Bioactive Phenolic Metabolites from Adriatic Brown Algae Dictyota dichotoma and Padina pavonica (Dictyotaceae)
Abstract
1. Introduction
2. Materials and Methods
2.1. General
2.2. Seaweed Material and Preparation of Extracts
2.3. Phenolic Composition
2.3.1. Spectrophotometric Analysis of Phenolic Subgroups
2.3.2. HPLC Analysis of Individual Phenolics
2.4. Antioxidant Activity
2.4.1. Ferric Reducing/Antioxidant Power (FRAP)
2.4.2. Radical 2,2-Diphenyl-1-picrylhydrazyl (DPPH)
2.4.3. Oxygen Radical Antioxidant Capacity (ORAC)
2.5. Statistical Analysis
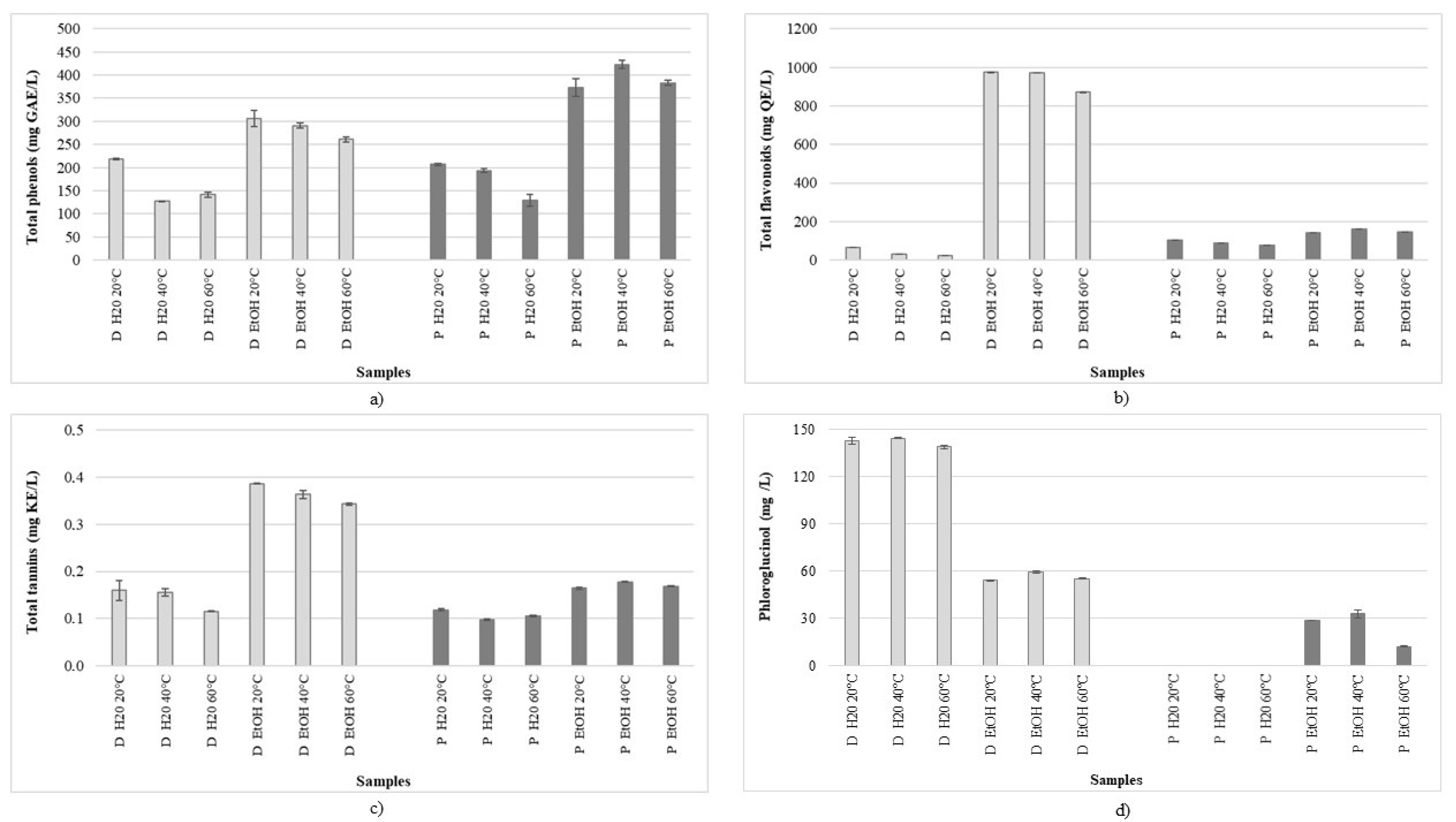
3. Results and Discussion
4. Conclusions
Author Contributions
Funding
Data Availability Statement
Acknowledgments
Conflicts of Interest
References
- Cox, S.; Gupta, S.; Abu-Ghannam, N. Effect of different rehydration temperatures on the moisture, content of phenolic compounds, antioxidant capacity and textural properties of edible Irish brown seaweed. LWT Food Sci. Tech. 2012, 47, 300–307. [Google Scholar] [CrossRef]
- Abdelhamid, A.; Jouini, M.; Amor, H.B.H.; Mzoughi, Z.; Dridi, M.; Said, R.B.; Bouraoui, A. Phytochemical analysis and evaluation of the antioxidant, anti-inflammatory, and antinociceptive potential of phlorotannin-rich fractions from three Mediterranean brown seaweeds. Marine. Biotechnol. 2018, 20, 60–74. [Google Scholar] [CrossRef] [PubMed]
- Dixit, D.C.; Reddy, C.R.K.; Balar, N.; Suthar, P.; Gajaria, T.; Gadhavi, D.K. Assessment of the nutritive, biochemical, antioxidant and antibacterial potential of eight tropical macro algae along Kachchh Coast, India as human food supplements. J. Aquat. Food Prod. Technol. 2018, 27, 61–79. [Google Scholar] [CrossRef]
- Lezcano, V.; Fernández, C.; Parodi, E.R.; Morelli, S. Antitumor and antioxidant activity of the freshwater macroalga Cladophora surera. J. Appl. Phycol. 2018, 30, 2913–2921. [Google Scholar] [CrossRef]
- Generalić Mekinić, I.; Skroza, D.; Šimat, V.; Hamed, I.; Čagalj, M.; Popović Perković, Z. Phenolic content of brown algae (Pheophyceae) species: Extraction, Identification and Quantification. Biomolecules 2019, 9, 244. [Google Scholar] [CrossRef] [PubMed]
- Alves, A.; Sousa, R.A.; Reis, R.L. A practical perspective on ulvan extracted from green algae. J. Appl. Phycol. 2013, 25, 407–424. [Google Scholar] [CrossRef]
- Balboa, E.M.; Conde, E.; Moure, A.; Falqué, E.; Domínguez, H. In vitro antioxidant properties of crude extracts and compounds from brown algae. Food Chem. 2013, 138, 1764–1785. [Google Scholar] [CrossRef]
- Van den Hoek, C.; Mann, D.G.; Jahns, H.M. Algae: An Introduction to Phycology; Cambridge University Press: Cambridge, UK, 1995. [Google Scholar]
