Purification and Characterization of Resistant Dextrin
Abstract
1. Introduction
2. Materials and Methods
2.1. Materials and Reagents
2.2. Resins and Pretreatment
2.3. Preparation of Crude RD
2.4. UF and NF of RD
2.5. Static Decolorization Experiments
2.5.1. Effect of Different Resins
2.5.2. Effects of Time, Temperature, pH, and Initial Sample Concentration on the Decolorization Efficiency
2.6. Dynamic Decolorization Experiments
2.7. Analytical Measurements
2.7.1. Measurement of Turbidity
2.7.2. Measurement of Decolorization Ratio
2.7.3. Measurement of Recovery Ratio
2.7.4. Measurement of Competitive Coefficient
2.8. Comparison of RD before and after Decolorization by D285 Resin
2.9. Comparison of Different Decolorization Approaches
2.10. NMR Spectroscopy
2.11. Characterization of RD
2.11.1. Scanning Electron Microscopy (SEM)
2.11.2. Water Solubility
2.11.3. Thermal Properties
2.11.4. Rheological Properties
2.12. Statistical Analysis
3. Results and Discussion
3.1. UF and NF
3.2. Static Decolorization Test of Ten Resins
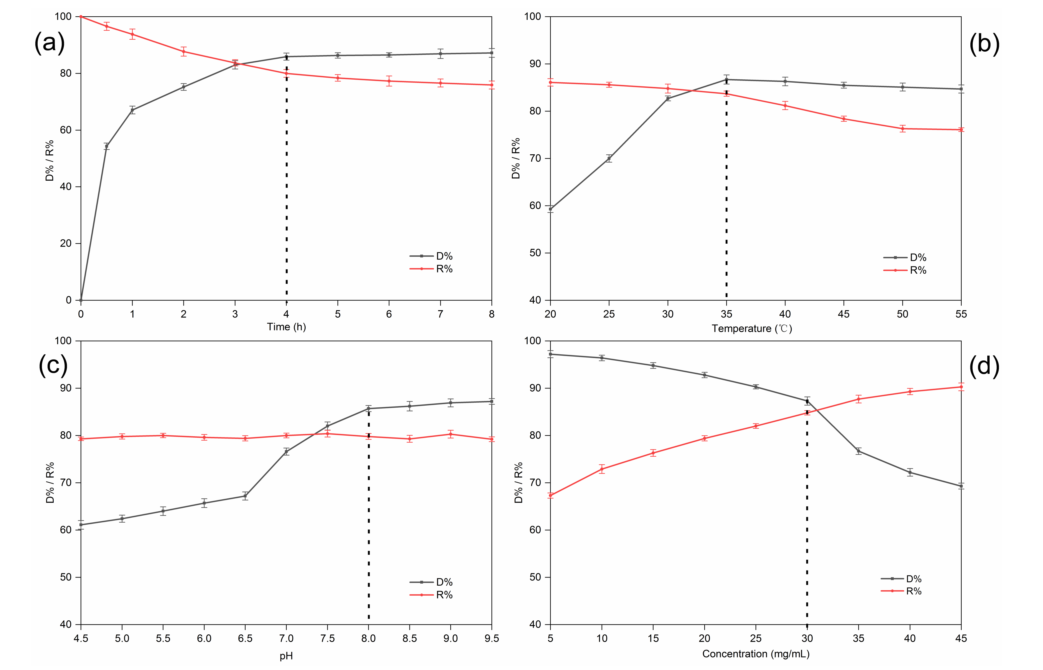
3.3. Effect of Different Factors
3.3.1. Effect of Time
3.3.2. Effect of Temperature
3.3.3. Effect of pH
3.3.4. Effect of Solution Concentration
3.4. Dynamic Decolorization Experiments on the D285 Resin
3.5. Characterization of RD Treated by the D285 Resin
3.6. Comparison of Different Decolorization Methods
3.7. NMR Spectroscopy
3.8. Characterization of RD
3.8.1. Scanning Electron Micrographs
3.8.2. Water Solubility
3.8.3. Thermal Properties
3.8.4. Rheological Properties
4. Conclusions
Author Contributions
Funding
Conflicts of Interest
Ethical Approval
References
- Laurentin, A.; Cardenas, M. Preparation of indigestible pyrodextrins from different starch sources. J. Agric. Food Chem. 2003, 51, 5510–5515. [Google Scholar] [CrossRef] [PubMed]
- Bai, Y.; Shi, Y.C. Chemical structures in pyrodextrin determined by nuclear magnetic resonance spectroscopy. Carbohydr. Polym. 2016, 151, 426–433. [Google Scholar] [CrossRef] [PubMed]
- Huang, Z.; Wang, J.J.; Chen, Y.; Wei, N.; Hou, Y.; Bai, W.; Hu, S.Q. Effect of water-soluble dietary fiber resistant dextrin on flour and bread qualities. Food Chem. 2020, 317, 126452. [Google Scholar] [CrossRef] [PubMed]
- Golon, A.; Gonzalez, F.J.; Davalos, J.Z.; Kuhnert, N. Investigating the thermal decomposition of starch and cellulose in model systems and toasted bread using domino tandem mass spectrometry. J. Agric. Food Chem. 2013, 61, 674–684. [Google Scholar] [CrossRef]
- Agnieszka, G.; Nikolai, K. Unraveling the Chemical Composition of Caramel. J. Agric. Food Chem. 2012, 60, 3266–3274. [Google Scholar]
