Physicochemical and Structural Characterization of Potato Starch with Different Degrees of Gelatinization
Abstract
1. Introduction
2. Materials and Methods
2.1. Raw Materials
2.2. Sample Preparation
2.3. Differential Scanning Calorimetry (DSC)
2.4. Water-Binding Capacity (WBC)
2.5. Fourier Transform Infrared (FTIR) Spectroscopy
2.6. Scanning Electron Microscopy (SEM)
2.7. Polarized Light Microscopy (PLM)
2.8. Rheological Measurement
2.8.1. Steady Shear Viscosity Measurement
2.8.2. Temperature Sweep
2.8.3. Frequency Sweep
2.9. Correlation Analysis
2.10. Statistical Analysis
3. Results and Discussion
3.1. Thermal Properties
3.2. Water-Binding Capacity (WBC)
3.3. FTIR Spectra of Native and Partially Gelatinized Starch
3.4. Morphological Properties of Native and Partially Gelatinized Starch
3.5. Rheological Properties of Native and Partially Gelatinized Starch
3.5.1. Apparent Viscosity
3.5.2. Temperature Sweep
3.5.3. Frequency Sweep
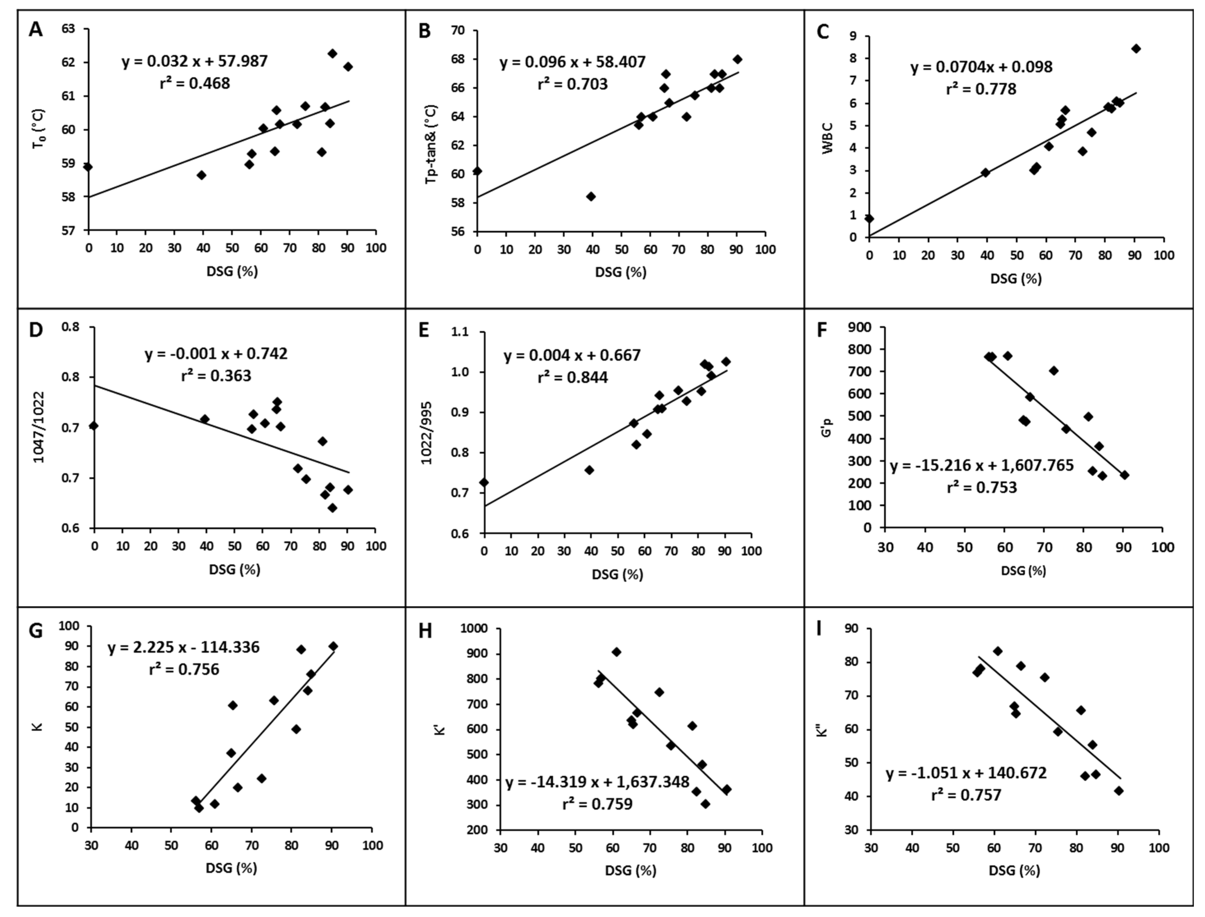
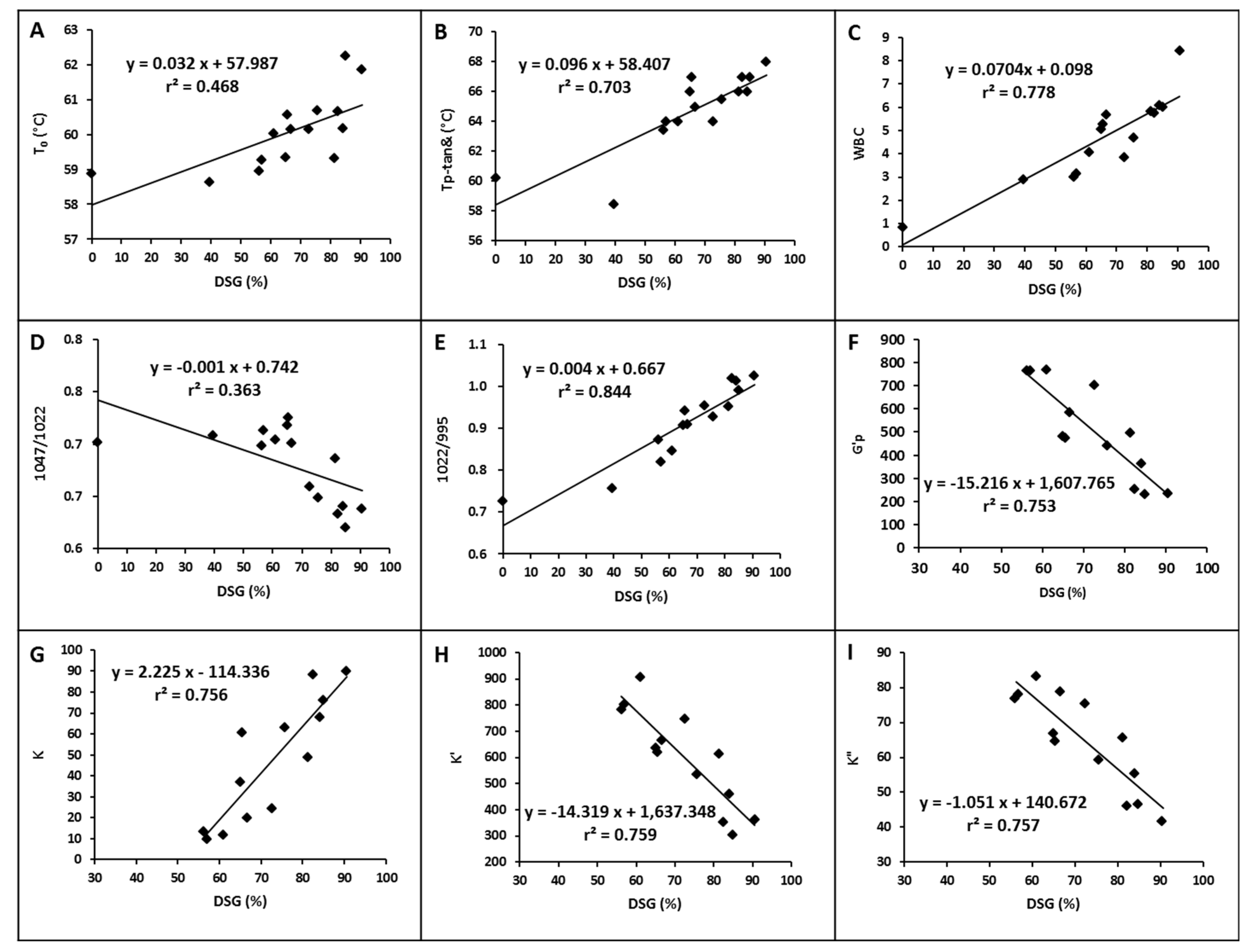
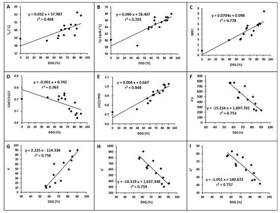
3.6. Correlation between the DSG and Its Physicochemical Properties
4. Conclusions
Supplementary Materials
Author Contributions
Funding
Data Availability Statement
Conflicts of Interest
References
- Yusuph, M.; Tester, R.F.; Ansell, R.; Snape, C.E. Composition and properties of starches extracted from tubers of different potato varieties grown under the same environmental conditions. Food Chem. 2003, 82, 283–289. [Google Scholar] [CrossRef]
- Hong, J.; Chen, R.; Zeng, X.A.; Han, Z. Effect of pulsed electric fields assisted acetylation on morphological, structural and functional characteristics of potato starch. Food Chem. 2016, 192, 15–24. [Google Scholar] [CrossRef] [PubMed]
- Zhang, C.; Lim, S.-T.; Chung, H.-J. Physical modification of potato starch using mild heating and freezing with minor addition of gums. Food Hydrocoll. 2019, 94, 294–303. [Google Scholar] [CrossRef]
- Alvani, K.; Qi, X.; Tester, R.F.; Snape, C.E. Physico-chemical properties of potato starches. Food Chem. 2011, 125, 958–965. [Google Scholar] [CrossRef]
- Wootton, M.; Bamunuarachch, K.A. Water Binding Capacity of Commercial Produced Native and Modified Starches. Starch Stärke 1978, 30, 306–309. [Google Scholar] [CrossRef]