- Montero, L.; Herrero, M.; Ibanez, E.; Cifuentes, A. Separation and characterization of phlorotannins from brown algae Cystoseira abies-marina by comprehensive two-dimensional liquid chromatography. Electrophoresis 2014, 35, 1644–1651. [Google Scholar] [CrossRef]
- Catarino, M.D.; Silva, A.; Cardoso, S.M. Fucaceae: A source of bioactive phlorotannins. Int. J. Mol. Sci. 2017, 18, 1327. [Google Scholar] [CrossRef]
- Namvar, F.; Mohamad, R.; Baharara, J.; Zafar-Balanejad, S.; Fargahi, F.; Rahman, H.S. Antioxidant, antiproliferative, and antiangiogenesis effects of polyphenol-rich seaweed (Sargassum muticum). BioMed Res. Int. 2013, 604787. [Google Scholar] [CrossRef]
- Li, Y.; Fu, X.; Duan, D.; Liu, X.; Xu, J.; Gao, X. Extraction and identification of phlorotannins from the brown alga, Sargassum fusiforme (Harvey) Setchell. Mar. Drugs 2017, 15, 49. [Google Scholar] [CrossRef]
- Leyton, A.; Pezoa-Conte, R.; Barriga, A.; Buschmann, A.H.; Mäki-Arvela, P.; Mikkola, J.P.; Lienqueo, M.E. Identification and efficient extraction method of phlorotannins from the brown seaweed Macrocystis pyrifera using an orthogonal experimental design. Algal. Res. 2016, 16, 201–208. [Google Scholar] [CrossRef]
- Le Lann, K.; Surget, G.; Couteau, C.; Coiffard, L.; Cerantola, S.; Gaillard, F.; Larnicol, M.; Zubia, M.; Guerard, F.; Poupart, N.; et al. Sunscreen, antioxidant, and bactericide capacities of phlorotannins from the brown macroalga Halidrys siliquosa. J. Appl. Phycol. 2016, 28, 3547–3559. [Google Scholar] [CrossRef]
- Koivikko, R. Brown algal Phlorotannins: Improving and Applying Chemical Methods. Ph.D. Thesis, University of Turku, Turku, Finland, 22 February 2008. [Google Scholar]
- Dominguez, H. Algae as a source of biologically active ingredients for the formulation of functional foods and nutraceuticals. In Functional Ingredients from Algae for Foods and Nutraceuticals; Dominguez, H., Ed.; Woodhead Publishing Series in Food Science, Technology and Nutrition; Woodhead Publishing: Cambridge, MA, USA, 2013. [Google Scholar]
- Chojnacka, K.; Saeid, S.; Witkowska, Z.; Tuhy, Ł. Biologically active compounds in seaweed extracts—The prospects for the application. Open Conf. Proc. J. 2012, 3, 20–28. [Google Scholar] [CrossRef]
- Ibañez, E.; Herrero, M.; Mendiola, J.A.; Castro-Puyana, M. Extraction and characterization of bioactive compounds with health benefits from marine resources: Macro and micro algae, cyanobacteria, and invertebrates. In Marine Bioactive Compounds; Hayes, M., Ed.; Springer: Boston, MA, USA, 2012; pp. 55–98. [Google Scholar]