- Chen, J.; Xiao, J.; Wang, Z.; Cheng, H.; Zhang, Y.; Lin, B.; Qin, L.; Bai, Y. Effects of reaction condition on glycosidic linkage structure, physical-chemical properties and in vitro digestibility of pyrodextrins prepared from native waxy maize starch. Food Chem. 2020, 320, 126491. [Google Scholar] [CrossRef]
- Weil, W.; Weil, R.C.; Keawsompong, S.; Sriroth, K.; Seib, P.A.; Shi, Y.C. Pyrodextrin from waxy and normal tapioca starches: Physicochemical properties. Food Hydrocoll. 2020, 104, 105745. [Google Scholar] [CrossRef]
- Senorans, J.; Ibanez, E.; Cifuentes, A. New trends in food processing. Crit. Rev. Food Sci. Nutr. 2003, 43, 507–526. [Google Scholar] [CrossRef]
- Luo, J.; Guo, S.; Qiang, X.; Hang, X.; Chen, X.; Wan, Y. Sustainable utilization of cane molasses by an integrated separation process: Interplay between adsorption and nanofiltration. Sep. Purif. Technol. 2019, 219, 16–24. [Google Scholar] [CrossRef]
- Su, Z.; Luo, J.; Pinelo, M.; Wan, Y. Directing filtration to narrow molecular weight distribution ofoligodextran in an enzymatic membrane reactor. J. Membr. Sci. 2018, 555, 268–279. [Google Scholar] [CrossRef]
- Vu, T.; LeBlanc, J.; Chou, C.C. Clarification of sugarcane juice by ultrafiltration membrane: Toward the direct production of refined cane sugar. J. Food Eng. 2020, 264, 109682. [Google Scholar] [CrossRef]
- Qiang, X.; Luo, J.; Guo, S.; Cao, W.; Hang, X.; Liu, J.; Wan, Y. A novel process for molasses utilization by membrane filtration and resin adsorption. J. Clean. Prod. 2019, 207, 432–443. [Google Scholar] [CrossRef]
- Susanto, H.; Roihatin, A.; Widiasa, I.N. Production of colorless liquid sugar by ultrafiltration coupled with ion exchange. Food Bioprod. Process. 2016, 98, 11–20. [Google Scholar] [CrossRef]
- Hamachi, M.; Gupta, B.B.; Ben Aim, R. Ultrafiltration: A means for decolorization of cane sugar solution. Sep. Purif. Technol. 2003, 30, 229–239. [Google Scholar] [CrossRef]
- Liang, X.; Zhong, Y.; Zhu, S.; Zhu, J.; Yuan, P.; He, H.; Zhang, J. The decolorization of Acid Orange II in non-homogeneous Fenton reaction catalyzed by natural vanadium-titanium magnetite. J. Hazard. Mater. 2010, 181, 112–120. [Google Scholar] [CrossRef]
- Hassan, H.; Hameed, B.H. Fe–clay as effective heterogeneous Fenton catalyst for the decolorization of Reactive Blue 4. Chem. Eng. J. 2011, 171, 912–918. [Google Scholar] [CrossRef]
- Konsowa, A.H.; Ossman, M.E.; Chen, Y.; Crittenden, J.C. Decolorization of industrial wastewater by ozonation followed by adsorption on activated carbon. J. Hazard. Mater. 2010, 176, 181–185. [Google Scholar] [CrossRef]
- Liang, L.; Liu, G.; Yu, G.; Song, Y.; Li, Q. Simultaneous decoloration and purification of crude oligosaccharides from pumpkin (Cucurbita moschata Duch) by macroporous adsorbent resin. Food Chem. 2019, 277, 744–752. [Google Scholar] [CrossRef]
