Adsorption Equilibrium and Thermodynamics of Tea Theasinensins on HP20—A High-Efficiency Macroporous Adsorption Resin
Abstract
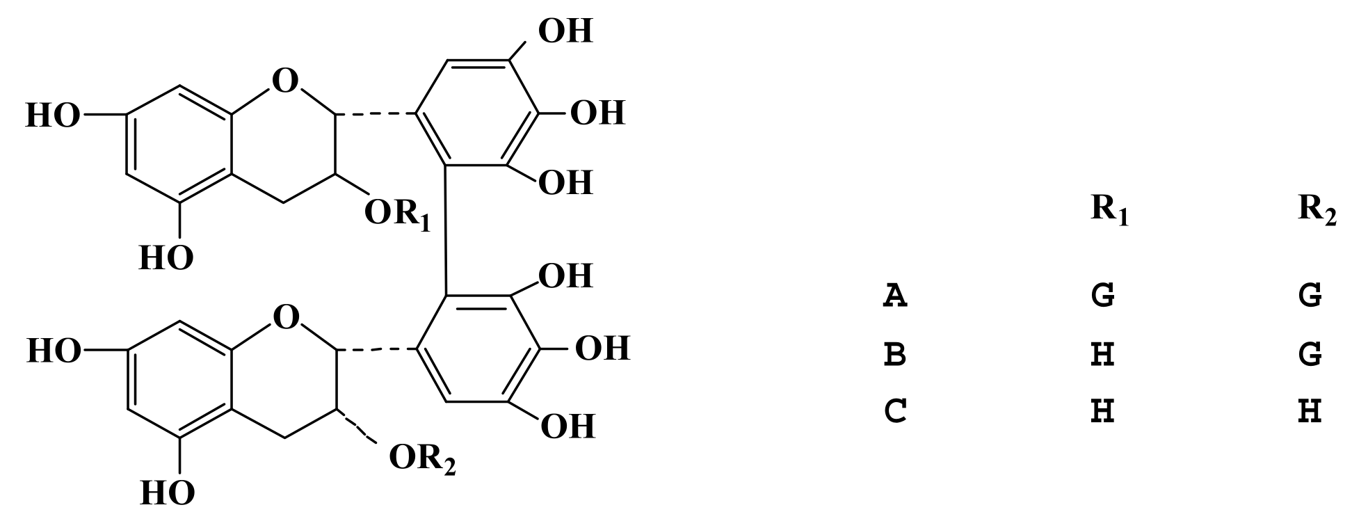
:1. Introduction
2. Materials and Methods
2.1. Materials and Reagents
2.2. Preparation of Theasinensins Mixture
2.3. Adsorption Isothermal Experiment
2.4. Adsorption Thermodynamic Model
2.5. Thermodynamics of Adsorption
2.6. HPLC Measurements of Theasinensins
3. Results and Discussion
3.1. Static Adsorption Isotherm of Theasinensins
3.2. Equivalent Differential Heat of Adsorption of Theasinensins
3.3. Isometric Differential Adsorption Heat of Theasinensins
3.4. Comparison of Adsorption Capacity of Theasinensins by HP20 Resin
4. Conclusions
Author Contributions
Funding
Data Availability Statement
Acknowledgments
Conflicts of Interest
References
- Ferretti, A.; Flanagan, V.P.; Bondarovich, H.A.; Gianturco, M.A. The chemistry of tea. Structures of compounds A and B of Roberts and reactions of some model compounds. J. Agric. Food Chem. 1968, 16, 756–761. [Google Scholar] [CrossRef]
- Shii, T.; Miyamoto, M.; Matsuo, Y.; Tanaka, T.; Kouno, I. Biomimetic One-Pot Preparation of a Black Tea Polyphenol Theasinensin A from Epigallocatechin Gallate by Treatment with Copper(II) Chloride and Ascorbic Acid. Chem. Pharm. Bull. 2011, 59, 1183–1185. [Google Scholar] [CrossRef] [PubMed] [Green Version]
- Yang, C.; Hu, Z.Y.; Lu, M.L.; Li, P.L.; Tan, J.F.; Chen, M.; Lv, H.P.; Zhu, Y.; Zhang, Y.; Guo, L.; et al. Application of metabolomics profiling in the analysis of metabolites and taste quality in different subtypes of white tea. Food Res. Int. 2018, 106, 909–919. [Google Scholar] [CrossRef]
- Weerawatanakorn, M.; Hung, W.-L.; Pan, M.-H.; Li, S.; Li, D.; Wan, X.; Ho, C.-T. Chemistry and health beneficial effects of oolong tea and theasinensins. Food Sci. Hum. Wellness 2015, 4, 133–146. [Google Scholar] [CrossRef] [Green Version]
- Hashimoto, F.; Ono, M.; Masuoka, C.; Ito, Y.; Nohara, T. Evaluation of the anti-oxidative effect (in vitro) of tea polyphones. J. Agric. Chem. Soc. Jpn. 2003, 67, 396–401. [Google Scholar]
- Pan, M.-H.; Lai, C.-S.; Wang, H.; Lo, C.-Y.; Ho, C.-T.; Li, S. Black tea in chemo-prevention of cancer and other human diseases. Food Sci. Hum. Wellness 2013, 2, 12–21. [Google Scholar] [CrossRef] [Green Version]
- Shibu, M.A.; Kuo, C.H.; Chen, B.C.; Ju, D.T.; Chen, R.J.; Lai Chhuang, P.J.; Viswanadha, V.P.; Kuo, W.W.; Huang, C.Y. Oolong tea prevents cardiomyocyte loss against hypoxia by attenuating p-JNK mediated hypertrophy and enhancing P-IGF1R, p-akt, and p-Badser136 activity and by fortifying NRF2 antioxidation system. Environ. Toxicol. 2018, 33, 220–233. [Google Scholar] [CrossRef] [PubMed]