- Afonso, N.C.; Catarino, M.D.; Silva, A.M.S.; Cardoso, S.M. Brown macroalgae as valuable food ingredients. Antioxidants 2019, 8, 365. [Google Scholar] [CrossRef] [PubMed]
- Kamenarska, Z.; Gasic, M.J.; Zlatovic, M.; Rasovic, A.; Sladic, D.; Kljajic, Z.; Stefanov, K.; Seizova, K.; Najdenski, H.; Kujumgiev, A.; et al. Chemical composition of the brown alga Padina pavonia (L.) Gaill. from the Adriatic Sea. Bot. Mar. 2002, 45, 339–345. [Google Scholar] [CrossRef]
- Jerković, I.; Marijanović, Z.; Roje, M.; Kuś, P.M.; Jokić, S.; Čož-Rakovac, R. Phytochemical study of the headspace volatile organic compounds of fresh algae and seagrass from the Adriatic Sea (single point collection). PLoS ONE 2018, 13, e0196462. [Google Scholar] [CrossRef] [PubMed]
- Kosanić, M.; Ranković, B.; Stanojković, T. Brown macroalgae from the Adriatic Sea as a promising source of bioactive nutrients. J. Food Meas. Charact. 2019, 13, 330–338. [Google Scholar] [CrossRef]
- Čagalj, M.; Skroza, D.; Tabanelli, G.; Özogul, F.; Šimat, V. Maximizing the antioxidant capacity of Padina pavonica by choosing the right drying and extraction methods. Processes 2021, 9, 587. [Google Scholar] [CrossRef]
- Singleton, V.L.; Rossi, J. Colorimetry of total phenolics with phospho-molybdic-phosphotungstic acid reagents. Am. J. Enol. Viticul. 1965, 16, 144–158. [Google Scholar]
- Yang, J.; Meyers, K.J.; Van der Heide, J.; Liu, R.H. Varietal differences in phenolic content and antioxidant and antiproliferative activities of onions. J. Agric. Food Chem. 2004, 52, 6787–6793. [Google Scholar] [CrossRef] [PubMed]
- Julkunen-Titto, R. Phenolic constituents in the leaves of northen willow: Methods for the analysis of certain phenolics. J. Agric. Food Chem. 1985, 33, 213–217. [Google Scholar] [CrossRef]
- Generalić Mekinić, I.; Šimat, V.; Ljubenkov, I.; Burčul, F.; Grga, M.; Mihajlovski, M.; Lončar, R.; Katalinić, V.; Skroza, D. Influence of the vegetation period on sea fennel phenolic composition, antioxidant and anticholinesterase activities. Ind. Crops. Prod. 2018, 124, 947–953. [Google Scholar] [CrossRef]
- Benzie, I.F.F.; Strain, J.J. The ferric reducing ability of plasma (FRAP) as measurement of “antioxidant power”: The FRAP assay. Anal. Biochem. 1996, 239, 70–76. [Google Scholar] [CrossRef]
- Katalinić, V.; Smole Možina, S.; Generalić, I.; Skroza, D.; Ljubenkov, I.; Klančnik, A. Phenolic profile, antioxidant capacity and antimicrobial activity of crude leaf extracts of six Vitis vinifera L. varieties. Int. J. Food Prop. 2013, 16, 45–60. [Google Scholar] [CrossRef]
- Shrestha, S.; Zhang, W.; Smid, S.D. Phlorotannins: A review on biosynthesis, chemistry and bioactivity. Food Biosci. 2021, 39, 100832. [Google Scholar] [CrossRef]
