Next Article in Journal
What Drives Faculty Publication Citations in the Business Field? Empirical Results from an AACSB Middle Eastern Institution
Next Article in Special Issue
Adoption of Transparency and Openness Promotion (TOP) Guidelines across Journals
Previous Article in Journal / Special Issue
Building National Open Science Cloud Initiatives (NOSCIs) in Southeast Europe: Supporting Research and Scholarly Communication
 
 
Font Type:
Arial Georgia Verdana
Font Size:
Aa Aa Aa
Line Spacing:
Column Width:
Background:
Article

Scholars’ Domain of Information Space

by
Danijela Pongrac
1,*,
Mihaela Banek Zorica
2 and
Roman Domović
1
1
Department of Computer Science, Zagreb University of Applied Science,10000 Zagreb, Croatia
2
Department of Information and Communication Sciences, Faculty of Humanities and Social Sciences, University of Zagreb,10000 Zagreb, Croatia
*
Author to whom correspondence should be addressed.
Publications 2022, 10(4), 43; https://doi.org/10.3390/publications10040043
Submission received: 9 September 2022 / Revised: 9 November 2022 / Accepted: 14 November 2022 / Published: 22 November 2022

Abstract

This article addresses Croatian scholars’ information behavior and how they use technology to acquire information in three areas of their work: teaching, research, and administrative activities. Our study aims to find which communication channels scholars utilize to find and share knowledge. Are they using communication channels targeting a broader audience, i.e., formalexplicit communication, or those targeting a narrower one, i.e., informalimplicit communication? The questionnaire used included four questions regarding scholar activities, with nine possible communication channels, scored on a seven-point Likert scale. Considering many channels for each area of activity, a reduction was made through Principal Component Analysis (PCA), to determine latent components in various channels. In finding information for teaching activities, the main communication channel is informal and implicit, while for research and administrative activities, it is formal and explicit. PCA shows a distinction between social and technical domains of science in terms of how scholars collect material for administrative tasks. A further communication channel is reduced to two factors for all questions, where the first factor has formalexplicit and the second has informalimplicit characteristics. This work is part of a larger study aimed at determining the mechanisms of information diffusion within academic institutions, utilizing the Information space model.

1. Introduction

Given the development of modern technologies and the availability of various tools and modalities of communication, higher education institutions (HEI) can develop and improve ways to exchange information more effectively between their scholars and other stakeholders. Here the emphasis is on scholars and the dominant forms of channel communication from which they explore information for their three basic activities: teaching, research, and administration. Given that scholars have a constant need for information, it is necessary to check whether there are certain differences between different disciplines; in this case between the social and technical fields.
This paper seeks to discover the modalities of taking over and disseminating information through an institution; the way it is disseminated determines the strength of the diffusion of the information itself. In this sense, we are guided by the assumption of the Boisot Information space model (I-space) [1]: the larger the population to which information is directed, the weaker the diffusion, because information is not sufficiently widespread in space. The model also assumes that when the information is well coded and abstract, diffusion is a prerequisite because the explicitness of the content is achieved. However, on the other hand, if there is a large population, the information often does not achieve good enough diffusion.
Accordingly, we explore which communication channels scholars use when collecting information in the three basic activities of academic work. The I-space model divides information and knowledge from a non-codified and non-diffuse, i.e., a tacit and narrow area, to a codified and diffuse, i.e., explicit wider scope. Considering the framework of I-space and the most common communication channels of information gathering, it is possible to determine the characteristics of individual communication channels, and, following the theory, to determine the prevailing communication channel for a particular activity of academic work. The focus of this research is on the most common forms of communication channel for the transmission of information in the context of HEI, which are divided into explicit and implicit forms of information diffusion given the framework of the I-space conceptual model.
For better understanding and conceptualization, we provide a short overview of the theoretical model of I-space with an emphasis on the dimension of knowledge and communication channels. Furthermore, the general communication features in HEI are presented, regarding formal and informal forms, with special emphasis on the specifics of the Community of Practice—which has the characteristics of both forms—as well as the vertical and horizontal directions of communication. In the conducted research, a descriptive analysis of the obtained results was made, divided into three activity areas for finding information, and one concerning sharing information, regarding the field of science that scholars belong to. Given the many components for each area of activity, a reduction of communication channels was made through Principal Component Analysis (PCA) to identify logical combinations of components and to give a better understanding of the interrelationships between them. Data reduction resulted in two factors within each activity and field of science, which were divided according to their characteristics into explicitformal and implicitinformal communication channels.