- Zhang, Y.; Chen, Z.; Huang, Z.; Wu, Z.; Xu, J.; Wang, K. A comparative study on the structures of Grifola frondosa polysaccharides obtained by different decolourization methods and their in vitro antioxidant activities. Food Funct. 2019, 10, 6720–6731. [Google Scholar] [CrossRef]
- Yang, R.; Meng, D.; Song, Y.; Li, J.; Zhang, Y.; Hu, X.; Ni, Y.; Li, Q. Simultaneous decoloration and deproteinization of crude polysaccharide from pumpkin residues by cross-linked polystyrene macroporous resin. J. Agric. Food Chem. 2012, 60, 8450–8456. [Google Scholar] [CrossRef]
- Gao, Q.; Duan, Q.; Wang, D.; Zhang, Y.; Zheng, C. Separation and purification of gamma-aminobutyric acid from fermentation broth by flocculation and chromatographic methodologies. J. Agric. Food Chem. 2013, 61, 1914–1919. [Google Scholar] [CrossRef] [PubMed]
- Zhu, Z.; Luo, J.; Ding, L.; Bals, O.; Jaffrin, M.Y.; Vorobiev, E. Chicory juice clarification by membrane filtration using rotating disk module. J. Food Eng. 2013, 115, 264–271. [Google Scholar] [CrossRef]
- Ghorai, S.; Pant, K.K. Equilibrium, kinetics and breakthrough studi es for adsorption of fluoride on activated alumina. Sep. Purif. Technol. 2005, 42, 265–271. [Google Scholar] [CrossRef]
- Xu, X.; Chen, S.; Wu, Q. Surface molecular imprinting on polypropylene fibers for rhodamine B selective adsorption. J. Colloid Interface Sci. 2012, 385, 193–201. [Google Scholar] [CrossRef] [PubMed]
- Han, X.; Kang, J.; Bai, Y.; Xue, M.; Shi, Y.C. Structure of pyrodextrin in relation to its retrogradation properties. Food Chem. 2018, 242, 169–173. [Google Scholar] [CrossRef]
- Geerkens, C.H.; Matejka, A.E.; Schweiggert, R.M.; Kammerer, D.R.; Carle, R. Optimization of polyphenol recovery from mango peel extracts by assessing food-grade adsorbent and ion exchange resins and adsorption parameters using a D-optimal design. Eur. Food Res. Technol. 2015, 241, 627–636. [Google Scholar] [CrossRef]
- Heumann, K.; Baier, K. Chloride distribution coefficient on strongly basic anion-exchange resin: Dependence on co-ion in alkali fluoride solutions. Chromatographia 1982, 15, 701–703. [Google Scholar] [CrossRef]
- Liu, J.; Luo, J.; Sun, Y.; Ye, H.; Lu, Z.; Zeng, X. A simple method for the simultaneous decoloration and deproteinization of crude levan extract from Paenibacillus polymyxa EJS-3 by macroporous resin. Bioresour. Technol. 2010, 101, 6077–6083. [Google Scholar] [CrossRef]
- Xiong, Q.; Zhang, Q.; Zhang, D.; Shi, Y.; Jiang, C.; Shi, X. Preliminary separation and purification of resveratrol from extract of peanut (Arachis hypogaea) sprouts by macroporous adsorption resins. Food Chem. 2014, 145, 1–7. [Google Scholar] [CrossRef]
- Aksu, Z.; Tatlı, A.İ.; Tunç, Ö. A comparative adsorption/biosorption study of Acid Blue 161: Effect of temperature on equilibrium and kinetic parameters. Chem. Eng. J. 2008, 142, 23–39. [Google Scholar] [CrossRef]