- Garcia-Vaquero, M.; Ummat, V.; Tiwari, B.; Rajauria, G. Exploring ultrasound, microwave and ultrasound-microwave assisted extraction technologies to increase the extraction of bioactive compounds and antioxidants from brown macroalgae. Mar. Drugs 2020, 18, 172. [Google Scholar] [CrossRef]
- Matanjun, P.; Mohamed, S.; Mustapha, N.M.; Muhammad, K.; Ming, C.H. Antioxidant activities and phenolics content of eight species of seaweeds from north Borneo. J. Appl. Phycol. 2008, 20, 367. [Google Scholar] [CrossRef]
- Zubia, M.; Fabre, M.S.; Kerjean, V.; Le Lann, K.; Stiger-Pouvreau, V.; Fauchon, M.; Deslandes, E. Antioxidant and antitumoural activities of some Phaeophyta from Brittany coasts. Food Chem. 2009, 116, 693–701. [Google Scholar] [CrossRef]
- Khaled, N.; Hiba, M.; Asma, C. Antioxidant and antifungal activities of Padina pavonica and Sargassum vulgare from the Lebanese Mediterranean coast. Adv. Environ. Biol. 2012, 6, 42–48. [Google Scholar]
- Agregán, R.; Munekata, P.E.S.; Franco, D.; Dominguez, R.; Carballo, J.; Lorenzo, J.M. Phenolic compounds from three brown seaweed species using LC-DAD–ESI-MS/MS. Food Res. Int. 2017, 99, 979–985. [Google Scholar] [CrossRef] [PubMed]
- Chkhikvishvili, I.D.; Ramazanov, Z.M. Phenolic substances of brown algae and their antioxidant activity. Appl. Biochem. Micro. 2000, 36, 289–291. [Google Scholar] [CrossRef]
- Prior, R.L.; Wu, X.; Schaich, K. Standardized methods for the determination of antioxidant capacity and phenolics in foods and dietary supplements. J. Agric. Food Chem. 2005, 53, 4290–4302. [Google Scholar] [CrossRef] [PubMed]



| Sample | Compound Concentration (mg/L of Algal Extract) | |||||
|---|---|---|---|---|---|---|
| Protocatechuic Acid | p-hydroxybenzoic Acid | p-coumaric Acid | t-ferulic Acid | o-coumaric Acid | ∑ | |
| D H2O 20 °C | 0.62 ± 0.05 | 0.22 ± 0.04 | 1.00 ± 0.02 | 1.41 ± 0.15 | 0.16 ± 0.01 | 3.41 |
| D H2O 40 °C | 0.05 ± 0.01 | 0.19 ± 0.02 | 0.72 ± 0.01 | 1.28 ± 0.10 | 0.10 ± 0.01 | 2.34 |
| D H2O 60 °C | 0.30 ± 0.00 | 0.13 ± 0.01 | 0.44 ± 0.02 | 0.68 ± 0.02 | 0.02 ± 0.00 | 1.57 |
| D EtOH 20 °C | 0.05 ± 0.00 | 0.42 ± 0.05 | 2.07 ± 0.20 | 1.57 ± 0.07 | 0.17 ± 0.01 | 4.29 |
| D EtOH 40 °C | 0.23 ± 0.04 | 0.30 ± 0.01 | 1.75 ± 0.15 | 1.37 ± 0.01 | 0.14 ± 0.00 | 3.78 |
| D EtOH 60 °C | 0.14 ± 0.00 | 0.32 ± 0.06 | 1.77 ± 0.01 | 1.33 ± 0.03 | 0.12 ± 0.03 | 3.66 |
| P H2O 20 °C | 1.68 ± 0.03 | 0.51 ± 0.56 | 0.03 ± 0.00 | 1.22 ± 0.10 | 0.02 ± 0.00 | 3.46 |
| P H2O 40 °C | 1.70 ± 0.02 | 0.60 ± 0.02 | 0.02 ± 0.00 | 0.07 ± 0.00 | 0.03 ± 0.00 | 2.42 |