2. Model of I-Space and Communication Forms in HEI

Boisot’s I-space model is a three-dimensional entity that explains the forces that direct the flow and distribution of knowledge within a given space [1]. The three dimensions relate to codification, abstraction, and diffusion processes, which drive the flow of data and are considered crucial for information processing. Together, they form the three features of I-space, its conceptual framework, which can explore the behavior of information flow to understand the creation and dissemination of knowledge within selected populations. Codification and abstraction are more subjectively related because abstraction represents a cognitive strategy that reduces and optimizes content, while codification simplifies form. By researching the effects of forces that shape data flow patterns in different parts of I-space, they provide insight into how knowledge is gradually built in the individual’s head, in written records and documents and also in organizations, and how long-term migration of knowledge from one part of I-space to another can occur [1]. As the authors of [2] emphasize, the I-Space model is an analytical tool for cultural and institutional analysis, and Boisot approached it uniquely, in terms of institutional analysis based on information. In other words, I-space is a tool for understanding different flows of different types of information, which helps understand the creation and dissemination of information within groups of people. Therefore, I-space at the individual level can also explain the construction of the domain of information from identification, comprehensibility and usability, to structuring and organising data that are part of personal information management, with different forms of communication channels intertwined in all these parts. By considering the systemic relationship between codification and diffusion, which has wide implications on psychological and sociological processes, reference [1] lists four dimensions of knowledge concerning different communication situations, the population in question and the availability of technology.
The first considers personal knowledge, which is often difficult to articulate and is most often communicated implicitly through examples, it is inaccessible because it is related to a particular context. Since there is no common context in personal knowledge, there is no common code, which is needed for transmission. Most implicit or tacit knowledge is uncodified and can be fully shared only with those directly present, which, except for in video conferencing, is usually a limited number, so it is also undiffused (insights, experience, face-to-face conversation). The second, proprietary knowledge, refers to structured knowledge that is considered codified and un-diffused. According to [3], it is ready for transmission but is intentionally limited to a small population, and only those who know about the existence of this knowledge can access it (institutional cloud, intranet, closed database). However, if such knowledge proves to be useful, it has value and interest in further transmission. The next is public knowledge, which refers to knowledge that is structured, verified and recorded through different types of media, so it is codified. This type of knowledge is widely spread, diffused, and is most often unrelated to its origin In addition, it is mostly impersonal (libraries, open databases, social networks, wikis, institutional internet). The last is common-sense knowledge, which is less codified but most widespread because it is tied to a particular context, thus embedded in social values and beliefs, therefore it is codified but undiffused.
According to the four dimensions, knowledge ranges from completely uncoded and non-diffuse, i.e., personal, to different levels of coding and abstractness, which depend on the efficiency of transmission, i.e., diffusion. Each of these knowledge dimensions can be put into an appropriate form of communication channel, as well as the context within which it is established and built. Therefore, no matter how high the codification and abstraction of information, the domain and the way information is directed can make diffusion more difficult. Therefore, as an assumption of the model, it determines how the population size affects the strength of information diffusion. That is, if the population range is larger, the diffusion is weaker, while if the population range is smaller, the diffusion is stronger [1]. Criticisms of Boisot’s model state that codified and uncodified are the only two discrete categories of knowledge, and as such the model is overtly simplified from the perspective of knowledge [4,5]. Boisot himself states that the presentation of the model seems simple, but it is only seemingly so. This is because there are different curves of the flow of information and knowledge in communication situations, from uncodified to codified, where various degrees of abstraction are included [1].
Every function and activity in HEI includes some form of direct or indirect communication where effective communication channels, from the organizational to staff level, are important for disseminating information. Communication channels have a vertical and horizontal line, i.e., from superiors to lower levels and vice versa and between employees at the same hierarchical level. Traditionally HEI relies on bottom-up vertical communication regarding projects and collaboration outside of the institution [6]. Furthermore, [6] explains the establishment of structured relationships as a new type of relationship with external stakeholders, which include specific forms of communication through network events, platforms for cooperation, and partnership agreements between the HEI and various external stakeholders, with the active involvement of academics through teaching and research activities [6]. Associated with new forms of structural relations, [7] explores the Third Mission concept, which integrates a new model of communication as a basis for knowledge transfer through joint activities of academics and external stakeholders. If we look at the organization, there are several types of communication channels, of which the most common are verbal, nonverbal, and written [8]. Verbal communication refers to speech through everyday activities, most often without documentation unless it is about formal meetings and presentations. Nonverbal communication involves the use of body language to send signals such as happiness, contentment, anger, worry, fear, etc. These two types of communication are crucial in understanding and transmitting tacit knowledge among employees. Written communication refers to explicit knowledge and includes codified information, including letters, correspondence, regulations, etc. Written communication is also a formal communication channel that allows longer message processing and possible reuse, such as notices, announcements, manuals, research, etc. In addition to the above channels, an another means of communication can be mentioned in personal communication, or “face-to-face”, which includes primarily verbal and nonverbal forms and is one of the “richest” communication channels that can be used within higher education [9]. The greatest advantage of this communication lies in the characteristics of personality and reciprocity. With a wider circle of employees, it improves speaking, writing, and presentation skills, and the interaction between employees makes it easier to build relationships and greater trust. Group-level communication occurs through departments, project teams, working groups, various committees, and stakeholders. The focus at these levels is on sharing information, discussing different issues and tasks, holding discussions, solving problems, and building consensus. Communication at the organisational level focuses on issues such as vision and mission, statutes, regulations, policies, new initiatives, and organisational knowledge and performance. This communication often has a cascading approach where the administration communicates with the staff through hierarchical channels. Since Web 2.0 has introduced new concepts and tools that are able to operationalize a more society-oriented vision, using these tools it is possible to create, codify, organize and share knowledge, but also spread social activity through personal networks and collaboration in creating new and organizing existing knowledge. This encourages and enables people to achieve greater efficiency through knowledge sharing and virtual interaction through collaboration tools, which has a positive impact on personal knowledge processes [10]. Today, digital communication channels have become effective tools for direct interaction among all actors in HEI. As [11] points out, online communication channels are flexible and allow institutions to present customized information through different devices and for different purposes. Costs associated with online communication channels are independent of the amount of information, distance, or diffusion that is aimed for. In the Croatian example, educational public institutions have a supporting infrastructure, as well as the possibility of integrating cloud technologies by the national academic and research network. The use of open and free tools for communication has intensified because of the pandemic in the last two years, but it has also progressed in the flexibility of the various channels and their effectiveness. We distinguish the most common communication online channels in Croatian HEI: public websites; intranet; cloud infrastructure and software (e.g., Office 365, G-suite); learning management system (LMS); an open database and library; social networks (e.g., Facebook, Twitter, Instagram, YouTube); professional and academic networks (e.g., Linkedin, Academia.edu, ResearchGate, Mendeley); video channels (e.g., YouTube, Teams, Zoom, Meet, Skype); online communities (alumni, informal groups); and instant messaging (e.g., WhatsApp, Viber, Discord).
Furthermore, each organisation consists of some form of a formal and informal network. The term formal structure is used to distinguish public organizational schemes, policies, regulations, and formal hierarchical procedures from non-formal structures such as norms, values, and social groups. Given the characteristics of a formal network, modes of action are easier to show and follow because they are open and public. While hidden or informal networks can be those that build trust between individuals, real sources of influence and power can also be identified through communication channels, which can also be associated with certain negative characteristics: inefficiency, corrupt practices, etc. [12]. Thus, communication networks in higher education institutions can be defined through two groups: formal and informal. Common formal and informal communication channels using new technologies include institution portals and various electronic media, mobile technologies, the cloud, intranet, social channels, video conferencing, blogs, instant messaging podcasts, chats, system wiki, etc.
Formal communication channels, whether written or oral, usually transmit information such as goals, policies, and procedures, which correspond to the set hierarchy. That is, official information through various channels goes to the staff of the next level. This includes meetings of departments, institutions, board meetings, all workers, or working group meetings to enforce organisational rules and regulations. The direction in which formal communication occurs also depends on the structure of the organisation itself, but it most often occurs through two generally different directions: vertical and horizontal [8]. Vertical communication can move down a hierarchy of an organisation or upward, i.e., from a lower organisation to a higher one. Canary and McPhee [8] identify several general purposes of downward communication which are most present within an organisation: the implementation of goals, strategies and tasks; job instructions; procedures and practices; and performance feedback. Diagonal or horizontal communication occurs among employees at different levels and in different functions. According to [8], horizontal communication falls into some of the following categories: problem-solving within the department; coordination between departments; and advising staff through relevant departments. It is important to emphasize how horizontal communication flows affect the improvement of coordination of activities in a certain level, which allows departments to work with other departments without the need to monitor channels up and down. Many HEI incorporate horizontal communication in the form of working groups, committees, liaison staff, or matrix structures to facilitate such coordination. Ideally, the organisational structure should provide communication flows up and down with horizontal communication, i.e., communication should go in all directions through a formal hierarchy.
Informal communication does unofficially reflect specific channels, as it mostly develops outside the hierarchical structure. It is therefore important because it arises from the social and personal interests of employees and not from the formal requirement of organisational communication. These types of communication channels include social networks, as well as certain informal leisure groups, professional clubs, etc., where the climate is relaxed and pleasant. In addition, through informal communication that occurs within the organisation, not only can the topics of meetings or encounters be discussed spontaneously, but also wider public and social topics. Furthermore, informal or direct types of communication according to [13] are not sufficiently researched in teaching activities, especially through different forms of pedagogical communication between students and professors, considering different multi-channel communication methods.
As knowledge sharing involves the activity of transferring or disseminating knowledge from one person to another, to a group of people, or to an entire organization, information and knowledge from the personal domain are disseminated and linked to the knowledge of a team, department, or organisation. Therefore, the creation or collection of knowledge may come from an individual doing it for an organization, or some groups within that organization, such as a Community of Practice (CoP), yet as [14] point out, it all takes down to on a personal level, where almost everyone performs some activities of creating, collecting and codifying knowledge in the domain of their work. According to [15], values for scholars within the CoP are visible through the following: sharing and accumulating concrete knowledge to solve specific teaching or research problems; building strong links with other academics who possess diverse knowledge, and the ability and skills to build normalized channels for tacit knowledge sharing at a high level; and building an academic reputation in a research field to fulfil one’s own and societal values through a contribution to knowledge. Thus, CoP can be characterized more as informal structures with unclear membership and a fluid decision-making process, created by people who share the same interests and a common set of values [16].
In a network, knowledge sharing depends not only on the motivation of individuals to share their knowledge and on the position someone has in the network, but also on the ability to absorb and process knowledge flowing through the network. The effectiveness of knowledge sharing depends on the organisational culture, especially organisational trust. If organisational trust is very low, people will prefer to accumulate knowledge instead of sharing knowledge [15].
Scholars are constantly looking for information because they have a need for a broad knowledge base, with certain differences between different disciplines. The domain context is essential, and it is difficult to make generalizations because scholars from different fields differ in terms of information behavior [17]. The author further states the basic concepts of information behavior that prove to be important for research and relate to the type of information, search context, relevance, prominence, and information overload.
In this sense, the need for information is associated with certain characteristics of the construction of information domains, which relate to the invention, use, and further diffusion of information. Given how information is found and accessed, the influence also exists in the way of communication modalities inside and outside the institution. From the personal level, from informal and formal groups to the institution as a whole, i.e., public communication, each context has its differences, as presented earlier. In addition, within each context, there is an explicitly tacit form of information diffusion, which is never in the same proportion. Thus, for example, on the personal level, the tacit form prevails, while in the public space of the institution or organisational level, the explicit form prevails.
Given the characteristics of a communication channel, we can determine whether it has a narrow or wide range, and assess the achievement of the diffusion criteria. The intention is for the questionnaire to test an assumption of the I-space model, which states that the larger the target population is, the weaker the diffusion [1]. We examine the strength of diffusion using two established assumptions based on the model assumption and the included communication channels in the survey:
  • If the dominant mode of communication is an implicit–informal form, diffusion is stronger because a smaller circle of people is involved;
  • If the dominant mode of communication is an explicit–formal form directed towards a larger population, the diffusion is weaker.