- Wang, J.; Zhu, H.; Li, S.; Wang, S.; Wang, S.; Copeland, L. Insights into structure and function of high pressure-modified starches with different crystalline polymorphs. Int. J. Biol. Macromol. 2017, 102, 414–424. [Google Scholar] [CrossRef]
- Muneer, F.; Andersson, M.; Koch, K.; Menzel, C.; Hedenqvist, M.S.; Gallstedt, M.; Plivelic, T.S.; Kuktaite, R. Nanostructural morphology of plasticized wheat gluten and modified potato starch composites: Relationship to mechanical and barrier properties. Biomacromolecules 2015, 16, 695–705. [Google Scholar] [CrossRef] [PubMed]
- Wang, H.; Xiao, N.; Wang, X.; Zhao, X.; Zhang, H. Effect of pregelatinized starch on the characteristics, microstructures, and quality attributes of glutinous rice flour and dumplings. Food Chem. 2019, 283, 248–256. [Google Scholar] [CrossRef] [PubMed]
- Fu, Z.; Che, L.; Li, D.; Wang, L.; Adhikari, B. Effect of partially gelatinized corn starch on the rheological properties of wheat dough. LWT Food Sci. Technol. 2016, 66, 324–331. [Google Scholar] [CrossRef]
- Han, H.; Hou, J.; Yang, N.; Zhang, Y.; Chen, H.; Zhang, Z.; Shen, Y.; Huang, S.; Guo, S. Insight on the changes of cassava and potato starch granules during gelatinization. Int. J. Biol. Macromol. 2019, 126, 37–43. [Google Scholar] [CrossRef]
- Juszczak, L.; Witczak, M.; Ziêba, T.; Fortuna, T. Rheological behaviour of heated potato starch dispersions. Int. Agrophys. 2012, 26, 381–386. [Google Scholar] [CrossRef]
- Huang, Z.; Xie, X.; Chen, Y.; Lu, J.; Tong, Z. Ball-milling treatment effect on physicochemical properties and features for cassava and maize starches. C. R. Chim. 2008, 11, 73–79. [Google Scholar] [CrossRef]
- Yu, S.-X.; Mu, T.-H.; Zhang, M.; Zhao, Z.-K. Effects of inorganic salts on the structural and physicochemical properties of high-hydrostatic-pressure-gelatinized sweet potato starch. Starch Stärke 2016, 68, 980–988. [Google Scholar] [CrossRef]
- Dos Santos, T.P.R.; Franco, C.M.L.; Leonel, M. Gelatinized sweet potato starches obtained at different preheating temperatures in a spray dryer. Int. J. Biol. Macromol. 2020, 149, 1339–1346. [Google Scholar] [CrossRef] [PubMed]
