMed] [Green Version]
- Bouabid, S.; Tinakoua, A.; Lakhdar-Ghazal, N.; Benazzouz, A. Manganese neurotoxicity: Behavioral disorders associated with dysfunctions in the basal ganglia and neurochemical transmission. J. Neurochem. 2016, 136, 677–691. [Google Scholar] [CrossRef] [PubMed]
- Todd, A.C.; Wetmur, J.G.; Moline, J.M.; Godbold, J.H.; Levin, S.M.; Landrigan, P.J. Unraveling the chronic toxicity of lead: An essential priority for environmental health. Environ. Health Perspect. 1996, 104, 141–146. [Google Scholar] [CrossRef] [Green Version]
- Silbergeld, E.K.; Waalkes, M.; Rice, J.M. Lead as a carcinogen: Experimental evidence and mechanisms of action. Am. J. Ind. Med. 2000, 38, 316–323. [Google Scholar] [CrossRef]
- Ooi, M.S.M.; Townsend, K.A.; Bennett, M.B.; Richardson, A.J.; Fernando, D.; Villa, C.A.; Gaus, C. Levels of arsenic, cadmium, lead and mercury in the branchial plate and muscle tissue of mobulid rays. Mar. Pollut. Bull. 2015, 94, 251–259. [Google Scholar] [CrossRef] [PubMed]
- Beyers, D.W.; Farmer, M.S. Effects of copper on olfaction of colorado pikeminnow. Environ. Toxicol. Chem. 2009, 20, 907–912. [Google Scholar] [CrossRef]
- Straffelini, G.; Ciudin, R.; Ciotti, A.; Gialanella, S. Present knowledge and perspectives on the role of copper in brake materials and related environmental issues: A critical assessment. Environ. Pollut. 2015, 207, 211–219. [Google Scholar] [CrossRef] [PubMed]
- Andres, S.; Ribeyre, F.; Tourencq, J.N.; Boudou, A. Interspecific comparison of cadmium and zinc contamination in the organs of four fish species along a polymetallic pollution gradient (Lot River, France). Sci. Total Environ. 2000, 248, 11–25. [Google Scholar] [CrossRef]
- Liu, J.; Cao, L.; Huang, W.; Zhang, C.; Dou, S. Zinc and copper bioaccumulation in fish from Laizhou Bay, the Bohai Sea. Chin. J. Oceanol. Limnol. 2014, 32, 491–502. [Google Scholar] [CrossRef]
- Denkhaus, E.; Salnikow, K. Nickel essentiality, toxicity, and carcinogenicity. Crit. Rev. Oncol. Hematol. 2002, 42, 35–56. [Google Scholar] [CrossRef]
- Das, K.K.; Das, S.N.; Dhundasi, S.A. Nickel, its adverse health effects & oxidative stress. Indian J. Med. Res. 2008, 128, 412–425. [Google Scholar]
- Das, K.K.; Das, S.N.; Dhundasi, S.A. Nickel: Molecular Diversity, Application, Essentiality and Toxicity in Human Health; Nova Science Publishers, Inc.: Hauppauge, NY, USA, 2011; pp. 33–58. [Google Scholar]
- Liu, C.; Ma, J.; Xie, W.; Liu, S. Quercetin protects mouse liver against nickel-induced DNA methylation and inflammation associated with the Nrf2/HO-1 and p38/STAT1/NF-κB pathway. Food Chem. Toxicol. 2015, 82, 19–26. [Google Scholar] [CrossRef] [PubMed]
- Vahter, M. Interactions between arsenic-induced toxicity and nutrition in early life. J. Nutr. 2008, 137, 2798–2804. [Google Scholar] [CrossRef] [PubMed] [Green Version]
- Wang, M. Effect and countermeasure of heavy metal pollution on food safety. China Condiment 2009, 34, 32–37. [Google Scholar]
- Jing, L.; Li, S.; Zhu, J.; Li, Z.; Wang, P.; Wu, N. Discussion on the Harm to Human Body by Several Kinds of Heavy Metal Elements and Preventive Measures. China Resour. Compr. Util. 2018, 36, 182–184. [Google Scholar]
- Suzuki, T.; Shishido, S.; Ishihara, N. Interaction of inorganic to organic mercury in their metabolism in human body. Int. Arch. Occup. Environ. Health 1976, 38, 103–113. [Google Scholar] [CrossRef]
- Wang, P. Study of the mercury interference to the necessary metal elements in human body. J. Occup. Med. 1990, 17, 201–202. [Google Scholar]
- Li, D.; Zhang, S. Characteristics of Heavy Metal Pollution on the Farmland Soil of A Smelting Area in Shaanxi. Henan Sci. 2017, 35, 460–465. [Google Scholar]