3. Materials and Methods

This study analyzes the behavior of the scholars through a survey questionnaire, which aims to gain insight into the types of communication channels through which they collect and share information. A link to a survey questionnaire was sent to 383 employees that are listed on websites from seven public polytechnics in Croatia, which are, among other fields, in the technical and social fields of science. By the technical field, we mean the scientific fields of computing and mechanical and electrical engineering, while the social field refers to economics and informatics. A survey was entirely completed by 125 (N) respondents, which was 32% of the sample. Part of the survey questionnaire, regarding communication channels, had 4 questions on the ordinal scale with 9 components per question, with a scale of 7 possible answers (Table 1), [Supplementary Materials]. The components for all questions were the same, except for component 9, where for questions 15 and 16 it refers to libraries and databases, and for questions 17 and 18, where it refers to email. The components, i.e., communication channels, were identified by the authors based on the literature [8,10,11] and personal experience. In Table 2, the 7 possible answers are shown, which include an approximate percentage so that the respondents could determine the answer more precisely. In the following representations, abbreviations are used for each component and answer (Table 1 and Table 2).
To show the differences between the two fields of science, the responses on the scale were summarized, i.e., the frequencies were summed, to better see the end values and enable a simpler comparison. Answers that refer to 1, 2, and 3 on the scale represent the lowest use and refer to about 30% or less. The answers that refer to 4 on the scale, represent medium values and refers to between 40% and 60%. Answers that refer to 5, 6, and 7 on the scale represent the most frequent use and relate to about 70% or more.
The collected data were processed using the Excel spreadsheet tool and SPSS program for statistical processing. Frequencies, percentages, and the median were used in the descriptive analysis, while in this paper the results are presented in percentages. Considering a large number of channels for each area of activity, a reduction was made through Principal Component Analysis (PCA) to determine new factors to find the latent component in various communication channels and to discover which type of communication is most represented in each activity and with a distinction between science fields.
Table 3 shows the coefficients of internal consistency among the items, i.e., how much the set of items of each question is closely related as a group. Cronbach alpha (α) provides a coefficient of inter-item correlations, that is, the correlation of each item with the sum of all the other items. It is the average correlation among all the items in question [18]. The alpha coefficient (α) is considered acceptable if it is greater than 0.70. Given that this research aims to discover the dominant mode of communication channel for finding information, with the obtained alpha coefficient values (Table 3), we can confirm that the set of components in the four questions has sufficient internal consistency and is reliable for further processing.

4. Results

4.1. Finding Information in the Area of Teaching Activities

Figure 1 shows the percentages of the responses of all respondents (n = 125) to the statements for question 15, which queries through which channels scholars most often find information for teaching activities. The components for question 15 are presented in Table 1.
Respondents (26.4%) mostly found information related to teaching in conversations with colleagues, which may indicate informal and implicit (tacit) forms of finding the necessary information. The intranet allows frequent retrieval of information (22.4%), which agrees with the common practice, according to the author’s experience, of placing information about subjects, teaching calendars, etc., in that channel of communication. As an occasional possibility for finding teaching activity information, the respondents chose formal groups (28.0%), public internet institutions (24.8%), and informal groups (15.2), (21.6%). The cloud and its services are represented never or infrequently (24.0%), which corresponds with the results of other technologies based on the cloud and are also poorly represented as a diffusion channel. LMS (39.2%), social networks (36.8%), as well as libraries (23.2%), are the worst represented as a source of information needed for teaching, i.e., these percentages represent the “never” category. The search for information through databases or libraries in this sample shows that there is very little or no use for them in the teaching process, while tacit and informal channels of communication are more present. Is it because polytechnics are declared as higher professional schools, so that information for teaching activities is in the narrower professional groups, both formal and informal, through direct communication?
Table 4 shows the percentages of answers to question 15, concerning the scholars’ affiliation to the technical (T, n = 64) or social (S, n = 61) field of science. Values with a difference of less than 10% are marked in gray, values with a difference of between 10 to 15% are in black, while bold values show a difference of more than 15% between areas.
The results indicate that there are certain differences within the conversation channel; the technical field uses it to a greater extent, while the social area uses the channels of formal groups and the internet more to find information for teaching activities. This may indicate that the technical field finds necessary information in more implicit and less formal ways, as communities of practice and internet portals offer information on specific areas of expertise, for example, related to a specific programming language, general programming, etc.