- Liu, Y.; Chao, C.; Yu, J.; Wang, S.; Wang, S.; Copeland, L. New insights into starch gelatinization by high pressure: Comparison with heat-gelatinization. Food Chem. 2020, 318, 126493. [Google Scholar] [CrossRef] [PubMed]
- Torres, M.D.; Chenlo, F.; Moreira, R. Rheological Effect of Gelatinisation Using Different Temperature-Time Conditions on Potato Starch Dispersions: Mechanical Characterisation of the Obtained Gels. Food Bioproc. Tech. 2018, 11, 132–140. [Google Scholar] [CrossRef]
- Liu, Y.; Chen, J.; Luo, S.; Li, C.; Ye, J.; Liu, C.; Gilbert, R.G. Physicochemical and structural properties of pregelatinized starch prepared by improved extrusion cooking technology. Carbohydr. Polym. 2017, 175, 265–272. [Google Scholar] [CrossRef] [PubMed]
- Sui, Z.; Yao, T.; Zhao, Y.; Ye, X.; Kong, X.; Ai, L. Effects of heat-moisture treatment reaction conditions on the physicochemical and structural properties of maize starch: Moisture and length of heating. Food Chem. 2015, 173, 1125–1132. [Google Scholar] [CrossRef]
- Sui, Z.; Shah, A.; BeMiller, J.N. Crosslinked and stabilized in-kernel heat-moisture-treated and temperature-cycled normal maize starch and effects of reaction conditions on starch properties. Carbohydr. Polym. 2011, 86, 1461–1467. [Google Scholar] [CrossRef]
- Krueger, B.R.; Knutson, C.A.; Inglett, G.E.; Walker, C.E. A differential scanning calorimetry study on the effect of annealing on gelatinization behaviour of corn starch. J. Food Sci. 1987, 52, 715–718. [Google Scholar] [CrossRef]
- Fu, Z.; Wang, L.; Zou, H.; Li, D.; Adhikari, B. Studies on the starch-water interactions between partially gelatinized corn starch and water during gelatinization. Carbohydr. Polym. 2014, 101, 727–732. [Google Scholar] [CrossRef]
- Taghinezhad, E.; Khoshtaghaza, M.H.; Minaei, S.; Suzuki, T.; Brenner, T. Relationship between Degree of Starch Gelatinization and Quality Attributes of Parboiled Rice during Steaming. Rice Sci. 2016, 23, 339–344. [Google Scholar] [CrossRef]
- Kaur, L.; Singh, N.; Sodhi, N.S. Some properties of potatoes and their starches II. Morphological, thermal and rheological properties of starches. Food Chem. 2002, 79, 183–192. [Google Scholar] [CrossRef]
- Wang, S.; Li, P.; Yu, J.; Guo, P.; Wang, S. Multi-scale structures and functional properties of starches from Indica hybrid, Japonica and waxy rice. Int. J. Biol. Macromol. 2017, 102, 136–143. [Google Scholar] [CrossRef] [PubMed]