- Greluk, M.; Hubicki, Z. Comparison of the gel anion exchangers for removal of Acid Orange 7 from aqueous solution. Chem. Eng. J. 2011, 170, 184–193. [Google Scholar] [CrossRef]
- Wang, Q.; Ying, T.; Jahangir, M.M.; Jiang, T. Study on removal of coloured impurity in soybean oligosaccharides extracted from sweet slurry by adsorption resins. J. Food Eng. 2012, 111, 386–393. [Google Scholar] [CrossRef]
- Caetano, M.; Valderrama, C.; Farran, A.; Cortina, J.L. Phenol removal from aqueous solution by adsorption and ion exchange mechanisms onto polymeric resins. J. Colloid Interface Sci. 2009, 338, 402–409. [Google Scholar] [CrossRef] [PubMed]
- Carmona, M.; Lucas, A.; Valverde, J.; Velasco, B.; Rodriguez, J. Combined adsorption and ion exchange equilibrium of phenol on Amberlite IRA-420. Chem. Eng. J. 2006, 117, 155–160. [Google Scholar] [CrossRef]
- Fujiwara, K.; Ramesh, A.; Maki, T.; Hasegawa, H.; Ueda, K. Adsorption of platinum (IV), palladium (II) and gold (III) from aqueous solutions onto L-lysine modified crosslinked chitosan resin. J. Hazard. Mater. 2007, 146, 39–50. [Google Scholar] [CrossRef] [PubMed]
- Kammerer, J.; Carle, R.; Kammerer, D.R. Adsorption and ion exchange: Basic principles and their application in food processing. J. Agric. Food Chem. 2011, 59, 22–42. [Google Scholar] [CrossRef] [PubMed]
- Bai, Y.; Cai, L.; Doutch, J.; Gilbert, E.P.; Shi, Y.C. Structural changes from native waxy maize starch granules to cold-water-soluble pyrodextrin during thermal treatment. J. Agric. Food Chem. 2014, 62, 4186–4194. [Google Scholar] [CrossRef]
- Zhang, Y.; Xie, Y.-F.; Guo, Y.-H.; Cheng, Y.-L.; Qian, H.; Chen, Y.; Yao, W.-R. The mechanism about the resistant dextrin improving sensorial quality of rice wine and red wine. J. Food Process. Preserv. 2017, 41, e13281. [Google Scholar] [CrossRef]









| Resin | Appearance | Skeleton Material | Functional Group | Wet True Density (g/mL) | Total Exchange Capacity (dry, mmol/g) | Sized Bead Content after Grinding (%) |
|---|---|---|---|---|---|---|
| LKA98 | Canary yellow | Acrylic acid | -N(CH3)3 | 1.03–1.10 | ≥4.6 | ≥95 |
| D280 | Light yellow | Styrene | -N(CH3)3 | 1.06–1.11 | ≥3.0 | ≥90 |
| D285 | Canary yellow | Styrene | -N(CH3)3 | 1.03–1.10 | ≥6.4 | ≥95 |
| D941 | Milky white | Acrylic acid | -N(CH3)2 | 1.07–1.12 | ≥5.0 | ≥95 |
| D301R | Slight yellow | Styrene | -N(CH3)2 | 1.03–1.07 | ≥4.6 | ≥95 |
| D301T | Slight yellow | Styrene | -N(CH3)2 | 1.03–1.07 | ≥4.6 | ≥95 |
| D380 | Slight yellow | Acrylic acid | -NH2 | 1.03–1.10 | ≥6.4 | ≥90 |
| D392 | Yellow | Styrene | -NH2 | 1.05–1.10 | ≥4.6 | ≥95 |
| D315 | Slight yellow | Acrylic acid | -NH2 | 1.06–1.12 | ≥6.4 | ≥95 |