4.2. Finding Information for the Area of Scientific Activities

Figure 2 shows the percentages of the answers to question 16; the channels through which teachers most often find information for research activities. The figure shows the answers of all respondents (n = 125). The components for question 16 are presented in Table 1.
Information related to scientific production scholars found that 19.2% mostly or always found information through databases and libraries, i.e., as formally explicit forms, and occasionally in conversations with colleagues (20.8%), i.e., as an informally tacit form. Informal groups are not represented here, or at least very rarely. In addition, within this sample, we can assume that the cloud and related technologies are the least used.
Table 5 shows the percentages of answers to question 16, concerning the scholars’ affiliation to the technical (T, n = 64) or social (S, n = 61) field of science.
The results indicate that there are certain differences in the use of the institution’s internet channel and databases or libraries between the fields; the social field uses it to a greater extent than technical field to find information for scientific activities. All other statements indicate no major differences between the social and technical fields.

4.3. Finding Information for the Area of Administrative Activities

Figure 3 shows the percentages of the answers to question 17; the channels through which teachers most often find information for administrative tasks. The figure shows the answers of all respondents (n = 125). The components for question 17 are presented in Table 1.
For the needs of institutional and administrative work, respondents mostly (28.8%) collect information via email and often (25.6%) through conversation with colleagues and within formal groups (21.6%). Social networks, LMS, and the cloud are the least used. According to the results of this sample, it is obvious that email still has primacy in business communication, although there are various other possibilities for exchanging such information, such as the cloud, which offers significantly higher modalities and platforms for this type of communication, for example, the DMS (Document Management System).
Table 6 shows the answers to question 17, concerning the scholars’ affiliation to the technical (T, n = 64) or social (S, n = 61) field of science.
The results indicate that there are noticeable differences within the use of the institution’s internet and intranet, and minor differences in the databases or libraries channel; the social field uses it to a greater extent than technical field to find information for administrative activities. In all other components, the use of communication channels shows no major differences.

4.4. Sharing Official Information within the Institution

Figure 4 shows the percentages in the answers to question 18, i.e., the channels through which scholar most often share or forward formal information within their institution. The figure shows answers of all respondents (n = 125). The components for question 18 are presented in Table 1.
The dissemination of information related to formal activities within the institution is always (34.4%) or mostly (29.6%) forwarded by email. If the information is received in some other way, the results of this sample show that, to the greatest extent, the information is forwarded by email. According to [19], the information sent and received takes different forms in accordance with the increasing methods of communication, but also customs, habits, and expectations. Given the long-term use of email, we can say that it is the main and basic form of both business and private communication. Often, transfer of information occurs through conversation (23.2%) or formal groups (20.0%), i.e., through different types of meetings, which most often include formal and informal conversation. It is to be expected that within this context, institutional formal groups are the generators of such information, but they are not the main diffuser. Thus, in addition to explicit form, i.e., formal communication, the implicit form is used to a greater extent. Other components that are never used by most respondents are the cloud and related technologies, such as LMS and social networks. Given the wide possibilities of using the cloud, which combine with real-time communication services, and given the rise in working from home in the last two years, the results in this sample show that this form is not adequately included in the daily work of scholars.
Table 7 shows the answers to question 18 but concerning the scholars’ affiliation to the technical (T, n = 64) or social (S, n = 61) fields of science.
In statements indicating the sharing of formal information within the institution, there are no major differences between the percentages in the responses of social and technical respondents, except for the email channel; social field respondents used email more than technical field respondents.
According to the total years of work in higher education, 68.8% of respondents to this research have been working for more than 10 years. Thus, it is possible to assume that the majority of the respondents have a certain established way of selecting and using communication channels in their work. The differences between respondents who have worked for more than 10 years and those who have worked for less than 10 years did not prove to be significant in any of the information-seeking activities.