- Albano, K.M.; Franco, C.M.L.; Telis, V.R.N. Rheological behavior of Peruvian carrot starch gels as affected by temperature and concentration. Food Hydrocoll. 2014, 40, 30–43. [Google Scholar] [CrossRef]
- Witczak, T.; Witczak, M.; Ziobro, R. Effect of inulin and pectin on rheological and thermal properties of potato starch paste and gel. J. Food Eng. 2014, 124, 72–79. [Google Scholar] [CrossRef]
- Singh, J.; Singh, N. Studies on the morphological, thermal and rheological properties of starch separated from some Indian potato cultivars. Food Chem. 2001, 75, 67–77. [Google Scholar] [CrossRef]
- Sun, X.D.; Arntfield, S.D. Gelation properties of myofibrillar/pea protein mixtures induced by transglutaminase crosslinking. Food Hydrocoll. 2012, 27, 394–400. [Google Scholar] [CrossRef]
- Przetaczek-Roznowska, I.; Fortuna, T.; Wodniak, M.; Labanowska, M.; Pajak, P.; Krolikowska, K. Properties of potato starch treated with microwave radiation and enriched with mineral additives. Int. J. Biol. Macromol. 2019, 124, 229–234. [Google Scholar] [CrossRef] [PubMed]
- Singh, J.; Singh, N. Studies on the morphological and rheological properties of granular cold water soluble corn and potato starches. Food Hydrocoll. 2003, 17, 63–72. [Google Scholar] [CrossRef]
- Fu, Z.; Wang, L.; Li, D.; Adhikari, B. Effects of partial gelatinization on structure and thermal properties of corn starch after spray drying. Carbohydr. Polym. 2012, 88, 1319–1325. [Google Scholar] [CrossRef]
- Wang, S.; Zhang, X.; Wang, S.; Copeland, L. Changes of multi-scale structure during mimicked DSC heating reveal the nature of starch gelatinization. Sci. Rep. 2016, 6, 28271. [Google Scholar] [CrossRef]
- Chung, H.-J.; Li, X.-Q.; Kalinga, D.; Lim, S.-T.; Yada, R.; Liu, Q. Physicochemical properties of dry matter and isolated starch from potatoes grown in different locations in Canada. Food Res. Int. 2014, 57, 89–94. [Google Scholar] [CrossRef]
- Błaszczak, W.; Fornal, J.; Kiseleva, V.I.; Yuryev, V.P.; Sergeev, A.I.; Sadowska, J. Effect of high pressure on thermal, structural and osmotic properties of waxy maize and Hylon VII starch blends. Carbohydr. Polym. 2007, 68, 387–396. [Google Scholar] [CrossRef]