- Pan, M.-H.; Liang, Y.-C.; Lin-Shiau, S.-Y.; Zhu, N.-Q.; Ho, A.C.-T.; Lin, J.-K. Induction of Apoptosis by the Oolong Tea Polyphenol Theasinensin A through Cytochrome c Release and Activation of Caspase-9 and Caspase-3 in Human U937 Cells. J. Agric. Food Chem. 2000, 48, 6337–6346. [Google Scholar] [CrossRef]
- Debelo, H.; Li, M.; Ferruzzi, M.G. Processing influences on food polyphenol profiles and biological activity. Curr. Opin. Food Sci. 2020, 32, 90–102. [Google Scholar] [CrossRef]
- Hou, D.X.; Masuzaki, S.; Tanigawa, S.; Hashimoto, F.; Chen, J.H.; Sogo, T.; Fujii, M. Oolong tea theasinensins attenuate cyclooxygenase-2 expression in lipopolysaccharide (LPS)-activated mouse macrophages: Structure-activity relationship and molecular mechanisms. J. Agric. Food Chem. 2010, 58, 12735–12743. [Google Scholar] [CrossRef]
- Chen, J.H.; Qin, S.; Xiao, J.P.; Tanigawa, S.; Uto, T.; Hashimoto, F.; Fujii, M.; Hou, D.X. A genome-wide microarray highlights the anti-inflammatory genes targeted by Oolong tea theasinensin A in macrophages. Nutr. Cancer 2001, 63, 1064–1073. [Google Scholar] [CrossRef]
- Hatano, T.; Kusuda, M.; Hori, M.; Shiota, S.; Tsuchiya, T.; Yoshida, T. Theasinensin A, a Tea Polyphenol Formed from (-)-Epigallocatechin Gallate, Suppresses Antibiotic Resistance of Methicillin-ResistantStaphylococcus aureus. Planta Med. 2003, 69, 984–989. [Google Scholar] [CrossRef] [PubMed]
- Taylor, P.W.; Hamilton-Miller, J.M.T.; Stapleton, P.D. Antimicrobial properties of green tea catechins. Food Sci. Technol. Bull. Funct. Foods 2005, 2, 71–81. [Google Scholar] [CrossRef] [Green Version]
- Isaacs, C.E.; Xu, W.M.; Merz, G.; Hillier, S.; Rohan, L.; Wen, G.Y. Digallate dimers of (−)-epigallocatechin gallate inactivateb herpes simplex virus. Antimicrob. Agents Chemother. 2011, 55, 5646–5653. [Google Scholar] [CrossRef] [Green Version]
- Miyata, Y.; Tamaru, S.; Tanaka, T.; Tamaya, K.; Matsui, T.; Nagata, Y.; Tanaka, K. Theaflavins and theasinensin A direved from fermented tea have antiyperglycemic and hypotricylglycerolemic effects in KK-Ay mice and sprague dawley rats. J. Agric. Food Chem. 2013, 61, 9366–9372. [Google Scholar] [CrossRef]
- Tanaka, Y.; Kirita, M.; Miyata, S.; Abe, Y.; Tagashira, M.; Kanda, T.; Maeda-Yamamoto, M. O-Methylated Theaflavins Suppress the Intracellular Accumulation of Triglycerides from Terminally Differentiated Human Visceral Adipocytes. J. Agric. Food Chem. 2013, 61, 12634–12639. [Google Scholar] [CrossRef]