4.5. Principal Component Analysis (PCA)

PCA is a multivariate method that reduces dimensionality and was chosen for component analysis to make the data clearer and easier to understand [20]. This method forms new latent variables, i.e., components, which are mutually independent, and those that are “sufficiently informative” are retained [21]. Here, we will reduce the number of components for each question.
Before extracting the components, tests to assess the goodness of fit of the data, the KaiserMeyerOlkin (KMO) measure of sampling adequacy and Bartlett’s test of sphericity, were performed [22]. Figure 5 shows the values obtained for the technical and social areas where the suitability test indicates moderate and medium index values, ranging from 0.661 to 0.768, with p-value < 0.05, which confirms the justification of the factor analysis.
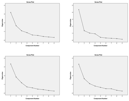
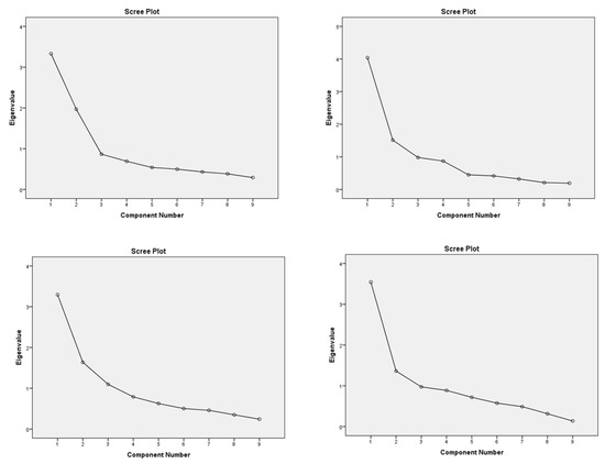
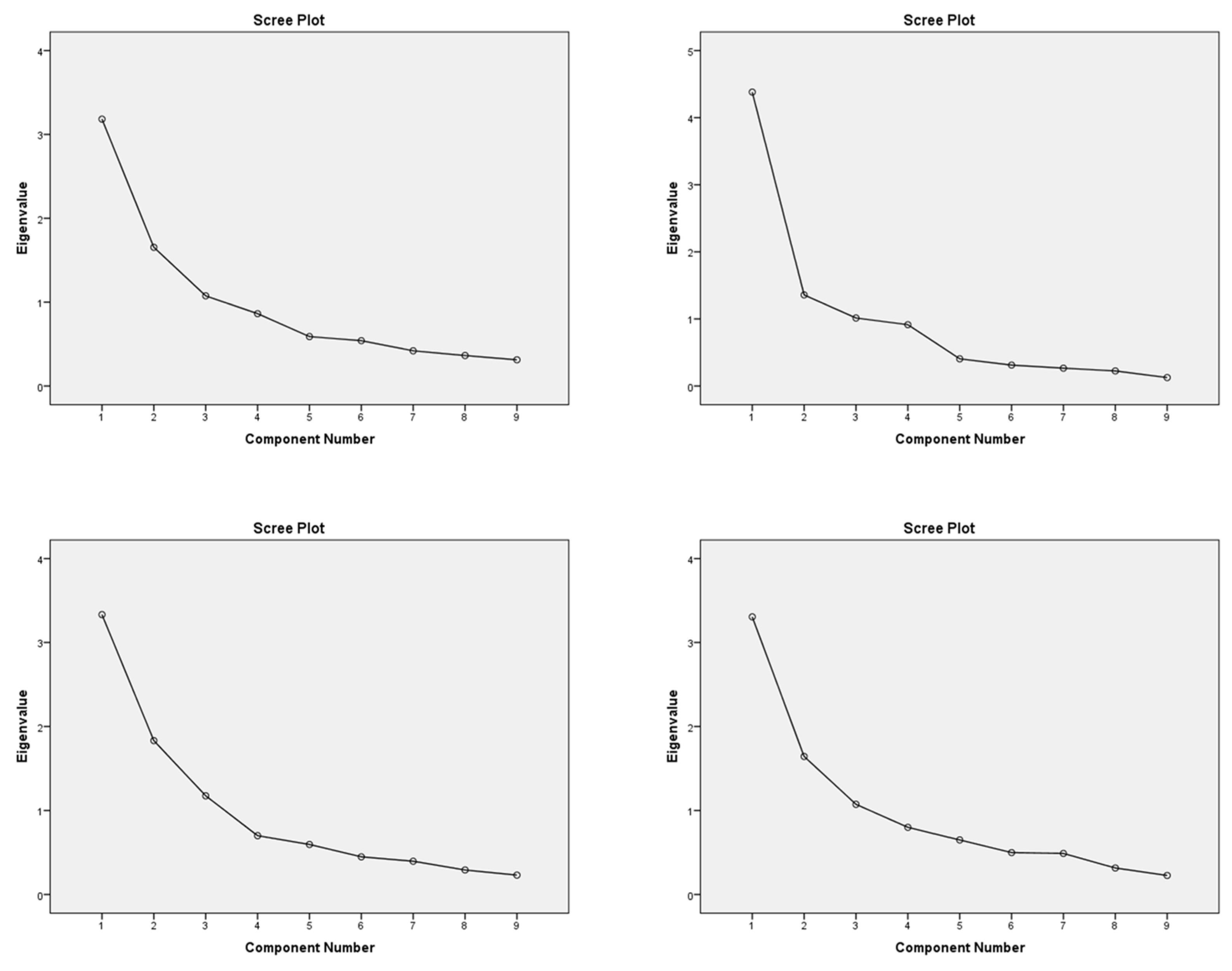
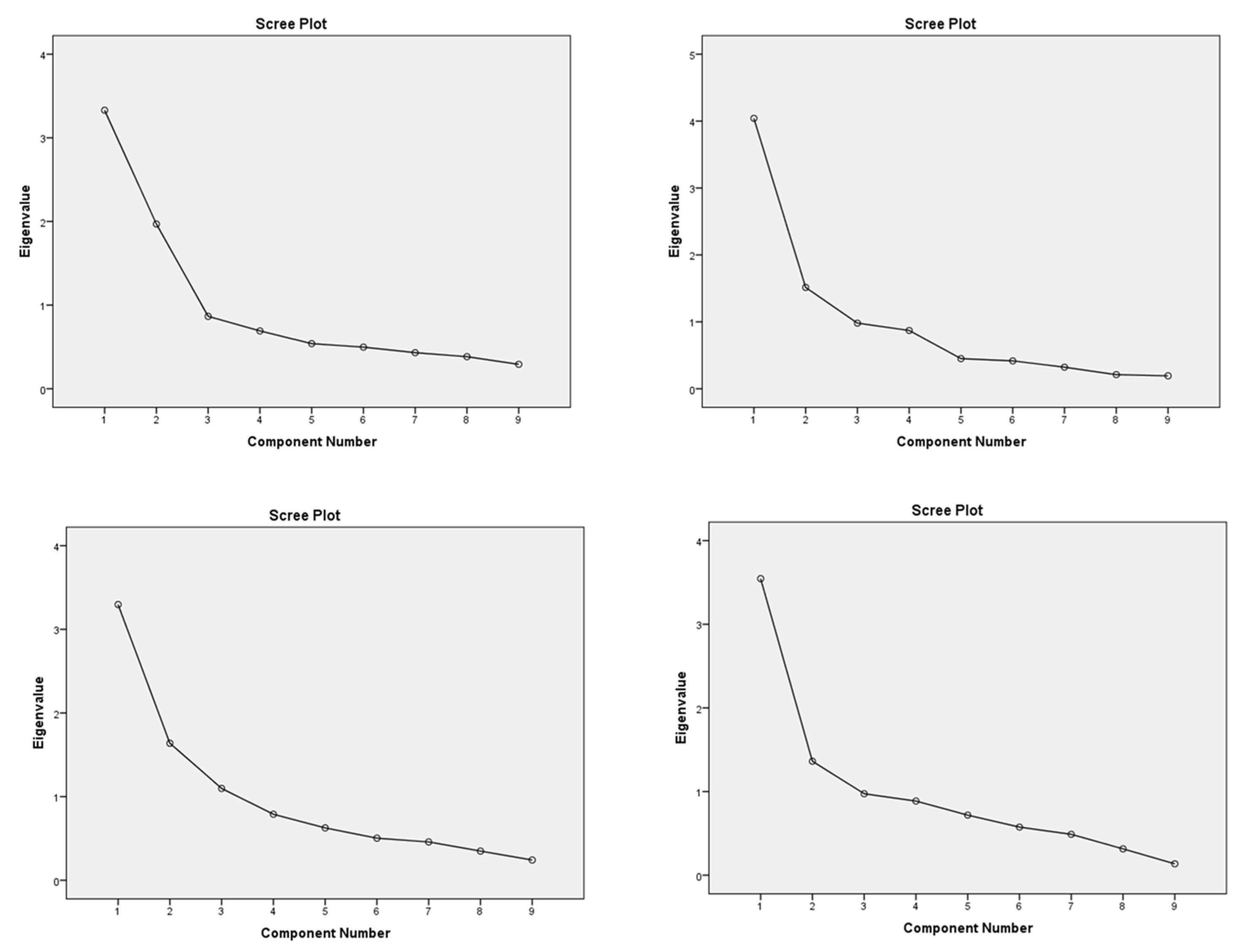
To reduce the number of components, the eigenvalue, the percentage of variance, and the cumulative percentage of variance were determined for each component. Although there is another way to determine the number of extracted components, for this analysis, a Cattell diagram (Scree plot) was used to evaluate the optimal number of components for extraction through several iterations for both fields of science (Figure 6 and Figure 7). Two factors for both fields are retained, while the other components enter the flatter part of the curve, which means that each subsequent component has a smaller and smaller number of eigenvalues.
Orthogonal Varimax rotation was chosen as the rotation technique, as it is the most common rotation technique in factor analysis and results in factor structures that are not correlated [23]. Given that the main goal is to enable an easier interpretation of the results using this rotation solution, we wanted to show the best fit and suitability, either conceptually or/and intuitively. Furthermore, the criterion for the statistical significance of factor loadings, with 95% certainty, offers a guideline as to whether the size of the examined sample is considered large enough for a certain level of factor loading to be significant [23]. Given that the sample size for the technical area is N = 64, and for the social area is N = 61, the factor loading that can be considered significant, according to [23], with 95% certainty, is >0.70.
Figure 8 shows a matrix of rotating components for two areas (T and S) and four questions. Components that have factor loadings above 0.7 are shown, and the others are excluded from further analysis. It is clear that rotation of the factors simplifies the structure by maximising the loading of the components within each factor, which allows us to clearly identify them.
The components are often grouped around similar variables, in this case around similar modes of communication. For all four questions there are two factors with several components that are similar. For better visibility, in Figure 9 and Figure 10, we have presented the two obtained factors with their components regarding the area and activities where they are shown. The name of the factor is not assigned, but the essential characteristics that determine the conceptual meaning are indicated. For Factor one, the components that are singled out for both scientific fields from questions 15, 16, and 18 have the communication channel characteristics of explicitformal, public, and wide-scope. Question 17 indicates the difference between the two fields, where the technical field has the characteristic of explicitformal, while the social field uses implicitinformal communication channels. For Factor two, the components that are singled out for both scientific fieldsin questions 15, 16, and 18 have the communication channel characteristics of implicitinformal, personal, and narrow-scope. Question 17 indicates the difference between the two areas, where the technical field has the characteristic of implicitinformal, while the social field uses explicitformal communication channels.