- Soni, P.L.; Sharma, H.W.; Bisen, S.S.; Srivastava, H.C.; Gharia, M.M. Unique Physico-chemical Properties of Sal (Shorea robusta) Starch. Starch Stärke 1987, 39, 411–413. [Google Scholar] [CrossRef]
- Hoover, O.R.; Sosulski, S.F. Effect of Cross-Linking on Functional Properties of Legume Starches. Starch Stärke 1986, 38, 149–155. [Google Scholar] [CrossRef]
- Sevenou, O.; Hill, S.E.; Farhat, I.A.; Mitchell, J.R. Organisation of the external region of the starch granule as determined by infrared spectroscopy. Int. J. Biol. Macromol. 2002, 31, 79–85. [Google Scholar] [CrossRef]
- Wei, C.; Qin, F.; Zhou, W.; Xu, B.; Chen, C.; Chen, Y.; Wang, Y.; Gu, M.; Liu, Q. Comparison of the crystalline properties and structural changes of starches from high-amylose transgenic rice and its wild type during heating. Food Chem. 2011, 128, 645–652. [Google Scholar] [CrossRef]
- Van Riemsdijk, L.E.; Sprakel, J.H.B.; van der Goot, A.J.; Hamer, R.J. Elastic Networks of Protein Particles. Food Biophys. 2009, 5, 41–48. [Google Scholar] [CrossRef]
- Ravindra, P.; Genovese, D.B.; Foegeding, E.A.; Rao, M.A. Rheology of heated mixed whey protein isolate/cross-linked waxy maize starch dispersions. Food Hydrocoll. 2004, 18, 775–781. [Google Scholar] [CrossRef]
- Zhang, X.; Tong, Q.; Zhu, W.; Ren, F. Pasting, rheological properties and gelatinization kinetics of tapioca starch with sucrose or glucose. J. Food Eng. 2013, 114, 255–261. [Google Scholar] [CrossRef]
- Meng, Y.C.; Sun, M.H.; Fang, S.; Chen, J.; Li, Y.H. Effect of sucrose fatty acid esters on pasting, rheological properties and freeze–thaw stability of rice flour. Food Hydrocoll. 2014, 40, 64–70. [Google Scholar] [CrossRef]
- Gryszkin, A.; Zięba, T.; Kapelko, M.; Buczek, A. Effect of thermal modifications of potato starch on its selected properties. Food Hydrocoll. 2014, 40, 122–127. [Google Scholar] [CrossRef]
- Jekle, M.; Mühlberger, K.; Becker, T. Starch–gluten interactions during gelatinization and its functionality in dough like model systems. Food Hydrocoll. 2016, 54, 196–201. [Google Scholar] [CrossRef]
- Shi, A.M.; Wang, L.J.; Li, D.; Adhikari, B. characterization of starch films containing starch nanoparticles. Part 2: Viscoelasticity and creep properties. Carbohydr. Polym. 2013, 96, 602–610. [Google Scholar] [CrossRef] [PubMed]