- Nakai, M.; Fukui, Y.; Asami, S.; Toyoda-Ono, Y.; Iwashita, T.; Shibata, H.; Mitsunaga, T.; Hashimoto, A.F.; Kiso, Y. Inhibitory Effects of Oolong Tea Polyphenols on Pancreatic Lipase in Vitro. J. Agric. Food Chem. 2005, 53, 4593–4598. [Google Scholar] [CrossRef] [PubMed]
- Zhang, H.; Qi, R.; Mine, Y. The impact of oolong and black tea polyphenols on human health. Food Biosci. 2019, 29, 55–61. [Google Scholar] [CrossRef]
- Miyata, Y.; Tanaka, T.; Tamaya, K.; Matsui, T.; Tamaru, S.; Tanaka, K. Cholesterol-Lowering effect of black tea poly-phenols, theaflavins, theasinensin A and thearubigins. Food Sci. Technol. Res. 2011, 17, 585–588. [Google Scholar] [CrossRef] [Green Version]
- Murugesu, S.; Ibrahim, Z.; Ahmed, Q.U.; Uzir, B.F.; Yusoff, N.I.N.; Perumal, V.; Abas, F.; Shaari, K.; Khati, A. Identification of α-glucosidase inhibitors from a new fermented tea obtained by tea-rolling processing of loquat (Eriobotrya japonica) and green tea leaves. J. Sci. Food Agric. 2010, 90, 1545–1550. [Google Scholar]
- Takashi, T.; Sayaka, W.; Yosuke, M.; Yuji, M.; Kei, T.; Shizuka, T.; Kazunari, T.; Toshiro, M.; Isao, K. Polyphenol composition of a functional fermented tea obtained by Tea-Rolling processing of green tea and loquat leaves. J. Agric. Food Chem. 2011, 59, 7253–7260. [Google Scholar]
- Liu, Y.; Luo, L.C.; Chen, L.; Jie, W.; Liang, Z. Effects of brewing conditions on the phytochemical composition, sensory qualities and antioxidant activity of green tea infusion: A study using response surface methodology. Food Chem. 2018, 269, 24–34. [Google Scholar] [CrossRef] [PubMed]
- Tanaka, T.; Kouno, I. Oxidation mechanism of catechins and related polyphenols, symposium on the chemistry of natural products. Food Sci. Technol. Res. 2003, 9, 329–334. [Google Scholar]
- Tanaka, T.; Matsuo, Y.; Kouno, I. A novel black tea pigment and two new oxidation products of epigallocate-chin-3-O-gallate. J. Agric. Food Chem. 2005, 53, 7571–7578. [Google Scholar] [CrossRef] [PubMed]
- Tanaka, T.; Watarumi, S.; Matsuo, Y.; Kamei, M.; Kouno, I. Production of theasinensins A and D, epigallocatechin gallate dimers of black tea, by oxidation–reduction dismutation of dehydrotheasinensin A. Tetrahedron 2003, 59, 7939–7947. [Google Scholar] [CrossRef]
- Nonaka, G.; Kawahara, O.; Nishioka, I. Tannins and related compounds XV. A new class of dimeric flavan-3-ol gallates, theasinensin A and theasinensin B, and proanthocyanidin gallates from green tea leaf. Chem. Pharm. Bull. 1983, 31, 3906–3914. [Google Scholar] [CrossRef] [Green Version]