5. Discussion

Overall, finding information for teaching activities dominates conversation communication channels, which points to informal and implicit forms of finding information, with frequent use of the intranet, and occasional use of the internet and formal groups of the institution. Since verbal and nonverbal communication form part of the informal methods of seeking information, according to [8], they form the basis for the understanding and transfer of tacit knowledge between employees. When we look at the difference between the science fields, social scientists use formal groups and the internet more than technical scientists, but use less conversation channels. Within this sample, respondents from the technical field are characterized by using informal ways to request information for teaching activities, which corresponds to the characteristics of the CoP. This may include, inter alia, finding information for teaching purposes within different professional groups sharing the same interests and values [16].
Croatian scholars in this sample find information related to scientific activities through databases or libraries, and often in conversations with colleagues. The characteristics of the two forms of explicit and implicit ways can be intertwined in their appearance within this activity. Very often we start research based on an idea formed in a conversation with colleagues, then continue research through explicit forms, to exchange certain knowledge again within a narrower scope of the population. There are also certain differences between the science fields; social scientists use more internet than technical scientists, who uses conversation channels more; however, databases and library channels are used equally.
Information seeking for the purposes of administrative activities include the email channel, whether initiated by conversation or formal group activities. To a lesser extent, the intranet, internet, and formal groups can be singled out, which are used as channels occasionally, although they very often represent the basis for any search with regard to administrative tasks and related documentation. We can also look at emails and formal groups in the context of vertical communication, and conversation in the context of horizontal communication, bringing together the different categories of activities mentioned in [8]. When we look at the differences between science fields, there are noticeable differences in the use of the internet and intranet institution channels, which are favored by social science. They both use conversation and email to a great extent.
When sharing official information, and given that it also includes administration to a greater extent, the email channel comes to the fore, showing the highest usage values of all activities. As another sharing channel, conversation stands out, in addition to formal groups. There is only one difference between the science fields, regarding the email channel, which is used to a much greater extent within the social science group of scholars. Thus, administrative activities, whether searching for or sharing information, correspond to a formal network structure that includes a procedural hierarchy, policy, and organisational schemes, and is generally public [9].
Considering the obtained results for the two assumptions given in the I-space model [1], and three basic groups of scholars’ activities, the following conclusions can be drawn for the obtained data:
  • In finding information for teaching activities, the most common form of communication is implicitinformal, and it is to be assumed that there is a stronger diffusion of information;
  • In finding information for the needs of research activities, the most common form of communication is explicitformal, thus the diffusion is smaller within the population;
  • In finding information for the needs of administrative activities, the most common form of communication is explicitformal, thus the diffusion is smaller within the population.
According to PCA results, the number of components was reduced to two factors for each scholar’s activities. The first factor revealed that the components in the technical science field, and all questions, have explicitformal characteristics. For the social science field, they are mostly explicitformal, except for question 18 where informal and implicit dominates. In the second factor, although it has a higher factor loading, only two components are present that have the characteristics of an implicitformal form of communication. There is an exception in the field of social science, where for information on administrative activities, the channel characteristics correspond to an explicitformal mode.
However, it is necessary to state the most common possible shortcomings in this type of analysis, such as the inadequate selection of the number of components and insufficient clarity of data, which is a subjective aspect with many differences in opinion [21,22]. It should be noted that the key communication channels for searching and sharing information were determined by factor analysis, but there is no possibility to go into deeper elaboration using this method. In addition, through descriptive analysis, it was shown that the responses were scattered due to a scale of seven responses and an insufficiently large sample. Generalizing on the basis of one sample, regardless of its size, is always problematic, therefore all conclusions are presented in the form of possible applications in the context of the given sample. In this research, a purposive sample was used from selected public Croatian polytechnics that had a social and technical field in their curriculum; therefore, in further research, the sample can include other polytechnics, as well as universities. Given that similar research, which includes all three activities of academics, has not been found outside of Croatia, the disadvantage is that a sufficiently good comparison is not possible with regards to the context of the activity.