| Samples | DP = 1 | DP = 2 | DP ≥ 3 |
|---|---|---|---|
| RD | 4.34% | 1.24% | 94.42% |
| RD-1 | 2.45% | 5.53% | 92.02% |
| RD-2 | 3.01% | 6.05% | 90.94% |
| Parameter | Untreated Sample | Treated Sample |
|---|---|---|
| Color (A420) | 0.821 ± 0.029 | 0.433 ± 0.014 |
| Turbidity (NTU) | 139.20 ± 3.01 | 2.70 ± 0.18 |
| Volume (BV) | Flow Rate (BV/h) | ||||
|---|---|---|---|---|---|
| 0.5 | 1.0 | 2.0 | 3.0 | 4.0 | |
| 0.5 | 0.00 | 0.00 | 0.00 | 2.41 | 2.67 |
| 1.0 | 3.34 | 0.15 | 0.19 | 2.74 | 1.78 |
| 1.5 | 1.29 | 0.95 | 0.85 | 2.44 | 2.32 |
| 2.0 | 2.27 | 2.10 | 1.63 | 2.73 | 2.75 |
| 2.5 | 3.04 | 2.70 | 2.44 | 3.35 | 3.52 |
| 3.0 | 3.98 | 3.61 | 2.75 | 3.56 | 4.73 |
| 3.5 | 4.56 | 4.37 | 3.18 | 4.11 | 11.63 |
| 4.0 | 5.07 | 4.39 | 4.37 | 5.72 | 17.08 |
| 4.5 | 5.56 | 6.50 | 7.33 | 8.89 | 16.25 |
| 5.0 | 5.89 | 8.49 | 8.03 | 11.37 | 11.44 |
| 5.5 | 6.88 | 10.68 | 9.98 | 11.12 | 11.49 |
| 6.0 | 10.45 | 19.44 | 13.15 | 13.08 | 9.91 |
| 6.5 | 16.99 | 18.35 | 12.37 | 12.30 | 8.44 |
| 7.0 | 17.44 | 15.68 | 11.12 | 10.52 | 8.41 |
| 7.5 | 14.40 | 14.07 | 11.24 | 10.04 | 8.41 |
| 8.0 | 12.68 | 12.13 | 11.12 | 9.20 | 7.83 |
| 8.5 | 11.35 | 12.22 | 10.03 | 10.90 | 7.24 |
| 9.0 | 11.54 | 13.22 | 10.49 | 9.49 | 7.14 |
| 9.5 | 12.02 | 13.12 | 10.47 | 10.81 | 7.08 |
| 10.0 | 13.69 | 12.23 | 11.71 | 11.88 | 6.57 |
| Methods | R% | D% | Molecular Weight (kDa) | |
|---|---|---|---|---|
| Before Decolorization | After Decolorization | |||
| H2O2 | 36.70 ± 1.27 C | 72.65 ± 1.17 B | 2.69 ± 0.13 | 1.92 ± 0.15 B |
| Activated carbon | 54.10 ± 1.04 B | 85.50 ± 1.90 A | 2.66 ± 0.17 A | |
| Present method | 85.23 ± 0.42 A | 86.26 ± 0.63 A | 2.71 ± 0.09 A | |
Publisher’s Note: MDPI stays neutral with regard to jurisdictional claims in published maps and institutional affiliations. |
© 2021 by the authors. Licensee MDPI, Basel, Switzerland. This article is an open access article distributed under the terms and conditions of the Creative Commons Attribution (CC BY) license (http://creativecommons.org/licenses/by/4.0/).
Share and Cite
Zhen, Y.; Zhang, T.; Jiang, B.; Chen, J. Purification and Characterization of Resistant Dextrin. Foods 2021, 10, 185. https://doi.org/10.3390/foods10010185
Zhen Y, Zhang T, Jiang B, Chen J. Purification and Characterization of Resistant Dextrin. Foods. 2021; 10(1):185. https://doi.org/10.3390/foods10010185
Chicago/Turabian StyleZhen, Yuanhang, Tao Zhang, Bo Jiang, and Jingjing Chen. 2021. "Purification and Characterization of Resistant Dextrin" Foods 10, no. 1: 185. https://doi.org/10.3390/foods10010185
APA StyleZhen, Y., Zhang, T., Jiang, B., & Chen, J. (2021). Purification and Characterization of Resistant Dextrin. Foods, 10(1), 185. https://doi.org/10.3390/foods10010185