- Zhu, D.; Wei, Y.; Zhao, Y.; Wang, Q.; Han, J. Heavy Metal Pollution and Ecological Risk Assessment of the Agriculture Soil in Xunyang Mining Area, Shaanxi Province, Northwestern China. Bull. Environ. Contam. Toxicol. 2018, 101, 178–184. [Google Scholar] [CrossRef] [PubMed]
- Yang, W.; Wang, D.; Wang, M.; Zhou, F.; Huang, J.; Xue, M.; Dinh, Q.T.; Liang, D. Heavy metals and associated health risk of wheat grain in a traditional cultivation area of Baoji, Shaanxi, China. Environ. Monit. Assess. 2019, 191, 421–428. [Google Scholar] [CrossRef] [PubMed]
- Zhang, J.; Dong, J.; Liang, Q.; Yang, N.; Geng, Y. Heavy Metal Pollution Characteristics and Influencing Factors in Baoji Arban Soils. Environ. Sci. 2019, 40, 3774–3784. [Google Scholar] [CrossRef]
- Zheng, F. Effect of Vegetation Changes on Soil Erosion on the Loess Plateau. Pedosphere 2006, 16, 420–427. [Google Scholar] [CrossRef]
- Zheng, Y. Exposure Risk Assessment of Qinling Giant Panda Habitat to Heavy Metal and Pollution Source Apportionment; University of Chinese Academy of Sciences (Institute of Earth Environment, Cas): Beijing, China, 2016. [Google Scholar]
- Xue, C.Z.; Xiao, L.; Wu, Q.F. Background values of ten elements in main agricultural soils in Shaanxi Province. J. Northwest AF Univ. (Nat. Sci. Ed.) 1986, 14, 30–53. [Google Scholar]
- China National Environment Monitoring Centre. Background Values of Soil Elements in China; China Environmental Science Press: Beijing, China, 1990. [Google Scholar]
- Muller, G. Index of Geoaccumulation in Sediments of the Rhine River. GeoJournal 1969, 2, 109–118. [Google Scholar]
- Hakanson, L. An ecological risk index for aquatic pollution control.a sedimentological approach. Water Res. 1980, 14, 975–1001. [Google Scholar] [CrossRef]
- Kalman, J.; Bonnail-Miguel, E.; Smith, B.D.; Bury, N.R.; Rainbow, P.S. Toxicity and the fractional distribution of trace metals accumulated from contaminated sediments by the clam Scrobicularia plana exposed in the laboratory and the field. Sci. Total Environ. 2015, 506–507, 109–117. [Google Scholar] [CrossRef]
- Lin, H.; Sun, T.; Xue, S.; Jiang, X. Heavy metal spatial variation, bioaccumulation, and risk assessment of Zostera japonica habitat in the Yellow River Estuary, China. Sci. Total Environ. 2016, 541, 435–443. [Google Scholar] [CrossRef]
- Bonnail, E.; Sarmiento, A.M.; Delvalls, T.A.; Nieto, J.M.; Riba, I. Assessment of metal contamination, bioavailability, toxicity and bioaccumulation in extreme metallic environments (Iberian Pyrite Belt) using Corbicula fluminea. Sci. Total Environ. 2016, 544, 1031–1044. [Google Scholar] [CrossRef]
- Einax, J.W.; Soldt, U. Geostatistical and multivariate statistical methods for the assessment of polluted soils—Merits and limitations. Chemom. Intell. Lab. Syst. 1999, 46, 79–91. [Google Scholar] [CrossRef]
- Han, Y.; Du, P.; Cao, J.; Posmentier, E.S. Multivariate analysis of heavy metal contamination in urban dusts of Xi’an, Central China. Sci. Total Environ. 2006, 355, 176–186. [Google Scholar] [CrossRef]
- Martín, J.; Arias, M.L.; Corbí, J. Heavy metals contents in agricultural topsoils in the Ebro basin (Spain). Application of the multivariate geoestatistical methods to study spatial variations. Environ. Pollut. 2006, 144, 1001–1012. [Google Scholar] [CrossRef] [PubMed]
- Gou, X.; Li, Y.; Wang, G. Heavy metal concentrations and correlations in rain-fed farm soils of Sifangwu village, central Gansu Province, China. Land Degrad. Dev. 2007, 18, 77–88. [Google Scholar] [CrossRef]