- Kristl, A.; Luksic, M.; Pompe, M.; Podgornik, A. Effect of Pressure Increase on Macromolecules’ Adsorption in Ion Exchange Chromatography. Anal. Chem. 2020, 92, 4527–4534. [Google Scholar] [CrossRef] [Green Version]
- Sevillano, D.M.; Van, D.; Hooshyar, N.; Ottens, M. Resin selection for the separation of caffeine from green tea catechins. Food Bioprod. Pocess. 2014, 92, 192–198. [Google Scholar] [CrossRef]
- Gogoi, P.; Saikia, M.D.; Dutta, N.; Rao, P. Adsorption affinity of tea catechins onto polymeric resins: Interpretation from molecular orbital theory. Biochem. Eng. J. 2010, 52, 144–150. [Google Scholar] [CrossRef]
- Dhadge, V.L.; Changmai, M.; Purkait, M.K. Purification of catechins from Camellia sinensis using membrane cell. Food Bioprod. Process. 2019, 117, 203–212. [Google Scholar] [CrossRef]
- Deng, H.; Yi, H.; Tang, X.; Yu, Q.; Ning, P.; Yang, L. Adsorption equilibrium for sulfur dioxide, nitric oxide, carbon dioxide, nitrogen on 13X and 5A zeolites. Chem. Eng. J. 2012, 188, 77–85. [Google Scholar] [CrossRef]
- Ridha, F.N.; Webley, P.A. Entropic effffects and isosteric heats of nitrogen and carbon dioxide adsorption on chabazite zeolites. Micropor. Mesopor. Mat. 2010, 132, 22–30. [Google Scholar] [CrossRef]
- Wang, X.; Yuan, B.; Zhou, X.; Xia, Q.; Li, Y.; An, D.; Li, Z. Novel glucose-based adsorbents (Glc-Cs) with high CO2 capacity and excellent CO2/CH4/N2 adsorption selectivity. Chem. Eng. J. 2017, 327, 51–59. [Google Scholar] [CrossRef]







| Adsorbate | Thermodynamic Temperature (K) | Regression Equation | Qm (mg/g) | KL (mg/L) | Correlation Coefficient (R2) |
|---|---|---|---|---|---|
| Theasinensin C | 295 | y = 0.017x + 1.225 | 40.53 ± 1.55 | 0.016 ± 0.0006 | 0.9623 |
| 305 | y = 0.015x + 2.328 | 43.22 ± 1.22 | 0.012 ± 0.0003 | 0.9712 | |
| 315 | y = 0.016x + 3.026 | 38.65 ± 1.06 | 0.009 ± 0.0001 | 0.9745 | |
| Theasinensin B | 295 | y = 0.019x + 0.565 | 39.85 ± 1.12 | 0.058 ± 0.0011 | 0.9587 |
| 305 | y = 0.017x + 1.126 | 40.98 ± 1.49 | 0.033 ± 0.0009 | 0.9766 | |
| 315 | y = 0.016x + 1.779 | 38.88 ± 1.36 | 0.019 ± 0.0008 | 0.9682 | |
| Theasinensin A | 295 | y = 0.042x + 0.298 | 22.93 ± 1.17 | 0.432 ± 0.0093 | 0.9721 |
| 305 | y = 0.042x + 0.237 | 24.81 ± 1.14 | 0.365 ± 0.0088 | 0.9621 | |
| 315 | y = 0.042x + 0.514 | 20.67 ± 1.01 | 0.253 ± 0.0065 | 0.9521 |
| Adsorbate | Thermodynamic Temperature (K) | Regression Equation | n | KL (mg/L) | Correlation Coefficient (R2) |
|---|---|---|---|---|---|
| Theasinensin C | 295 | y = 0.5988x + 0.357 | 1.685 | 0.016 ± 0.0005 | 0.9968 |
| 305 | y = 0.6233x + 0.225 | 1.556 | 0.012 ± 0.0003 | 0.9979 | |
| 315 | y = 0.6985x + 0.347 | 1.438 | 0.009 ± 0.0001 | 0.9983 | |