| P H2O 60 °C | 1.42 ± 0.10 | 0.60 ± 0.01 | 0.02 ± 0.00 | 0.07 ± 0.01 | 0.03 ± 0.00 | 1.55 |
| P EtOH 20 °C | 1.34 ± 0.03 | 0.75 ± 0.02 | 0.69 ± 0.07 | 0.21 ± 0.01 | 0.01 ± 0.01 | 3.00 |
| P EtOH 40 °C | 1.05 ± 0.09 | 0.76 ± 0.03 | 0.79 ± 0.04 | 0.24 ± 0.05 | 0.02 ± 0.00 | 2.86 |
| P EtOH 60 °C | 1.15 ± 0.08 | 0.66 ± 0.07 | 0.88 ± 0.16 | 0.33 ± 0.05 | 0.03 ± 0.00 | 3.06 |
| Sample | FRAP (mM TE) | DPPH (µM TE) | ORAC (mM TE) |
|---|---|---|---|
| D H2O 20 °C | 139 ± 16 | 196 ± 47 | 26.7 ± 2.4 |
| D H2O 40 °C | 147 ± 3 | 144 ± 27 | 26.6 ± 1.5 |
| D H2O 60 °C | 232 ± 7 | 125 ± 36 | 20.6 ± 4.5 |
| D EtOH 20 °C | 792 ± 9 | 113 ± 31 | 39.1 ± 0.8 * |
| D EtOH 40 °C | 717 ± 17 | 84 ± 6 | 40.8 ± 2.4 * |
| D EtOH 60 °C | 690 ± 21 | 109 ± 9 | 38.7 ± 2.3 * |
| P H2O 20 °C | 187 ± 7 | 30 ± 10 | 25.7 ± 1.2 |
| P H2O 40 °C | 147 ± 8 | 84 ± 6 | 22.5 ± 1.9 |
| P H2O 60 °C | 106 ± 9 | 56 ± 11 | 26.2 ± 0.8 |
| P EtOH 20 °C | 202 ± 8 | 501 ± 66 | 46.2 ± 1.4 |
| P EtOH 40 °C | 231 ± 12 | 595 ± 13 | 55.8 ± 3.0 |
| P EtOH 60 °C | 214 ± 24 | 645 ± 25 | 51.2 ± 0.7 |
Publisher’s Note: MDPI stays neutral with regard to jurisdictional claims in published maps and institutional affiliations. |
© 2021 by the authors. Licensee MDPI, Basel, Switzerland. This article is an open access article distributed under the terms and conditions of the Creative Commons Attribution (CC BY) license (https://creativecommons.org/licenses/by/4.0/).
Share and Cite
Generalić Mekinić, I.; Šimat, V.; Botić, V.; Crnjac, A.; Smoljo, M.; Soldo, B.; Ljubenkov, I.; Čagalj, M.; Skroza, D. Bioactive Phenolic Metabolites from Adriatic Brown Algae Dictyota dichotoma and Padina pavonica (Dictyotaceae). Foods 2021, 10, 1187. https://doi.org/10.3390/foods10061187
Generalić Mekinić I, Šimat V, Botić V, Crnjac A, Smoljo M, Soldo B, Ljubenkov I, Čagalj M, Skroza D. Bioactive Phenolic Metabolites from Adriatic Brown Algae Dictyota dichotoma and Padina pavonica (Dictyotaceae). Foods. 2021; 10(6):1187. https://doi.org/10.3390/foods10061187
Chicago/Turabian StyleGeneralić Mekinić, Ivana, Vida Šimat, Viktorija Botić, Anita Crnjac, Marina Smoljo, Barbara Soldo, Ivica Ljubenkov, Martina Čagalj, and Danijela Skroza. 2021. "Bioactive Phenolic Metabolites from Adriatic Brown Algae Dictyota dichotoma and Padina pavonica (Dictyotaceae)" Foods 10, no. 6: 1187. https://doi.org/10.3390/foods10061187
APA StyleGeneralić Mekinić, I., Šimat, V., Botić, V., Crnjac, A., Smoljo, M., Soldo, B., Ljubenkov, I., Čagalj, M., & Skroza, D. (2021). Bioactive Phenolic Metabolites from Adriatic Brown Algae Dictyota dichotoma and Padina pavonica (Dictyotaceae). Foods, 10(6), 1187. https://doi.org/10.3390/foods10061187