- Li, X.; Feng, L. Multivariate and geostatistical analyzes of metals in urban soil of Weinan industrial areas, Northwest of China. Atmos. Environ. 2012, 47, 58–65. [Google Scholar] [CrossRef]
- Zhao, M.; Ta, L.; Li, P. Research on Heavy Metal Pollution to Soil and Countermeasures on Prevention and Restoration. Environ. Sci. Manag. 2007, 32, 70–72. [Google Scholar]
- Hou, W.; Chen, X.; Song, G.; Wang, Q.; Chang, C.C. Effects of copper and cadmium on heavy metal polluted waterbody restoration by duckweed (Lemna minor). Plant Physiol. Biochem. 2007, 45, 62–69. [Google Scholar] [CrossRef] [PubMed]
- Huang, Z.; Jiao, H. Heavy metal pollution in soil and restoration technology. Chin. J. Nat. 2012, 34, 350–354. [Google Scholar]
- Wang, L.; Lu, X.; Dai, L.; Jia, X.; Wang, F. Spatial Analysis and Risk Assessment of Hg in Soils Around A Coal-fired Power Plant. J. Agro-Environ. Sci. 2007, 26, 629–633. [Google Scholar]
- Zhang, J. Study on Soil Heavy Metal Accumulation and Quality Evaluation in Chang’an District, Xi’an City; Shaanxi Normal University: Xi’an, China, 2010. [Google Scholar]
- Gu, J. Research on Characteristics of Heavy Metal Spatial and Temporal Distribute on and Factors in Soil Irrigated by Polluted Water in North Suburb of Xi’an; Shaanxi Normal University: Xi’an, China, 2007. [Google Scholar]
- Wang, L. Analysis of Heavy Metal Contamination and Chemical Speciation in Framland Soil in the Suburb of Xi’an; Shaanxi Normal University: Xi’an, China, 2007. [Google Scholar]
- Deng, W.; Li, X. Spatial distribution characteristics and pollution assessment of soil heavy metals in Guanzhong area. J. Earth Environ. 2015, 6, 219–223. [Google Scholar] [CrossRef]
- Atafar, Z.; Mesdaghinia, A.; Nouri, J.; Homaee, M.; Yunesian, M.; Ahmadimoghaddam, M.; Mahvi, A.H. Effect of fertilizer application on soil heavy metal concentration. Environ. Monit. Assess. 2010, 160, 83. [Google Scholar] [CrossRef] [PubMed]
- Belon, E.; Boisson, M.; Deportes, I.Z.; Eglin, T.K.; Feix, I.; Bispo, A.O.; Galsomies, L.; Leblond, S.; Guellier, C.R. An inventory of trace elements inputs to French agricultural soils. Sci. Total Environ. 2012, 439, 87–95. [Google Scholar] [CrossRef] [PubMed]
- Cloquet, C.; Carignan, J.; Libourel, G.; Sterckeman, T.; Perdrix, E. Tracing source pollution in soils using cadmium and lead isotopes. Environ. Sci. Technol. 2006, 40, 2525–2530. [Google Scholar] [CrossRef] [PubMed]
- Liang, J.; Feng, C.; Zeng, G.; Gao, X.; Zhong, M.; Li, X.; Li, X.; He, X.; Fang, Y. Spatial distribution and source identification of heavy metals in surface soils in a typical coal mine city, Lianyuan, China. Environ. Pollut. 2017, 225, 681–690. [Google Scholar] [CrossRef] [PubMed]
- Hu, W.; Wang, H.; Dong, L.; Huang, B. Source identification of heavy metals in peri-urban agricultural soils of southeast China: An integrated approach. Environ. Pollut. 2018, 237, 650–661. [Google Scholar] [CrossRef] [PubMed]
- Yang, Z.; Lu, W.; Long, Y.; Bao, X.; Yang, Q. Assessment of heavy metals contamination in urban topsoil from Changchun City, China. J. Geochem. Explor. 2011, 108, 27–28. [Google Scholar] [CrossRef]
- Zhuang, G. Current Situation of National Soil Pollution and Strategies on Prevention and Control. Bull. Chin. Acad. Sci. 2015, 30, 477–483. [Google Scholar]
- Duan, J.; Tan, J. Atmospheric heavy metals and Arsenic in China: Situation, sources and control policies. Atmos. Environ. 2013, 74, 93–101. [Google Scholar] [CrossRef]
- Huang, Y.; Li, T.; Wu, C.; He, Z.; Japenga, J.; Deng, M.; Yang, X. An integrated approach to assess heavy metal source apportionment in pen-urban agricultural soils. J. Hazard. Mater. 2015, 299, 540–549. [Google Scholar] [CrossRef]