6. Conclusions

From the descriptive analysis, it can be concluded that for the needs of teaching activities, the surveyed Croatian scholars find information through direct communication through conversation (tacitly), while for the needs of research activities they find information in databases or libraries (explicitly). In administrative activities, if the information is obtained or shared, the most common channel of communication is email. To a certain extent, there is a difference in frequencies between the social and technical science fields when finding information for administrative activities. There are several contributions from this research:
  • According to the results of this research, certain newer technologies, such as the cloud, are not used enough. With their greater involvement in communication channels, access to modalities would be significantly increased, and various flexible solutions would be offered;
  • The results within this sample indicate that libraries and databases are to a greater extent included only for the needs of information in scientific work, while they are used the least for teaching activities. In this context, it is necessary to ensure and offer, in a transparent manner, various modalities of access to libraries and databases, given that there are a certain number of higher education institutions that do not have a library within the institution for various reasons;
  • Although the explicitformal type of communication prevails through the four basic activities of academics, implicitinformal channels have great value for each activity, and this is most reflected in teaching activities. Given that the surveyed sample are all Croatian polytechnics that are by nature oriented towards the profession, it can be assumed that personal and informal forms of information flow play a major role. In doing so, one should consider whether they are formal professional groups (communities of practice) or more isolated groups and consider their possible support and development.
Future research can be focused on specific forms of communication, such as formal groups, that are proved to be an explicit and implicit link between different forms of communication. It is important to further investigate the form of formal groups, their appearance, modalities, influence, and functionality.

Supplementary Materials

The following supporting information can be downloaded at: https://www.mdpi.com/article/10.3390/publications10040043/s1, Table S1: Supplementary materials-survey questions.

Author Contributions

Conceptualization, D.P. and M.B.Z.; Methodology, D.P. and M.B.Z.; Validation, D.P., M.B.Z. and R.D.; Formal analysis, D.P.; Investigation, D.P.; Resources, D.P. and M.B.Z.; Data curation, D.P.; Writing—original draft preparation, D.P.; Writing—review and editing, D.P., M.B.Z. and R.D.; Visualization, D.P.; Supervision, M.B.Z. All authors have read and agreed to the published version of the manuscript.

Funding

This research received no external funding.

Data Availability Statement

Not applicable.

Conflicts of Interest

The authors declare no conflict of interest.