| Theasinensin B | 295 | y = 0.4261x + 1.456 | 2.690 | 0.058 ± 0.0016 | 0.9966 |
| 305 | y = 0.5467x + 1.385 | 2.153 | 0.033 ± 0.0011 | 0.9972 | |
| 315 | y = 0.5568x + 0.958 | 1.682 | 0.019 ± 0.0008 | 0.9979 | |
| Theasinensin A | 295 | y = 0.4668x + 1.699 | 2.893 | 0.432 ± 0.012 | 0.9991 |
| 305 | y = 0.4598x + 2.329 | 2.741 | 0.365 ± 0.020 | 0.9981 | |
| 315 | y = 0.4622x + 2.258 | 2.855 | 0.253 ± 0.008 | 0.9995 |
| Adsorbate | Q (mg/g) | ΔH (KJ/mol) | ΔG (KJ/mol) | ||
|---|---|---|---|---|---|
| 295K | 305K | 315K | |||
| Theasinensin A | 8 | 38.8 ± 1.21 | 7.17 ± 0.25 | 7.32 ± 0.28 | 7.68 ± 0.32 |
| 12 | 36.2 ± 1.33 | ||||
| 16 | 34.6 ± 1.25 | ||||
| 20 | 32.5 ± 1.18 | ||||
| 22 | 29.6 ± 0.95 | ||||
| Theasinensin B | 8 | 33.5 ± 1.65 | 5.31 ± 0.11 | 5.68 ± 0.16 | 5.89 ± 0.12 |
| 12 | 31.1 ± 1.03 | ||||
| 16 | 28.9 ± 1.21 | ||||
| 20 | 26.4 ± 1.05 | ||||
| 22 | 24.7 ± 0.88 | ||||
| Theasinensin C | 8 | 25.9 ± 0.75 | 4.36 ± 0.08 | 4.15 ± 0.06 | 3.97 ± 0.03 |
| 12 | 23.4 ± 0.66 | ||||
| 16 | 21.3 ± 0.53 | ||||
| 20 | 18.9 ± 0.26 | ||||
| 22 | 15.1 ± 0.39 | ||||
Publisher’s Note: MDPI stays neutral with regard to jurisdictional claims in published maps and institutional affiliations. |
© 2021 by the authors. Licensee MDPI, Basel, Switzerland. This article is an open access article distributed under the terms and conditions of the Creative Commons Attribution (CC BY) license (https://creativecommons.org/licenses/by/4.0/).
Share and Cite
Zhang, J.; Cui, H.; Xue, J.; Wang, W.; Wang, W.; Le, T.; Chen, L.; Engelhardt, U.H.; Jiang, H. Adsorption Equilibrium and Thermodynamics of Tea Theasinensins on HP20—A High-Efficiency Macroporous Adsorption Resin. Foods 2021, 10, 2971. https://doi.org/10.3390/foods10122971
Zhang J, Cui H, Xue J, Wang W, Wang W, Le T, Chen L, Engelhardt UH, Jiang H. Adsorption Equilibrium and Thermodynamics of Tea Theasinensins on HP20—A High-Efficiency Macroporous Adsorption Resin. Foods. 2021; 10(12):2971. https://doi.org/10.3390/foods10122971
Chicago/Turabian StyleZhang, Jianyong, Hongchun Cui, Jinjin Xue, Wei Wang, Weiwei Wang, Ting Le, Lin Chen, Ulrich H. Engelhardt, and Heyuan Jiang. 2021. "Adsorption Equilibrium and Thermodynamics of Tea Theasinensins on HP20—A High-Efficiency Macroporous Adsorption Resin" Foods 10, no. 12: 2971. https://doi.org/10.3390/foods10122971
APA StyleZhang, J., Cui, H., Xue, J., Wang, W., Wang, W., Le, T., Chen, L., Engelhardt, U. H., & Jiang, H. (2021). Adsorption Equilibrium and Thermodynamics of Tea Theasinensins on HP20—A High-Efficiency Macroporous Adsorption Resin. Foods, 10(12), 2971. https://doi.org/10.3390/foods10122971