| Starch | T0 (°C) | ΔH (J/g) | R | PHI | DSG (%) |
|---|---|---|---|---|---|
| Native PS | 56.94 ± 0.06 BCde | 12.73 ± 0.09 Aa | 8.46 ± 0.06 Dbc | 3.2 ± 0.01 Aa | 0 |
| 59 °C—1 min | 56.31 ± 0.06 C | 6.56 ± 0.43 B | 9.49 ± 0.42 C | 2.32 ± 0.11 B | 39.41 ± 3.98 C |
| 59 °C—3 min | 56.86 ± 0.45 BC | 4.66 ± 0.81 C | 11.02 ± 0.33 AB | 1.39 ± 0.42 C | 56.93 ± 7.50 B |
| 59 °C—6 min | 57.40 ± 0.37 B | 4.97 ± 0.33 C | 11.41 ± 0.04 A | 1.54 ± 0.12 C | 60.99 ± 2.59 B |
| 59 °C—9 min | 57.61 ± 0.58 B | 4.26 ± 0.02 C | 10.88 ± 0.58 AB | 1.31 ± 0.23 C | 66.56 ± 0.12 B |
| 59 °C—12 min | 56.99 ± 0.41 BC | 4.46 ± 0.37 C | 10.31 ± 0.54 BC | 1.24 ± 0.12 CD | 64.98 ± 2.88 B |
| 59 °C—15 min | 57.42 ± 0.40 B | 4.40 ± 0.43 C | 11.08 ± 0.30 AB | 1.37 ± 0.14 C | 65.43 ± 3.39 B |
| 59 °C—18 min | 59.05 ± 0.25 A | 2.38 ± 0.84 D | 9.60 ± 0.34 C | 0.79 ± 0.19 D | 81.28 ± 6.60 A |
| 60 °C—1 min | 56.50 ± 0.18 e | 5.59 ± 0.19 b | 12.46 ± 0.03 a | 1.38 ± 0.09 b | 56.11 ± 1.52 d |
| 60 °C—3 min | 58.40 ± 0.25 c | 3.50 ± 0.16 c | 10.82 ± 1.77 ab | 0.96 ± 0.10 c | 72.55 ± 1.24 c |
| 60 °C—6 min | 57.38 ± 0.23 d | 3.10 ± 0.13 cd | 11.45 ± 0.08 a | 0.86 ± 0.02 cd | 75.63 ± 1.01 bc |
| 60 °C—9 min | 60.26 ± 0.15 a | 2.03 ± 0.02 de | 11.24 ± 0.98 a | 0.55 ± 0.03 ef | 84.06 ± 0.15 ab |
| 60 °C—12 min | 57.36 ± 0.19 d | 2.25 ± 1.32 de | 10.59 ± 0.98 ab | 0.65 ± 0.28 de | 82.37 ± 10.38 abc |
| 60 °C—15 min | 59.15 ± 0.01 b | 1.92 ± 0.39 de | 6.84 ± 1.15 c | 0.65 ± 0.12 de | 84.94 ± 3.04 ab |
| 60 °C—18 min | 60.54 ± 0.58 a | 1.20 ± 0.03 e | 9.83 ± 1.71 ab | 0.33 ± 0.03 f | 90.56 ± 0.20 a |
| Starch | 20 °C | 40 °C | 60 °C | 80 °C |
|---|---|---|---|---|
| Native PS | 0.85 ± 0.02 Efb′ | 1.34 ± 0.17 Adb′ | 7.74 ± 0.60 Dca′ | 7.11 ± 0.21 Dca′ |
| 59 °C—1 min | 2.88 ± 0.03 Dd′ | 4.14 ± 0.34 Bc′ | 10.45 ± 0.02 Ca′ | 9.43 ± 0.61 Cb′ |
| 59 °C—3 min | 3.15 ± 0.02 Dc′ | 4.74 ± 0.05 Bb′ | 13.70 ± 0.27 Aba′ | 13.52 ± 0.04 Ba′ |
| 59 °C—6 min | 4.05 ± 0.13 Cc′ | 6.14 ± 0.32 Ab′ | 13.76 ± 0.63 Aba′ | 14.77 ± 0.36 Aa′ |
| 59 °C—9 min | 5.67 ± 0.28 Ac′ | 6.57 ± 1.24 Ab′ | 14.42 ± 0.47 Aa′ | 15.02 ± 0.14 Aa′ |
| 59 °C—12 min | 5.05 ± 0.15 Bb′ | 6.25 ± 0.01 Ab′ | 13.19 ± 0.63 Ba′ | 14.30 ± 0.58 Aba′ |