- Men, C.; Liu, R.; Xu, F.; Wang, Q.; Guo, L.; Shen, Z. Pollution characteristics, risk assessment, and source apportionment of heavy metals in road dust in Beijing, China. Sci. Total Environ. 2018, 612, 138–147. [Google Scholar] [CrossRef]
- Wannaz, E.D.; Carreras, H.A.; Rodriguez, J.H.; Pignata, M.L. Use of biomonitors for the identification of heavy metals emission sources. Ecol. Indic. 2012, 20, 163–169. [Google Scholar] [CrossRef]
- Calvo, A.I.; Alves, C.; Castro, A.; Pont, V.; Vicente, A.M.; Fraile, R. Research on aerosol sources and chemical composition: Past, current and emerging issues. Atmos. Res. 2013, 120–121, 1–28. [Google Scholar] [CrossRef]
- Streets, D.G.; Hao, J.; Wu, Y.; Jiang, J.; Chan, M.; Tian, H.; Feng, X. Anthropogenic mercury emissions in China. Atmos. Environ. 2005, 39, 7789–7806. [Google Scholar] [CrossRef] [Green Version]
- Zhang, Z.W.; Hu, G.R.; Yu, R.L.; Liu, X.R.; Hu, Q.C.; Wang, X.M. Characteristics and Source Apportionment of Metals in the Dustfall of Quanzhou City. Environ. Sci. 2016, 37, 2881–2888. [Google Scholar] [CrossRef]
- Chen, Y.; Zhang, Y. Sustainable Model of Rural Vitalization in Hilly and Gully Region on Loess Plateau. Bull. Chin. Acad. Sci. 2019, 34, 112–120. [Google Scholar]









| p < 0.01 | |||||||||
|---|---|---|---|---|---|---|---|---|---|
| Cd | Cr | Zn | Cu | Mn | Ni | Pb | As | Hg | |
| Cd | 1.000 | ||||||||
| Cr | 0.622 | 1.000 | |||||||
| Zn | 0.678 | 0.454 | 1.000 | ||||||
| Cu | 0.386 | 0.213 | 0.732 | 1.000 | |||||
| Mn | 0.415 | 0.414 | 0.536 | 0.350 | 1.000 | ||||
| Ni | 0.594 | 0.663 | 0.699 | 0.557 | 0.487 | 1.000 | |||
| Pb | −0.035 | −0.217 | 0.258 | 0.519 | 0.001 | 0.069 | 1.000 | ||
| As | 0.205 | 0.385 | 0.116 | −0.201 | 0.035 | 0.256 | −0.426 | 1.000 | |
| Hg | 0.724 | 0.546 | 0.574 | 0.370 | 0.435 | 0.555 | 0.009 | 0.078 | 1.000 |
| PCA1 (37.6%) | PCA2 (15.72%) | PCA3 (11.53%) | |
|---|---|---|---|
| Cd | 0.35901 | −0.10052 | 0.35504 |
| Cr | 0.33914 | 0.4262 | −0.1389 |
| Zn | 0.46636 | −0.19254 | 0.13494 |
| Cu | 0.39838 | −0.39258 | −0.00376 |
| Mn | 0.2969 | −0.04268 | −0.55624 |
| Ni | 0.42939 | 0.18425 | −0.12291 |
| Pb | 0.11411 | −0.51865 | 0.31775 |
| As | 0.09501 | 0.47669 | 0.63714 |
| Hg | 0.29209 | 0.29164 | 0.0707 |
Publisher’s Note: MDPI stays neutral with regard to jurisdictional claims in published maps and institutional affiliations. |
© 2022 by the authors. Licensee MDPI, Basel, Switzerland. This article is an open access article distributed under the terms and conditions of the Creative Commons Attribution (CC BY) license (https://creativecommons.org/licenses/by/4.0/).
Share and Cite
Wu, J.; Chen, Y.; Ma, J.; Cao, J.; Jiang, Y. Sustainable Strategies for the Agricultural Development of Shaanxi Province Based on the Risk Assessment of Heavy Metal Pollution. Foods 2022, 11, 1409. https://doi.org/10.3390/foods11101409
Wu J, Chen Y, Ma J, Cao J, Jiang Y. Sustainable Strategies for the Agricultural Development of Shaanxi Province Based on the Risk Assessment of Heavy Metal Pollution. Foods. 2022; 11(10):1409. https://doi.org/10.3390/foods11101409
Chicago/Turabian StyleWu, Junhua, Yiping Chen, Jifu Ma, Jing Cao, and Yao Jiang. 2022. "Sustainable Strategies for the Agricultural Development of Shaanxi Province Based on the Risk Assessment of Heavy Metal Pollution" Foods 11, no. 10: 1409. https://doi.org/10.3390/foods11101409
APA StyleWu, J., Chen, Y., Ma, J., Cao, J., & Jiang, Y. (2022). Sustainable Strategies for the Agricultural Development of Shaanxi Province Based on the Risk Assessment of Heavy Metal Pollution. Foods, 11(10), 1409. https://doi.org/10.3390/foods11101409