References

  1. Boisot, M.H. Information Space: A Framework for Learning in Organizations, Institutions and Culture; Routledge: London, UK, 1995. [Google Scholar]
  2. Wang, L.; Buckland, M. From Fief to Clan: Boisot’s Information Space Model as a Documentary Theory for Cultural and Institutional Analysis. Proc. Doc. Acad. 2016, 3, 10. [Google Scholar] [CrossRef][Green Version]
  3. Fascia, M. Knowledge transfer discussion: Paper 1.002. Theor. Model. EMRI J. Multicult. Res. 2014, 3, 1–29. Available online: https://www.academia.edu/7138485/Knowledge_transfer_discussions_Paper_1_002_Theoretical_Models (accessed on 7 April 2022).
  4. Mohajan, H.K. The Impact of Knowledge Management Models for the Development of Organizations. J. Environ. Treat. Tech. 2017, 5, 12–33. Available online: https://mpra.ub.uni-muenchen.de/83089/1/MPRA_paper_83089.pdf (accessed on 7 April 2022).
  5. Fascia, M.; Fascia, S. The value of knowledge transfer mechanisms. J. Strategy Oper. Econ. JSOE 2017, 3, 1. [Google Scholar]
  6. Broström, A.; Feldmann, A.; Kaulio, M. Structured relations between higher education institutions and external organisations: Opportunity or bureaucratisation? High. Educ. 2019, 78, 575–591. [Google Scholar] [CrossRef]
  7. Compagnucci, L.; Spigarelli, F. The Third Mission of the university: A systematic literature review on potentials and constraints. Technol. Forecast. Soc. Change 2020, 161, 120284. [Google Scholar] [CrossRef]
  8. Canary, H.E.; McPhee, R.D. Communication and Organizational Knowledge. Contemporary Issues for Theory and Practice; Taylor & Francis: New York, NY, USA, 2011. [Google Scholar]
  9. Badau, K.M. Administration of universities and channels of communication in Nigeria. Arts Humanit. Open Access J. 2018, 2, 302–306. [Google Scholar] [CrossRef]
  10. Razmerita, L.; Kirchner, K.; Sudzina, F. Personal Knowledge Management: The role of Web 2.0 tools for managing knowledge at individual and organisational levels. Online Inf. Rev. 2009, 33, 1021–1039. [Google Scholar] [CrossRef]
  11. Constantinescu-Dobra, A.; Coțiu, M.A. Communication Channels. In Communication Management; IntechOpen: London, UK, 2021. [Google Scholar] [CrossRef]
  12. Goes, S. Understanding informal networks in higher education institutions: Theoretical concepts from a Russian and Norwegian perspective. Barents Stud. Peoples Econ. Politics 2015, 2, 34–49. Available online: https://nordopen.nord.no/nord-xmlui/handle/11250/2382156?locale-attribute=en (accessed on 7 April 2022).
  13. Chernenko, O.; Roienko, S.; Balanutsa, O.; Ivashchenko, B.; Romankova, K. The role of communication and dialogue during studies in higher education institutions. Laplage Rev. 2021, 7, 548–556. [Google Scholar] [CrossRef]
  14. Dalkir, K. Knowledge Management in Theory and Practice; MIT Press: Cambridge, MA, USA, 2013. [Google Scholar] [CrossRef]
  15. Yu, D.; Zhou, R. Tacit Knowledge Sharing Modes of University Teachers From the Perspectives of Psychological Risk and Value. Int. J. High. Educ. 2015, 4, 214. [Google Scholar] [CrossRef]
  16. Jordanne, C. Faculty Learning Communities to Support Technology Integration: A Literature Review Integration. Transform. Dialogues Teach. Learn. J. 2016, 9, 1–19. Available online: https://td.journals.psu.edu/td/article/view/1063 (accessed on 7 April 2022).
  17. Vilar, P. Information behaviour of scholars. Libellarium 2014, 7, 17–39. [Google Scholar] [CrossRef][Green Version]
  18. Cohen, L.; Manion, L.; Morrison, K. Research Methods in Education; Routledge, Taylor & Francis Group: London, UK, 2007. [Google Scholar]
  19. Jones, W.; Dinneen, J.D.; Capra, R.; Diekema, A.R.; Pérez-Quiñones, M.A. Personal Information Management. In Encyclopedia of Library and Information Science, 4th ed.; Levine-Clark, M., McDonald, J., Eds.; Taylor & Francis: New York, NY, USA, 2017; pp. 3584–3605. [Google Scholar] [CrossRef]
  20. Introduction to SAS. UCLA: Statistical Consulting Group. Available online: https://stats.oarc.ucla.edu/sas/modules/introduction-to-the-features-of-sas/ (accessed on 2 June 2022).
  21. Fazlić, S.; Đonlagić, S. Primjena Faktorske Analize u Identificiranju Dimenzija Kvalitete Visokoobrazovne Usluge; Poslovna Izvrsnost Hrcak: Zagreb, Croatia, 2016; Available online: https://hrcak.srce.hr/170734 (accessed on 16 August 2022).
  22. Williams, B.; Onsman, A.; Brown, T. Exploratory factor analysis: A five-step guide for novices. Australas. J. Paramed. 2010, 8, 1–13. [Google Scholar] [CrossRef]
  23. Hair, J.; Black, W.; Babin, B.; Anderson, R. Multivariate Data Analysis, 7th ed.; Prentice Hall: Upper Saddle River, NJ, USA, 2010. [Google Scholar]
Figure 1. Ways of finding information in the area of teaching activities. (The complete legend is shown in Table 1 and Table 2).
Figure 1. Ways of finding information in the area of teaching activities. (The complete legend is shown in Table 1 and Table 2).
Publications 10 00043 g001
Figure 2. Ways of finding information in the area of scientific activities. (The complete legend is shown in Table 1 and Table 2).
Figure 2. Ways of finding information in the area of scientific activities. (The complete legend is shown in Table 1 and Table 2).
Publications 10 00043 g002
Figure 3. Ways of finding information in the area of administrative activities. (The complete legend is shown in Table 1 and Table 2).
Figure 3. Ways of finding information in the area of administrative activities. (The complete legend is shown in Table 1 and Table 2).
Publications 10 00043 g003
Figure 4. Ways of sharing official information within the institution. (The complete legend is shown in Table 1 and Table 2).
Figure 4. Ways of sharing official information within the institution. (The complete legend is shown in Table 1 and Table 2).
Publications 10 00043 g004
Figure 5. Kaiser-Meyer-Olkin (KMO) and Bartlett’s test values of sampling adequacy.
Figure 5. Kaiser-Meyer-Olkin (KMO) and Bartlett’s test values of sampling adequacy.
Publications 10 00043 g005
Figure 6. Cattell diagram of components and eigenvalues for the technical field.
Figure 6. Cattell diagram of components and eigenvalues for the technical field.
Publications 10 00043 g006
Figure 7. Cattell diagram of components and eigenvalues for the social field.
Figure 7. Cattell diagram of components and eigenvalues for the social field.
Publications 10 00043 g007
Figure 8. Rotated Component Matrix regarding the science area. Extraction Method: Principal Component Analysis. Rotation converged in three iterations.
Figure 8. Rotated Component Matrix regarding the science area. Extraction Method: Principal Component Analysis. Rotation converged in three iterations.
Publications 10 00043 g008
Figure 9. Areas and activities referred to by Factor one.
Figure 9. Areas and activities referred to by Factor one.
Publications 10 00043 g009
Figure 10. Areas and activities referred to by Factor two.
Figure 10. Areas and activities referred to by Factor two.
Publications 10 00043 g010
Table 1. Questions and components in the questionnaire.
Table 1. Questions and components in the questionnaire.
Questions
15.Finding information for teaching activities17.Finding information for administrative activities
16.Finding information for research activities18.Sharing official
information
ComponentAbbreviation
1Conversations with colleagues (directly and indirectly)Conv
2Informal groups inside and outside the PolytechnicInfo
3Formal groups of Polytechnics (composition decision)Form
4Internet PolytechnicsInter
5Polytechnic intranetIntra
6Cloud (e.g., Office365)Cloud
7LMS (Learning Management System)LMS
8Social networksSocNet
9Libraries/DatabasesEmailLib/Data/Email
Table 2. Scale of response.
Table 2. Scale of response.
ScaleMeaningAbbreviation
1NeverNever
2Rare (<10%)Rare
3Sometimes, irregularly (about 30%)Sometimes
4Occasionally (about 50%)Occasionally
5Often (about 70%)Often
6Mostly (about 90%)Mostly
7AlwaysAlways
Table 3. Cronbach’s alpha coefficients.
Table 3. Cronbach’s alpha coefficients.
Questionα
15.Finding information for teaching activities0.756091
16.Finding information for research activities0.856856
17.Finding information for administrative activities0.80443
18.Sharing official information0.805633
Table 4. Ways of finding information in the area of teaching activities regarding the field of science.
Table 4. Ways of finding information in the area of teaching activities regarding the field of science.
About 30% or LessAbout 40% and 60%About 70% or More
TSTSTS
Conv132823156457
Info536125162223
Form483631252039
Inter524130201939
Intra474117183641
Cloud736711101623
LMS67741481918
SocNet80791410611
Lib/Data585119132336
Table 5. Ways of finding information in the area of scientific activities regarding the field of science.
Table 5. Ways of finding information in the area of scientific activities regarding the field of science.
About 30% or LessAbout 40% and 60%About 70% or More
TSTSTS
Conv363620214443
Info565420102336
Form676616131721
Inter725217161131
Intra75669161618
Cloud80791311810
LMS868511738
SocNet868295513
Lib/Data4433974761
Table 6. Ways of finding information in the area of administrative activities regarding the field of science.
Table 6. Ways of finding information in the area of administrative activities regarding the field of science.
About 30% or LessAbout 40% and 60%About 70% or More
TSTSTS
Conv313417155251
Info586122182021
Form473617183646
Inter451525213064
Intra472619133461
Cloud696216161621
LMS89858738
SocNet8882118210
Email251017155875
Table 7. Percentages of answers for the components in question 18 regarding field of science.
Table 7. Percentages of answers for the components in question 18 regarding field of science.
About 30% or LessAbout 40% and 60%About 70% or More
TSTSTS
Conv283323204848
Info666619131621
Form553917252836
Inter735911111630
Intra69576102533
Cloud737011111618
LMS7884951311
SocNet8389112610
Email2381136689
Publisher’s Note: MDPI stays neutral with regard to jurisdictional claims in published maps and institutional affiliations.

Share and Cite

MDPI and ACS Style

Pongrac, D.; Zorica, M.B.; Domović, R. Scholars’ Domain of Information Space. Publications 2022, 10, 43. https://doi.org/10.3390/publications10040043

AMA Style

Pongrac D, Zorica MB, Domović R. Scholars’ Domain of Information Space. Publications. 2022; 10(4):43. https://doi.org/10.3390/publications10040043

Chicago/Turabian Style

Pongrac, Danijela, Mihaela Banek Zorica, and Roman Domović. 2022. "Scholars’ Domain of Information Space" Publications 10, no. 4: 43. https://doi.org/10.3390/publications10040043

APA Style

Pongrac, D., Zorica, M. B., & Domović, R. (2022). Scholars’ Domain of Information Space. Publications, 10(4), 43. https://doi.org/10.3390/publications10040043

Note that from the first issue of 2016, this journal uses article numbers instead of page numbers. See further details here.

Article Metrics

Back to TopTop