| 59 °C—15 min | 5.29 ± 0.45 ABc′ | 6.52 ± 0.59 Ab′ | 14.80 ± 0.07 Aa′ | 14.93 ± 0.08 Aa′ |
| 59 °C—18 min | 5.81 ± 0.40 Ab′ | 6.58 ± 0.14 Ab′ | 14.14 ± 0.60 Aba′ | 14.76 ± 0.41 Aa′ |
| 60 °C—1 min | 3.01 ± 0.05 ed′ | 4.33 ± 0.10 cc′ | 13.63 ± 0.06 ba′ | 12.83 ± 0.42 bb′ |
| 60 °C—3 min | 3.85 ± 0.20 dd′ | 5.23 ± 0.02 bcc′ | 13.66 ± 0.78 bb′ | 15.25 ± 0.19 aa′ |
| 60 °C—6 min | 4.67 ± 0.12 cc′ | 6.26 ± 0.24 bb′ | 14.24 ± 0.34 aba′ | 14.87 ± 0.19 aa′ |
| 60 °C—9 min | 6.08 ± 0.18 bc′ | 8.13 ± 0.33 ab′ | 14.78 ± 0.01 aa′ | 15.09 ± 0.24 aa′ |
| 60 °C—12 min | 5.76 ± 0.89 bc′ | 7.88 ± 0.50 ab′ | 14.73 ± 0.07 aa′ | 14.90 ± 0.17 aa′ |
| 60 °C—15 min | 6.02 ± 0.30 ab′ | 8.84 ± 1.16 ab′ | 14.90 ± 0.06 aa′ | 15.02 ± 0.23 aa′ |
| 60 °C—18 min | 8.42 ± 0.09 bc′ | 8.91 ± 0.13 ab′ | 14.92 ± 0.07 aa′ | 15.00 ± 0.01 aa′ |
| Starch | K (Pa sn) | n | R2 | K′ (Pa sn) | n′ | R′2 | K″ (Pa sn) | n″ | R″2 |
|---|---|---|---|---|---|---|---|---|---|
| Native PS | — | — | — | 343.44 ± 38.54 Ec | 0.08 ± 0.01 Be | 0.996 | 33.2 ± 4.08 Cd | 0.19 ± 0.03 Abc | 0.981 |
| 59 °C—1 min | — | — | — | 485.71 ± 25.19 DE | 0.09 ± 0.00 AB | 0.994 | 63.14 ± 7.54 B | 0.12 ± 0.01 A | 0.914 |
| 59 °C—3 min | 9.74 ± 1.22 E | −0.83 ± 0.06 C | 0.998 | 803.67 ± 0.92 AB | 0.08 ± 0.00 B | 0.995 | 78.15 ± 1.54 A | 0.11 ± 0.00 A | 0.988 |
| 59 °C—6 min | 11.61 ± 0.72 E | −0.81 ± 0.01 BC | 0.998 | 907.70 ± 43.09 A | 0.08 ± 0.01 B | 0.996 | 83.18 ± 4.51 A | 0.13 ± 0.01 A | 0.992 |
| 59 °C—9 min | 19.89 ± 1.51 D | −0.66 ± 0.07 A | 0.999 | 665.12 ± 11.21 BC | 0.09 ± 0.00 AB | 0.992 | 78.76 ± 1.74 A | 0.12 ± 0.00 A | 0.862 |
| 59 °C—12 min | 37.04 ± 1.62 C | −0.64 ± 0.02 A | 0.999 | 636.78 ± 160.52 CD | 0.12 ± 0.03 A | 0.990 | 66.98 ± 5.35 B | 0.23 ± 0.12 A | 0.980 |
| 59 °C—15 min | 60.78 ± 2.83 A | −0.71 ± 0.02 AB | 0.999 | 620.32 ± 63.77 CD | 0.10 ± 0.00 AB | 0.997 | 64.64 ± 0.88 B | 0.17 ± 0.01 A | 0.963 |
| 59 °C—18 min | 48.66 ± 1.60 B | −0.69 ± 0.03 A | 0.999 | 613.45 ± 24.59 CD | 0.10 ± 0.00 AB | 0.996 | 65.56 ± 0.67 B | 0.17 ± 0.01 A | 0.986 |
| 60 °C—1 min | 13.35 ± 0.86 b | −0.80 ± 0.03 b | 0.999 | 784.36 ± 48.37 a | 0.08 ± 0.00 e | 0.996 | 76.96 ± 5.33 a | 0.11 ± 0.00 d | 0.990 |
| 60 °C—3 min | 24.45 ± 0.75 b | −0.75 ± 0.01 ab | 0.999 | 747.29 ± 10.63 a | 0.09 ± 0.00 e | 0.996 | 75.34 ± 1.86 a | 0.12 ± 0.00 d | 0.982 |
| 60 °C—6 min | 62.90 ± 1.20 a | −0.72 ± 0.01 ab | 0.999 | 536.33 ± 32.29 b | 0.09 ± 0.00 de | 0.996 | 59.40 ± 1.97 b | 0.17 ± 0.01 c | 0.981 |
| 60 °C—9 min | 67.92 ± 1.07 a | −0.70 ± 0.01 a | 0.999 | 459.54 ± 29.51 b | 0.10 ± 0.01 cd | 0.998 | 55.44 ± 1.01 b | 0.19 ± 0.00 bc | 0.992 |
| 60 °C—12 min | 88.19 ± 4.34 a | −0.70 ± 0.01 a | 0.999 | 353.52 ± 62.90 c | 0.12 ± 0.01 ab | 0.997 | 46.16 ± 1.93 c | 0.21 ± 0.01 ab | 0.987 |
| 60 °C—15 min | 76.04 ± 34.53 a | −0.70 ± 0.11 a | 0.999 | 302.18 ± 25.68 c | 0.13 ± 0.01 a | 0.998 | 46.51 ± 0.52 c | 0.21 ± 0.01 ab | 0.993 |
| 60 °C—18 min | 89.90 ± 6.80 a | −0.68 ± 0.01 a | 0.998 | 361.52 ± 51.89 c | 0.11 ± 0.01 bc | 0.997 | 41.66 ± 2.72 c | 0.23 ± 0.01 a | 0.992 |
Publisher’s Note: MDPI stays neutral with regard to jurisdictional claims in published maps and institutional affiliations. |
© 2021 by the authors. Licensee MDPI, Basel, Switzerland. This article is an open access article distributed under the terms and conditions of the Creative Commons Attribution (CC BY) license (https://creativecommons.org/licenses/by/4.0/).
Share and Cite
Xu, F.; Zhang, L.; Liu, W.; Liu, Q.; Wang, F.; Zhang, H.; Hu, H.; Blecker, C. Physicochemical and Structural Characterization of Potato Starch with Different Degrees of Gelatinization. Foods 2021, 10, 1104. https://doi.org/10.3390/foods10051104
Xu F, Zhang L, Liu W, Liu Q, Wang F, Zhang H, Hu H, Blecker C. Physicochemical and Structural Characterization of Potato Starch with Different Degrees of Gelatinization. Foods. 2021; 10(5):1104. https://doi.org/10.3390/foods10051104
Chicago/Turabian StyleXu, Fen, Liang Zhang, Wei Liu, Qiannan Liu, Feng Wang, Hong Zhang, Honghai Hu, and Christophe Blecker. 2021. "Physicochemical and Structural Characterization of Potato Starch with Different Degrees of Gelatinization" Foods 10, no. 5: 1104. https://doi.org/10.3390/foods10051104
APA StyleXu, F., Zhang, L., Liu, W., Liu, Q., Wang, F., Zhang, H., Hu, H., & Blecker, C. (2021). Physicochemical and Structural Characterization of Potato Starch with Different Degrees of Gelatinization. Foods, 10(5), 1104. https://doi.org/10.3390/foods10051104

